Characterizing Habitat Elements and Their Distribution over Several Spatial Scales: The Case of the Fisher
Abstract
:1. Introduction
2. Study Area and Methods
2.1. The Forest, the Fisher and the Three Scales of Our Modeling Effort
2.2. The k-Max-l Approach to Study a Varying Landscape and Selective Use
3. Results
3.1. Dens vs. Forest (Table 2)
3.2. Home Range vs. Remaining Forest
3.3. Dens vs Remaining Home Range
4. Discussion
5. Conclusions
Acknowledgments
Author Contributions
Conflicts of Interest
References
- Gerrard, R.; Stine, P.; Church, R.; Gilpin, M. Habitat evaluation using GIS: A case study applied to the San Joaquin Kit Fox. Landsc. Urban Plan. 2001, 52, 239–255. [Google Scholar] [CrossRef]
- Koopman, M.E.; Scrivner, J.H.; Kato, T.T. Patterns of den use by San Joaquin kit foxes. J. Wildl. Manag. 1998, 62, 373–379. [Google Scholar] [CrossRef]
- Morrell, S.H. The Life History of the San Joaquin Kit Fox. Master’s Thesis, Department of Zoology, University of California, Santa Barbara, CA, USA, 1971. [Google Scholar]
- Ralls, K.; White, P.J. Predation on San Joaquin kit foxes by larger canids. J. Mammal. 1995, 76, 723–729. [Google Scholar] [CrossRef]
- White, P.J.; Ralls, K. Reproduction and spacing patterns of kit foxes relative to changing prey availability. J. Wildl. Manag. 1993, 57, 861–867. [Google Scholar] [CrossRef]
- Bjurlin, C.D.; Cypher, B.L.; Wingert, C.M.; Van Horn Job, C.L. Urban Roads and the Endangered San Joaquin Kit Fox; Final Report Submitted to the California Department of Transportation by the California State University, Stanislaus Endangered Species Recovery Program; California Department of Transportation: Sacramento, CA, USA, 2005; pp. 1–47.
- Chawkins, S. Kit Foxes Make Themselves at Home within Bakersfield City Limits; Los Angeles Times: Los Angeles, CA, USA, 2012. [Google Scholar]
- Sato, J.J.; Mieczyslaw, W.; Prevosti, F.J.; D'Elía, G.; Begg, C.; Begg, K.; Hosoda, T.; Campbell, K.; Suzuki, H. Evolutionary and biogeographic history of weasel-like carnivorans (Musteloidea). Mol. Phylogenet. Evol. 2012, 63, 745–757. [Google Scholar] [CrossRef] [PubMed]
- Zielinski, W.J.; Truex, R.L.; Schmidt, G.A.; Schlexer, F.V.; Schmidt, K.N.; Barrett, R.H. Home range characteristics of fishers in California. J. Mammal. 2004, 85, 649–657. [Google Scholar] [CrossRef]
- Niblett, M.R.; Sweeney, S.H.; Church, R.L.; Barber, K.H. Structure of fisher (Pekania pennanti) habitat in a managed forest in an interior northern California coast range. For. Sci. 2015, 61, 481–493. [Google Scholar] [CrossRef]
- Sweitzer, R.A.; Furnas, B.J.; Barrett, R.H.; Purcell, K.L.; Thompson, C.M. Landscape fuel reduction, forest fire, and biophysical linkages to local habitat use and local persistence of fishers (Pekania pennanti) in Sierra Nevada mixed-conifer forests. For. Ecol. Manag. 2016, 361, 208–225. [Google Scholar] [CrossRef]
- Buck, S.G.; Mullis, C.; Mossman, A.S.; Show, I.; Coolahan, C. Habitat use by fishers in adjoining heavily and lightly harvested forest. In Martens, Sables, and Fishers: Biology and Conservation; Buskirk, S.W., Harestad, A.S., Raphael, M.G., Powell, R.A, Eds.; Cornell University Press: Ithaca, NY, USA, 1994; pp. 368–376. [Google Scholar]
- The United States Department of Agriculture (USDA). Forest Inventory and Analysis National Program. 2013. Available online: http://www.fia.fs.fed.us/library/fact-sheets/data-collections/Phase2_3 (accessed on 11 February 2017).
