Physical and Mechanical Properties of Particleboard Made from Palm Tree Prunings
Abstract
:1. Introduction
2. Materials and Methods
3. Results
3.1. Physical Properties
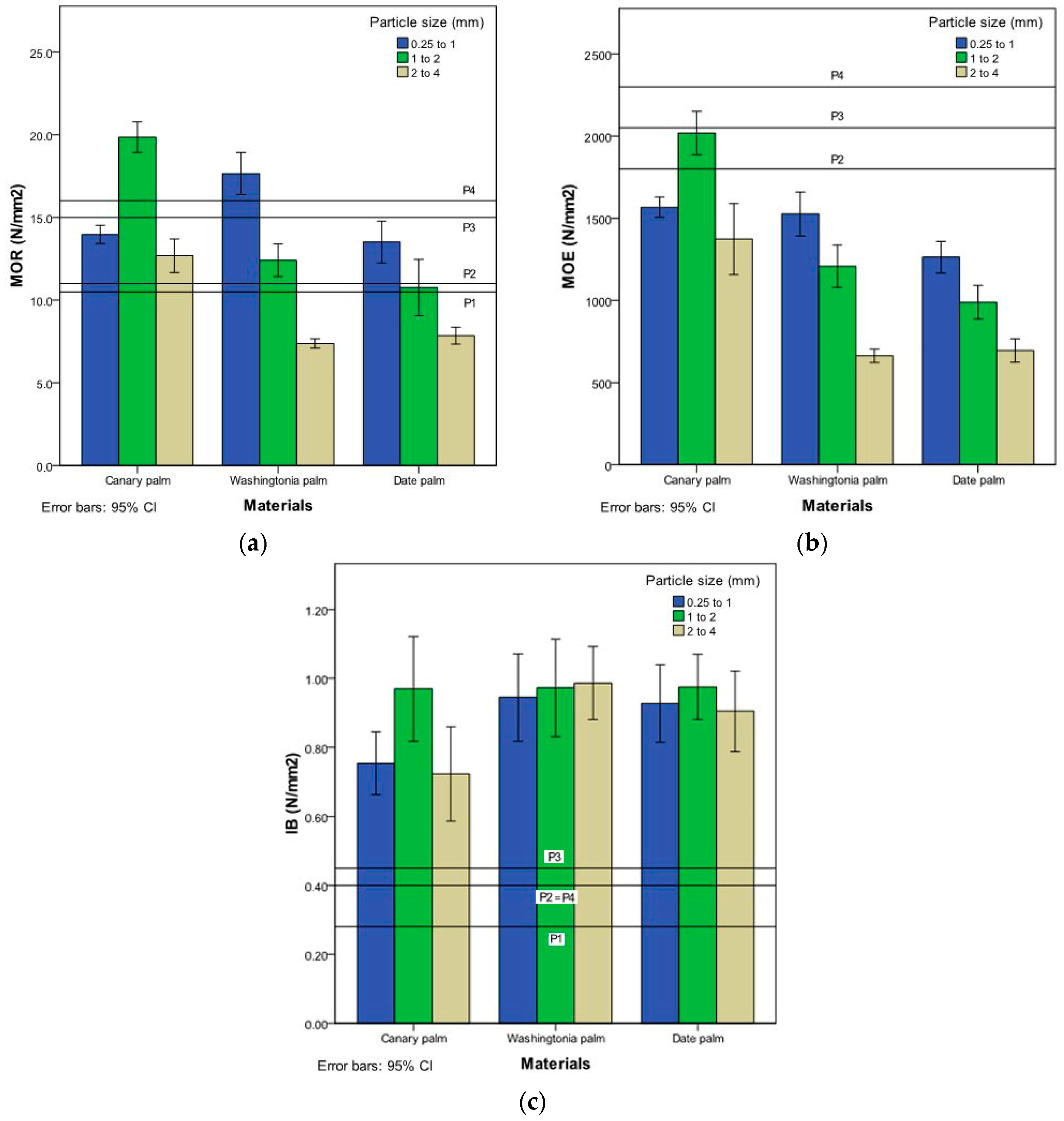
3.2. Mechanical Properties
3.3. Thermal Conductivity
4. Discussion
5. Conclusions
Author Contributions
Funding
Acknowledgments
Conflicts of Interest
References
- IPPC. Climate Change 2001: Mitigation. Intergovernmental Panel on Climate Changes. Available online: www.ipcc.ch/docs/UN_products/ipcc_wg3_booklet_TAR.pdf (accessed on 5 July 2018).
