Improving Individual Tree Crown Delineation and Attributes Estimation of Tropical Forests Using Airborne LiDAR Data
Abstract
1. Introduction
2. Material and Methods
2.1. Study Area Description
2.2. Field Data Collection
2.3. LiDAR Data Acquisition and Data Processing
2.4. Individual Tree Crown (ITC) Delineation
2.5. Crown Structure Characterisation (Step 1)
2.6. Multi-Scale Operations (Step 2)
- Cross-sections with a circularity less than a threshold of 0.85 [27] were removed to eliminate tree clusters;
- To merge cross-sections of layers, the logic “OR” operation was used;
- The merged cross-sections were refined by removing those with any circularity less than the threshold.
Marker-Controlled Watershed Segmentation
2.7. Identification of Problematic Tree Segments (Step 3)
- Trees with a crown size greater than 11 m for the PFR site and trees with a crown size greater than 17 m for the FRIM site were identified as not a single tree but as a group of trees. Hence, these trees needed to be segmented again because the largest crown size detected was 10.3 m at the PFR site and 16 m at the FRIM site;
- For identifying potential tree clusters, (i) we set the circularity threshold to 0.85 initially and detected the large segments, then (ii) we flagged the circularity of a small segment as large and the circularity of a large segment as small, and (iii) when a large segment with a low circularity index was classified, it most likely belonged to a tree cluster.
2.8. Refinement of the Final Tree Crown Delineation Using a Distance-Based Algorithm (DBA) (Step 4)
2.9. Accuracy of ITC (Step 5)
2.10. Crown Attribute Assessment and Aboveground Biomass Estimation at Tree Level
3. Results
3.1. Evaluation of Morphological Watershed Segmentation
3.2. Accuracy Assessment of Tree Detection
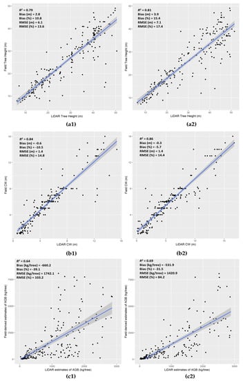
3.3. Crown Attributes and AGB Estimates at Tree Level at the Field Plots
4. Discussion
5. Conclusions
Supplementary Materials
Author Contributions
Funding
Acknowledgments
Conflicts of Interest
References
- Lichstein, J.W.; Dushoff, J.; Ogle, K.; Chen, A.; Purves, D.W.; Caspersen, J.P.; Pacala, S.W. Unlocking the forest inventory data: Relating individual tree performance to unmeasured environmental factors. Ecol. Appl. 2010, 20, 684–699. [Google Scholar] [CrossRef] [PubMed]
- Hyyppa, J.; Kelle, O.; Lehikoinen, M.; Inkinen, M. A segmentation-based method to retrieve volume estimates from 3-D tree height models produced by laser scanners. IEEE Trans. Geosci. Remote Sens. 2001, 39, 969–975. [Google Scholar] [CrossRef]
- Krofcheck, D.J.; Litvak, M.E.; Lippitt, C.D.; Neuenschwander, A. Woody biomass estimation in a southwestern US juniper savanna using lidar-derived clumped tree segmentation and existing allometries. Remote Sens. 2016, 8, 453. [Google Scholar] [CrossRef]
- Zhou, T.; Popescu, S.C.; Lawing, A.M.; Eriksson, M.; Strimbu, B.M.; Bürkner, P.C. Bayesian and classical machine learning methods: A comparison for tree species classification with LiDAR waveform signatures. Remote Sens. 2017, 10, 39. [Google Scholar] [CrossRef]
- Vepakomma, U.; St-Onge, B.; Kneeshaw, D. Spatially explicit characterization of boreal forest gap dynamics using multi-temporal lidar data. Remote Sens. Environ. 2008, 112, 2326–2340. [Google Scholar] [CrossRef]
