Physiological Responses of Species to Microclimate Help explain Population Dynamics along Succession in a Tropical Dry Forest of Yucatan, Mexico
Abstract
1. Introduction
- (1)
- Levels of plasticity, measured as variation in photosynthetic rates within and among individuals of a given species, would be positively related to species abundance.
- (2)
- Species would differ in their abundance of individuals of different size among plots (size classes were used instead of age categories—for example, saplings, juveniles, and adults—because of the difficulty of assigning developmental stage). Additionally, these differences would be associated with physiological and morphological traits of the species; in particular, successful species in young plots would also have higher photosynthetic rates, higher light saturation values, and higher incidence of mycorrhizal structures, when compared with species with lower abundance and regeneration capacity in young plots. Success, in this case, would be categorized as being present as adults (large size classes), and regenerating (producing saplings and juveniles of smaller size classes).
- (3)
- Microclimatic conditions at the leaf level would differ among plots with different time since disturbance (higher light and temperature would be observed in the younger plot, compared with the older one), but, because all plants were of a similar size (height and diameter) and growing in the understory, microclimate would not differ among species in a given plot.
- (4)
- As a result of differences in microclimate and soil conditions among plots (higher light and lower nitrogen in younger plots), we hypothesized that when plants of the same species were compared across plots, individuals growing in the younger plots would present higher photosynthetic rates, lower water potentials, lower specific leaf area (SLA), lower percent N, higher percent C, and higher incidence of mycorrhizal colonization when compared with individuals of the same species growing in older plots.
2. Materials and Methods
2.1. Study Site, Climate, and Microclimate
2.2. Physiological Measurements
2.3. Statistical Analyses
3. Results
3.1. Climate
3.2. Population
3.3. Microclimate and Fluorescence:
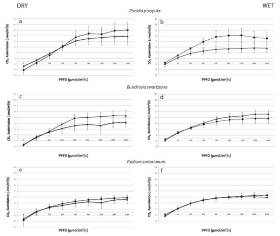
3.4. Seasonal and Plot Differences in CO2 Assimilation:
3.5. C, N, Water Relations, and Mycorrhizae
4. Discussion
5. Conclusions
Author Contributions
Funding
Acknowledgments
Conflicts of Interest
References
- Miles, L.; Newton, A.C.; DeFries, R.S.; Ravilious, C.; May, I.; Blyth, S.; Kapos, V.; Gordon, J.E. A Global Overview of the Conservation Status of Tropical Dry Forests. J. Biogeogr. 2006, 33, 491–505. [Google Scholar] [CrossRef]
- Murphy, P.G.; Lugo, A.E. Ecology of Tropical Dry Forest. Annu. Rev. Ecol. Syst. 1986, 17, 67–88. [Google Scholar] [CrossRef]
- IPCC Core Writing Team, Pachauri; Pachauri, R.K.; Reisinger, A. Climate Change 2007: Synthesis Report. Contribution of Working Groups I, II and III to the Fourth Assess- Ment Report of the Intergovernmental Panel on Climate Change; IPCC: Geneva, Switzerland, 2007. [Google Scholar]
- Gerhardt, K.; Hytteborn, H. Natural Dynamics and Regeneration Methods in Tropical Dry Forests—An Introduction. J. Veg. Sci. 1992, 3, 361–364. [Google Scholar] [CrossRef]
- Bullock, S.H.; Mooney, H.A.; Medina, E. Seasonally Dry Tropical Forests; Cambridge University Press: Cambridge, England, 1995. [Google Scholar]
- INE-INEGI, (1997). ‘Uso del suelo y vegetación, escala 1:250000, serie I (continuo nacional)’, escala: 1:250000. Instituto Nacional de Ecología - Dirección de Ordenamiento Ecológico General e Instituto Nacional de Estadística, Geografía e Informática. Digitalización de las cartas de uso del suelo y vegetación elaboradas por INEGI entre los años 1980-1991 con base en fotografías aéreas de 1968-1986. México. Available online: http://www.conabio.gob.mx/informacion/metadata/gis/usv250kcs1agw.xml?_httpcache=yes&_xsl=/db/metadata/xsl/fgdc_html.xsl&_indent=no (accessed on 7 July 2018).
- Estrada-Loera, E. Phytogeographic Relationships of the Yucatan Peninsula. J. Biogeogr. 1991, 18, 687. [Google Scholar] [CrossRef]
- CICY (Centro de Investigaciones Científicas de Yucatán). Jardín Botánico Regional. Guía General. Yucatán, México. Centro de Investigaciones Científicas de Yucatán: Mexico, 1993. Available online: http://www.cicy.mx/.
