Abstract
Increasing atmospheric nitrogen (N) deposition has profound effects on carbon (C) cycling in forest ecosystems. As an important part of belowground C dynamics, soil respiration is potentially affected by changing N availability. However, the responses of total soil respiration (RST) and its three components, soil respiration derived from plant roots (RSR), root-free soil (RSS) and the litter layer (RSL), to such N enrichment remains poorly understood. To assess the effects of N enrichment on soil respiration components, three levels of N addition, namely low (LN, 50 kg N ha−1 year−1), medium (MN, 100 kg N ha−1 year−1) and high (HN, 150 kg N ha−1 year−1), were conducted over five growing seasons from 2011 to 2015 in a temperate Chinese pine (Pinus tabulaeformis) forest in northern China. A control plot without N addition (CK) was also established. The five-year mean annual rate of RST was 2.18 ± 0.43 μmol m−2 s−1, and the contributions of RSR, RSS and RSL were 8.8 ± 3.1%, 82.2 ± 4.5% and 9.0 ± 5.5%, respectively. Compared with CK, RST was significantly increased by 16.5% in the HN plots, but not in the LN or MN treatments. RSS was significantly decreased by 18.1%, 26.6% and 18.4% in the LN, MN and HN plots, respectively, due to the reduction of both microbial biomass carbon (MBC) and enzyme activity. In contrast, RSR was increased by more than twice under the MN treatment, which promoted root growth and activity (higher fine root biomass and N concentration). A significant elevation in RSL was only detected in the HN plots, where the increased litter input enhanced litter decomposition and hence RSL. Our findings clearly demonstrated that N addition of different intensities had different effects on soil components. In particular, the above- and belowground components of heterotrophic respiration, RSL and RSR, showed contrasting responses to high level addition of N. Thus, we highlight that the response of soil respiration components to N addition should be examined individually. Our results may contribute to a better understanding of soil respiration dynamics under future N scenarios, and have important implications in forest management.
1. Introduction
Anthropogenic activities, including fossil fuel combustion and nitrogen (N)-based fertilizer application, have caused a three- to five-fold increase in the deposition of atmospheric N over the last century [1,2,3]. Nitrogen deposition is predicted to continue to increase 2.5-fold by the end of the century [2]. Given that N is often a limiting nutrient for plant growth in terrestrial ecosystems, the rapid increase in N deposition may have profound effects on ecosystem processes and functioning, such as plant growth and productivity [4,5], soil properties [6,7] and the biogeochemical cycling of carbon (C) [8].
As the second largest C flux in terrestrial ecosystems, soil respiration (RS) plays an important role in global and regional C cycling [9,10]. Total soil respiration (RST) consists of autotrophic and heterotrophic components [11,12]. Autotrophic respiration derives from plant roots and its symbionts (RSR), whereas heterotrophic respiration originates from the decomposition of root-free soil organic C (RSS) and litter (RSL) by microbes and fauna. Previous studies using N addition experiments have examined how changes in N availability affect these RS components. For example, N addition may directly stimulate the growth of plant roots [13], thus promoting RSR. Moreover, N addition may enhance the quality and quantity of plant litter input [14,15], which subsequently increases RSL. A study in a natural forest of Castanopsis carlesii (Fagaceae) found that total soil respiration increased 24% in response to a doubling of the litter input, which was possibly because more dissolved organic C was provided from the litter into the soil [16]. However, these positive effects of N addition on RS components may shift to negative if N becomes saturated. When N input was excessive, the growth of roots may be suppressed by N-induced soil acidification and ammonium toxicity [17], resulting in lower RSR. Likewise, N-induced soil acidification may decrease microbial biomass [8,18], alter the activity or expression of soil enzymes [19,20,21] and cause a shift in microbial community composition towards a high C use community [22,23]. A reduction in RSs due to inhibited microbial tissues activity at high levels of N deposition was observed globally [9]. Since RSR, RSS and RSL are associated with different biotic and abiotic processes, their responses to N addition might be different [24]. It has been suggested that root and microbial activities varied independently of each other under changing soil N availability, especially under high N addition levels [11,25]. A study examining soil respiration in response to N addition treatment in a young Cunninghamia lanceolata (Taxodiaceae) forest in subtropical China found that the reduction of autotrophic respiration was due to the decline of fine root biomass, whereas the reduction of heterotrophic respiration was attributed to the decrease in microbial biomass carbon [12]. Despite a number of studies focusing on the direction and magnitude of C dynamic responses to elevated N, the way in which RS components (RSR, RSS and RSL) respond to multiple N levels remains unexplored.
Numerous biotic and abiotic factors are assumed to regulate RS and its components. RSR is regulated by root biomass and plant photosynthesis [6,26,27], while RSS may be more dependent on microbial biomass carbon (MBC) and enzyme activity [28], and RSL by litter quantity and quality [29]. N addition is likely to affect RS through impacts on these drivers. However, to date, we know little about how these factors directly and indirectly regulate RSR, RSS and RSL across a range of N additions.