- Hu, B.; Li, J.; Jing, L.; Judah, A. Improving the efficiency and accuracy of individual tree crown delineation from high-density LiDAR data. Int. J. Appl. Earth Obs. Geoinf. 2014, 26, 145–155. [Google Scholar] [CrossRef]
- Duncanson, L.I.; Cook, B.D.; Hurtt, G.C.; Dubayah, R.O. An efficient, multi-layered crown delineation algorithm for mapping individual tree structure across multiple ecosystems. Remote Sens. Environ. 2014, 154, 378–386. [Google Scholar] [CrossRef]
- Ferraz, A.; Saatchi, S.; Mallet, C.; Meyer, V. Lidar detection of individual tree size in tropical forests. Remote Sens. Environ. 2016, 183, 318–333. [Google Scholar] [CrossRef]
- Lee, J.; Coomes, D.; Schonlieb, C.-B.; Cai, X.; Lellmann, J.; Dalponte, M.; Malhi, Y.; Butt, N.; Morecroft, M. A graph cut approach to 3D tree delineation, using integrated airborne LiDAR and hyperspectral imagery. arXiv, 2017; arXiv:1701.06715. [Google Scholar]
- Wan-Mohd-Jaafar, W.S.; Woodhouse, I.; Silva, C.; Omar, H.; Hudak, A. Modelling individual tree aboveground biomass using discrete return LiDAR in lowland dipterocarp forest of Malaysia. J. Trop. For. Sci. 2017, 29, 465–484. [Google Scholar]
- Hyyppa, J.; Hyyppa, H.; Leckie, D.; Gougeon, F.; Yu, X.; Maltamo, M. Review of methods of small-footprint airborne laser scanning for extracting forest inventory data in boreal forests. Int. J. Remote Sens. 2008, 29, 1339–1366. [Google Scholar] [CrossRef]
- Lindberg, E.; Holmgren, J. Individual tree crown methods for 3D data from remote sensing. Curr. For. Rep. 2017, 3, 19–31. [Google Scholar] [CrossRef]
- Chen, Q.; Baldocchi, D.; Gong, P.; Kelly, M. Isolating individual trees in a savanna woodland using small footprint lidar data. Photogramm. Eng. Remote Sens. 2006, 72, 923–932. [Google Scholar] [CrossRef]
- Dalponte, M.; Ørka, H.O.; Ene, L.T.; Gobakken, T.; Næsset, E. Tree crown delineation and tree species classification in boreal forests using hyperspectral and ALS data. Remote Sens. Environ. 2014, 140, 306–317. [Google Scholar] [CrossRef]
- Dalponte, M.; Reyes, F.; Kandare, K.; Gianelle, D. Delineation of individual tree crowns from ALS and hyperspectral data: A comparison among four methods. Eur. J. Remote Sens. 2015, 48, 365–382. [Google Scholar] [CrossRef]
- Silva, C.A.; Hudak, A.T.; Vierling, L.A.; Loudermilk, E.L.; O’Brien, J.J.; Hiers, J.K.; Jack, S.B.; Gonzalez-Benecke, C.; Lee, H.; Falkowski, M.J.; et al. Imputation of individual longleaf pine (Pinus palustris Mill.) tree attributes from field and LiDAR data. Can. J. Remote Sens. 2016, 42, 554–573. [Google Scholar] [CrossRef]
- Popescu, S.C.; Wynne, R.H.; Nelson, R.F. Measuring individual tree crown diameter with lidar and assessing its influence on estimating forest volume and biomass. Can. J. Remote Sens. 2003, 29, 564–577. [Google Scholar] [CrossRef]
- Tiede, D.; Hochleitner, G.; Blaschke, T. A full GIS-based workflow for tree identification and tree crown delineation using laser scanning. ISPRS Workshop CMRT 2005, 5, 9–14. [Google Scholar]
- Zhen, Z.; Quackenbush, L.J.; Zhang, L.J. Impact of tree-oriented growth order in marker-controlled region growing for individual tree crown delineation using airborne laser scanner (ALS) data. Remote Sens. 2014, 6, 555–579. [Google Scholar] [CrossRef]