- Zielinski, W.J.; Dunk, J.R.; Gray, A.N. Estimating habitat value using forest inventory data: The fisher (Martes pennanti) in northwestern California. For. Ecol. Manag. 2012, 275, 35–42. [Google Scholar] [CrossRef]
- Reno, M.A.; Rulon, K.R.; James, C.E. Fisher Monitoring within Two Industrially Managed Forests of Northern California: Progress Report to the California Department of Fish and Game; Sierra Pacific Industries: Anderson, CA, USA, 2008. [Google Scholar]
- Lofroth, E.C.; Raley, C.M.; Higley, J.M.; Truex, R.L.; Yaeger, J.S.; Lewis, J.C.; Happe, P.J.; Finley, L.L.; Naney, R.H.; Hale, L.J.; et al. Conservation of Fishers (Martes pennanti) in South-Central British Columbia, Western Washington, Western Oregon, and California; Volume I: Conservation Assessment; Bureau of Land Management, United States Department of the Interior: Denver, CO, USA, 2010.
- Zhao, F.; Sweitzer, R.; Guo, Q.; Kelly, M. Characterizing habitats associated with fisher den structures in the Southern Sierra Nevada, California using discrete return LiDAR. For. Ecol. Manag. 2012, 280, 112–119. [Google Scholar] [CrossRef]
- Diggle, P.J. A kernel method for smoothing point process data. Appl. Stat. 1985, 34, 138–147. [Google Scholar] [CrossRef]
- Diggle, P.J. Statistical Analysis of Spatial Point Patterns, 2nd ed.; Hodder Education Publishers: London, UK, 2003. [Google Scholar]
- Zielinski, W.J.; Truex, R.L.; Schmidt, G.A.; Schlexer, F.V.; Schmidt, K.N.; Barrett, R.H. Resting habitat selection by fishers in California. J. Wildl. Manag. 2004, 68, 475–492. [Google Scholar] [CrossRef]
- Aubry, K.B.; Raley, C.M.; Buskirk, S.W.; Zielinski, W.J.; Schwartz, M.K.; Golightly, R.T.; Purcell, K.L.; Weir, R.D.; Yaeger, J.S. Meta-analyses of habitat selection by fishers at resting sites in the Pacific Coastal Region. J. Wildl. Manag. 2013, 77, 965–974. [Google Scholar] [CrossRef]
- Raley, C.M.; Lofroth, E.C.; Truex, R.L.; Yaeger, J.S.; Higley, J.M. Habitat ecology of fishers in western north America. In Biology and Conservation of Martens, Sables, and Fishers: A New Synthesis; Aubry, K.B., Zielinski, W.J., Raphael, M.G., Proulx, G., Buskirk, S.W., Eds.; Cornell University Press: Ithaca, NY, USA, 2012; pp. 231–254. [Google Scholar]
- Davis, F.W.; Seo, C.; Zielinski, W.J. Regional variation in home-range-scale habitat models for fisher (Martes pennanti) in California. Ecol. Appl. 2007, 17, 2195–2213. [Google Scholar] [CrossRef] [PubMed]
- Matthews, S.M.; Higley, J.M.; Rennie, K.M.; Green, R.E.; Goddard, C.A.; Wengert, G.M.; Gabriel, M.W.; Fuller, T.K. Reproduction, recruitment, and dispersal of fishers (Martes pennanti) in a managed Douglas-fir forest in California. J. Mammal. 2013, 94, 100–108. [Google Scholar] [CrossRef]
- Sweitzer, R.A.; Popescu, V.D.; Barrett, R.H.; Purcell, K.L.; Thompson, C.M. Reproduction, abundance, and population growth for a fisher (Pekania pennanti) population in the Sierra National Forest, California. J. Mammal. 2015, 96, 772–790. [Google Scholar] [CrossRef]
- McCann, N.P.; Zollner, P.A.; Gilbert, J.H. Bias in the use of broadscale vegetation data in the analysis of habitat selection. J. Mammal. 2014, 95, 369–381. [Google Scholar] [CrossRef]
- Cabin, R.J.; Mitchell, R.J. To Bonferroni or not to Bonferroni: When and how are the questions. Bull. Ecol. Soc. Am. 2000, 81, 246–248. [Google Scholar]
- Purcell, K.L.; Mazzoni, A.K.; Mori, S.R.; Boroski, B.B. Resting structures and resting habitat of fishers in the southern Sierra Nevada, California. For. Ecol. Manag. 2009, 258, 2696–2706. [Google Scholar] [CrossRef]
- Mayer, K.E.; Laudenslayer, W.F. A Guide to Wildlife Habitats of California; California Department of Fish and Game: Sacramento, CA, USA, 1988.