To address the responses of RSS, RSL and RSR to a range of N additions and the underlying mechanisms, a five-year field experiment simulating low/medium/high levels of N deposition was conducted in a Chinese pine (Pinus tabulaeformis) forest in northern China. As one of the most important afforestation tree species, P. tabulaeformis is widely distributed in northern China, and is characterized by its developed root system, high adaptability, drought resistance, and the ability to grow in poor soil. China is experiencing intense atmospheric N deposition, with inevitable implications on forest ecosystems [30]. Therefore, it is very urgent to study the carbon cycling processes (e.g., soil respiration) of P. tabulaeformis forest under the background of high exogenous nitrogen input, which has practical significance in forest management. Changes in quality and quantity of litter are another important factor influencing forest soil carbon processes [31]. However, the feedback between soil carbon dynamics and the interaction of N additions and litter removal remain poorly understood. The main purposes of this research were to examine (1) the general response pattern of RST to multiple N addition levels; (2) the individual response of RSR, RSS and RSL to N addition and their relative contributions to RST; and (3) the primary controlling factors of RSR, RSS and RSL along the N addition gradient. Due to the fact that long-term N addition may cause different effects on RS controlling factors, and RS components may be regulated independently by these factors, we hypothesized that RSR, RSS and RSL would likely respond contrastively across the five-year observation period.
2. Materials and Methods
2.1. Study Site and Experimental Design
The study was carried out at Taiyue Mountain Ecosystem Research Station (112°01′ E–112°15′ E, 36°31′ N–36°43′ N, 1150–2088 m above sea level), Shanxi Province, northern China. The region is classified as a warm-temperate, semi-arid, continental, monsoon climate with a mean annual temperature of 9.9 °C. The highest monthly average temperature is 22.4 °C in July, and the lowest is −4.6 °C in January. Mean annual precipitation is about 662 mm, and mean relative humidity is 65% [32]. The soil is a typical Cambisol according to the FAO (Food and Agriculture Organization of the United Nations) classification system. Basic site characteristics are shown in Table 1. The study site is a 45-year old natural forest (~1200 stems per hectare) dominated by P. tabulaeformis (>90% basal area). The study site was not subjected to extensive logging disturbances, but was occasionally harvested by local residents. A strict logging ban by the government was established since the early 1990s. The canopy layer is dominated by Pinus tabulaeformis with a mean breast-height diameter of 25.2 cm (Table 1). The understory layer mainly consists of Ostryopsis davidiana, Lespedeza bicolor, Hippophae rhamnoides, Corylus mandshurica, Swida bretchneideri, Rosa xanthina and Diarrhena manshurica.
Table 1.
Site characteristics of the treatment plots before nitrogen (N) addition in the Pinus tabulaeformis forest. CK, LN, MN and HN denote control, low N, medium N and high N treatment, respectively. DBH is the tree diameter at breast height. Data are mean ± SE.
The experiment was arranged in a complete randomized block design with three replicate blocks. Each block had four permanent plots and a total of 12 plots (20 m × 20 m) were established. There was at least a 15 m buffer between two adjacent plots. Therefore, it is less likely that N added to one plot could be transported to another plot. Each plot received one of the four levels of N addition (0, 50, 100 and 150 kg N ha−1 year−1, labeled CK, LN, MN and HN, respectively). The rate of N addition was chosen according to the current atmospheric N deposition (~20 kg N ha−1 year−1) and the annual rates of increase in deposition (0.42 kg N ha−1 year−1) in northern China [32]. The LN (50 kg N ha−1 year−1), MN (100 kg N ha−1 year−1) and HN (150 kg N ha−1 year−1) level treatments were designed to represent the predicted level of N deposition in the next 50, 200 and 300 years. Nitrogen was added in the form of ammonium nitrate (NH4NO3). At each plot, one-sixth of the annual N fertilizer was dissolved in 20 L deionized water and sprayed at the end of each month from May to October. The control plots received 20 L deionized water without fertilizer.
2.2. Measurements of Soil Respiration and Its Components, Soil Temperature and Moisture
In May 2009, each plot was further randomly and evenly divided into three subplots (2 m × 2 m), and one of three treatments were assigned to each subplot: Intact (IT), no litter (NL), and no root and litter (NRL).
- (1)
- IT: Subplots in the natural state. Soil respiration measured in IT subplots represented the total respiration (RST);
- (2)
- NL: Subplots subjected to litter layer removal. Litter was excluded from the NL subplots with 1-mm nylon mesh suspended 1 m above the ground. CO2 efflux in NL subplots (RSNL) exclude soil respiration from the litter layer (RSL), thus RSL could be calculated as:RSL = RST − RSNL
- (3)
- NRL: Subplots subjected to both litter removal and trenching. The subplots were trenched to 1 m depth and pieces of polyethylene board were inserted into the inner side of trenches to prevent new roots from growing into the subplots, then the soils were backfilled layer by layer. Two years later after trenching, we found no visual living roots in the trenched subplots by collecting soil cores (4 cm diameter, 1 m depth) in May 2011.
CO2 efflux in NRL subplots was derived from root-free soil (RSS). Thus, root respiration (RSR) could be calculated as:
RSR = RSNL − RSS
A PVC collar (20 cm in diameter and 8 cm in height) was inserted 5 cm into the soil in each subplot to measure the soil respiration components. The aboveground part of the living plants inside the collars was completely removed by clipping to eliminate aboveground plant respiration. Soil respiraiton rates were measured biweekly from May to October during 2011–2015, using a LI-8100 automatic soil CO2 flux system (LI-COR Inc., Lincoln, NE, USA). Measurements were conducted on sunny days. Three-round measurements of soil respiration in all the collars were completed within one day, between 8:00 a.m. and 18:00 p.m., to reduce the influence of air temperature fluctuations. The mean daily rates of soil respiration were then calculated for further analyses by averaging the three-round measurements. Each measurement usually required 3 min. At the same time, soil temperature (T) at 10 cm depth was recorded adjacent to each collar using a portable probe (Li-8100-201). Volumetric soil moisture (W) of 0–10 cm depth was measured using a TRIME TDR probe (IMKO, Ettlingen, Germany).