- Koch, B.; Heyder, U.; Weinacker, H. Detection of individual tree crowns in airborne lidar data. Photogramm. Eng. Remote Sens. 2006, 72, 357–363. [Google Scholar] [CrossRef]
- Brandtberg, T. Individual tree-based species classification in high spatial resolution aerial images of forests using fuzzy sets. Fuzzy Sets Syst. 2002, 132, 371–387. [Google Scholar] [CrossRef]
- Liu, Q.; Jing, L.; Li, Y.; Tang, Y.; Li, H.; Lin, Q. A Tree Canopy Height Delineation Method Based on Morphological Reconstruction—Open Crown Decomposition; IOP Conference Series: Earth and Environmental Science; IOP Publishing: Halifax, NS, Canada, 2016; pp. 12–20. [Google Scholar]
- Wang, L. A multi-scale approach for delineating individual tree crowns with very high resolution imagery. Photogramm. Eng. Remote Sens. 2010, 76, 371–378. [Google Scholar] [CrossRef]
- Jing, L.H.; Hu, B.X.; Noland, T.; Li, J.L. An individual tree crown delineation method based on multi-scale segmentation of imagery. ISPRS J. Photogramm. Remote Sens. 2012, 70, 88–98. [Google Scholar] [CrossRef]
- Falkowski, M.J.; Smith, A.M.S.; Hudak, A.T.; Gessler, P.E.; Vierling, L.A.; Crookston, N.L. Automated estimation of individual conifer tree height and crown diameter via two-dimensional spatial wavelet analysis of lidar data. Can. J. Remote Sens. 2006, 32, 153–161. [Google Scholar] [CrossRef]
- Wolf, B.M.; Heipke, C. Automatic extraction and delineation of single trees from remote sensing data. Mach. Vis. Appl. 2007, 18, 317–330. [Google Scholar] [CrossRef]
- Holmgren, J.; Barth, A.; Larsson, H.; Olsson, H. Prediction of stem attributes by combining airborne laser scanning and measurements from harvesters. Silva Fenn. 2012, 46, 227–239. [Google Scholar] [CrossRef]
- Vauhkonen, J.; Korpela, I.; Maltamo, M.; Tokola, T. Imputation of single-tree attributes using airborne laser scanning-based height, intensity, and alpha shape metrics. Remote Sens. Environ. 2010, 114, 1263–1276. [Google Scholar] [CrossRef]
- Lloyd, S. Least squares quantization in PCM. IEEE Trans. Inf. Theor. 1982, 28, 129–137. [Google Scholar] [CrossRef]
- Morsdorf, F.; Meier, E.; Allgöwer, B.; Nüesch, D. Clustering in airborne laser scanning raw data for segmentation of single trees. Int. Arch. Photogramm. Remote Sens. Spat. Inf. Sci. 2003, 34, W13. [Google Scholar]
- Gupta, S.; Weinacker, H.; Koch, B. Comparative analysis of clustering-based approaches for 3-D single tree detection using airborne fullwave lidar data. Remote Sens. 2010, 2, 968–989. [Google Scholar] [CrossRef]
- Lee, H.; Slatton, K.C.; Roth, B.; Cropper Jr, W. Adaptive clustering of airborne LiDAR data to segment individual tree crowns in managed pine forests. Int. J. Remote Sens. 2010, 31, 117–139. [Google Scholar] [CrossRef]
- Li, W.K.; Guo, Q.H.; Jakubowski, M.K.; Kelly, M. A new method for segmenting individual trees from the lidar point cloud. Photogramm. Eng. Remote Sens. 2012, 78, 75–84. [Google Scholar] [CrossRef]
- Ferraz, A.; Bretar, F.; Jacquemoud, S.; Gonçalves, G.; Pereira, L. 3D Segmentation of Forest Structure Using a Mean-Shift Based Algorithm, Image Processing (ICIP). In Proceedings of the 17th IEEE International Conference, Hong Kong, China, 22–26 March 2010; pp. 1413–1416. [Google Scholar]
