Antagonism of Innate Immunity by Paramyxovirus Accessory Proteins
Abstract
:1. Introduction
2. General features of paramyxoviruses
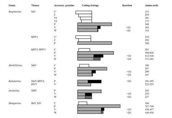
3. Paramyxovirus accessory proteins expressed from the P gene

4. Functions of the accessory proteins expressed from the P/V/C gene
5. Innate immunity
5.2. IFN signaling: Jak/STAT Pathway
6. Antagonism of innate immunity by the accessory proteins
6.1 Prevention of IFN production
| Virus | Accessory protein | Cellular target | Mechanism | References | 
| Respirovirus | ||||
| SeV | V | mda-5 | Direct binding to mda-5 blocks activation of mda-5 | [32], [34], [52], [53], [61] | 
| C | RIG-I | Inhibit IRF-3 and NF-kB transduction pathway | [53], [56], [61] | |
| hPIV1 | C | ND | Inhibit IFN production stimulated by hPIV1 infection | [62] | 
| bPIV3 | V | mda-5 | Direct binding to mda-5 blocks activation of mda-5 | [53] | 
| C | ND | Suppress dsRNA-stimulated IFN production | [53] | |
| Morbillivirus | ||||
| MeV | V | mda-5 | Direct binding to mda-5 blocks activation of mda-5 | [34], [52] | 
| Rubulavirus | ||||
| PIV5 | V | mda-5 | Direct binding to mda-5 blocks activation of mda-5 | [32], [34], [52] | 
| hPIV2 | V | mda-5 | Direct binding to mda-5 blocks activation of mda-5 | [34], [52] | 
| MuV | mda-5 | Direct binding to mda-5 blocks activation of mda-5 | [34], [52] | |
| Avulavirus | ||||
| NDV | V | mda-5 | Direct binding to mda-5 blocks activation of mda-5 | 
6.2. Various strategies to block the Jak/STAT pathway
| Virus | Accessory protein | Cellular target | Mechanism | References | 
| Respirovirus | ||||
| SeV | C | STAT1 | Disordered phosphorylation of STAT | [13], [90-99] | 
| hPIV1 | C | ND | Prevent nuclear translocation of STAT | [100], [101] | 
| hPIV3 | C | ND | Block phosphorylation of STAT | [102] | 
| Morbillivirus | ||||
| MeV | V | STAT1, Jak1 | Block phosphorylation of STAT1 | [80-87] | 
| STAT2 | ||||
| Rubulavirus | ||||
| PIV5 | V | STAT1 | Proteasome mediated degradation of STAT1 | [47], [65], [68], [70], [75], [77], [78] | 
| hPIV2 | V | STAT2 | Proteasome mediated degradation of STAT2 | [66], [68], [70], [75], [76] | 
| MuV | V | STAT1, STAT3 | Proteasome mediated degradation of STAT | [67], [69], [71], [72], [74] | 
| MPRV | V | STAT1,STAT2 | Prevent nuclear translocation of STAT | [79] | 
| Avulavirus | ||||
| NDV | V | STAT1 | Proteasome mediated degradation of STAT1 | 
7. Blocking apoptosis by accessory proteins
9. Concluding remarks
Acknowledgments
References and Notes
- Lamb, R.A.; Parks,, G.D. Paramyxoviridae: the viruses and their replication. In Fields Virology, 5th; Knipe, D.M., Howley, P.M., Eds.; Lippincott Williams and Wilkins: Philadelphia, PA, 2007; Volume 1, pp. 1449–1496. [Google Scholar]
- Hausmann, S.; Garcin, D.; Morel, A.S.; Kolakofsky, D. Two nucleotides immediately upstream of the essential A6G3 slippery sequence modulate the pattern of G insertions during Sendai virus mRNA editing. J. Virol. 1999, 73, 343–351. [Google Scholar] [PubMed]
- Vidal, S.; Curran, J.; Kolakofsky, D. A stuttering model for paramyxovirus P mRNA editing. Embo J. 1990, 9, 2017–2022. [Google Scholar] [PubMed]
- Hausmann, S.; Garcin, D.; Delenda, C.; Kolakofsky, D. The versatility of paramyxovirus RNA polymerase stuttering. J. Virol. 1999, 73, 5568–5576. [Google Scholar] [PubMed]
- Fukuhara, N.; Huang, C.; Kiyotani, K.; Yoshida, T.; Sakaguchi, T. Mutational analysis of the Sendai virus V protein: importance of the conserved residues for Zn binding, virus pathogenesis, and efficient RNA editing. Virology 2002, 299, 172–181. [Google Scholar] [CrossRef] [PubMed]
- Liston, P.; Briedis, D.J. Measles virus V protein binds zinc. Virology 1994, 198, 399–404. [Google Scholar] [CrossRef] [PubMed]
- Paterson, R.G.; Leser, G.P.; Shaughnessy, M.A.; Lamb, R.A. The paramyxovirus SV5 V protein binds two atoms of zinc and is a structural component of virions. Virology 1995, 208, 121–131. [Google Scholar] [CrossRef] [PubMed]