2.3. Soil Sampling and Laboratory Analyses
About half a month after N addition treatment, five soil cores (2.5 cm diameter, 10 cm depth) were randomly collected in each subplot and then mixed to form a composite sample in July 2015. After removing roots and plant residues, the composite sample was sieved through a 2-mm mesh sieve and divided into two parts. One part of the fresh soil was used for the analysis of soil extractable N, microbial biomass carbon (MBC) and soil enzymes. The other part was air dried for the analysis of soil organic C (SOC), total soil N and pH. Soil extractable N was determined by extraction with 2M KCl solution, reacted with sodium salicylate and sodium hypochlorite to form a blue compound, using sodium nitroprusside as a catalyst. The blue compound was then analyzed using a continuous-flow auto-analyzer (AA3, Seal Analytical, Norderstedt, Germany) by colorimetry. Microbial biomass carbon (MBC) was measured using the chloroform direct-fumigation extraction method [33,34]; the extract was analyzed using a Multi N/C3100 TOC analyzer (Analytikjena AG, Jena, Germany). Soil cores for measuring soil enzymes were only collected in intact subplots within each plot. Soil invertase and cellulase were determined using the DNS (3,5-dinitrosalicylic acid) method [35], by the detection of the amount of reducing sugars released. For this method, the substrate and incubation conditions were set to sucrose at 37 °C for 24 h and CM-cellulose (carboxymethyl cellulose) at 50 °C for 48 h, for invertase and cellulase, respectively. The activities of soil polyphenol oxidase and peroxidase were ascertained by the pyrogallol method, as according to Ladd [36], through the determination of purpurogallin and pyrogallic acid, respectively. For this method, the substrate and incubation conditions were set to 1,2,3-benzenetriol at 30 °C for 3 h and a mixture of 1,2,3-benzenetriol and hydrogen peroxide at 30 °C for 1 h, for polyphenol oxidase and peroxidase, respectively. The enzyme activity was expressed as the specific determination product produced per unit dry soil mass and per unit time (mg g−1 h−1 or μg g−1 h−1). Soil organic C (SOC) was measured by a C/N analyzer (Elementar, Langenselbold, Germany), total soil N was determined by the Kjeldahl method, and the extract was determined by a 2300 Kjeltec Analyzer Unit (FOSS, Höganäs, Sweden). Soil pH was measured with a glass electrode in a 1:2.5 soil-to-water ratio.
2.4. Litter Biomass, Fine Root Biomass and Fine Root N Concentration
Litter was collected monthly in each plot using three litter traps of 80 × 80 cm2 and was weighed after drying at 80 °C for 48 h. Fine roots (diameter < 2 mm) were sampled in August 2015 using an auger with a 10 cm inner diameter. In each plot, three soil cores were excavated to a depth of 10 cm and then passed through a 1-mm mesh sieve. Roots left in the sieve were collected, over-dried to a constant weight at 65 °C to a constant weight and weighed to determine fine root (diameter < 2 mm) biomass. After measuring the fine root biomass, the N concentrations of the fine roots were determined by acid digestion, according to the Kjeldahl method.
2.5. Statistical Analyses
One-way ANOVA with Tukey’s LSD test was used to test the differences between the rates of soil respiration and its components, the contribution of the soil respiration components to total respiration, soil properties, and plant and microbial characteristics, across the different treatments. Data were log transformed to meet assumptions of normality. Repeated-measures ANOVA was performed to test the effects of year, N treatment and their interaction on the soil respiration components. Pearson correlation was used to measure the degree of association between the soil respiration components and the biotic and abiotic factors. All statistical analyses were performed using R version 3.4.0 (R Core Team, 2016, A language and environment for statistical computing. R Foundation for Statistical Computing, Vienna, Austria). The significance level was set at α = 0.05.
3. Results
3.1. Soil Temperature and Moisture
Consistent seasonal variations in soil temperature were observed in all plots (Figure A1). Soil temperature began to increase in April, reached a maximum in July or August, and then decreased. Variation in soil moisture was inconsistent across the years. Overall, there were no significant differences in soil temperature or moisture among N-addition treatments (Table 2). Mean annual soil temperature and moisture was 11.36 °C and 33.39%, respectively.
Table 2.
Comparisons of soil organic C (SOC), total and extractable N, pH, soil temperature and moisture after 5-year N addition in the Pinus tabulaeformis forest. CK, LN, MN and HN denote control, low N, medium N and high N treatment, respectively. Significant differences (p < 0.05) by N treatments were labeled with different letters across columns. SOC and MBC represents soil organic C and microbial biomass C, respectively. Data are mean ± SE.
