Long-Acting HIV-1 Fusion Inhibitory Peptides and their Mechanisms of Action
Abstract
1. Introduction
2. Materials and Methods
2.1. Ethics
2.2. Peptide Design Synthesis and Identification
2.3. Circular Dichroism (CD) Spectroscopy
2.4. Determination of gp41 6-HB Formation by Native Polyacrylamide Gel Electrophoresis (N-PAGE)
2.5. Cytotoxicity Assay
2.6. Inhibition of HIV-1 Env-Mediated Cell–Cell Fusion
2.7. Inhibition of HIV-1 Replication
2.8. Pharmacokinetics of Peptides in Rats
3. Results
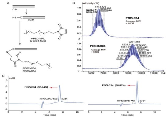
3.1. Generation of High-Purity PEGylated HIV-1 Fusion Inhibitory Peptide
3.2. Binding of PEGylated C34 to NHR Forms Stable 6-HB
3.3. Inhibitory Potency of PEGylated C34 against Env-Mediated Cell–Cell Fusion and Infection of Laboratory-Adapted HIV-1 Strain with Low Cytotoxicity
3.4. PEGylated C34 Could Effectively Inhibit the Replication of the HIV-1 Subtypes Circulating in China
3.5. Decreased Resistance of T20-Induced HIV-1 Mutants to PEGylated HIV-1 Fusion Inhibitors
3.6. PEGylated C34 Displayed Prolonged Half-Life
4. Discussion
5. Conclusions
Supplementary Materials
Author Contributions
Funding
Conflicts of Interest
References
- Rai, M.A.; Pannek, S.; Fichtenbaum, C.J. Emerging reverse transcriptase inhibitors for HIV-1 infection. Expert Opin. Emerg. Drugs 2018, 23, 149–157. [Google Scholar] [CrossRef] [PubMed]
- Xu, W.; Zhao, J.; Sun, J.; Yin, Q.; Wang, Y.; Jiao, Y.; Liu, J.; Jiang, S.; Shao, Y.; Wang, X.; et al. The HEPT Analogue WPR-6 Is Active against a Broad Spectrum of Nonnucleoside Reverse Transcriptase Drug-Resistant HIV-1 Strains of Different Serotypes. Antimicrob. Agents Chemother. 2015, 59, 4882–4888. [Google Scholar] [CrossRef] [PubMed][Green Version]
- Araujo, L.A.; Junqueira, D.M.; de Medeiros, R.M.; Matte, M.C.; Almeida, S.E. Naturally occurring resistance mutations to HIV-1 entry inhibitors in subtypes B, C, and CRF31_BC. J. Clin. Virol. Off. Publ. Pan Am. Soc. Clin. Virol. 2012, 54, 6–10. [Google Scholar] [CrossRef] [PubMed]
- Trotter, A.B.; Hong, S.Y.; Srikantiah, P.; Abeyewickreme, I.; Bertagnolio, S.; Jordan, M.R. Systematic review of HIV drug resistance in Southeast Asia. AIDS Rev. 2013, 15, 162–170. [Google Scholar] [PubMed]
- Ariza-Saenz, M.; Espina, M.; Calpena, A.; Gomara, M.J.; Perez-Pomeda, I.; Haro, I.; Garcia, M.L. Design, Characterization, and Biopharmaceutical Behavior of Nanoparticles Loaded with an HIV-1 Fusion Inhibitor Peptide. Mol. Pharm. 2018, 15, 5005–5018. [Google Scholar] [CrossRef] [PubMed]
- Chan, D.C.; Kim, P.S. HIV entry and its inhibition. Cell 1998, 93, 681–684. [Google Scholar] [CrossRef]
- Weissenhorn, W.; Dessen, A.; Harrison, S.C.; Skehel, J.J.; Wiley, D.C. Atomic structure of the ectodomain from HIV-1 gp41. Nature 1997, 387, 426–430. [Google Scholar] [CrossRef]
- Matthews, T.; Salgo, M.; Greenberg, M.; Chung, J.; DeMasi, R.; Bolognesi, D. Enfuvirtide: The first therapy to inhibit the entry of HIV-1 into host CD4 lymphocytes. Nat. Rev. Drug Discov. 2004, 3, 215–225. [Google Scholar] [CrossRef]