- Wang, S.; Zhang, H.; Nie, Y.; Yang, H. Contributions of China’s Wood-Based Panels to CO2 Emission and Removal Implied by the Energy Consumption Standards. Forests 2017, 8, 273. [Google Scholar] [CrossRef]
- Rivela, B.; Hospido, A.; Moreira, M.; Feijoo, G. Life Cycle Inventory of Particleboard: A Case Study in the Wood Sector (8 pp). Int. J. Life Cycle Assess. 2006, 11, 106–113. [Google Scholar] [CrossRef]
- Sajdak, M.; Velázquez-Martí, B.; López-Cortés, I. Quantitative and qualitative characteristics of biomass derived from pruning Phoenix canariensis hort. ex Chabaud and Phoenix dactilifera L. Renew. Energy 2014, 71, 545–552. [Google Scholar] [CrossRef]
- García-Ortuño, T.; Ferrández García, M.T.; Andréu Rodríguez, J.; Ferrández García, C.E.; Ferrández-Villena, M. Evaluating the properties of palm particle boards (Washingtonia robusta H. Wendl). In Proceedings of the 6th Iberian Congress of Agroengineering, September 2011; Sociedad Española de Agroingeniería: Evora, Portugal; pp. 126–130. ISBN 978-972-778-113-3.
- Lista Europea de Residuos [Decisión 2014/955/UE] con código LER 20 02 01. Diario Oficial de la Unión Europea L 370/46. (30 December 2014). Available online: https://eur-lex.europa.eu/legal-content/ES/TXT/?uri=celex%3A32014D0955 (accessed on 4 December 2018).
- El-Morsy, M.M.S. Studies on the rachises of the Egyptian date palm leaves for hardboard production. Fibre Sci. Technol. 1980, 13, 317–321. [Google Scholar] [CrossRef]
- Nemli, G.; Kalaycıoğlu, H.; Alp, T. Suitability of date (Phoenix dactyiferis) branches for particleboard production. Holz. Als. Roh. Werkst. 2001, 59, 411–412. [Google Scholar] [CrossRef]
- Ashori, A.; Nourbakhsh, A. Effect of press cycle time and resin content on physical and mechanical properties of particleboard panels made from the underutilized low-quality raw materials. Ind. Crop. Prod. 2008, 28, 225–230. [Google Scholar] [CrossRef]
- Iskanderani, F.I. Physical properties of particleboard panels manufactured from Phoenix dactylifera-L (date palm) mid-rib chips using urea formaldehyde binder. Int. J. Polym. Mat. 2008, 57, 979–995. [Google Scholar] [CrossRef]
- Hegazy, S.; Aref, I. Suitability of some fast growing trees and date palm fronds for particleboard production. For. Prod. J. 2010, 60, 599–604. [Google Scholar] [CrossRef]
- Agoudjil, B.; Benchabane, A.; Boudenne, A.; Ibos, L.; Fois, M. Renewable materials to reduce building heat loss: Characterization of date palm wood. Energy Build 2011, 43, 491–497. [Google Scholar] [CrossRef]
- Amirou, S.; Zerizer, A.; Pizzi, A.; Haddadou, I.; Zhou, X. Particleboards production from date palm biomass. Eur. J. Wood Wood Prod. 2013, 71, 717–723. [Google Scholar] [CrossRef]
- Hegazy, S.; Ahmed, K.; Hiziroglu, S. Oriented strand board production from water-treated date palm fronds. BioResources 2015, 10, 448–456. [Google Scholar] [CrossRef]
- Hegazy, S.; Ahmed, K. Effect of date palm cultivar, particle size, panel density and hot water extraction on particleboards manufactured from date palm fronds. Agriculture 2015, 5, 267–285. [Google Scholar] [CrossRef]
- García-Ortuño, T.; Andreu-Rodríguez, J.; Ferrández-García, M.T.; Ferrández-García, C.E.; Medina, E.; Paredes, C.; Perez-Murcia, M.D.; Moreno-Caselles, J. Evaluation of the Different Uses of Washingtonia robusta Pruning Waste. Commun. Soil Sci. Plan. 2013, 44, 623–631. [Google Scholar] [CrossRef]
- Ferrandez-Villena, M.; Ferrandez-Garcia, C.E.; Andreu-Rodriguez, J.; Garcia-Ortuno, T.; Ferrandez-Garcia, M.T. Analysis of the properties of particleboard palm (Washingtonia robusta) and Giant Reed (Arundo donax L.). In Proceedings of the 8th Iberian Congress of Agroengineering, Libro de Actas: Retos de la Nueva Agricultura Mediterránea, 1–3 June 2015; Universidad Miguel Hernández de Elche: Alicante, Spain, 2015; pp. 461–467. ISBN 978-84-16024-30-8. [Google Scholar]