- Ferraz, A.; Bretar, F.; Jacquemoud, S.; Goncalves, G.; Pereira, L.; Tome, M.; Soares, P. 3-D mapping of a multi-layered Mediterranean forest using ALS data. Remote Sens. Environ. 2012, 121, 210–223. [Google Scholar] [CrossRef]
- Hu, X.; Xie, Y. Segmentation and Clustering of 3D Forest Point Cloud Using Mean Shift Algorithms. In Proceedings of the 4th International Conference on Machinery, Materials and Computing Technology (ICMMCT 2016), Hangzhou, China, 23–24 January 2016; 2016; pp. 1275–1279. [Google Scholar]
- Amiri, N.; Yao, W.; Heurich, M.; Krzystek, P.; Skidmore, A.K. Estimation of regeneration coverage in a temperate forest by 3D segmentation using airborne laser scanning data. Int. J. Appl. Earth Obs. Geoinf. 2016, 52, 252–262. [Google Scholar] [CrossRef]
- Comaniciu, D.; Meer, P. Mean shift: A robust approach toward feature space analysis. IEEE Trans. Pattern Anal. Mach. Intell. 2002, 24, 603–619. [Google Scholar] [CrossRef]
- Ahmad Fitri, Z.; Nizam, M.S.; Latiff, A.; Nur Supardi, M.N.; Abd Rahman, K.; Christine, D.F. Distribution analysis and productivity of Myristicaceae in 50-ha plot at Pasoh Forest Reserve, Negeri Sembilan, Malaysia. Malays. For. 2018, 81, 11–33. [Google Scholar]
- Nazre, M.; Nazariah, N.; Mat-Salleh, K.; Latiff, A.; Faridah Hanum, I. Dynamics and Spatial Distribution of Garcinia in Pasoh Forest Reserve, Negeri Sembilan, Malaysia. In Proceedings of the Symposium and Workshop of Forest-People in the Humid Tropics: Past, Present and Future Hydrological Research for Integrated Land and Water Management, Hotel Equatorial Bangi, Malaysia, 30 July–4 August 2000. [Google Scholar]
- McGaughey, R.J. Fusion/LDV: Software for LiDAR Data Analysis and Visualization Version 3.50. Available online: http://forsys.cfr.washington.edu/fusion/FUSION_manual.pdf (accessed on 15 June 2015).
- Soille, P. Morphological phase unwrapping. Opt. Laser Eng. 1999, 32, 339–352. [Google Scholar] [CrossRef]
- Clark, I. Geostatistics. 2. Semivariogram. 1. Eng. Min. J. 1979, 180, 90–94. [Google Scholar]
- St-Onge, B.; Cavayas, F. Estimating forest stand structure from high resolution imagery using the directional variogram. Int. J. Remote Sens. 1995, 16, 1999–2021. [Google Scholar] [CrossRef]
- Meyer, F.; Beucher, S. Morphological segmentation. J. Vis. Commun. Image Represent. 1990, 1, 21–46. [Google Scholar] [CrossRef]
- Vincent, L.; Soille, P. Watersheds in digital spaces: An efficient algorithm based on immersion simulations. IEEE Trans. Pattern Anal. Mach. Intell. 1991, 6, 583–598. [Google Scholar] [CrossRef]
- Brandtberg, T.; Warner, T.A.; Landenberger, R.E.; McGraw, J.B. Detection and analysis of individual leaf-off tree crowns in small footprint, high sampling density lidar data from the eastern deciduous forest in North America. Remote Sens. Environ. 2003, 85, 290–303. [Google Scholar] [CrossRef]
- Hadji, I.; Nabelek, D. Clustering algorithms used in 3D scene segmentation. Available online: http://vigir.missouri.edu/~hadjisma/links/project2_Final.pdf (accessed on 9 August 2018).
- R: A Language and Environment for Statistical Computing; Team, R.D.C.: Vienna, Austria, 2016.