- He, Y.; Xiao, Y.; Song, H.; Liang, Q.; Ju, D.; Chen, X.; Lu, H.; Jing, W.; Jiang, S.; Zhang, L. Design and evaluation of sifuvirtide, a novel HIV-1 fusion inhibitor. J. Biol. Chem. 2008, 283, 11126–11134. [Google Scholar] [CrossRef]
- Chong, H.; Yao, X.; Qiu, Z.; Sun, J.; Zhang, M.; Waltersperger, S.; Wang, M.; Liu, S.L.; Cui, S.; He, Y. Short-peptide fusion inhibitors with high potency against wild-type and enfuvirtide-resistant HIV-1. FASEB J. Off. Publ. Fed. Am. Soc. Exp. Biol. 2013, 27, 1203–1213. [Google Scholar] [CrossRef]
- Milla, P.; Dosio, F.; Cattel, L. PEGylation of proteins and liposomes: A powerful and flexible strategy to improve the drug delivery. Curr. Drug Metab. 2012, 13, 105–119. [Google Scholar] [CrossRef] [PubMed]
- Cheng, S.; Wang, Y.; Zhang, Z.; Lv, X.; Gao, G.F.; Shao, Y.; Ma, L.; Li, X. Enfuvirtide-PEG conjugate: A potent HIV fusion inhibitor with improved pharmacokinetic properties. Eur. J. Med. Chem. 2016, 121, 232–237. [Google Scholar] [CrossRef] [PubMed]
- Veronese, F.M.; Pasut, G. PEGylation, successful approach to drug delivery. Drug Discov. Today 2005, 10, 1451–1458. [Google Scholar] [CrossRef]
- Cheng, S.; Chang, X.; Wang, Y.; Gao, G.F.; Shao, Y.; Ma, L.; Li, X. Glycosylated enfuvirtide: A long-lasting glycopeptide with potent anti-HIV activity. J. Med. Chem. 2015, 58, 1372–1379. [Google Scholar] [CrossRef] [PubMed]
- Zhang, X.; Ding, X.; Zhu, Y.; Chong, H.; Cui, S.; He, J.; Wang, X.; He, Y. Structural and functional characterization of HIV-1 cell fusion inhibitor T20. AIDS 2019, 33, 1–11. [Google Scholar] [CrossRef] [PubMed]
- Xia, S.; Lan, Q.; Pu, J.; Wang, C.; Liu, Z.; Xu, W.; Wang, Q.; Liu, H.; Jiang, S.; Lu, L. Potent MERS-CoV Fusion Inhibitory Peptides Identified from HR2 Domain in Spike Protein of Bat Coronavirus HKU4. Viruses 2019, 11, 56. [Google Scholar] [CrossRef] [PubMed]
- Herschhorn, A.; Finzi, A.; Jones, D.M.; Courter, J.R.; Sugawara, A.; Smith, A.B., 3rd; Sodroski, J.G. An inducible cell-cell fusion system with integrated ability to measure the efficiency and specificity of HIV-1 entry inhibitors. PLoS ONE 2011, 6, e26731. [Google Scholar] [CrossRef] [PubMed]
- Li, X.; Qian, H.; Miyamoto, F.; Naito, T.; Kawaji, K.; Kajiwara, K.; Hattori, T.; Matsuoka, M.; Watanabe, K.; Oishi, S.; et al. A simple, rapid, and sensitive system for the evaluation of anti-viral drugs in rats. Biochem. Biophys. Res. Commun. 2012, 424, 257–261. [Google Scholar] [CrossRef]
- Chong, H.; Wu, X.; Su, Y.; He, Y. Development of potent and long-acting HIV-1 fusion inhibitors. AIDS 2016, 30, 1187–1196. [Google Scholar] [CrossRef]
- Su, S.; Rasquinha, G.; Du, L.; Wang, Q.; Xu, W.; Li, W.; Lu, L.; Jiang, S. A Peptide-Based HIV-1 Fusion Inhibitor with Two Tail-Anchors and Palmitic Acid Exhibits Substantially Improved In Vitro and Ex Vivo Anti-HIV-1 Activity and Prolonged In Vivo Half-Life. Molecules 2019, 24, 1134. [Google Scholar] [CrossRef]
- Allen, G.D. MODFIT: A pharmacokinetics computer program. Biopharm. Drug Dispos. 1990, 11, 477–498. [Google Scholar] [CrossRef] [PubMed]