- Ferrández-García, C.C.; Ferrández-García, C.E.; Ferrández-Villena, M.; Ferrandez-García, M.T.; García-Ortuño, T. Acoustic and Thermal Evaluation of Palm Panels as Building Material. BioResources 2017, 12, 8047–8057. [Google Scholar] [CrossRef]
- García-Ortuño, T.; Ferrández-García, M.T.; Andreu-Rodríguez, J.; Ferrández-Garcia, C.E.; Ferrández-Villena, M. Valorization of pruning residues: The use of Phoenix canariensis to elaborate eco-friendly particleboards. In Structures and Environmental Technologies. International Conference of Agricultural Engineering-CIGR-AgEng 2012, Valencia, Spain, 8–12 July 2012; Federación de Gremios de Editores de España: Madrid, Spain, 2012; ISBN 978-84-615-9928-8. [Google Scholar]
- Moral, R.; Bustamante, M.; Ferrández-García, C.E.; Andreu-Rodríguez, J.; Ferrández-García, M.T.; Garcia-Ortuño, T. New Biomass Sources to Reduce Peat Dependence in Mediterranean Substrates: Validation of Morus alba L., Sorghum vulgare L., and Phoenix canariensis Pruning Wastes. Commun. Soil Sci. Plan 2015, 46 (Suppl. 1), 10–19. [Google Scholar] [CrossRef]
- Ferrandez-Garcia, C.E.; Ferrandez-Garcia, M.T.; Moral, R.; Ferrandez-Villena, M.; Andreu-Rodriguez, J.; Garcia-Ortuño, T. Development of bioproducts from Palm trees (Phoenix canariensis, Washingtonia robusta) oriented to carbon sequestration. In Proceedings of the 8th Iberian Congress of Agroengineering, Libro de Actas: Retos de la Nueva Agricultura Mediterránea, Orihuela, Spain, 1–3 June 2015; Universidad Miguel Hernández de Elche: Alicante, Spain, 2015; ISBN 978-84-16024-30-8. [Google Scholar]
- Ferrández-García, A.; Ferrández-Villena, M.; Ferrández-García, C.E.; García-Ortuño, T.; Ferrández-García, M.T. Potential Use of Phoenix canariensis Biomass in Binderless Particleboards at Low Temperature and Pressure. BioResources 2017, 12, 6698–6712. [Google Scholar] [CrossRef]
- Braiek, A.; Karkri, M.; Adili, A.; Ibos, L.; Nasrallah, S.B. Estimation of the thermophysical properties of date palm fibers/gypsum composite for use as insulating materials in building. Energy Build 2017, 140, 268–279. [Google Scholar] [CrossRef]
- Nasser, R.A.; Al-Mefarrej, H.A. Midribs of date palm as a raw material for wood-cement composite industry in Saudi Arabia. World Appl. Sci. J. 2011, 15, 1651–1658. [Google Scholar]
- Kriker, A.; Bali, B.; Debicki, G.; Bouziane, M.; Chabannet, M. Durability of date palm fibers and their use as reinforcement in hot dry climates. Cem. Concr. Compos. 2008, 30, 639–648. [Google Scholar] [CrossRef]
- Boumhaout, M.; Boukhattem, L.; Hamdi, H.; Benhamou, B.; Nouh, F.A. Thermomechanical characterization of a bio-composite building material: Mortar reinforced with date palm fibers mesh. Constr. Build Mater. 2017, 135, 241–250. [Google Scholar] [CrossRef]
- Al-Juruf, R.S.; Ahmed, F.A.; Alam, I.A. Development of heat insulating materials using date palm leaves. Therm. Insul. 1988, 11, 158–164. [Google Scholar] [CrossRef]
- Al-Sulaiman, F.A. Date palm fiber reinforced composite as a new insulating material. Int. J. Energy Res. 2003, 27, 1293–1297. [Google Scholar] [CrossRef]
- Al-Khanbashi, A.; Al-Kaabi, K.; Hammami, A. Date palm fibers as polymeric matrix reinforcement: Fiber characterization. Polym. Compos. 2005, 26, 486–497. [Google Scholar] [CrossRef]
- Bourmaud, A.; Dhakal, H.; Habrant, A.; Padovani, J.; Siniscalco, D.; Ramage, M.H.; Shah, D.U. Exploring the potential of waste leaf sheath date palm fibres for composite reinforcement through a structural and mechanical analysis. Compos. Part A Appl. 2017, 103, 292–303. [Google Scholar] [CrossRef]
- García Esteban, L.; Guindeo Casasús, A.; Peraza Oramas, C.; de Palacios de Palacios, P. La Madera y su Tecnología; Coedición FUCOVASA, Mundiprensa y AITIM: Madrid, España, 2002; p. 336. ISBN 84-86793-84-X. [Google Scholar]