3.2. Soil Respiration and Its Components
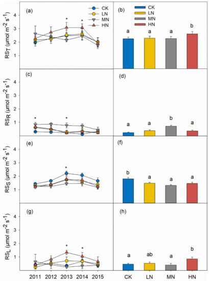
The soil respiration of the different subplots (IT, NR and NRL) showed strong seasonal dynamics, in accordance with variation in soil temperature (Figure 1). Soil respiration rates of IT, NR and NRL all reached a peak value in July or August (Figure 1a). Repeated-measures ANOVA showed that total soil respiration and its components were significantly influenced by N treatment (Table 3). Significant inter-annual difference was observed for RST, RSR and RSS, but not for RSL (Table 3). The interactive effects between N addition and year were insignificant for all treatments, indicating that the N addition effect was similar across the five years. Mean annual rates of RST, RSR, RSS and RSL have different inter-annual variations (Figure 2a,c,e,g). N addition of the highest level (HN) significantly increased the mean annual RST by 16.5% in the HN plots compared with CK plots. However, light and medium N addition did not show a significant effect on RST, compared with CK (Figure 2b). The soil respiration component originating from plant roots (RSR) increased more than twice in the MN (Figure 2d). In contrast, the respiration component flux from root removal soil (RSS) was significantly reduced by 18.1%, 26.6% and 18.4% for LN, MN, and HN (Figure 2f), respectively. Only HN had a positive effect on soil respiration derived from the litter layer (RSL), which was significantly increased by more than twice for these plots, but not the LN and MN treatments (Figure 2h). Mean contributions of RSR, RSS and RSL to RST were 8.8%, 82.2% and 9.0%, respectively, in the control plots (Figure 3). MN increased the contribution of RSR to RST (RSR/RST ratio) while HN increased the RSL/RST ratio. The RSS/RST was significantly reduced in all N-addition treatments (Figure 3).
Figure 1.
Inter-annual dynamics of soil respiration and its components under different N levels in the Pinus tabulaeformis forest. (a–c) represent intact, no litter, and no root and litter, respectively.
Table 3.
F-values of repeated-measures ANOVA for soil respiration RST, RSS, RSL, and RSR from 2011 to 2015. RST, total soil respiration; RSS, RSL, and RSR represent the soil respiration components derived from root removal soil, litter layer, and plant root, respectively. * p < 0.05; *** p < 0.001.
Figure 2.
Averaged total soil respiration (RST) (a,b), and plant root (RSR) (c,d), root removal soil (RSS) (e,f) and litter layer (RSL) (g,h) from 2011 to 2015 in the planted forest of Chinese pine. The histograms represent the average values over the five years. CK, LN, MN and HN represent control, low N, medium N and high N treatment, respectively. A star on the top of bars represents significant differences (p < 0.05). Different letters represent significant difference between N addition treatments (p < 0.05). Data are mean ± SE.
Figure 3.
Mean values of the contribution of the soil respiration components to total respiration fluxes across five years. CK, LN, MN and HN represent control, low N, medium N and high N treatment, respectively. Different letters represent significant difference between N addition treatments (p < 0.05). Data are mean ± SE.
3.3. Litter Biomass, Fine Root Biomass and N Concentration of Fine Root
On average, fine root biomass was 80.88, 129.14, 133.33 and 101.00 g m−2 in the CK, LN, MN, and HN plots, respectively. All N-addition treatments significantly increased the fine root biomass (Figure 4a). However, a significant increase in fine root N concentration was only observed in the MN and HN plots, but not the LN plot (Figure 4b). Litter biomass tended to increase along the N-addition gradient, however, the elevation was significant only for the HN plot (Figure 4c).
Figure 4.
Responses of (a) fine root biomass, (b) fine root N concentration, (c) litter biomass, (d) microbial biomass C, and (e–h) soil enzyme activity to 5-years of N addition in the Pinus tabulaeformis forest. Different letters on the top of bars represent significant differences (p < 0.05). Data are mean ± SE.
3.4. Soil Chemical Properties and Microbial Characteristics
N addition was likely to reduce microbial biomass C (MBC) and the enzyme activities. MBC was significantly declined by 16.7% and 22.1%, respectively, in the MN and HN plots (Figure 4d). The activities of both cellulase and polyphenol oxidase were suppressed by N addition, regardless of the N enrichment level (Figure 4e,h). For peroxidase, only MN significantly reduced its activity (Figure 4g). N addition treatments had negligible effects on the activity of invertase (Figure 4f).
Correlation analyses indicated that RSR was positively correlated with fine root biomass and fine root N concentration, RSS was positively related to pH, MBC, cellulose and peroxidase, while RSL was positively correlated with litter biomass (Table 4).
Table 4.
The correlation coefficients between soil respiration rates and soil temperature, soil chemical properties, fine root biomass and microbial characteristics in the Pinus tabulaeformis forest. Only statistically significant factors were retained in the table. * p < 0.05; ** p < 0.01.
4. Discussion
4.1. Effects of N Addition on RST
N addition has been shown to have inconsistent effects on soil respiration, including positive [37], negative [9,12], or no effect [28,38]. This inconsistency may be related to the N-induced changes in substrate supply (e.g., litterfall, belowground C allocation and root biomass), microbial biomass and metabolism [9,39]. More importantly, each of the source components of soil respiration involves a variety of different biological and ecological processes, and thus is likely to respond differently to environmental change [40,41]. In this study, N addition of the heaviest intensity (HN) significantly increased total soil respiration for this treatment class, but the light to medium N addition had a rather weak effect on RST. The result may be associated with the different responses of the components of RST (RSS, RSS and RSL) to N addition.