- Curtis, J.H.; Hodell, D.A.; Brenner, M. Climate Variability on the Yucatan Peninsula (Mexico) during the Past 3500 Years, and Implications for Maya Cultural Evolution. Quar. Res. 1996, 46, 37–47. [Google Scholar] [CrossRef]
- Gómez-Pompa, A.; Kaus, A. From Pre-Hispanic to Future Conservation Alternatives: Lessons from Mexico. Proc. Natl. Acad. Sci. U.S.A. 1999, 96, 5982–5986. [Google Scholar] [CrossRef] [PubMed]
- Alvarez-Añorve, M.Y.; Quesada, M.; Sánchez-Azofeifa, G.A.; Avila-Cabadilla, L.D.; Gamon, J.A. Functional Regeneration and Spectral Reflectance of Trees during Succession in a Highly Diverse Tropical Dry Forest Ecosystem. Am. J. Bot. 2012, 99, 816–826. [Google Scholar] [CrossRef] [PubMed]
- Lebrija-Trejos, E.; Bongers, F.; Pérez-García, E.A.; Meave, J.A. Successional Change and Resilience of a Very Dry Tropical Deciduous Forest Following Shifting Agriculture. Biotropica 2008, 40, 422–431. [Google Scholar] [CrossRef]
- Dupuy, J.M.; Herna’ndez-Stefanoni, J.L.; Herna’ndez-Jua’rez, R.A.; Tetetla-Rangel, E.; Omar L’opez-Mart’ınez, J.; Leyequie’n-Abarca, E.; Tun-Dzul, F.J.; May-Pat, F. Patterns and Correlates of Tropical Dry Forest Structure and Composition in a Highly Replicated Chronosequence in Yucatan, Mexico. Biotropica 2012, 44, 1–12. [Google Scholar] [CrossRef]
- Rozendaal, D.M.A.; Chazdon, R.L. Demographic Drivers of Tree Biomass Change during Secondary Succession in Northeastern Costa Rica. Ecol. Appl. 2015, 25, 506–516. [Google Scholar] [CrossRef] [PubMed]
- Lebrija-Trejos, E.; Pérez-García, E.A.; Meave, J.A.; Poorter, L.; Bongers, F. Environmental Changes during Secondary Succession in a Tropical Dry Forest in Mexico. J. Trop. Ecol. 2011, 27, 477–489. [Google Scholar] [CrossRef]
- González-Iturbe, J.A.; Olmsted, I.; Tun-Dzul, F. Tropical Dry Forest Recovery after Long Term Henequen (Sisal, Agave Fourcroydes Lem.) Plantation in Northern Yucatan, Mexico. For. Ecol. Manage. 2002, 167, 67–82. [Google Scholar] [CrossRef]
- Delgado-Vargas, F.; Díaz-Camacho, S.P.; Salazar-Zamora, G.; Uribe-Beltrán, M.J.; Vega-Aviña, R. Psidium Sartorianum (O. Berg) Nied., an Indigenous Plant to Mexico, from Biology to Biological Activity. In Search for Natural Drugs; Govil, J.N., Singh, V.K., Arunachalam, C., Eds.; Studium Press LLC: Houston, TX, USA, 2005; Volume 13. [Google Scholar]
- Johnson, E.A.; Miyanishi, K. Testing the Assumptions of Chronosequences in Succession. Ecol. Lett. 2008, 11, 419–431. [Google Scholar] [CrossRef] [PubMed]
- Kennard, D. Secondary Forest Succession in a Tropical Dry Forest : Patterns of Development across a 50-Year Chronosequence in Lowland Bolivia. J. Trop. Ecol. 2002, 18, 53–66. [Google Scholar] [CrossRef]
- Walker, L.R.; Wardle, D.A.; Bardgett, R.D.; Clarkson, B.D. The Use of Chronosequences in Studies of Ecological Succession and Soil Development. J. Ecol. 2010, 98, 725–736. [Google Scholar] [CrossRef]
- Flores, J.S.; Espejel, I.C. Tipos de Vegetación de la Península de Yucatán. In Etnoflora Yucatanense. No. 3; Universidad Autónoma de Yucatán: Yucatán, México, 1994. [Google Scholar]
- Pontailler, J.-Y. A Cheap Quantum Sensor Using a Gallium Arsenide Photodiode. Funct. Ecol. 1990, 4, 591. [Google Scholar] [CrossRef]