- Weir, R.D.; Phinney, M.; Lofroth, E.C. Big, sick, and rotting: Why tree size, damage, and decay are important to fisher reproductive habitat. For. Ecol. Manag. 2012, 265, 230–240. [Google Scholar] [CrossRef]






| Attribute | Attribute Code | Measurement Unit |
|---|---|---|
| Quadratic mean dbh | QUADMEAN | cm |
| Douglas fir basal area | BASAL_DF | m2 ha−1 |
| Hardwood basal area | BASAL_HW | m2 ha−1 |
| Hardwood basal area where dbh ≥ 20.32 cm | BASAL_HW8 | m2 ha−1 |
| Snag basal area | BASAL_SNAG | m2 ha−1 |
| Douglas fir Scribner volume | SCRIB_DF | Board-feet per acre |
| Canopy cover | CANOPY | Percent canopy cover (100% = complete cover) |
| Number of Douglas fir trees | TREES_DF | Trees per hectare |
| Number of hardwood trees | TREES_HW | Trees per hectare |
| Number of hardwood trees ≥ 20.32 cm | TREES_HW8 | Trees per hectare |
| Largest dbh conifer tree in plot | CONIFER_LIVE | cm |
| Largest dbh hardwood in plot | HARDWOOD_LIVE | cm |
| Above ground biomass | BIOMASS_AG | Metric tons ha−1 |
| RRHS Score | z_RRHS | Values range from 0 to 1 |
| Attribute | Level l | |||||||||
|---|---|---|---|---|---|---|---|---|---|---|
| 1 | 2 | 3 | 4 | 5 | 6 | 7 | 8 | 9 | 10 | |
| QUADMEAN | 0.264 | 0.005 | 0.002 | 0.001 | 0.001 | 0.001 | 0.001 | 0.009 | - | - |
| BASAL_DF | 0.002 | 0.002 | 0.001 | 0.001 | 0.001 | - | - | - | - | - |
| BASAL_HW | 0.004 | 0.050 | 0.023 | 0.001 | 0.001 | 0.001 | - | - | - | - |
| BASAL_HW8 | 0.010 | 0.066 | 0.004 | 0.001 | 0.001 | - | - | - | - | - |
| SCRIB_DF | 0.001 | 0.001 | 0.001 | 0.001 | 0.001 | - | - | - | - | - |
| TREES_DF | 0.002 | 0.001 | 0.001 | 0.001 | 0.002 | - | - | - | - | - |
| TREES_HW | 0.006 | 0.089 | 0.018 | 0.001 | 0.001 | 0.001 | - | - | - | - |
| TREES_HW8 | 0.235 | 0.231 | 0.013 | 0.001 | 0.001 | - | - | - | - | - |
| CANOPY | 0.050 | 0.065 | 0.060 | 0.028 | 0.005 | 0.003 | 0.001 | 0.001 | - | - |
| BASAL_SNAG | 0.001 | - | - | - | - | - | - | - | - | - |
| BIOMASS_AG | 0.001 | 0.001 | 0.001 | 0.001 | 0.001 | 0.001 | 0.001 | 0.001 | - | - |
| z_RRHS | 0.003 | 0.001 | 0.001 | 0.001 | 0.001 | 0.001 | 0.001 | 0.001 | 0.001 | 0.003 |
| CONIFER_LIVE | 0.042 | 0.050 | 0.043 | 0.032 | 0.061 | 0.253 | - | - | - | - |
| HARDWOOD_LIVE | 0.009 | 0.005 | 0.003 | 0.001 | 0.018 | 0.004 | - | - | - | - |
| Attribute | Level l | |||||||||
|---|---|---|---|---|---|---|---|---|---|---|
| 1 | 2 | 3 | 4 | 5 | 6 | 7 | 8 | 9 | 10 | |
| QUADMEAN | 0.001 | 0.001 | 0.001 | 0.001 | 0.001 | 0.001 | 0.002 | 0.003 | - | - |