- Mebatsion, T.; Verstegen, S.; De Vaan, L.T.C.; Romer-Oberdorfer, A.; Schrier, C.C. A Recombinant Newcastle Disease Virus with Low-Level V Protein Expression Is Immunogenic and Lacks Pathogenicity for Chicken Embryos. J. Virol. 2001, 75, 420–428. [Google Scholar] [CrossRef] [PubMed]
- Durbin, A.P.; McAuliffe, J.M.; Collins, P.L.; Murphy, B.R. Mutations in the C, D, and V open reading frames of human parainfluenza virus type 3 attenuate replication in rodents and primates. Virology 1999, 261, 319–330. [Google Scholar] [CrossRef] [PubMed]
- Huang, Z.; Krishnamurthy, S.; Panda, A.; Samal, S.K. Newcastle disease virus V protein is associated with viral pathogenesis and functions as an alpha interferon antagonist. J. Virol. 2003, 77, 8676–8685. [Google Scholar] [CrossRef] [PubMed]
- Bellini, W.J.; Englund, G.; Rozenblatt, S.; Arnheiter, H.; Richardson, C.D. Measles virus P gene codes for two proteins. J. Virol. 1985, 53, 908–919. [Google Scholar] [PubMed]
- Wang, L.-F.; Harcourt, B.H.; Yu, M.; Tamin, A.; Rota, P.A.; Bellini, W.J.; Eaton, B.T. Molecular biology of Hendra and Nipah viruses. Microbes and Infection 2001, 3, 279–287. [Google Scholar] [CrossRef] [PubMed]
- Kato, A.; Ohnishi, Y.; Kohase, M.; Saito, S.; Tashiro, M.; Nagai, Y. Y2, the smallest of the Sendai virus C proteins, is fully capable of both counteracting the antiviral action of interferons and inhibiting viral RNA synthesis. J. Virol. 2001, 75, 3802–3810. [Google Scholar] [CrossRef] [PubMed]
- Malur, A.G.; Hoffman, M.A.; Banerjee, A.K. The human parainfluenza virus type 3 (HPIV 3) C protein inhibits viral transcription. Virus Res. 2004, 99, 199–204. [Google Scholar] [CrossRef] [PubMed]
- Horikami, S.M.; Hector, R.E.; Smallwood, S.; Moyer, S.A. The Sendai virus C protein binds the L polymerase protein to inhibit viral RNA synthesis. Virology 1997, 235, 261–270. [Google Scholar] [CrossRef] [PubMed]
- Curran, J.; Marq, J.B.; Kolakofsky, D. The Sendai virus nonstructural C proteins specifically inhibit viral mRNA synthesis. Virology 1992, 189, 647–656. [Google Scholar] [CrossRef] [PubMed]
- Cadd, T.; Garcin, D.; Tapparel, C.; Itoh, M.; Homma, M.; Roux, L.; Curran, J.; Kolakofsky, D. The Sendai paramyxovirus accessory C proteins inhibit viral genome amplification in a promoter-specific fashion. J. Virol. 1996, 70, 5067–5074. [Google Scholar] [PubMed]
- Hasan, M.K.; Kato, A.; Muranaka, M.; Yamaguchi, R.; Sakai, Y.; Hatano, I.; Tashiro, M.; Nagai, Y. Versatility of the accessory C proteins of Sendai virus: contribution to virus assembly as an additional role. J. Virol. 2000, 74, 5619–5628. [Google Scholar] [CrossRef] [PubMed]
- Sakaguchi, T.; Kato, A.; Sugahara, F.; Shimazu, Y.; Inoue, M.; Kiyotani, K.; Nagai, Y.; Yoshida, T. AIP1/Alix is a binding partner of Sendai virus C protein and facilitates virus budding. J. Virol. 2005, 79, 8933–8941. [Google Scholar] [CrossRef] [PubMed]
- Kurotani, A.; Kiyotani, K.; Kato, A.; Shioda, T.; Sakai, Y.; Mizumoto, K.; Yoshida, T.; Nagai, Y. Sendai virus C proteins are categorically nonessential gene products but silencing their expression severely impairs viral replication and pathogenesis. Genes Cells 1998, 3, 111–124. [Google Scholar] [CrossRef] [PubMed]
- Bartlett, E.J.; Cruz, A.M.; Esker, J.; Castano, A.; Schomacker, H.; Surman, S.R.; Hennessey, M.; Boonyaratanakornkit, J.; Pickles, R.J.; Collins, P.L.; Murphy, B.R.; Schmidt, A.C. Human parainfluenza virus type 1 C proteins are nonessential proteins that inhibit the host interferon and apoptotic responses and are required for efficient replication in nonhuman primates. J. Virol. 2008, 82, 8965–8977. [Google Scholar] [CrossRef] [PubMed]
- Garcin, D.; Itoh, M.; Kolakofsky, D. A point mutation in the Sendai virus accessory C proteins attenuates virulence for mice, but not virus growth in cell culture. Virology 1997, 238, 424–431. [Google Scholar] [CrossRef] [PubMed]