4.2. Reduction of RSS in Response to N Addition
Heterotrophic soil respiration originates from the decomposition of soil organic carbon (RSS) and litterfall (RSL). In the present study, RSS was significantly reduced by all three levels of N addition. There could be several reasons for this result. First, N addition may directly decrease microbial C (MBC) [42] and suppress the activities of cellulose-degrading (cellulase) and lignin-decomposing (peroxidase and polyphenol oxidase) enzyme activity [43], causing a decline in the decomposition of recalcitrant C and thus resulting in a lower RSS, as shown in Figure 4. Second, N-induced soil acidification (Table 2) may limit the growth of microbial biomass [44], and hence reduce RSS. In this study, significant correlation was also detected between pH and RSS (Table 4). Finally, in root removal plots, the absence of root exudates may reduce the availability of soil organic C to microbial tissues [45], and therefore lead to decreased RSS.
4.3. Increases of RSL and RSR in Response to N Addition
Heterotrophic respiration derived from the litter layer (RSL) was another important component contributing to the total soil respiration. Litter biomass is closely related to the net primary production (NPP) that is generally boosted by exogenous nitrogen input [46]. Substrate input—from litterfall and rhizosphere sediments—to soil is enhanced due to the N-induced increase of NPP [24,47]. In the present study, litter biomass increment was only detected in the HN treatment (Figure 4c), where RSL was significantly increased. The above- and belowground components of heterotrophic respiration thus showed contrasting responses to the high level of N addition, as RSL was significantly increased but RSR was decreased by HN, when compared with CK. High N availability may stimulate RSL through promoting plant growth and supplying more litter, while the N-induced acidification may reduce the microbial biomass carbon and suppress enzyme activity, consequently inhibiting RSS. The majority of studies on soil respiration have been on bivariate relationships between the total RS and the N treatment [10,12,32,48]. Our finding thus demonstrated that the response of soil respiration to N addition should be evaluated by examining its components separately. Even heterotrophic respiration may be further divided into above- and belowground components, as their distinct responses to environmental changes—such as N addition—and the underlying mechanisms may be fundamentally different.
Root respiration (RSR) rates depend on root growth and metabolism, which is closely associated to the nutrient availability and the growth of plants [49]. N addition has been shown to change the root growth and activity such as fine root biomass [24,28], root turnover rates [50], and N concentration of root [6], all of which may affect RSR. In this study, significant increases in fine root biomass was detected in all N-addition treatments, possibly because root growth of the young trees was enhanced in response to high N availability. However, despite a consistent increase in fine root biomass in all levels of N addition, RSR only significantly increased in MN plots, whereas the HN did not result in a further increase in RSR, with RSR in HN instead being considerably lower than that in MN. Thus, RSR might be inhibited when N is excessive. In the N-limited forest ecosystem, medium N enrichment may stimulate tree growth and root biomass [51]. However, soil acidification, induced by excessive N input, may cause H+ and MH4+ toxicity [17,52,53], suppressing root growth and metabolism [54].
5. Conclusions
In conclusion, we have highlighted the different responses of soil respiration and its components to N addition of different intensities. Total soil respiration in response to N addition was largely dependent on its components, autotrophic respiration and heterotrophic respiration. In this study, we went a step further, dividing heterotrophic into above- and belowground components, as these subdivided components may respond differently to N deposition. N addition reduced RSS through declining MBC and microbial enzyme activity. By contrast, RSL increased in response to N addition by stimulating litter biomass. N addition treatment also increased RSR through increasing fine root biomass and root N concentration. Soil respiration is an important process of C cycling, which is composed of many biological and abiotic processes, and influenced by a number of environmental factors. More accurate partition of the soil respiration components is still needed. The magnitude of these processes determine the direction of the total soil respiration in response to N addition treatment. The carbon storage of the forest ecosystem cannot completely be determined by the measurement of soil respiration. Therefore, long-term measurements of the plant carbon pool, soil carbon storage and soil respiration dynamics in forest ecosystems will be very important in future N scenarios.
Author Contributions
B.Z. analyzed the data and wrote the manuscript; B.Z., J.C. and L.Y. collected the data. Y.G. revised the manuscript. X.Z. designed the study.
Funding
This study was financially supported by the Key Project of National Key Research and Development Plan (2017YFC050400101).
Acknowledgments
The authors thank Na Wang, Zichao Yan, and Ping Chen for their help with field work and samples analyses.
Conflicts of Interest
The authors declare no conflict of interest.
Appendix A
Figure A1.
Dynamics of soil temperature and moisture from May 2011 to October 2015 in a Pinus tabulaeformis forest.