- Boucher, J.; Méausoone, P.J.; Martin, P.; Auchet, S.; Perrin, L. Influence of helix angle and density variation on the cutting force in wood-based products machining. J. Mater. Process. Technol. 2007, 189, 211–218. [Google Scholar] [CrossRef]
- Pan, Z.; Zheng, Y.; Zhang, R.; Jenkins, B.M. Physical properties of thin particleboard made from saline eucalyptus. Ind. Crop. Prod. 2007, 26, 185–194. [Google Scholar] [CrossRef]
- Nemli, G.; Aydin, I.; Zekovic, E. Evaluation of some of the properties of particleboard as function of manufacturing parameters. Mater. Des. 2007, 28, 1169–1176. [Google Scholar] [CrossRef]
- Boonstra, M.J.; Pizzi, A.; Ohlmeyer, M.; Paul, W. The effects of a two stage heat treatment process on the properties of particleboard. Holz. Als. Roh. Werkst. 2006, 64, 157–164. [Google Scholar] [CrossRef]
- Han, G.; Wu, Q.; Wang, X. Stress-wave velocity of wood-based panels: Effect of moisture, product type, and material direction. For. Prod. J. 2006, 56, 28–33. [Google Scholar]
- Abdalla, A.M.; Sekino, N. Veneer strand flanged I-beam with MDF or particleboard as web material III: Effect of strand density and preparation method on the basic properties. J. Wood Sci. 2005, 51, 492–497. [Google Scholar] [CrossRef]
- Blanchet, P.; Cloutier, A.; Riedl, B. Particleboard made from hammer milled black spruce bark residues. Wood Sci. Technol. 2000, 34, 11–19. [Google Scholar] [CrossRef]
- Wang, W.; Zhang, X.; Lu, R. Adhesive application method in MDI-UF particleboard manufacture. Front. For. China 2006, 1, 225–229. [Google Scholar] [CrossRef]
- EN 326. Wood-based panels. In Sampling, Cutting and Inspection. Part 1: Sampling and Cutting of Test Pieces and Expression of Test; European Committee for Standardization: Brussels, Belgium, 1994. [Google Scholar]
- EN 323. Wood-based panels. In Determination of Density; European Committee for Standardization: Brussels, Belgium, 1993. [Google Scholar]
- EN 317. Particleboards and fiberboards. In Determination of Swelling in Thickness after Immersion in Water; European Committee for Standardization: Brussels, Belgium, 1993. [Google Scholar]
- EN 12667. Thermal performance of building materials and products. In Determination of Thermal Resistance by Means of Guarded Hot Plate and Heat Flow Meter Methods. Products of High and Medium Thermal Resistance; European Committee for Standardization: Brussels, Belgium, 2001. [Google Scholar]
- EN 310. Wood-based panels. In Determination of Modulus of Elasticity in Bending and of Bending Strength; European Committee for Standardization: Brussels, Belgium, 1993. [Google Scholar]
- EN 319. Particleboards and fiberboards. In Determination of Tensile Strength Perpendicular to the Plane of de Board; European Committee for Standardization: Brussels, Belgium, 1993. [Google Scholar]
- EN 312. Particleboards—Specifications; European Committee for Standardization: Brussels, Belgium, 2010. [Google Scholar]
- Berterreche, A.; Poblete, H.; Niemz, P. Propiedades de tableros de partículas de Pinus Radiata D. Don. con aserrín de la misma especie. Cienc. E Investig. For. 1995, 9, 73–90. [Google Scholar]
- Pérez-García, A. Estimación de Parámetros de Calidad Sobre Tableros Derivados de la Madera a Partir de Ensayos no Destructivos. Proyecto Fin de Carrera; E.U.I.T. Forestal. Universidad Politécnica de Madrid: Madrid, Spain, 2012. [Google Scholar]
- Rangel, L.; Moreno, P.; Trejo, S.; Valero, S. Propiedades de tableros aglomerados de partículas fabricados con madera de Eucalyptus urophylla. Maderas Cienc. Tecnol. 2017, 9. [Google Scholar] [CrossRef]
- Miliarium, Ingeniería Civil y Medioambiente. Propiedades Térmicas de Materiales. Available online: https://es.scribd.com/document/211788851/propiedades-termicas-de-los-materiales (accessed on 17 January 2018).