- Goutte, C.; Gaussier, E. A Probabilistic Interpretation of Precision, Recall and F-score, with Implication for Evaluation. In Proceedings of the European Conference on Information Retrieval, Santiago de Compostela, Spain, 21–23 March 2005; pp. 345–359. [Google Scholar]
- Sokolova, M.; Japkowicz, N.; Szpakowicz, S. Beyond Accuracy, F-score and ROC: A Family of Discriminant Measures for Performance Evaluation. In Proceedings of the Australasian Joint Conference on Artificial Intelligence; Springer: Hobart, Australia, 2006; pp. 1015–1021. [Google Scholar]
- Hollander, M.; Wolfe, D.A. Nonparametric Statistical Methods, 2nd ed.; John Wiley & Sons: New York, NY, USA, 1999; p. 787. [Google Scholar]
- Silva, C.A.; Crookston, N.L.; Hudak, A.T.; Vierling, L.A. rLiDAR: An R Package for Reading, Processing and Visualizing LiDAR (Light Detection and Ranging) Data, Version 0.1. Available online: https://cran.r-project.org/web/packages/rLiDAR/index.html (accessed on 19 May 2015).
- Silva, C.; Klauberg, C.; Hudak, A.; Vierling, L.; Jaafar, W.; Mohan, M.; Saatchi, S. Predicting stem total and assortment volumes in an industrial pinus taeda L. Forest plantation using airborne laser scanning data and random forest. Forests 2017, 8, 254. [Google Scholar] [CrossRef]
- Jakubowski, M.K.; Li, W.; Guo, Q.; Kelly, M. Delineating individual trees from LiDAR data: A comparison of vector-and raster-based segmentation approaches. Remote Sens. 2013, 5, 4163–4186. [Google Scholar] [CrossRef]
- Mohan, M.; Silva, C.A.; Klauberg, C.; Jat, P.; Catts, G.; Cardil, A.; Dia, M. Individual tree detection from unmanned aerial vehicle (UAV) derived canopy height model in an open canopy mixed conifer forest. Forests 2017, 8, 340. [Google Scholar] [CrossRef]
- Reitberger, J.; Schnorr, C.; Krzystek, P.; Stilla, U. 3D segmentation of single trees exploiting full waveform LIDAR data. ISPRS J. Photogramm. Remote Sens. 2009, 64, 561–574. [Google Scholar] [CrossRef]
- Kwak, D.A.; Lee, W.K.; Lee, J.H.; Biging, G.S.; Gong, P. Detection of individual trees and estimation of tree height using LiDAR data. J. For. Res. 2007, 12, 425–434. [Google Scholar] [CrossRef]
- Huo, L.Z.; Silva, C.A.; Klauberg, C.; Mohan, M.; Zhao, L.J.; Tang, P.; Hudak, A.T. Supervised spatial classification of multispectral LiDAR data in urban areas. PLoS ONE 2018, 13, e0206185. [Google Scholar] [CrossRef] [PubMed]
- Zhao, F.; Guo, Q.; Kelly, M. Allometric equation choice impacts lidar-based forest biomass estimates: A case study from the Sierra National Forest, CA. Agric. For. Meteorol. 2012, 165, 64–72. [Google Scholar] [CrossRef]