- Patterson, J.B.; Thomas, D.; Lewicki, H.; Billeter, M.A.; Oldstone, M.B. V and C proteins of measles virus function as virulence factors in vivo. Virology 2000, 267, 80–89. [Google Scholar] [CrossRef] [PubMed]
- Delenda, C.; Taylor, G.; Hausmann, S.; Garcin, D.; Kolakofsky, D. Sendai viruses with altered P, V, and W protein expression. Virology 1998, 242, 327–337. [Google Scholar] [CrossRef] [PubMed]
- Kato, A.; Kiyotani, K.; Sakai, Y.; Yoshida, T.; Nagai, Y. The paramyxovirus, Sendai virus, V protein encodes a luxury function required for viral pathogenesis. Embo J. 1997, 16, 578–587. [Google Scholar] [CrossRef] [PubMed]
- Schneider, H.; Kaelin, K.; Billeter, M.A. Recombinant measles viruses defective for RNA editing and V protein synthesis are viable in cultured cells. Virology 1997, 227, 314–322. [Google Scholar] [CrossRef] [PubMed]
- Valsamakis, A.; Schneider, H.; Auwaerter, P.G.; Kaneshima, H.; Billeter, M.A.; Griffin, D.E. Recombinant measles viruses with mutations in the C, V, or F gene have altered growth phenotypes in vivo. J. Virol. 1998, 72, 7754–7761. [Google Scholar] [PubMed]
- Malmgaard, L. Induction and regulation of IFNs during viral infections. J. Interferon Cytokine Res. 2004, 24, 439–454. [Google Scholar] [PubMed]
- Sen, G.C. Viruses and interferons. Annu. Rev. Microbiol. 2001, 55, 255–281. [Google Scholar] [CrossRef] [PubMed]
- Randall, R.E.; Goodbourn, S. Interferons and viruses: an interplay between induction, signalling, antiviral responses and virus countermeasures. J. Gen. Virol. 2008, 89, 1–47. [Google Scholar] [CrossRef]
- Yoneyama, M.; Kikuchi, M.; Natsukawa, T.; Shinobu, N.; Imaizumi, T.; Miyagishi, M.; Taira, K.; Akira, S.; Fujita, T. The RNA helicase RIG-I has an essential function in double-stranded RNA-induced innate antiviral responses. Nat. Immunol. 2004, 5, 730–737. [Google Scholar] [CrossRef] [PubMed]
- Andrejeva, J.; Childs, K.S.; Young, D.F.; Carlos, T.S.; Stock, N.; Goodbourn, S.; Randall, R.E. The V proteins of paramyxoviruses bind the IFN-inducible RNA helicase, mda-5, and inhibit its activation of the IFN-beta promoter. Proc. Natl. Acad. Sci. U S A 2004, 101, 17264–17269. [Google Scholar] [CrossRef] [PubMed]
- Yoneyama, M.; Kikuchi, M.; Matsumoto, K.; Imaizumi, T.; Miyagishi, M.; Taira, K.; Foy, E.; Loo, Y.M.; Gale Jr., M.; Akira, S.; Yonehara, S.; Kato, A.; Fujita, T. Shared and unique functions of the DExD/H-box helicases RIG-I, MDA5, and LGP2 in antiviral innate immunity . J. Immunol. 2005, 175, 2851–2858. [Google Scholar] [PubMed]
- Childs, K.S.; Andrejeva, J.; Randall, R.E.; Goodbourn, S. Mechanism of mda-5 Inhibition by paramyxovirus V proteins. J. Virol. 2009, 83, 1465–1473. [Google Scholar] [CrossRef] [PubMed]
- Hiscott, J.; Lin, R.; Nakhaei, P.; Paz, S. MasterCARD: a priceless link to innate immunity. Trends Mol. Med. 2006, 12, 53–56. [Google Scholar] [CrossRef] [PubMed]
- Kawai, T.; Takahashi, K.; Sato, S.; Coban, C.; Kumar, H.; Kato, H.; Ishii, K.J.; Takeuchi, O.; Akira, S. IPS-1, an adaptor triggering RIG-I- and Mda5-mediated type I interferon induction. Nat. Immunol. 2005, 6, 981–988. [Google Scholar] [CrossRef]
- Meylan, E.; Curran, J.; Hofmann, K.; Moradpour, D.; Binder, M.; Bartenschlager, R.; Tschopp, J. Cardif is an adaptor protein in the RIG-I antiviral pathway and is targeted by hepatitis C virus. Nature 2005, 437, 1167–1172. [Google Scholar] [CrossRef] [PubMed]
- Seth, R.B.; Sun, L.; Ea, C.K.; Chen, Z.J. Identification and characterization of MAVS, a mitochondrial antiviral signaling protein that activates NF-kappaB and IRF 3. Cell 2005, 122, 669–682. [Google Scholar] [CrossRef] [PubMed]
- Cui, S.; Eisenacher, K.; Kirchhofer, A.; Brzozka, K.; Lammens, A.; Lammens, K.; Fujita, T.; Conzelmann, K.K.; Krug, A.; Hopfner, K.P. The C-terminal regulatory domain is the RNA 5'-triphosphate sensor of RIG-I. Mol. Cell 2008, 29, 169–179. [Google Scholar] [CrossRef] [PubMed]