- Ingallinella, P.; Bianchi, E.; Ladwa, N.A.; Wang, Y.J.; Hrin, R.; Veneziano, M.; Bonelli, F.; Ketas, T.J.; Moore, J.P.; Miller, M.D.; et al. Addition of a cholesterol group to an HIV-1 peptide fusion inhibitor dramatically increases its antiviral potency. Proc. Natl. Acad. Sci. USA 2009, 106, 5801–5806. [Google Scholar] [CrossRef] [PubMed]
- Yu, F.; Lu, L.; Du, L.; Zhu, X.; Debnath, A.K.; Jiang, S. Approaches for identification of HIV-1 entry inhibitors targeting gp41 pocket. Viruses 2013, 5, 127–149. [Google Scholar] [CrossRef] [PubMed]
- Liu, S.; Zhao, Q.; Jiang, S. Determination of the HIV-1 gp41 fusogenic core conformation modeled by synthetic peptides: Applicable for identification of HIV-1 fusion inhibitors. Peptides 2003, 24, 1303–1313. [Google Scholar] [CrossRef] [PubMed]
- Li, Z.; Huang, Y.; Ouyang, Y.; Xing, H.; Liao, L.; Jiang, S.; Shao, Y.; Ma, L. Mutation covariation of HIV-1 CRF07_BC reverse transcriptase during antiretroviral therapy. J. Antimicrob. Chemother. 2013, 68, 2521–2524. [Google Scholar] [CrossRef] [PubMed][Green Version]
- Huang, S.W.; Wang, S.F.; Lin, Y.T.; Yen, C.H.; Lee, C.H.; Wong, W.W.; Tsai, H.C.; Yang, C.J.; Hu, B.S.; Lin, Y.H.; et al. Patients infected with CRF07_BC have significantly lower viral loads than patients with HIV-1 subtype B: Mechanism and impact on disease progression. PLoS ONE 2014, 9, e114441. [Google Scholar] [CrossRef] [PubMed]
- Cohen, M.S.; Chen, Y.Q.; McCauley, M.; Gamble, T.; Hosseinipour, M.C.; Kumarasamy, N.; Hakim, J.G.; Kumwenda, J.; Grinsztejn, B.; Pilotto, J.H.; et al. Prevention of HIV-1 infection with early antiretroviral therapy. N. Engl. J. Med. 2011, 365, 493–505. [Google Scholar] [CrossRef]
- Li, W.; Lu, L.; Li, W.; Jiang, S. Small-molecule HIV-1 entry inhibitors targeting gp120 and gp41: A patent review (2010–2015). Expert Opin. Ther. Pat. 2017, 27, 707–719. [Google Scholar] [CrossRef]
- Iyidogan, P.; Anderson, K.S. Current perspectives on HIV-1 antiretroviral drug resistance. Viruses 2014, 6, 4095–4139. [Google Scholar] [CrossRef]
- Ngo-Giang-Huong, N.; Huynh, T.H.K.; Dagnra, A.Y.; Toni, T.D.; Maiga, A.I.; Kania, D.; Eymard-Duvernay, S.; Peeters, M.; Soulie, C.; Peytavin, G.; et al. Prevalence of pretreatment HIV drug resistance in West African and Southeast Asian countries. J. Antimicrob. Chemother. 2018. [Google Scholar] [CrossRef]
- Greenberg, M.L.; Cammack, N. Resistance to enfuvirtide, the first HIV fusion inhibitor. J. Antimicrob. Chemother. 2004, 54, 333–340. [Google Scholar] [CrossRef] [PubMed]
- Lu, J.; Deeks, S.G.; Hoh, R.; Beatty, G.; Kuritzkes, B.A.; Martin, J.N.; Kuritzkes, D.R. Rapid emergence of enfuvirtide resistance in HIV-1-infected patients: Results of a clonal analysis. J. Acquir. Immune Defic. Syndr. 2006, 43, 60–64. [Google Scholar] [CrossRef] [PubMed]
- He, Y.; Cheng, J.; Lu, H.; Li, J.; Hu, J.; Qi, Z.; Liu, Z.; Jiang, S.; Dai, Q. Potent HIV fusion inhibitors against Enfuvirtide-resistant HIV-1 strains. Proc. Natl. Acad. Sci. USA 2008, 105, 16332–16337. [Google Scholar] [CrossRef] [PubMed]