- Biggs, W. Principles of Radiation Measurement; Licor: Lincoln, NE, USA, 1984. [Google Scholar]
- Zotz, G.; Andrade, J.-L. Water Relations of Two Co-Occurring Epiphytic Bromeliads. J. Plant Physiol. 1998, 152, 545–554. [Google Scholar] [CrossRef]
- Koske, R.E.; Gemma, J.N. A Modified Procedure for Staining Roots to Detect VA Mycorrhizas. Mycol. Res. 1989, 92, 486–488. [Google Scholar] [CrossRef]
- Potvin, C.; Lechowicz, M.; Tardif, S. The Statistical Analyses of Ecophysiological Response Curves Obtained from Experiments Involving Repeated Measures. Ecology 1990, 71, 1389–1400. [Google Scholar] [CrossRef]
- Flexas, J.; Escalona, J.M.; Medrano, H. Water Stress Induces Different Levels of Photosynthesis and Electron Transport Rate Regulation in Grapevines. Plant, Cell Environ. 1999, 22, 39–48. [Google Scholar] [CrossRef]
- Andrade, L.; Sima, J.L.; Graham, E.A.; Cervera, J.C. Microhabitats, Germination, and Establishment For Mammillaria Gaumeri (Cactaceae ), A Rare Species From Yucatan. Int. J. Plant Sci. 2006, 167, 311–319. [Google Scholar]
- Niklas, K.J.; Hammond, S.T. Biophysical Effects on Plant Competition and Coexistence. Funct. Ecol. 2013, 27, 854–864. [Google Scholar] [CrossRef]
- Viani, R.A.G.; Rodrigues, R.R.; Dawson, T.E.; Oliveira, R.S. Savanna Soil Fertility Limits Growth but Not Survival of Tropical Forest Tree Seedlings. Plant Soil 2011, 349, 341–353. [Google Scholar] [CrossRef]
- Molofsky, J.; Augspurger, C. The Effect of Leaf Litter on Early Seedling Establishment in a Tropical Forest. Ecol. Soc. Am. 1992, 73, 68–77. [Google Scholar] [CrossRef]
- Tyree, M.T. Desiccation Tolerance of Five Tropical Seedlings in Panama. Relationship to a Field Assessment of Drought Performance. Plant Physiol. 2003, 132, 1439–1447. [Google Scholar] [CrossRef] [PubMed]
- Choat, B.; Ball, M.C.; Luly, J.G.; Donnelly, C.F.; Holtum, J.a.M. Seasonal Patterns of Leaf Gas Exchange and Water Relations in Dry Rain Forest Trees of Contrasting Leaf Phenology. Tree Physiol. 2006, 26, 657–664. [Google Scholar] [CrossRef] [PubMed]
- Brestic, M.; Zivcak, M. PSII. Fluorescence Techniques for Measurement of Drought and High Temperature Stress Signal in Crop Plants: Protocols and Applications. In Molecular Stress Physiology of Plants; Springer India: India, 2013; pp. 87–131. [Google Scholar]
- Gollan, T.; Passioura, J.B.; Munns, R. Soil Water Status Affects the Stomatal Conductance of Fully Turgid Wheat and Sunflower Leaves. Aust. J. Plant Physiol. 1986, 13, 459–464. [Google Scholar] [CrossRef]
- Davies, W.J.; Zhang, J. Root Signals and the Regulation of Growth and Development of Plants in Drying Soil. Annu. Rev. Plant Physiol. Plant Mol. Biol. 1991, 42, 55–76. [Google Scholar] [CrossRef]
- Ribeiro, R.V.; Souza, G.M.; Oliveira, R.F.; Machado, E.C. Photosynthetic Responses of Tropical Tree Species from Different Successional Groups under Contrasting Irradiance Conditions. Rev. Bras. Bot. 2005, 28, 149–161. [Google Scholar] [CrossRef]
- Osorio, M.; Breia, E.; Rodrigues, A.; Osorio, J.; Roux, X.; Daudet, F.; Ferreira, I.; Chaves, M. Limitations to Carbon Assimilation by Mild Drought in Nectarine Trees Growing under Field Conditions. Environ. Exp. Bot. 2006, 55, 235–247. [Google Scholar] [CrossRef]