- Kato, H.; Takeuchi, O.; Sato, S.; Yoneyama, M.; Yamamoto, M.; Matsui, K.; Uematsu, S.; Jung, A.; Kawai, T.; Ishii, K.J.; Yamaguchi, O.; Otsu, K.; Tsujimura, T.; Koh, C.S.; Reis e Sousa, C.; Matsuura, Y.; Fujita, T.; Akira, S. Differential roles of MDA5 and RIG-I helicases in the recognition of RNA viruses. Nature 2006, 441, 101–105. [Google Scholar] [CrossRef] [PubMed]
- Kato, H.; Takeuchi, O.; Mikamo-Satoh, E.; Hirai, R.; Kawai, T.; Matsushita, K.; Hiiragi, A.; Dermody, T.S.; Fujita, T.; Akira, S. Length-dependent recognition of double-stranded ribonucleic acids by retinoic acid-inducible gene-I and melanoma differentiation-associated gene 5. J. Exp. Med. 2008, 205, 1601–1610. [Google Scholar] [CrossRef] [PubMed]
- Hornung, V.; Ellegast, J.; Kim, S.; Brzozka, K.; Jung, A.; Kato, H.; Poeck, H.; Akira, S.; Conzelmann, K.K.; Schlee, M.; Endres, S.; Hartmann, G. 5'-Triphosphate RNA is the ligand for RIG-I. Science 2006, 314, 994–997. [Google Scholar] [CrossRef] [PubMed]
- Pichlmair, A.; Schulz, O.; Tan, C.P.; Naslund, T.I.; Liljestrom, P.; Weber, F.; Reis e Sousa, C. RIG-I-mediated antiviral responses to single-stranded RNA bearing 5'-phosphates. Science 2006, 314, 997–1001. [Google Scholar] [CrossRef] [PubMed]
- Takaoka, A.; Yanai, H. Interferon signalling network in innate defence. Cell. Microbiol. 2006, 8, 907–922. [Google Scholar] [CrossRef] [PubMed]
- Lutfalla, G.; Holland, S.J.; Cinato, E.; Monneron, D.; Reboul, J.; Rogers, N.C.; Smith, J.M.; Stark, G.R.; Gardiner, K.; Mogensen, K.E.; Kerr, I.M.; Uzé, G. Mutant U5A cells are complemented by an interferon-alpha beta receptor subunit generated by alternative processing of a new member of a cytokine receptor gene cluster. Embo J. 1995, 14, 5100–5108. [Google Scholar] [PubMed]
- Stancato, L.F.; David, M.; Carter-Su, C.; Larner, A.C.; Pratt, W.B. Preassociation of STAT1 with STAT2 and STAT3 in separate signalling complexes prior to cytokine stimulation. J. Biol. Chem. 1996, 271, 4134–4137. [Google Scholar] [CrossRef] [PubMed]
- Precious, B.; Childs, K.; Fitzpatrick-Swallow, V.; Goodbourn, S.; Randall, R.E. Simian virus 5 V protein acts as an adaptor, linking DDB1 to STAT2, to facilitate the ubiquitination of STAT1. J. Virol. 2005, 79, 13434–13441. [Google Scholar] [CrossRef] [PubMed]
- Tang, X.; Gao, J.S.; Guan, Y.J.; McLane, K.E.; Yuan, Z.L.; Ramratnam, B.; Chin, Y.E. Acetylation-dependent signal transduction for type I interferon receptor. Cell 2007, 131, 93–105. [Google Scholar] [CrossRef] [PubMed]
- Banninger, G.; Reich, N.C. STAT2 nuclear trafficking. J. Biol. Chem. 2004, 279, 39199–39206. [Google Scholar] [CrossRef] [PubMed]
- Reich, N.C.; Liu, L. Tracking STAT nuclear traffic. Nat. Rev. Immunol. 2006, 6, 602–612. [Google Scholar] [CrossRef] [PubMed]
- He, B.; Paterson, R.G.; Stock, N.; Durbin, J.E.; Durbin, R.K.; Goodbourn, S.; Randall, R.E.; Lamb, R.A. Recovery of paramyxovirus simian virus 5 with a V protein lacking the conserved cysteine-rich domain: the multifunctional V protein blocks both interferon-beta induction and interferon signaling. Virology 2002, 303, 15–32. [Google Scholar] [CrossRef] [PubMed]
- Childs, K.; Stock, N.; Ross, C.; Andrejeva, J.; Hilton, L.; Skinner, M.; Randall, R.; Goodbourn, S. mda-5, but not RIG-I, is a common target for paramyxovirus V proteins. Virology 2007, 359, 190–200. [Google Scholar] [CrossRef] [PubMed]
- Komatsu, T.; Takeuchi, K.; Gotoh, B. Bovine parainfluenza virus type 3 accessory proteins that suppress beta interferon production. Microbes Infect. 2007, 9, 954–962. [Google Scholar] [CrossRef] [PubMed]
- Parisien, J.P.; Bamming, D.; Komuro, A.; Ramachandran, A.; Rodriguez, J.J.; Barber, G.; Wojahn, R.D.; Horvath, C.M. A shared interface mediates paramyxovirus interference with antiviral RNA helicases MDA5 and LGP2. J. Virol. 2009, 83, 7252–7260. [Google Scholar] [CrossRef] [PubMed]