- Chong, H.; Xue, J.; Xiong, S.; Cong, Z.; Ding, X.; Zhu, Y.; Liu, Z.; Chen, T.; Feng, Y.; He, L.; et al. A Lipopeptide HIV-1/2 Fusion Inhibitor with Highly Potent In Vitro, Ex Vivo, and In Vivo Antiviral Activity. J. Virol. 2017, 91. [Google Scholar] [CrossRef] [PubMed]
- Stoddart, C.A.; Nault, G.; Galkina, S.A.; Thibaudeau, K.; Bakis, P.; Bousquet-Gagnon, N.; Robitaille, M.; Bellomo, M.; Paradis, V.; Liscourt, P.; et al. Albumin-conjugated C34 peptide HIV-1 fusion inhibitor: Equipotent to C34 and T-20 in vitro with sustained activity in SCID-hu Thy/Liv mice. J. Biol. Chem. 2008, 283, 34045–34052. [Google Scholar] [CrossRef] [PubMed]
- Xie, D.; Yao, C.; Wang, L.; Min, W.; Xu, J.; Xiao, J.; Huang, M.; Chen, B.; Liu, B.; Li, X.; et al. An albumin-conjugated peptide exhibits potent anti-HIV activity and long in vivo half-life. Antimicrob. Agents Chemother. 2010, 54, 191–196. [Google Scholar] [CrossRef] [PubMed]
- Ding, S.; Song, M.; Sim, B.C.; Gu, C.; Podust, V.N.; Wang, C.W.; McLaughlin, B.; Shah, T.P.; Lax, R.; Gast, R.; et al. Multivalent antiviral XTEN-peptide conjugates with long in vivo half-life and enhanced solubility. Bioconjugate Chem. 2014, 25, 1351–1359. [Google Scholar] [CrossRef] [PubMed]
- Wang, C.; Lu, L.; Na, H.; Li, X.; Wang, Q.; Jiang, X.; Xu, X.; Yu, F.; Zhang, T.; Li, J.; et al. Conjugation of a nonspecific antiviral sapogenin with a specific HIV fusion inhibitor: A promising strategy for discovering new antiviral therapeutics. J. Med. Chem. 2014, 57, 7342–7354. [Google Scholar] [CrossRef] [PubMed]
- Huet, T.; Kerbarh, O.; Schols, D.; Clayette, P.; Gauchet, C.; Dubreucq, G.; Vincent, L.; Bompais, H.; Mazinghien, R.; Querolle, O.; et al. Long-lasting enfuvirtide carrier pentasaccharide conjugates with potent anti-human immunodeficiency virus type 1 activity. Antimicrob. Agents Chemother. 2010, 54, 134–142. [Google Scholar] [CrossRef] [PubMed]
- Pang, W.; Tam, S.C.; Zheng, Y.T. Current peptide HIV type-1 fusion inhibitors. Antivir. Chem. Chemother. 2009, 20, 1–18. [Google Scholar] [CrossRef] [PubMed]
- Quinn, K.; Traboni, C.; Penchala, S.D.; Bouliotis, G.; Doyle, N.; Libri, V.; Khoo, S.; Ashby, D.; Weber, J.; Nicosia, A.; et al. A first-in-human study of the novel HIV-fusion inhibitor C34-PEG4-Chol. Sci. Rep. 2017, 7, 9447. [Google Scholar] [CrossRef] [PubMed]
- Wang, X.; He, X.; Zhong, P.; Liu, Y.; Gui, T.; Jia, D.; Li, H.; Wu, J.; Yan, J.; Kang, D.; et al. Phylodynamics of major CRF01_AE epidemic clusters circulating in mainland of China. Sci. Rep. 2017, 7, 6330. [Google Scholar] [CrossRef] [PubMed]
- Brumme, Z.L.; Goodrich, J.; Mayer, H.B.; Brumme, C.J.; Henrick, B.M.; Wynhoven, B.; Asselin, J.J.; Cheung, P.K.; Hogg, R.S.; Montaner, J.S.; et al. Molecular and clinical epidemiology of CXCR4-using HIV-1 in a large population of antiretroviral-naive individuals. J. Infect. Dis. 2005, 192, 466–474. [Google Scholar] [CrossRef] [PubMed]
- Danial, M.; Stauffer, A.N.; Wurm, F.R.; Root, M.J.; Klok, H.A. Site-Specific Polymer Attachment to HR2 Peptide Fusion Inhibitors against HIV-1 Decreases Binding Association Rates and Dissociation Rates Rather than Binding Affinity. Bioconjugate Chem. 2017, 28, 701–712. [Google Scholar] [CrossRef] [PubMed]