- Brestic, M.; Zivcak, M.; Kalaji, H.M.; Carpentier, R.; Allakhverdiev, S.I. Photosystem II Thermostability in Situ : Environmentally Induced Acclimation and Genotype-Specific Reactions in Triticum aestivum L. Plant Physiol. Biochem. 2012, 57, 93–105. [Google Scholar] [CrossRef] [PubMed]
- Knight, C.A.; Ackerly, D.D. An Ecological and Evolutionary Analysis of Photosynthetic Thermotolerance Using the Temperature-Dependent Increase in Fluorescence. Oecologia 2002, 130, 505–514. [Google Scholar] [CrossRef] [PubMed]
- Brestic, M.; Zivcak, M.; Hauptvogel, P.; Misheva, S.; Kocheva, K.; Yang, X.; Li, X.; Allakhverdiev, S.I. Wheat Plant Selection for High Yields Entailed Improvement of Leaf Anatomical and Biochemical Traits Including Tolerance to Non-Optimal Temperature Conditions. Photosynth. Res. 2018, 136, 245–255. [Google Scholar] [CrossRef] [PubMed]
- Psidova, E.; Živčák, M.; Stojnic, S.; Orlovic, S.; Ku, J. Altitude of Origin Influences the Responses of PSII Photochemistry to Heat Waves in European Beech (Fagus Sylvatica L.). Environ. Exp. Bot. 2018, 152, 97–106. [Google Scholar] [CrossRef]
- Augé, R.M.; Sylvia, D.M.; Park, S.; Buttery, B.R.; Saxton, A.M.; Moore, J.L.; Cho, K. Partitioning Mycorrhizal Influence on Water Relations of Phaseolus Vulgaris into Soil and Plant Components. Can. J. Bot. 2004, 82, 503–514. [Google Scholar] [CrossRef]
- Tamayo-Chim, M.; Reyes-García, C.; Orellana, R. A Combination of Forage Species with Different Responses to Drought Can Increase Year-Round Productivity in Seasonally Dry Silvopastoral Systems. Agrofor. Syst. 2012, 84, 287–297. [Google Scholar] [CrossRef]
- Meinzer, F.C.; Andrade, J.L.; Goldstein, G.; Holbrook, N.M.; Cavelier, J.; Wright, S.J. Partitioning of Soil Water among Canopy Trees in a Seasonally Dry Tropical Forest. Oecologia 1999, 121, 293–301. [Google Scholar] [CrossRef] [PubMed]
- Estrada-Medina, H.; Santiago, L.S.; Graham, R.C.; Allen, M.F.; Jiménez-Osornio, J.J. Source Water, Phenology and Growth of Two Tropical Dry Forest Tree Species Growing on Shallow Karst Soils. Trees 2013, 27, 1297–1307. [Google Scholar] [CrossRef]







| Family | Species | Growth form | Leaf phenology | Fruit |
|---|---|---|---|---|
| Fabaceae | Piscidia piscipula L.(Sarg.) | Canopy species, reaches 12 to 15 m tall. | Brevi deciduous | Bean like pod with papery wings |
| Malpigiaceae | Bunchosia schwartziana Griseb. | Understory species, small tree 2 to 3 m tall. | Evergreen | Berry |
| Myrtaceae | Psidium sartorianum (Bergius) Nied | Canopy species, reaches up to 15 m tall. | Evergreen or deciduous 1 | Fleshy berry |
| Species | Hour | ETRmax 1 | PPFDsat | (Fm’ − F)/Fm’ | Fv/Fm | ||||
|---|---|---|---|---|---|---|---|---|---|
| Interm. | Old | Interm. | Old | Interm. | Old | Interm. | Old | ||
| Piscidia piscipula | 07:00 | - | - | - | - | - | - | 0.80 ± 0.008 | 0.81 ± 0.001 |
| 09:00 | 160 ± 23 | 86.7 ± 12 | 1190 ± 199 | 817 ± 20.3 | 0.74 ± 0.02 | 0.78 ± 0.003 | - | - | |
| 12:00 | 106.7 ± 10 | 105.3 ± 14 | 1133 ± 249 | 1283 ± 301 | 0.48 ± 0.15 | 0.51 ± 0.12 | - | - | |
| 17:00 | 78.7 ± 1 | 103.3 ± 4 | 607 ± 3 | 1127 ± 73 | 0.72 ± 0.01 | 0.74 ± 0.009 | - | - | |