- Kiyotani, K.; Sakaguchi, T.; Kato, A.; Nagai, Y.; Yoshida, T. Paramyxovirus Sendai virus V protein counteracts innate virus clearance through IRF-3 activation, but not via interferon, in mice. Virology 2006, 359, 82–91. [Google Scholar] [CrossRef] [PubMed]
- Strahle, L.; Marq, J.B.; Brini, A.; Hausmann, S.; Kolakofsky, D.; Garcin, D. Activation of the beta interferon promoter by unnatural Sendai virus infection requires RIG-I and is inhibited by viral C proteins. J. Virol. 2007, 81, 12227–12237. [Google Scholar] [CrossRef] [PubMed]
- Strahle, L.; Garcin, D.; Kolakofsky, D. Sendai virus defective-interfering genomes and the activation of interferon-beta. Virology 2006, 351, 101–111. [Google Scholar] [CrossRef] [PubMed]
- Kato, H.; Sato, S.; Yoneyama, M.; Yamamoto, M.; Uematsu, S.; Matsui, K.; Tsujimura, T.; Takeda, K.; Fujita, T.; Takeuchi, O.; Akira, S. Cell type-specific involvement of RIG-I in antiviral response. Immunity 2005, 23, 19–28. [Google Scholar] [CrossRef] [PubMed]
- Saito, T.; Hirai, R.; Loo, Y.M.; Owen, D.; Johnson, C.L.; Sinha, S.C.; Akira, S.; Fujita, T.; Gale Jr., M. Proc. Natl. Acad. Sci. U S A 2007, 104, 582–587. [CrossRef] [PubMed]
- Poole, E.; He, B.; Lamb, R.A.; Randall, R.E.; Goodbourn, S. The V proteins of simian virus 5 and other paramyxoviruses inhibit induction of interferon-beta. Virology 2002, 303, 33–46. [Google Scholar] [CrossRef] [PubMed]
- Komatsu, T.; Takeuchi, K.; Yokoo, J.; Gotoh, B. C and V proteins of Sendai virus target signaling pathways leading to IRF-3 activation for the negative regulation of interferon-beta production. Virology 2004, 325, 137–148. [Google Scholar] [CrossRef] [PubMed]
- Van Cleve, W.; Amaro-Carambot, E.; Surman, S.R.; Bekisz, J.; Collins, P.L.; Zoon, K.C.; Murphy, B.R.; Skiadopoulos, M.H.; Bartlett, E.J. Attenuating mutations in the P/C gene of human parainfluenza virus type 1 (HPIV1) vaccine candidates abrogate the inhibition of both induction and signaling of type I interferon (IFN) by wild-type HPIV1. Virology 2006, 352, 61–73. [Google Scholar] [CrossRef] [PubMed]
- Nakatsu, Y.; Takeda, M.; Ohno, S.; Shirogane, Y.; Iwasaki, M.; Yanagi, Y. Measles virus circumvents the host interferon response by different actions of the C and V proteins. J. Virol. 2008, 82, 8296–8306. [Google Scholar] [CrossRef] [PubMed]
- Nakatsu, Y.; Takeda, M.; Ohno, S.; Koga, R.; Yanagi, Y. Translational inhibition and increased interferon induction in cells infected with C protein-deficient measles virus. J. Virol. 2006, 80, 11861–11867. [Google Scholar] [CrossRef] [PubMed]
- Didcock, L.; Young, D.F.; Goodbourn, S.; Randall, R.E. The V protein of simian virus 5 inhibits interferon signalling by targeting STAT1 for proteasome-mediated degradation. J. Virol. 1999, 73, 9928–9933. [Google Scholar] [PubMed]
- Parisien, J.P.; Lau, J.F.; Rodriguez, J.J.; Sullivan, B.M.; Moscona, A.; Parks, G.D.; Lamb, R.A.; Horvath, C.M. The V protein of human parainfluenza virus 2 antagonizes type I interferon responses by destabilizing signal transducer and activator of transcription 2. Virology 2001, 283, 230–239. [Google Scholar] [CrossRef] [PubMed]
- Kubota, T.; Yokosawa, N.; Yokota, S.; Fujii, N. Association of mumps virus V protein with RACK1 results in dissociation of STAT-1 from the alpha interferon receptor complex. J. Virol. 2002, 76, 12676–12682. [Google Scholar] [CrossRef] [PubMed]
- Parisien, J.P.; Lau, J.F.; Rodriguez, J.J.; Ulane, C.M.; Horvath, C.M. Selective STAT protein degradation induced by paramyxoviruses requires both STAT1 and STAT2 but is independent of alpha/beta interferon signal transduction. J. Virol. 2002, 76, 4190–4198. [Google Scholar] [CrossRef] [PubMed]
- Kubota, T.; Yokosawa, N.; Yokota, S.; Fujii, N. C terminal CYS-RICH region of mumps virus structural V protein correlates with block of interferon alpha and gamma signal transduction pathway through decrease of STAT 1-alpha. Biochem. Biophys. Res. Commun. 2001, 283, 255–259. [Google Scholar] [CrossRef] [PubMed]