- Danial, M.; van Dulmen, T.H.; Aleksandrowicz, J.; Potgens, A.J.; Klok, H.A. Site-specific PEGylation of HR2 peptides: Effects of PEG conjugation position and chain length on HIV-1 membrane fusion inhibition and proteolytic degradation. Bioconjugate Chem. 2012, 23, 1648–1660. [Google Scholar] [CrossRef] [PubMed]
- Yang, Q.; Lai, S.K. Anti-PEG immunity: Emergence, characteristics, and unaddressed questions. Wiley Interdiscip. Rev. Nanomed. Nanobiotechnol. 2015, 7, 655–677. [Google Scholar] [CrossRef] [PubMed]





| HIV-1 Strains | T20 | C34 | PEG2kC34 | PEG5kC34 | ||||
|---|---|---|---|---|---|---|---|---|
| EC50 | n-Fold | EC50 | n-Fold | EC50 | n-Fold | EC50 | n-Fold | |
| NL4-3 | 128.53 ± 21.06 | 1 | 0.98 ± 1.12 | 1 | 4.14 ± 1.89 | 1 | 4.59 ± 1.83 | 1 |
| NL4-3V38A | 1361.21 ± 72.93 | 10.6 | 14.44 ± 5.44 | 14.7 | 34.10 ± 18.07 | 8.2 | 31.49 ± 4.71 | 6.9 |
| NL4-3N43K | 764.40 ± 398.35 | 5.9 | 15.24 ± 5.73 | 15.6 | 30.03 ± 10.29 | 7.3 | 39.33 ± 32.10 | 8.6 |
| NL4-3V38A/N42D | 424.70 ± 290.16 | 3.3 | 26.07 ± 4.77 | 26.6 | 59.39 ± 39.03 | 14.4 | 45.91 ± 38.62 | 10.0 |
| NL4-3V38A/N42T | 780.06 ± 426.99 | 6.07 | 153.13 ± 19.80 | 156.3 | 114.71 ± 36.06 | 27.7 | 71.12 ± 38.07 | 15.5 |
| Parameter | PEG2kC34 | PEG5kC34 |
|---|---|---|
| Rat, i.h., n = 4 | ||
| Tmax (h) | 2.94 ± 1.30 | 3.88 ± 1.77 |
| Cmax (μg/mL) | 10.37 ± 3.55 | 4.32 ± 1.88 |
| t1/2 (h) | 2.57 ± 0.71 | 5.11 ± 3.54 |
| AUC0-24h (μg/mL * h) | 39.75 ± 16.80 | 17.68 ± 6.98 |
| AUCINF_obs (μg/mL * h) | 40.38 ± 16.75 | 15.56 ± 2.63 |
| Vz_F_obs (ml/kg) | 773.42 ± 355.01 | 2688.46 ± 341.05 |
| Cl_F_obs (ml/h/kg) | 353.43 ± 84.54 | 1033.79 ± 163.89 |
| MRTlast (h) | 3.08 ± 0.55 | 3.75 ± 0.44 |
© 2019 by the authors. Licensee MDPI, Basel, Switzerland. This article is an open access article distributed under the terms and conditions of the Creative Commons Attribution (CC BY) license (http://creativecommons.org/licenses/by/4.0/).
Share and Cite
Wang, C.; Cheng, S.; Zhang, Y.; Ding, Y.; Chong, H.; Xing, H.; Jiang, S.; Li, X.; Ma, L. Long-Acting HIV-1 Fusion Inhibitory Peptides and their Mechanisms of Action. Viruses 2019, 11, 811. https://doi.org/10.3390/v11090811
Wang C, Cheng S, Zhang Y, Ding Y, Chong H, Xing H, Jiang S, Li X, Ma L. Long-Acting HIV-1 Fusion Inhibitory Peptides and their Mechanisms of Action. Viruses. 2019; 11(9):811. https://doi.org/10.3390/v11090811
Chicago/Turabian StyleWang, Chen, Shuihong Cheng, Yuanyuan Zhang, Yibo Ding, Huihui Chong, Hui Xing, Shibo Jiang, Xuebing Li, and Liying Ma. 2019. "Long-Acting HIV-1 Fusion Inhibitory Peptides and their Mechanisms of Action" Viruses 11, no. 9: 811. https://doi.org/10.3390/v11090811
APA StyleWang, C., Cheng, S., Zhang, Y., Ding, Y., Chong, H., Xing, H., Jiang, S., Li, X., & Ma, L. (2019). Long-Acting HIV-1 Fusion Inhibitory Peptides and their Mechanisms of Action. Viruses, 11(9), 811. https://doi.org/10.3390/v11090811