References
- Lamarque, J.F.; Kiehl, J.; Brasseur, G.; Butler, T.; Cameron-Smith, P.; Collins, W.; Collins, W.; Granier, C.; Hauglustaine, D.; Hess, P. Assessing future nitrogen deposition and carbon cycle feedback using a multimodel approach: Analysis of nitrogen deposition. J. Geophys. Res. Atmos. 2005, 110. [Google Scholar] [CrossRef]
- Dentener, F.; Drevet, J.; Lamarque, J.-F.; Bey, I.; Eickhout, B.; Fiore, A.M.; Hauglustaine, D.; Horowitz, L.W.; Krol, M.; Kulshrestha, U. Nitrogen and sulfur deposition on regional and global scales: A multimodel evaluation. Glob. Biogeochem. Cycles 2006, 20. [Google Scholar] [CrossRef]
- Galloway, J.N.; Townsend, A.R.; Erisman, J.W.; Bekunda, M.; Cai, Z.; Freney, J.R.; Martinelli, L.A.; Seitzinger, S.P.; Sutton, M.A. Transformation of the nitrogen cycle: Recent trends, questions, and potential solutions. Science 2008, 320, 889–892. [Google Scholar] [CrossRef] [PubMed]
- Aerts, R.; Wallen, B.; Malmer, N. Growth-limiting nutrients in sphagnum-dominated bogs subject to low and high atmospheric nitrogen supply. J. Ecol. 1992, 80, 131–140. [Google Scholar] [CrossRef]
- Sala, O.E.; Chapin, F.S.; Armesto, J.J.; Berlow, E.; Bloomfield, J.; Dirzo, R.; Huber-Sanwald, E.; Huenneke, L.F.; Jackson, R.B.; Kinzig, A. Global biodiversity scenarios for the year 2100. Science 2000, 287, 1770–1774. [Google Scholar] [CrossRef] [PubMed]
- Burton, A.; Pregitzer, K.; Ruess, R.; Hendrick, R.; Allen, M. Root respiration in North American forests: Effects of nitrogen concentration and temperature across biomes. Oecologia 2002, 131, 559–568. [Google Scholar] [CrossRef] [PubMed]
- Reay, D.S.; Dentener, F.; Smith, P.; Grace, J.; Feely, R.A. Global nitrogen deposition and carbon sinks. Nat. Geosci. 2008, 1, 430–437. [Google Scholar] [CrossRef]
- Liu, L.; Greaver, T.L. A global perspective on belowground carbon dynamics under nitrogen enrichment. Ecol. Lett. 2010, 13, 819–828. [Google Scholar] [CrossRef] [PubMed]
- Janssens, I.; Dieleman, W.; Luyssaert, S.; Subke, J.-A.; Reichstein, M.; Ceulemans, R.; Ciais, P.; Dolman, A.J.; Grace, J.; Matteucci, G. Reduction of forest soil respiration in response to nitrogen deposition. Nat. Geosci. 2010, 3, 315–322. [Google Scholar] [CrossRef]
- Zhou, L.; Zhou, X.; Zhang, B.; Lu, M.; Luo, Y.; Liu, L.; Li, B. Different responses of soil respiration and its components to nitrogen addition among biomes: A meta-analysis. Glob. Chang. Biol. 2014, 20, 2332–2343. [Google Scholar] [CrossRef] [PubMed]
- Feng, J.; Wang, J.; Ding, L.; Yao, P.; Qiao, M.; Yao, S. Meta-analyses of the effects of major global change drivers on soil respiration across China. Atmos. Environ. 2017, 150, 181–186. [Google Scholar] [CrossRef]
- Wang, Q.; Zhang, W.; Sun, T.; Chen, L.; Pang, X.; Wang, Y.; Xiao, F. N and P fertilization reduced soil autotrophic and heterotrophic respiration in a young cunninghamia lanceolata forest. Agric. For. Meteorol. 2017, 232, 66–73. [Google Scholar] [CrossRef]
- Zhang, C.; Niu, D.; Hall, S.J.; Wen, H.; Li, X.; Fu, H.; Wan, C.; Elser, J.J. Effects of simulated nitrogen deposition on soil respiration components and their temperature sensitivities in a semiarid grassland. Soil Biol. Biochem. 2014, 75, 113–123. [Google Scholar] [CrossRef]
- Elser, J.J.; Bracken, M.E.; Cleland, E.E.; Gruner, D.S.; Harpole, W.S.; Hillebrand, H.; Ngai, J.T.; Seabloom, E.W.; Shurin, J.B.; Smith, J.E. Global analysis of nitrogen and phosphorus limitation of primary producers in freshwater, marine and terrestrial ecosystems. Ecol. Lett. 2007, 10, 1135–1142. [Google Scholar] [CrossRef] [PubMed]
- Xia, J.; Wan, S. Global response patterns of terrestrial plant species to nitrogen addition. New Phytol. 2008, 179, 428–439. [Google Scholar] [CrossRef] [PubMed]
- Liu, X.; Lin, T.-C.; Yang, Z.; Vadeboncoeur, M.A.; Lin, C.; Xiong, D.; Lin, W.; Chen, G.; Xie, J.; Li, Y. Increased litter in subtropical forests boosts soil respiration in natural forests but not plantations of castanopsis carlesii. Plant Soil 2017, 418, 141–151. [Google Scholar] [CrossRef]
- Van Den Berg, L.J.; Dorland, E.; Vergeer, P.; Hart, M.A.; Bobbink, R.; Roelofs, J.G. Decline of acid-sensitive plant species in heathland can be attributed to ammonium toxicity in combination with low pH. New Phytol. 2005, 166, 551–564. [Google Scholar] [CrossRef] [PubMed]