- Ali, M.E.; Alabdulkarem, A. On thermal characteristics and microstructure of a new insulation material extracted from date palm trees surface fibers. Constr. Build Mater. 2017, 138, 276–284. [Google Scholar] [CrossRef]








| Property | Name of the Samples | Number of Samples | Dimensions (mm) |
|---|---|---|---|
| Density | 1, 2, 3, 4, 5, 6 | 6 | 50 × 50 |
| TS, WA | 2, 4, 5 | 3 | 50 × 50 |
| MOR, MOE | 1=, 2=, 3=, 1T, 2T, 3T | 6 | 250 × 50 |
| IB | 1, 3, 6 | 3 | 50 × 50 |
| Conductivity | cond | 1 | 300 × 300 |
| Material | Particle (mm) | Thickness (mm) | Density (kg/m3) | TS 2 h (%) | TS 24 h (%) | WA 2 h (%) | WA 24 h (%) |
|---|---|---|---|---|---|---|---|
| Canary | 0.25–1 | 10.42 (0.24) | 856.37 (28.67) | 37.83 (5.60) | 49.74 (8.11) | 72.14 (5.49) | 85.91 (8.12) |
| Canary | 1–2 | 10.63 (0.38) | 840.31 (17.54) | 25.22 (2.65) | 38.21 (2.46) | 54.31 (3.90) | 71.56 (4.64) |
| Canary | 2–4 | 10.68 (0.10) | 818.95 (7.54) | 32.11 (2.09) | 39.44 (2.43) | 59.43 (3.26) | 71.15 (4.52) |
| Washingtonia | 0.25–1 | 10.53 (0.31) | 878.25 (47.17) | 31.35 (7.94) | 39.95 (9.93) | 63,43 (9.94) | 77.29 (12.52) |
| Washingtonia | 1–2 | 10.61 (0.97) | 815.32 (41.22) | 29.86 (6.46) | 38.33 (5.86) | 59.86 (9.90) | 79.43 (14.02) |
| Washingtonia | 2–4 | 10.57 (0.55) | 746.30 (35.80) | 26.65 (4.40) | 38.90 (5.84) | 61.35 (8.64) | 72.72 (11.83) |
| Date | 0.25–1 | 10.48 (0.35) | 841.73 (32.01) | 25.51 (1.79) | 31.96 (4.79) | 61.90 (9.96) | 82.78 (6.59) |
| Date | 1–2 | 10.68 (0.51) | 765.49 (23.24) | 23.57 (2.61) | 33.03 (3.83) | 62.62 (4.73) | 74.91 (8.89) |
| Date | 2–4 | 10.26 (0.25) | 784.92 (25.56) | 19.99 (3.93) | 34.09 (4.91) | 47.84 (2.51) | 61.26 (8.41) |
| Material | Particle (mm) | MOR (N/mm2) | MOE (N/mm2) | IB (N/mm2) |
|---|---|---|---|---|
| Canary | 0.25–1 | 13.97 (0.45) | 1567.16 (49.12) | 0.75 (0.07) |
| Canary | 1–2 | 19.85 (0.74) | 2018.63 (106.11) | 0.97 (0.12) |
| Canary | 2–4 | 12.68 (0.41) | 1373.56 (87.24) | 0.72 (0.06) |
| Washingtonia | 0.25–1 | 16.95 (1.52) | 1526.40 (161.00) | 0.95 (0.15) |
| Washingtonia | 1–2 | 12.40 (1.07) | 1208.22 (139.39) | 0.97 (0.15) |
| Washingtonia | 2–4 | 7.38 (0.34) | 662.98 (49.40) | 0.99 (0.13) |
| Date | 0.25–1 | 13.51 (0.80) | 1263.07 (59.93) | 0.93 (0.07) |
| Date | 1–2 | 10.76 (1.07) | 988.14 (63.73) | 0.98 (0.06) |
| Date | 2–4 | 7.85 (0.32) | 694.96 (45.01) | 0.91 (0.07) |
| P1 [46] | 10.5 | - | 0.28 | |
| P2 [46] | 11 | 1800 | 0.40 | |
| P3 [46] | 15 | 2050 | 0.45 | |
| P4 [46] | 16 | 2300 | 0.40 |
| Material: Rachis Palm | Temp (°C) | Time (min) | Adhesive (%) | Density (kg/m3) | MOR (N/mm2) | MOE (N/mm2) | IB (N/mm2) | TS 24 h (%) | Source |
|---|---|---|---|---|---|---|---|---|---|