| BASAL_DF | 0.001 | 0.001 | 0.001 | 0.001 | 0.001 | - | - | - | - | - |
| BASAL_HW | 0.006 | 0.001 | 0.001 | 0.001 | 0.001 | 0.001 | - | - | - | - |
| BASAL_HW8 | 0.007 | 0.001 | 0.001 | 0.001 | 0.001 | - | - | - | - | - |
| SCRIB_DF | 0.001 | 0.001 | 0.001 | 0.001 | 0.001 | - | - | - | - | - |
| TREES_DF | 0.001 | 0.001 | 0.001 | 0.001 | 0.001 | - | - | - | - | - |
| TREES_HW | 0.002 | 0.011 | 0.001 | 0.001 | 0.001 | 0.001 | - | - | - | - |
| TREES_HW8 | 0.009 | 0.001 | 0.001 | 0.001 | 0.001 | - | - | - | - | - |
| CANOPY | 0.047 | 0.001 | 0.001 | 0.001 | 0.001 | 0.001 | 0.001 | 0.006 | - | - |
| BASAL_SNAG | 0.001 | - | - | - | - | - | - | - | - | - |
| BIOMASS_AG | 0.001 | 0.001 | 0.001 | 0.001 | 0.001 | 0.001 | 0.001 | 0.001 | - | - |
| z_RRHS | 0.002 | 0.001 | 0.001 | 0.001 | 0.001 | 0.001 | 0.001 | 0.001 | 0.001 | 0.004 |
| CONIFER_LIVE | 0.050 | 0.002 | 0.020 | 0.009 | 0.060 | 0.211 | - | - | - | - |
| HARDWOOD_LIVE | 0.001 | 0.003 | 0.002 | 0.001 | 0.001 | 0.001 | - | - | - | - |
| Attribute | Level l | |||||||||
|---|---|---|---|---|---|---|---|---|---|---|
| 1 | 2 | 3 | 4 | 5 | 6 | 7 | 8 | 9 | 10 | |
| QUADMEAN | 0.548 | 0.002 | 0.001 | 0.001 | 0.001 | 0.001 | 0.001 | 0.001 | - | - |
| BASAL_DF | 0.174 | 0.001 | 0.001 | 0.001 | 0.001 | - | - | - | - | - |
| BASAL_HW | 0.107 | 0.023 | 0.007 | 0.001 | 0.001 | 0.001 | - | - | - | - |
| BASAL_HW8 | 0.164 | 0.016 | 0.002 | 0.001 | 0.001 | - | - | - | - | - |
| SCRIB_DF | 0.119 | 0.001 | 0.001 | 0.001 | 0.001 | - | - | - | - | - |
| TREES_DF | 0.230 | 0.001 | 0.001 | 0.001 | 0.002 | - | - | - | - | - |
| TREES_HW | 0.209 | 0.079 | 0.008 | 0.001 | 0.001 | 0.001 | - | - | - | - |
| TREES_HW8 | 0.985 | 0.102 | 0.003 | 0.001 | 0.001 | - | - | - | - | - |
| CANOPY | 0.169 | 0.059 | 0.021 | 0.008 | 0.001 | 0.001 | 0.001 | 0.003 | - | - |
| BASAL_SNAG | 0.121 | - | - | - | - | - | - | - | - | - |
| BIOMASS_AG | 0.002 | 0.001 | 0.001 | 0.001 | 0.001 | 0.001 | 0.001 | 0.001 | - | - |
| z_RRHS | 0.190 | 0.001 | 0.001 | 0.001 | 0.001 | 0.001 | 0.001 | 0.001 | 0.001 | 0.002 |
| CONIFER_LIVE | 0.446 | 0.023 | 0.026 | 0.037 | 0.056 | 0.209 | - | - | - | - |
| HARDWOOD_LIVE | 0.464 | 0.002 | 0.003 | 0.001 | 0.003 | 0.002 | - | - | - | - |
| Level l | Quadratic Mean Diameter | Douglas Fir Basal Area | ||||||||
|---|---|---|---|---|---|---|---|---|---|---|
| Den | Kernels | Kernels ND | Forest NK | Forest | Den | Kernels | Kernels ND | Forest NK | Forest | |
| 1 | 65.3050 | 68.3211 | 67.7915 | 64.8644 | 65.1384 | 42.22 | 36.64 | 33.83 | 26.91 | 28.15 |