- Mohamad-Roslan, M.K.; Shamsul, K. Characterization of riparian plant community in lowland forest of peninsular Malaysia. Int. J. Bot. 2012, 8, 181–191. [Google Scholar]
- Jaskierniak, D.; Lane, P.N.; Robinson, A.; Lucieer, A. Extracting LiDAR indices to characterise multilayered forest structure using mixture distribution functions. Remote Sens. Environ. 2011, 115, 573–585. [Google Scholar] [CrossRef]
- Simonson, W.; Ruiz-Benito, P.; Valladares, F.; Coomes, D. Modelling above-ground carbon dynamics using multi-temporal airborne lidar: Insights from a Mediterranean woodland. Biogeosciences 2016, 13, 961–973. [Google Scholar] [CrossRef]
- Roise, J.P.; Harnish, K.; Mohan, M.; Scolforo, H.; Chung, J.; Kanieski, B.; Shen, T. Valuation and production possibilities on a working forest using multi-objective programming, Woodstock, timber NPV, and carbon storage and sequestration. Scand. J. For. Res. 2016, 31, 674–680. [Google Scholar] [CrossRef]
- Coomes, D.A.; Dalponte, M.; Jucker, T.; Asner, G.; Banin, L.F.; Burslem, D.F.; Lewis, S.L.; Nilus, R.; Phillips, O.L.; Phua, M.H.; et al. Area-based vs tree-centric approaches to mapping forest carbon in Southeast Asian forests from airborne laser scanning data. Remote Sens. Environ. 2017, 194, 77–88. [Google Scholar] [CrossRef]











| Tree Attributes | Sites | |
|---|---|---|
| PFR | FRIM | |
| Tree height (m) | 18.16 ± 6.87 | 33.42 ± 9.17 |
| DBH (cm) | 29.33 ± 19.15 | 37.92 ± 20.86 |
| Crown diameter (m) | 4.14 ± 2.18 | 7.35 ± 3.26 |
| AGB (kg) | 918.74 ± 1562.55 | 2421.80 ± 2162.92 |
| Number of trees (n) | 105 | 104 |
| Method | Subplots | LiDAR | Reference | FP | FN | TP | Recall | Precision | F-Score |
|---|---|---|---|---|---|---|---|---|---|
| Morphological watershed | A1 | 22 | 24 | 2 | 4 | 20 | 0.83 | 0.91 | 0.87 |
| A2 | 20 | 23 | 2 | 5 | 18 | 0.78 | 0.90 | 0.84 | |
| A3 | 26 | 22 | 5 | 3 | 19 | 0.86 | 0.79 | 0.83 | |
| A4 | 7 | 8 | 1 | 2 | 6 | 0.75 | 0.86 | 0.80 | |
| B1 | 11 | 4 | 7 | 0 | 4 | 1.00 | 0.36 | 0.53 | |
| B2 | 7 | 8 | 1 | 2 | 6 | 0.75 | 0.86 | 0.80 | |
| B3 | 10 | 8 | 4 | 2 | 6 | 0.75 | 0.60 | 0.67 | |
| B4 | 6 | 8 | 0 | 2 | 6 | 0.75 | 1.00 | 0.86 | |
| Overall | 109 | 105 | 22 | 20 | 85 | 0.81 | 0.79 | 0.80 | |
| Distance-based algorithm | A1 | 23 | 24 | 2 | 3 | 21 | 0.88 | 0.91 | 0.89 |
| A2 | 22 | 23 | 2 | 3 | 20 | 0.87 | 0.91 | 0.89 | |
| A3 | 25 | 22 | 5 | 2 | 20 | 0.91 | 0.80 | 0.85 | |
| A4 | 8 | 8 | 1 | 1 | 7 | 0.88 | 0.88 | 0.88 | |
| B1 | 6 | 4 | 3 | 1 | 3 | 0.75 | 0.50 | 0.60 | |
| B2 | 7 | 8 | 1 | 2 | 6 | 0.75 | 0.86 | 0.80 | |
| B3 | 11 | 8 | 4 | 1 | 7 | 0.88 | 0.64 | 0.74 | |
| B4 | 4 | 8 | 0 | 4 | 4 | 0.50 | 1.00 | 0.67 | |
| Overall | 106 | 105 | 18 | 17 | 88 | 0.84 | 0.83 | 0.83 |