| Date | 150 | 5 | 33% UF | 650 | 15.3–18.9 | - | 0.43–0.83 | 14.4 | [8] |
| Date | 160 | 5 | 9% UF | 750 | 10.5 | 1333 | 0.38 | 30.1 | [9] |
| Date | 160 | 5 | 11% UF | 750 | 16.6 | 1861 | 0.63 | 30.1 | [9] |
| Date | 195 | 7.5 | 10% PF | 700 | 14.0 | 2780 | 0.66 | 14.9 | [13] |
| Date | 140 | 10 | 10% UF | 650 | 6.7 | 950 | 0.67 | 84 | [15] |
| Date | 140 | 10 | 10% UF | 750 | 8.2 | 1140 | 2.43 | 23.8 | [15] |
| Date | 160 | 8 | 10% UF | 670 | 9.04 | 1443 | 0.43 | - | [14] |
| Date | 160 | 8 | 10% UF | 790 | 13.3 | 2018 | 0.53 | - | [14] |
| Canary | 120 | 15 | None | 850 | 6.0 | 1022.32 | 0.39 | 55.22 | [22] |
| Canary | 110 | 240 | 10% Starch | 1100 | 13.85 | 1702.67 | 0.63 | 28.98 | [19] |
| Washing. | 120 | 6 | 8% UF | 866 | 16.73 | 1469.78 | 0.90 | 41.20 | [18] |
| Canary | 130 | 5 | 8% UF | 842 | 15.93 | 1696.13 | 0.83 | 42.90 | This study |
| Washing. | 130 | 5 | 8% UF | 813 | 12.48 | 1129.24 | 0.97 | 39.44 | This study |
| Date | 130 | 5 | 8% UF | 797 | 10.71 | 982.06 | 0.94 | 33.02 | This study |
| Material | Thick (mm) | Temp (°C) | UF (%) | Density (kg/m3) | MOR (N/mm2) | MOE (N/mm2) | IB (N/mm2) | Manufac- turer | Source |
|---|---|---|---|---|---|---|---|---|---|
| Pine wood | 16 | 200 | 15% | 660 | 13.7 | 1626 | 1.36 | AA | [47] |
| Mix of pine, oak & beech wood | 13 | 200 | 12% | 665 | 11.7 | 2425 | 0.35 | TL | [48] |
| 75% pine wood & sawmill rests | 13 | 200 | 12% | 630 | 9.68 | 2094 | 0.30 | EM | [48] |
| Eucalyptus | 17 | 190 | 12% | 838 | 33.0 | - | 0.45 | - | [49] |
| Canary Palm | 10.58 | 130 | 8% | 842 | 15.93 | 1696.13 | 0.83 | - | This study |
| Wash. Palm | 10.57 | 130 | 8% | 813 | 12.48 | 1129.24 | 0.97 | - | This study |
| Date Palm | 10.48 | 130 | 8% | 797 | 10.71 | 982.06 | 0.94 | - | This study |
| Material | Density (kg/m3) | Thermal Conductivity λ (W/mK) | Source |
|---|---|---|---|
| Maple wood | 750 | 0.349 | [50] |
| Oak wood | 850 | 0.209 | [50] |
| Beech wood | 800 | 0.143 | [50] |
| Canary palm rachis | 842 | 0.057 | This study |
| Washingtonia palm rachis | 813 | 0.059 | This study |
| Date palm rachis | 797 | 0.059 | This study |
| Board Type | Material: Rachis | Density (kg/m3) | Thermal Conductivity λ (W/mK) | Source |
|---|---|---|---|---|
| Particleboard | Date palm | 254 | 0.042 | [12] |
| Particleboard | Date palm | 273 | 0.084 | [12] |
| Particleboard | Date palm | 176 | 0.048 | [51] |
| Particleboard | Date palm | 270 | 0.070 | [51] |
| Composite | Date palm/ (PF) | 1240 | 0.160 | [28] |
| Composite | Date palm/ (PF) | 1320 | 0.200 | [28] |
| Composite | 20% Date palm/gypsum | 736 | 0.174 | [23] |
| Composite | 50% Date palm/cement | 1217 | 0.243 | [26] |