- Ulane, C.M.; Horvath, C.M. Paramyxoviruses SV5 and HPIV2 assemble STAT protein ubiquitin ligase complexes from cellular components. Virology 2002, 304, 160–166. [Google Scholar] [CrossRef] [PubMed]
- Ulane, C.M.; Rodriguez, J.J.; Parisien, J.P.; Horvath, C.M. STAT3 ubiquitylation and degradation by mumps virus suppress cytokine and oncogene signaling. J. Virol. 2003, 77, 6385–6393. [Google Scholar] [CrossRef] [PubMed]
- Yokosawa, N.; Yokota, S.; Kubota, T.; Fujii, N. C-terminal region of STAT-1alpha is not necessary for its ubiquitination and degradation caused by mumps virus V protein. J. Virol. 2002, 76, 12683–12690. [Google Scholar] [CrossRef] [PubMed]
- Horvath, C.M. Silencing STATs: lessons from paramyxovirus interferon evasion. Cytokine Growth Factor Rev. 2004, 15, 117–127. [Google Scholar] [CrossRef] [PubMed]
- Nishio, M.; Garcin, D.; Simonet, V.; Kolakofsky, D. The carboxyl segment of the mumps virus v protein associates with stat proteins in vitro via a tryptophan-rich motif. Virology 2002, 300, 92. [Google Scholar] [CrossRef] [PubMed]
- Precious, B.; Young, D.F.; Andrejeva, L.; Goodbourn, S.; Randall, R.E. In vitro and in vivo specificity of ubiquitination and degradation of STAT1 and STAT2 by the V proteins of the paramyxoviruses simian virus 5 and human parainfluenza virus type 2. J. Gen. Virol. 2005, 86, 151–158. [Google Scholar] [CrossRef] [PubMed]
- Nishio, M.; Tsurudome, M.; Ito, M.; Garcin, D.; Kolakofsky, D.; Ito, Y. Identification of paramyxovirus V protein residues essential for STAT protein degradation and promotion of virus replication. J. Virol. 2005, 79, 8591–8601. [Google Scholar] [CrossRef] [PubMed]
- Ulane, C.M.; Kentsis, A.; Cruz, C.D.; Parisien, J.P.; Schneider, K.L.; Horvath, C.M. Composition and assembly of STAT-targeting ubiquitin ligase complexes: paramyxovirus V protein carboxyl terminus is an oligomerization domain. J. Virol. 2005, 79, 10180–10189. [Google Scholar] [CrossRef] [PubMed]
- Precious, B.L.; Carlos, T.S.; Goodbourn, S.; Randall, R.E. Virology 2007, 368, 114–121. [CrossRef] [PubMed]
- Hagmaier, K.; Stock, N.; Precious, B.; Childs, K.; Wang, L.F.; Goodbourn, S.; Randall, R.E. Mapuera virus, a rubulavirus that inhibits interferon signalling in a wide variety of mammalian cells without degrading STATs. J. Gen. Virol. 2007, 88, 956–966. [Google Scholar] [CrossRef] [PubMed]
- Nishio, M.; Tsurudome, M.; Ito, M.; Ito, Y. Human parainfluenza virus type 4 is incapable of evading the interferon-induced antiviral effect. J. Virol. 2005, 79, 14756–14768. [Google Scholar] [CrossRef] [PubMed]
- Palosaari, H.; Parisien, J.P.; Rodriguez, J.J.; Ulane, C.M.; Horvath, C.M. STAT protein interference and suppression of cytokine signal transduction by measles virus V protein. J. Virol. 2003, 77, 7635–7644. [Google Scholar] [CrossRef] [PubMed]
- Yokota, S.; Saito, H.; Kubota, T.; Yokosawa, N.; Amano, K.; Fujii, N. Measles virus suppresses interferon-alpha signaling pathway: suppression of Jak1 phosphorylation and association of viral accessory proteins, C and V, with interferon-alpha receptor complex. Virology 2003, 306, 135–146. [Google Scholar] [CrossRef] [PubMed]
- Caignard, G.; Guerbois, M.; Labernardiere, J.L.; Jacob, Y.; Jones, L.M.; Wild, F.; Tangy, F.; Vidalain, P.O. Measles virus V protein blocks Jak1-mediated phosphorylation of STAT1 to escape IFN-alpha/beta signaling. Virology 2007, 368, 351–362. [Google Scholar] [CrossRef] [PubMed]
- Caignard, G.; Bourai, M.; Jacob, Y.; Tangy, F.; Vidalain, P.O. Inhibition of IFN-alpha/beta signaling by two discrete peptides within measles virus V protein that specifically bind STAT1 and STAT2. Virology 2009, 383, 112–120. [Google Scholar] [CrossRef] [PubMed]
- Devaux, P.; von Messling, V.; Songsungthong, W.; Springfeld, C.; Cattaneo, R. Tyrosine 110 in the measles virus phosphoprotein is required to block STAT1 phosphorylation. Virology 2007, 360, 72–83. [Google Scholar] [CrossRef] [PubMed]