| Method | Subplots | LiDAR | Reference | FP | FN | TP | Recall | Precision | F-Score |
|---|---|---|---|---|---|---|---|---|---|
| Morphological watershed | A1 | 18 | 13 | 6 | 1 | 12 | 0.92 | 0.67 | 0.77 |
| A2 | 21 | 17 | 7 | 3 | 14 | 0.82 | 0.67 | 0.74 | |
| A3 | 20 | 15 | 5 | 0 | 15 | 1.00 | 0.75 | 0.86 | |
| A4 | 23 | 18 | 7 | 2 | 16 | 0.89 | 0.70 | 0.78 | |
| B1 | 13 | 11 | 5 | 3 | 8 | 1.00 | 0.50 | 0.67 | |
| B2 | 14 | 12 | 4 | 2 | 10 | 0.83 | 0.71 | 0.77 | |
| B3 | 9 | 9 | 3 | 3 | 6 | 0.89 | 0.38 | 0.53 | |
| B4 | 9 | 9 | 2 | 2 | 7 | 0.78 | 0.39 | 0.52 | |
| Overall | 127 | 104 | 39 | 16 | 88 | 0.85 | 0.69 | 0.76 | |
| Distance-based algorithm | A1 | 17 | 13 | 4 | 0 | 13 | 1.00 | 0.76 | 0.87 |
| A2 | 21 | 17 | 6 | 2 | 15 | 0.88 | 0.71 | 0.79 | |
| A3 | 17 | 15 | 3 | 1 | 14 | 0.93 | 0.82 | 0.88 | |
| A4 | 23 | 18 | 6 | 1 | 17 | 0.94 | 0.74 | 0.83 | |
| B1 | 12 | 11 | 2 | 1 | 10 | 0.91 | 0.83 | 0.87 | |
| B2 | 14 | 12 | 3 | 1 | 11 | 0.92 | 0.79 | 0.85 | |
| B3 | 6 | 9 | 1 | 4 | 5 | 0.56 | 0.83 | 0.67 | |
| B4 | 8 | 9 | 1 | 2 | 7 | 0.78 | 0.88 | 0.82 | |
| Overall | 118 | 104 | 26 | 12 | 92 | 0.88 | 0.78 | 0.83 |
© 2018 by the authors. Licensee MDPI, Basel, Switzerland. This article is an open access article distributed under the terms and conditions of the Creative Commons Attribution (CC BY) license (http://creativecommons.org/licenses/by/4.0/).
Share and Cite
Wan Mohd Jaafar, W.S.; Woodhouse, I.H.; Silva, C.A.; Omar, H.; Abdul Maulud, K.N.; Hudak, A.T.; Klauberg, C.; Cardil, A.; Mohan, M. Improving Individual Tree Crown Delineation and Attributes Estimation of Tropical Forests Using Airborne LiDAR Data. Forests 2018, 9, 759. https://doi.org/10.3390/f9120759
Wan Mohd Jaafar WS, Woodhouse IH, Silva CA, Omar H, Abdul Maulud KN, Hudak AT, Klauberg C, Cardil A, Mohan M. Improving Individual Tree Crown Delineation and Attributes Estimation of Tropical Forests Using Airborne LiDAR Data. Forests. 2018; 9(12):759. https://doi.org/10.3390/f9120759
Chicago/Turabian StyleWan Mohd Jaafar, Wan Shafrina, Iain Hector Woodhouse, Carlos Alberto Silva, Hamdan Omar, Khairul Nizam Abdul Maulud, Andrew Thomas Hudak, Carine Klauberg, Adrián Cardil, and Midhun Mohan. 2018. "Improving Individual Tree Crown Delineation and Attributes Estimation of Tropical Forests Using Airborne LiDAR Data" Forests 9, no. 12: 759. https://doi.org/10.3390/f9120759
APA StyleWan Mohd Jaafar, W. S., Woodhouse, I. H., Silva, C. A., Omar, H., Abdul Maulud, K. N., Hudak, A. T., Klauberg, C., Cardil, A., & Mohan, M. (2018). Improving Individual Tree Crown Delineation and Attributes Estimation of Tropical Forests Using Airborne LiDAR Data. Forests, 9(12), 759. https://doi.org/10.3390/f9120759