| Particleboard | Washingtonia palm | 860 | 0.084 | [21] |
| Particleboard | Washingtonia palm | 746 | 0.062 | [18] |
| Particleboard | Canary palm | 880 | 0.054 | [22] |
| Particleboard | Canary palm | 1030 | 0.079 | [22] |
| Particleboard | Canary palm | 842 | 0.057 | This study |
| Particleboard | Washingtonia palm | 813 | 0.059 | This study |
| Particleboard | Date palm | 797 | 0.059 | This study |
| Factor | Properties | Sum of Squares | d.f. | Half Quadratic | F | Sig. |
|---|---|---|---|---|---|---|
| Particle size | Density (kg/m3) | 59,221.826 | 2 | 29,610.913 | 15.628 | 0.000 |
| MOR (N/mm2) | 437.186 | 2 | 218.593 | 25.186 | 0.000 | |
| MOE (N/mm2) | 4,212,577.867 | 2 | 2,106,288.933 | 20.621 | 0.000 | |
| IB (N/mm2) | 0.066 | 2 | 0.033 | 1.825 | 0.173 | |
| TS 24 h (%) | 187.647 | 2 | 93.823 | 1.607 | 0.212 | |
| WA 24 h (%) | 1103.284 | 2 | 551.642 | 4.946 | 0.011 | |
| Palm species | Density (kg/m3) | 12,789.499 | 2 | 639.749 | 2.185 | 0.124 |
| MOR (N/mm2) | 181.009 | 2 | 90.505 | 6.297 | 0.004 | |
| MOE (N/mm2) | 3,737,773.838 | 2 | 1,868,886.919 | 16.584 | 0.000 | |
| IB (N/mm2) | 0.161 | 2 | 0.080 | 5.031 | 0.011 | |
| TS 24 h (%) | 631.436 | 2 | 315.718 | 6.508 | 0.003 | |
| WA 24 h (%) | 119.859 | 2 | 59.929 | 0.449 | 0.641 |
© 2018 by the authors. Licensee MDPI, Basel, Switzerland. This article is an open access article distributed under the terms and conditions of the Creative Commons Attribution (CC BY) license (http://creativecommons.org/licenses/by/4.0/).
Share and Cite
Ferrández-García, C.-E.; Ferrández-García, A.; Ferrández-Villena, M.; Hidalgo-Cordero, J.F.; García-Ortuño, T.; Ferrández-García, M.-T. Physical and Mechanical Properties of Particleboard Made from Palm Tree Prunings. Forests 2018, 9, 755. https://doi.org/10.3390/f9120755
Ferrández-García C-E, Ferrández-García A, Ferrández-Villena M, Hidalgo-Cordero JF, García-Ortuño T, Ferrández-García M-T. Physical and Mechanical Properties of Particleboard Made from Palm Tree Prunings. Forests. 2018; 9(12):755. https://doi.org/10.3390/f9120755
Chicago/Turabian StyleFerrández-García, Clara-Eugenia, Antonio Ferrández-García, Manuel Ferrández-Villena, Juan Fernando Hidalgo-Cordero, Teresa García-Ortuño, and María-Teresa Ferrández-García. 2018. "Physical and Mechanical Properties of Particleboard Made from Palm Tree Prunings" Forests 9, no. 12: 755. https://doi.org/10.3390/f9120755
APA StyleFerrández-García, C.-E., Ferrández-García, A., Ferrández-Villena, M., Hidalgo-Cordero, J. F., García-Ortuño, T., & Ferrández-García, M.-T. (2018). Physical and Mechanical Properties of Particleboard Made from Palm Tree Prunings. Forests, 9(12), 755. https://doi.org/10.3390/f9120755