| 2 | 52.1170 | 51.1282 | 50.4853 | 46.9232 | 47.4318 | 28.21 | 23.79 | 20.05 | 15.75 | 16.85 |
| 3 | 45.2104 | 41.6991 | 40.4339 | 38.6240 | 39.0080 | 22.13 | 17.34 | 14.53 | 9.88 | 10.92 |
| 4 | 38.5410 | 35.8297 | 34.8374 | 31.7737 | 32.3168 | 15.79 | 11.99 | 10.21 | 6.39 | 7.16 |
| 5 | 32.9805 | 30.3389 | 29.9172 | 26.6710 | 27.1301 | 10.48 | 8.42 | 7.43 | 4.09 | 4.71 |
| 6 | 27.9789 | 25.8853 | 25.0440 | 21.9296 | 22.4401 | 8.02 | 5.94 | 4.74 | 2.31 | 2.81 |
| 7 | 23.2950 | 20.3291 | 18.6134 | 17.0014 | 17.4266 | 4.95 | 3.71 | 2.68 | 1.14 | 1.50 |
| 8 | 17.2574 | 15.1629 | 13.8147 | 11.6828 | 12.1332 | 2.84 | 2.08 | 1.30 | 0.55 | 0.76 |
| 9 | 10.5334 | 9.2376 | 8.4207 | 7.0595 | 7.3483 | 1.39 | 0.91 | 0.57 | 0.12 | 0.22 |
| 10 | 5.4918 | 3.2463 | 2.6177 | 2.7027 | 2.7979 | 0.78 | 0.32 | 0.13 | 0.05 | 0.09 |
| Average | 31.8711 | 30.1178 | 29.1976 | 26.9232 | 27.3171 | 13.68 | 11.11 | 9.55 | 6.72 | 7.32 |
| Level l | Hardwood basal area | Hardwood ≥ 20.32cm basal area | ||||||||
| Den | Kernels | Kernels ND | Forest NK | Forest | Den | Kernels | Kernels ND | Forest NK | Forest | |
| 1 | 64.70 | 60.31 | 59.00 | 48.40 | 49.95 | 43.44 | 39.60 | 37.85 | 32.50 | 33.47 |
| 2 | 36.87 | 36.85 | 36.80 | 27.99 | 29.22 | 25.70 | 26.47 | 26.58 | 19.83 | 20.76 |
| 3 | 24.91 | 25.82 | 25.38 | 17.87 | 18.96 | 20.77 | 19.00 | 18.51 | 13.14 | 13.93 |
| 4 | 19.77 | 17.55 | 16.68 | 11.61 | 12.45 | 15.34 | 13.65 | 13.13 | 8.49 | 9.19 |
| 5 | 14.13 | 12.19 | 12.05 | 6.91 | 7.68 | 10.03 | 8.49 | 8.63 | 4.81 | 5.35 |
| 6 | 9.17 | 8.18 | 8.07 | 3.64 | 4.32 | 6.22 | 5.50 | 5.11 | 2.71 | 3.14 |
| 7 | 5.08 | 4.11 | 4.38 | 1.83 | 2.19 | 3.62 | 2.64 | 2.56 | 1.32 | 1.54 |
| 8 | 2.02 | 2.10 | 2.26 | 0.78 | 0.99 | 1.33 | 1.17 | 1.42 | 0.53 | 0.64 |
| 9 | 1.05 | 0.67 | 0.99 | 0.28 | 0.34 | 0.83 | 0.51 | 0.72 | 0.20 | 0.25 |
| 10 | 0.60 | 0.12 | 0.19 | 0.07 | 0.08 | 0.41 | 0.00 | 0.00 | 0.04 | 0.04 |
| Average | 17.83 | 16.79 | 16.58 | 11.94 | 12.62 | 12.77 | 11.70 | 11.45 | 8.36 | 8.83 |
| Level l | Snag basal area | Douglas fir Scribner volume | ||||||||
| Den | Kernels | Kernels ND | Forest NK | Forest | Den | Kernels | Kernels ND | Forest NK | Forest | |
| 1 | 15.43 | 13.21 | 12.37 | 9.08 | 9.67 | 27,078.72 | 25,139.16 | 21,891.88 | 17,733.41 | 18,757.94 |
| 2 | 8.50 | 6.21 | 5.42 | 3.94 | 4.27 | 17,930.30 | 15,719.99 | 13,291.80 | 9676.01 | 10,500.37 |
| 3 | 5.47 | 2.56 | 2.13 | 1.89 | 1.99 | 13,033.00 | 10,774.79 | 8649.25 | 5668.41 | 6364.55 |
| 4 | 2.54 | 1.05 | 0.15 | 0.78 | 0.83 | 9115.36 | 7666.71 | 6276.26 | 3418.93 | 3989.82 |