| Bunchosia schwartziana | 07:00 | - | - | - | - | - | - | 0.81 ± 0.005 | 0.81 ± 0.006 |
| 09:00 | 135 ± 12 | 82 ± 9 | 773 ± 93 | 983 ± 44 | 0.72 ± 0.03 | 0.78 ± 0.013 | - | - | |
| 12:00 | 129 ± 16 | 108 ± 6 | 870 ± 65 | 710 ± 56 | 0.64 ± 0.09 | 0.59 ± 0.15 | - | - | |
| 17:00 | 86 ± 6 | 89 ± 8 | 806 ± 248 | 697 ± 32 | 0.75 ± 0.004 | 0.75 ± 0.017 | - | - | |
| Psidium sartorianum | 07:00 | - | - | - | - | - | - | 0.78 ± 0.009 | 0.79 ± 0.009 |
| 09:00 | 157 ± 23 | 83 ± 9 | 1123 ± 113 | 680 ± 20 | 0.71 ± 0.08 | 0.80 ± 0.003 | - | - | |
| 12:00 | 140 ± 44 | 148 ± 39 | 1050 ± 76 | 713 ± 95 | 0.48 ± 0.15 | 0.63 ± 0.02 | - | - | |
| 17:00 | 93 ± 9 | 86 ± 18 | 683 ± 60 | 670 ± 43 | 0.73 ± 0.03 | 0.77 ± 0.003 | - | - | |
| Dry | Wet | |||
|---|---|---|---|---|
| Species | CO2 Assimilation | CO2 Assimilation | ||
| Intermediate | Old | Intermediate | Old | |
| Piscidia piscipula | 10.5 ± 1.2 | 8.2 ± 1.35 | 9.4 ± 1.13 * | 4.9 ± 0.81 |
| Bunchosia schwartziana | 8.0 ± 0.72 | 6.9 ± 0.98 | 6.8 ± 0.77 | 8.2 ± 0.60 |
| Psidium sartorianum | 3.3 ± 0.77 | 3.2 ± 1.6 | 5.6 ± 0.46 | 4.6 ± 0.44 |
| Species | % C | %N | SLA | |||
|---|---|---|---|---|---|---|
| Interm. | Old | Interm. | Old | Interm. | Old | |
| Piscidia piscipula | 40.96 ± 0.45 | 41.47 ± 0.8 | 2.54 ± 0.18 | 2.47 ± 0.17 | 149.9 ± 12.12 | 176.9 ± 18.40 |
| Bunchosia schwartziana | 45.05± 2.33 | 41.90 ± 0.8 | 3.35 ± 0.25 | 3.30 ± 0.27 | 121.2 ± 14.76 | 145.2 ± 9.95 |
| Psidium sartorianum | 44.76 ± 1.1 | 46.4 ± 0.62 | 1.98 ± 0.14 * | 2.36 ± 0.13 * | 163.5 ± 15.39 | 172.3 ± 26.38 |
© 2018 by the authors. Licensee MDPI, Basel, Switzerland. This article is an open access article distributed under the terms and conditions of the Creative Commons Attribution (CC BY) license (http://creativecommons.org/licenses/by/4.0/).
Share and Cite
Jackson, P.C.; Andrade, J.L.; Reyes-García, C.; Hernández-González, O.; McElroy, T.; Us-Santamaría, R.; Simá, J.L.; Dupuy, J.M. Physiological Responses of Species to Microclimate Help explain Population Dynamics along Succession in a Tropical Dry Forest of Yucatan, Mexico. Forests 2018, 9, 411. https://doi.org/10.3390/f9070411
Jackson PC, Andrade JL, Reyes-García C, Hernández-González O, McElroy T, Us-Santamaría R, Simá JL, Dupuy JM. Physiological Responses of Species to Microclimate Help explain Population Dynamics along Succession in a Tropical Dry Forest of Yucatan, Mexico. Forests. 2018; 9(7):411. https://doi.org/10.3390/f9070411
Chicago/Turabian StyleJackson, Paula C., José Luis Andrade, Casandra Reyes-García, Olivia Hernández-González, Thomas McElroy, Roberth Us-Santamaría, José Luis Simá, and Juan Manuel Dupuy. 2018. "Physiological Responses of Species to Microclimate Help explain Population Dynamics along Succession in a Tropical Dry Forest of Yucatan, Mexico" Forests 9, no. 7: 411. https://doi.org/10.3390/f9070411
APA StyleJackson, P. C., Andrade, J. L., Reyes-García, C., Hernández-González, O., McElroy, T., Us-Santamaría, R., Simá, J. L., & Dupuy, J. M. (2018). Physiological Responses of Species to Microclimate Help explain Population Dynamics along Succession in a Tropical Dry Forest of Yucatan, Mexico. Forests, 9(7), 411. https://doi.org/10.3390/f9070411