- Fontana, J.M.; Bankamp, B.; Bellini, W.J.; Rota, P.A. Regulation of interferon signaling by the C and V proteins from attenuated and wild-type strains of measles virus. Virology 2008, 374, 71–81. [Google Scholar] [CrossRef] [PubMed]
- Ohno, S.; Ono, N.; Takeda, M.; Takeuchi, K.; Yanagi, Y. Dissection of measles virus V protein in relation to its ability to block alpha/beta interferon signal transduction. J. Gen. Virol. 2004, 85, 2991–2999. [Google Scholar] [CrossRef] [PubMed]
- Ramachandran, A.; Parisien, J.P.; Horvath, C.M. STAT2 is a primary target for measles virus V protein-mediated alpha/beta interferon signaling inhibition. J. Virol. 2008, 82, 8330–8338. [Google Scholar] [CrossRef] [PubMed]
- Takeuchi, K.; Takeda, M.; Miyajima, N.; Ami, Y.; Nagata, N.; Suzaki, Y.; Shahnewaz, J.; Kadota, S.; Nagata, K. Stringent requirement for the C protein of wild-type measles virus for growth both in vitro and in macaques. J. Virol. 2005, 79, 7838–7844. [Google Scholar] [CrossRef] [PubMed]
- Gotoh, B.; Takeuchi, K.; Komatsu, T.; Yokoo, J.; Kimura, Y.; Kurotani, A.; Kato, A.; Nagai, Y. Knockout of the Sendai virus C gene eliminates the viral ability to prevent the interferon-alpha/beta-mediated responses. FEBS Lett. 1999, 459, 205–210. [Google Scholar] [CrossRef] [PubMed]
- Komatsu, T.; Takeuchi, K.; Yokoo, J.; Tanaka, Y.; Gotoh, B. Sendai virus blocks alpha interferon signaling to signal transducers and activators of transcription. J. Virol. 2000, 74, 2477–2480. [Google Scholar] [CrossRef] [PubMed]
- Gotoh, B.; Takeuchi, K.; Komatsu, T.; Yokoo, J. The STAT2 activation process is a crucial target of Sendai virus C protein for the blockade of alpha interferon signaling. J. Virol. 2003, 77, 3360–3370. [Google Scholar] [CrossRef] [PubMed]
- Garcin, D.; Curran, J.; Itoh, M.; Kolakofsky, D. Longer and shorter forms of Sendai virus C proteins play different roles in modulating the cellular antiviral response. J. Virol. 2001, 75, 6800–6807. [Google Scholar] [CrossRef] [PubMed]
- Garcin, D.; Curran, J.; Kolakofsky, D. Sendai virus C proteins must interact directly with cellular components to interfere with interferon action. J. Virol. 2000, 74, 8823–8830. [Google Scholar] [CrossRef] [PubMed]
- Garcin, D.; Latorre, P.; Kolakofsky, D. Sendai virus C proteins counteract the interferon-mediated induction of an antiviral state. J. Virol. 1999, 73, 6559–6565. [Google Scholar] [PubMed]
- Kato, A.; Ohnishi, Y.; Hishiyama, M.; Kohase, M.; Saito, S.; Tashiro, M.; Nagai, Y. The amino-terminal half of Sendai virus C protein is not responsible for either counteracting the antiviral action of interferons or down-regulating viral RNA synthesis. J. Virol. 2002, 76, 7114–7124. [Google Scholar] [CrossRef] [PubMed]
- Garcin, D.; Marq, J.B.; Goodbourn, S.; Kolakofsky, D. The amino-terminal extensions of the longer Sendai virus C proteins modulate pY701-Stat1 and bulk Stat1 levels independently of interferon signaling. J. Virol. 2003, 77, 2321–2329. [Google Scholar] [CrossRef] [PubMed]
- Saito, S.; Ogino, T.; Miyajima, N.; Kato, A.; Kohase, M. Dephosphorylation failure of tyrosine-phosphorylated STAT1 in IFN-stimulated Sendai virus C protein-expressing cells. Virology 2002, 293, 205–209. [Google Scholar] [CrossRef] [PubMed]
- Komatsu, T.; Takeuchi, K.; Yokoo, J.; Gotoh, B. Sendai virus C protein impairs both phosphorylation and dephosphorylation processes of Stat1. FEBS Lett 2002, 511, 139–144. [Google Scholar] [CrossRef] [PubMed]
- Takeuchi, K.; Komatsu, T.; Yokoo, J.; Kato, A.; Shioda, T.; Nagai, Y.; Gotoh, B. Sendai virus C protein physically associates with Stat1. Genes Cells 2001, 6, 545–557. [Google Scholar] [CrossRef] [PubMed]
- Bousse, T.; Chambers, R.L.; Scroggs, R.A.; Portner, A.; Takimoto, T. Human parainfluenza virus type 1 but not Sendai virus replicates in human respiratory cells despite IFN treatment. Virus Res. 2006, 121, 23–32. [Google Scholar] [CrossRef] [PubMed]