- Guo, J.H.; Liu, X.; Zhang, Y.; Shen, J.; Han, W.; Zhang, W.; Christie, P.; Goulding, K.; Vitousek, P.; Zhang, F. Significant acidification in major Chinese croplands. Science 2010, 327, 1008–1010. [Google Scholar] [CrossRef] [PubMed]
- Sinsabaugh, R.L.; Gallo, M.E.; Lauber, C.; Waldrop, M.P.; Zak, D.R. Extracellular enzyme activities and soil organic matter dynamics for northern hardwood forests receiving simulated nitrogen deposition. Biogeochemistry 2005, 75, 201–215. [Google Scholar] [CrossRef]
- Keeler, B.L.; Hobbie, S.E.; Kellogg, L.E. Effects of long-term nitrogen addition on microbial enzyme activity in eight forested and grassland sites: Implications for litter and soil organic matter decomposition. Ecosystems 2009, 12, 1–15. [Google Scholar] [CrossRef]
- Edwards, I.P.; Zak, D.R.; Kellner, H.; Eisenlord, S.D.; Pregitzer, K.S. Simulated atmospheric n deposition alters fungal community composition and suppresses ligninolytic gene expression in a northern hardwood forest. PLoS ONE 2011, 6, e20421. [Google Scholar] [CrossRef] [PubMed]
- Compton, J.E.; Watrud, L.S.; Porteous, L.A.; Degrood, S. Response of soil microbial biomass and community composition to chronic nitrogen additions at Harvard forest. For. Ecol. Manag. 2004, 196, 143–158. [Google Scholar] [CrossRef]
- Feng, X.; Simpson, A.J.; Wilson, K.P.; Williams, D.D.; Simpson, M.J. Increased cuticular carbon sequestration and lignin oxidation in response to soil warming. Nat. Geosci. 2008, 1, 836–839. [Google Scholar] [CrossRef]
- Tu, L.-H.; Hu, T.-X.; Zhang, J.; Li, X.-W.; Hu, H.-L.; Liu, L.; Xiao, Y.-L. Nitrogen addition stimulates different components of soil respiration in a subtropical bamboo ecosystem. Soil Biol. Biochem. 2013, 58, 255–264. [Google Scholar] [CrossRef]
- Chen, D.; Li, J.; Lan, Z.; Hu, S.; Bai, Y. Soil acidification exerts a greater control on soil respiration than soil nitrogen availability in grasslands subjected to long-term nitrogen enrichment. Funct. Ecol. 2016, 30, 658–669. [Google Scholar] [CrossRef]
- Boone, R.D.; Nadelhoffer, K.J.; Canary, J.D.; Kaye, J.P. Roots exert a strong influence on the temperature sensitivityof soil respiration. Nature 1998, 396, 570–572. [Google Scholar] [CrossRef]
- Högberg, P.; Nordgren, A.; Buchmann, N.; Taylor, A.F.; Ekblad, A.; Högberg, M.N.; Nyberg, G.; Ottosson-Löfvenius, M.; Read, D.J. Large-scale forest girdling shows that current photosynthesis drives soil respiration. Nature 2001, 411, 789–792. [Google Scholar] [CrossRef] [PubMed]
- Samuelson, L.; Mathew, R.; Stokes, T.; Feng, Y.; Aubrey, D.; Coleman, M. Soil and microbial respiration in a loblolly pine plantation in response to seven years of irrigation and fertilization. For. Ecol. Manag. 2009, 258, 2431–2438. [Google Scholar] [CrossRef]
- Ryan, M.G.; Law, B.E. Interpreting, measuring, and modeling soil respiration. Biogeochemistry 2005, 73, 3–27. [Google Scholar] [CrossRef]
- Liu, X.; Zhang, Y.; Han, W.; Tang, A.; Shen, J.; Cui, Z.; Vitousek, P.; Erisman, J.W.; Goulding, K.; Christie, P. Enhanced nitrogen deposition over China. Nature 2013, 494, 459–462. [Google Scholar] [CrossRef] [PubMed]
- Leff, J.W.; Wieder, W.R.; Taylor, P.G.; Townsend, A.R.; Nemergut, D.R.; Grandy, A.S.; Cleveland, C.C. Experimental litterfall manipulation drives large and rapid changes in soil carbon cycling in a wet tropical forest. Glob. Chang. Biol. 2012, 18, 2969–2979. [Google Scholar] [CrossRef] [PubMed]
- Zhao, B.; Wang, J.; Cao, J.; Zhao, X.; Gadow, K.V. Inconsistent autotrophic respiration but consistent heterotrophic respiration responses to 5-years nitrogen addition under natural and planted pinus tabulaeformis forests in northern China. Plant Soil 2018, 429, 375–389. [Google Scholar] [CrossRef]
- Vance, E.D.; Brookes, P.C.; Jenkinson, D.S. An extraction method for measuring soil microbial biomass C. Soil Biol. Biochem. 1987, 19, 703–707. [Google Scholar] [CrossRef]
- Brookes, P.C.; Landman, A.; Pruden, G.; Jenkinson, D.S. Chloroform fumigation and the release of soil nitrogen: A rapid direct extraction method to measure microbial biomass nitrogen in soil. Soil Biol. Biochem. 1985, 17, 837–842. [Google Scholar] [CrossRef]
- Miller, G.L. Use of dinitrosalicylic acid reagent for determination of reducing sugar. Anal. Biochem. 1959, 31, 426–428. [Google Scholar] [CrossRef]
- Ladd, J. Origin and Range of Enzymes in Soil; Soil Enzymes Academic Press: London, UK, 1978. [Google Scholar]