- Chambers, R.; Takimoto, T. Host specificity of the anti-interferon and anti-apoptosis activities of parainfluenza virus P/C gene products. J. Gen. Virol. 2009, 90, 1906–1915. [Google Scholar] [CrossRef] [PubMed]
- Malur, A.G.; Chattopadhyay, S.; Maitra, R.K.; Banerjee, A.K. Inhibition of STAT 1 phosphorylation by human parainfluenza virus type 3 C protein. J. Virol. 2005, 79, 7877–7882. [Google Scholar] [CrossRef] [PubMed]
- Barber, G.N. Host defense, viruses and apoptosis. Cell Death Differ 2001, 8, 113–126. [Google Scholar] [CrossRef]
- Sun, M.; Rothermel, T.A.; Shuman, L.; Aligo, J.A.; Xu, S.; Lin, Y.; Lamb, R.A.; He, B. Conserved cysteine-rich domain of paramyxovirus simian virus 5 V protein plays an important role in blocking apoptosis. J. Virol. 2004, 78, 5068–5078. [Google Scholar] [CrossRef] [PubMed]
- Park, M.S.; Garcia-Sastre, A.; Cros, J.F.; Basler, C.F.; Palese, P. Newcastle disease virus V protein is a determinant of host range restriction. J. Virol. 2003, 77, 9522–9532. [Google Scholar] [CrossRef] [PubMed]
- Koyama, A.H.; Irie, H.; Kato, A.; Nagai, Y.; Adachi, A. Virus multiplication and induction of apoptosis by Sendai virus: role of the C proteins. Microbes Infect. 2003, 5, 373–378. [Google Scholar] [CrossRef] [PubMed]
- Toth, A.M.; Devaux, P.; Cattaneo, R.; Samuel, C.E. Protein kinase PKR mediates the apoptosis induction and growth restriction phenotypes of C protein-deficient measles virus. J. Virol. 2009, 83, 961–968. [Google Scholar] [CrossRef] [PubMed]
- Wansley, E.K.; Parks, G.D. Naturally occurring substitutions in the P/V gene convert the noncytopathic paramyxovirus simian virus 5 into a virus that induces alpha/beta interferon synthesis and cell death. J. Virol. 2002, 76, 10109–10121. [Google Scholar] [CrossRef] [PubMed]
- Dillon, P.J.; Parks, G.D. Role for the phosphoprotein P subunit of the paramyxovirus polymerase in limiting induction of host cell antiviral responses. J. Virol. 2007, 81, 11116–11127. [Google Scholar] [CrossRef] [PubMed]
- Cruz, C.D.; Palosaari, H.; Parisien, J.P.; Devaux, P.; Cattaneo, R.; Ouchi, T.; Horvath, C.M. Measles virus V protein inhibits p53 family member p73. J. Virol. 2006, 80, 5644–5650. [Google Scholar] [CrossRef] [PubMed]
- Didcock, L.; Young, D.F.; Goodbourn, S.; Randall, R.E. Sendai virus and simian virus 5 block activation of interferon-responsive genes: importance for virus pathogenesis. J. Virol. 1999, 73, 3125–3133. [Google Scholar] [PubMed]
- Young, D.F.; Chatziandreou, N.; He, B.; Goodbourn, S.; Lamb, R.A.; Randall, R.E. Single amino acid substitution in the V protein of simian virus 5 differentiates its ability to block interferon signaling in human and murine cells. J. Virol. 2001, 75, 3363–3370. [Google Scholar] [CrossRef] [PubMed]
- Parisien, J.P.; Lau, J.F.; Horvath, C.M. STAT2 acts as a host range determinant for species-specific paramyxovirus interferon antagonism and simian virus 5 replication. J. Virol. 2002, 76, 6435–6441. [Google Scholar] [CrossRef] [PubMed]
© 2009 by the authors; licensee Molecular Diversity Preservation International, Basel, Switzerland This is an open-access article distributed under the terms of the Creative Commons Attribution License, which permits unrestricted use, distribution, and reproduction in any medium, provided the original work is properly cited.
Share and Cite
Chambers, R.; Takimoto, T. Antagonism of Innate Immunity by Paramyxovirus Accessory Proteins. Viruses 2009, 1, 574-593. https://doi.org/10.3390/v1030574
Chambers R, Takimoto T. Antagonism of Innate Immunity by Paramyxovirus Accessory Proteins. Viruses. 2009; 1(3):574-593. https://doi.org/10.3390/v1030574
Chicago/Turabian StyleChambers, Raychel, and Toru Takimoto. 2009. "Antagonism of Innate Immunity by Paramyxovirus Accessory Proteins" Viruses 1, no. 3: 574-593. https://doi.org/10.3390/v1030574
APA StyleChambers, R., & Takimoto, T. (2009). Antagonism of Innate Immunity by Paramyxovirus Accessory Proteins. Viruses, 1(3), 574-593. https://doi.org/10.3390/v1030574
 
        

 
       