- Bowden, R.D.; Davidson, E.; Savage, K.; Arabia, C.; Steudler, P. Chronic nitrogen additions reduce total soil respiration and microbial respiration in temperate forest soils at the Harvard forest. For. Ecol. Manag. 2004, 196, 43–56. [Google Scholar] [CrossRef]
- Allison, S.D.; Czimczik, C.I.; Treseder, K.K. Microbial activity and soil respiration under nitrogen addition in Alaskan boreal forest. Glob. Chang. Biol. 2008, 14, 1156–1168. [Google Scholar] [CrossRef]
- Riggs, C.E.; Hobbie, S.E. Mechanisms driving the soil organic matter decomposition response to nitrogen enrichment in grassland soils. Soil Biol. Biochem. 2016, 99, 54–65. [Google Scholar] [CrossRef]
- Archmiller, A.A.; Samuelson, L.J. Intra-annual variation of soil respiration across four heterogeneous longleaf pine forests in the Southeastern United States. For. Ecol. Manag. 2016, 359, 370–380. [Google Scholar] [CrossRef]
- Davidson, E.A.; Belk, E.; Boone, R.D. Soil water content and temperature as independent or confounded factors controlling soil respiration in a temperate mixed hardwood forest. Glob. Chang. Boil. 1998, 4, 217–227. [Google Scholar] [CrossRef]
- Demoling, F.; Nilsson, L.O.; Bååth, E. Bacterial and fungal response to nitrogen fertilization in three coniferous forest soils. Soil Biol. Biochem. 2008, 40, 370–379. [Google Scholar] [CrossRef]
- Treseder, K.K. Nitrogen additions and microbial biomass: A meta-analysis of ecosystem studies. Ecol. Lett. 2008, 11, 1111–1120. [Google Scholar] [CrossRef] [PubMed]
- Rousk, J.; Brookes, P.C.; Bååth, E. Contrasting soil pH effects on fungal and bacterial growth suggest functional redundancy in carbon mineralization. Appl. Environ. Microbiol. 2009, 75, 1589–1596. [Google Scholar] [CrossRef] [PubMed]
- Sakamoto, K.; Oba, Y. Effect of fungal to bacterial biomass ratio on the relationship between CO2 evolution and total soil microbial biomass. Biol. Fertil. Soils 1994, 17, 39–44. [Google Scholar] [CrossRef]
- Tu, L.-H.; Hu, T.-X.; Zhang, J.; Li, R.-H.; Dai, H.-Z.; Luo, S.-H. Short-term simulated nitrogen deposition increases carbon sequestration in a pleioblastus amarus plantation. Plant Soil 2011, 340, 383–396. [Google Scholar] [CrossRef]
- Raich, J.W.; Potter, C.S. Global patterns of carbon dioxide emissions from soils. Glob. Biogeochem. Cycles 1995, 9, 23–36. [Google Scholar] [CrossRef]
- Peng, Y.; Li, F.; Zhou, G.; Fang, K.; Zhang, D.; Li, C.; Yang, G.; Wang, G.; Wang, J.; Mohammat, A. Nonlinear response of soil respiration to increasing nitrogen additions in a Tibetan alpine steppe. Environ. Res. Lett. 2017, 12, 024018. [Google Scholar] [CrossRef]
- Du, Y.; Han, H.; Wang, Y.; Zhong, M.; Hui, D.; Niu, S.; Wan, S. Plant functional groups regulate soil respiration responses to nitrogen addition and mowing over a decade. Funct. Ecol. 2018, 32, 1117–1127. [Google Scholar] [CrossRef]
- Pregitzer, K.S.; Burton, A.J.; King, J.S.; Zak, D.R. Soil respiration, root biomass, and root turnover following long-term exposure of northern forests to elevated atmospheric CO2 and tropospheric O3. New Phytol. 2008, 180, 153–161. [Google Scholar] [CrossRef] [PubMed]
- Wright, S.J.; Yavitt, J.B.; Wurzburger, N.; Turner, B.L.; Tanner, E.V.; Sayer, E.J.; Santiago, L.S.; Kaspari, M.; Hedin, L.O.; Harms, K.E. Potassium, phosphorus, or nitrogen limit root allocation, tree growth, or litter production in a lowland tropical forest. Ecology 2011, 92, 1616–1625. [Google Scholar] [CrossRef] [PubMed]
- Houdijk, A.L.F.M.; Verbeek, P.J.M.; Dijk, H.F.G.V.; Roelofs, J.G.M. Distribution and decline of endangered herbaceous heathland species in relation to the chemical composition of the soil. Plant Soil 1993, 148, 137–143. [Google Scholar] [CrossRef]
- Li, Y.; Sun, J.; Tian, D.; Wang, J.; Ha, D.; Qu, Y.; Jing, G.; Niu, S. Soil acid cations induced reduction in soil respiration under nitrogen enrichment and soil acidification. Sci. Total Environ. 2017, 615, 1535–1546. [Google Scholar] [CrossRef] [PubMed]
- Aber, J.D.; Nadelhoffer, K.J.; Steudler, P.; Melillo, J.M. Nitrogen saturation in northern forest ecosystems. BioScience 1989, 39, 378–386. [Google Scholar] [CrossRef]
© 2018 by the authors. Licensee MDPI, Basel, Switzerland. This article is an open access article distributed under the terms and conditions of the Creative Commons Attribution (CC BY) license (http://creativecommons.org/licenses/by/4.0/).