| 5 | 1.66 | 0.48 | 0.00 | 0.15 | 0.20 | 5906.40 | 5255.33 | 4358.81 | 1956.49 | 2406.94 |
| 6 | 0.39 | 0.00 | 0.00 | 0.03 | 0.03 | 3971.02 | 3273.55 | 2337.14 | 1101.23 | 1394.93 |
| 7 | 0.20 | 0.00 | 0.00 | 0.01 | 0.01 | 2597.55 | 1996.61 | 1386.65 | 495.15 | 691.77 |
| 8 | 0.00 | 0.00 | 0.00 | 0.00 | 0.00 | 1712.77 | 1161.83 | 776.04 | 222.33 | 337.14 |
| 9 | 0.00 | 0.00 | 0.00 | 0.00 | 0.00 | 820.15 | 597.36 | 288.87 | 50.06 | 123.10 |
| 10 | 0.00 | 0.00 | 0.00 | 0.00 | 0.00 | 452.87 | 150.56 | 0.00 | 15.55 | 35.77 |
| Average | 3.42 | 2.35 | 2.01 | 1.59 | 1.70 | 8261.81 | 7173.59 | 5925.67 | 4033.76 | 4460.23 |
| Level l | Canopy cover | Number of Douglas fir trees per hectare | ||||||||
| Den | Kernels | Kernels ND | Forest NK | Forest | Den | Kernels | Kernels ND | Forest NK | Forest | |
| 1 | 100.00 | 98.52 | 97.86 | 95.10 | 95.53 | 2451 | 2666 | 2737 | 1668 | 1789 |
| 2 | 97.53 | 97.22 | 96.86 | 90.32 | 91.19 | 1113 | 1015 | 1070 | 474 | 552 |
| 3 | 91.13 | 94.50 | 93.96 | 82.27 | 83.86 | 503 | 450 | 401 | 185 | 223 |
| 4 | 85.53 | 87.10 | 85.14 | 70.83 | 73.07 | 244 | 194 | 208 | 72 | 90 |
| 5 | 76.70 | 76.07 | 72.16 | 57.27 | 59.91 | 132 | 82 | 76 | 36 | 43 |
| 6 | 65.79 | 61.63 | 58.74 | 41.69 | 44.62 | 80 | 38 | 27 | 17 | 20 |
| 7 | 53.43 | 43.21 | 40.12 | 27.53 | 30.03 | 30 | 15 | 13 | 9 | 10 |
| 8 | 36.62 | 27.50 | 23.91 | 16.68 | 18.41 | 10 | 8 | 6 | 5 | 5 |
| 9 | 22.30 | 13.51 | 12.03 | 8.08 | 8.96 | 3 | 3 | 2 | 2 | 2 |
| 10 | 9.21 | 4.49 | 4.14 | 3.12 | 3.36 | 1 | 1 | 0 | 1 | 1 |
| Average | 63.82 | 60.37 | 58.49 | 49.29 | 50.89 | 145 | 145 | 145 | 145 | 145 |
| Level l | Number of hardwoods per hectare | Zielinski RRHS | ||||||||
| Den | Kernels | Kernels ND | Forest NK | Forest | Den | Kernels | Kernels ND | Forest NK | Forest | |
| 1 | 3611 | 3241 | 3149 | 2462 | 2578 | 0.46 | 0.41 | 0.39 | 0.32 | 0.33 |
| 2 | 1066 | 1356 | 1386 | 878 | 948 | 0.35 | 0.26 | 0.23 | 0.18 | 0.19 |
| 3 | 514 | 652 | 648 | 406 | 442 | 0.27 | 0.18 | 0.16 | 0.11 | 0.12 |
| 4 | 268 | 319 | 318 | 194 | 213 | 0.20 | 0.13 | 0.11 | 0.07 | 0.08 |
| 5 | 159 | 183 | 195 | 89 | 103 | 0.13 | 0.08 | 0.07 | 0.04 | 0.05 |
| 6 | 97 | 99 | 100 | 39 | 48 | 0.08 | 0.05 | 0.04 | 0.02 | 0.03 |
| 7 | 44 | 49 | 53 | 18 | 23 | 0.05 | 0.03 | 0.03 | 0.02 | 0.02 |
| 8 | 24 | 19 | 20 | 6 | 8 | 0.03 | 0.02 | 0.02 | 0.01 | 0.01 |
| 9 | 7 | 4 | 5 | 2 | 2 | 0.02 | 0.01 | 0.01 | 0.01 | 0.01 |
| 10 | 3 | 0 | 1 | 0 | 0 | 0.01 | 0.01 | 0.01 | 0.01 | 0.01 |
| Average | 579 | 592 | 588 | 410 | 437 | 0.16 | 0.12 | 0.11 | 0.08 | 0.08 |
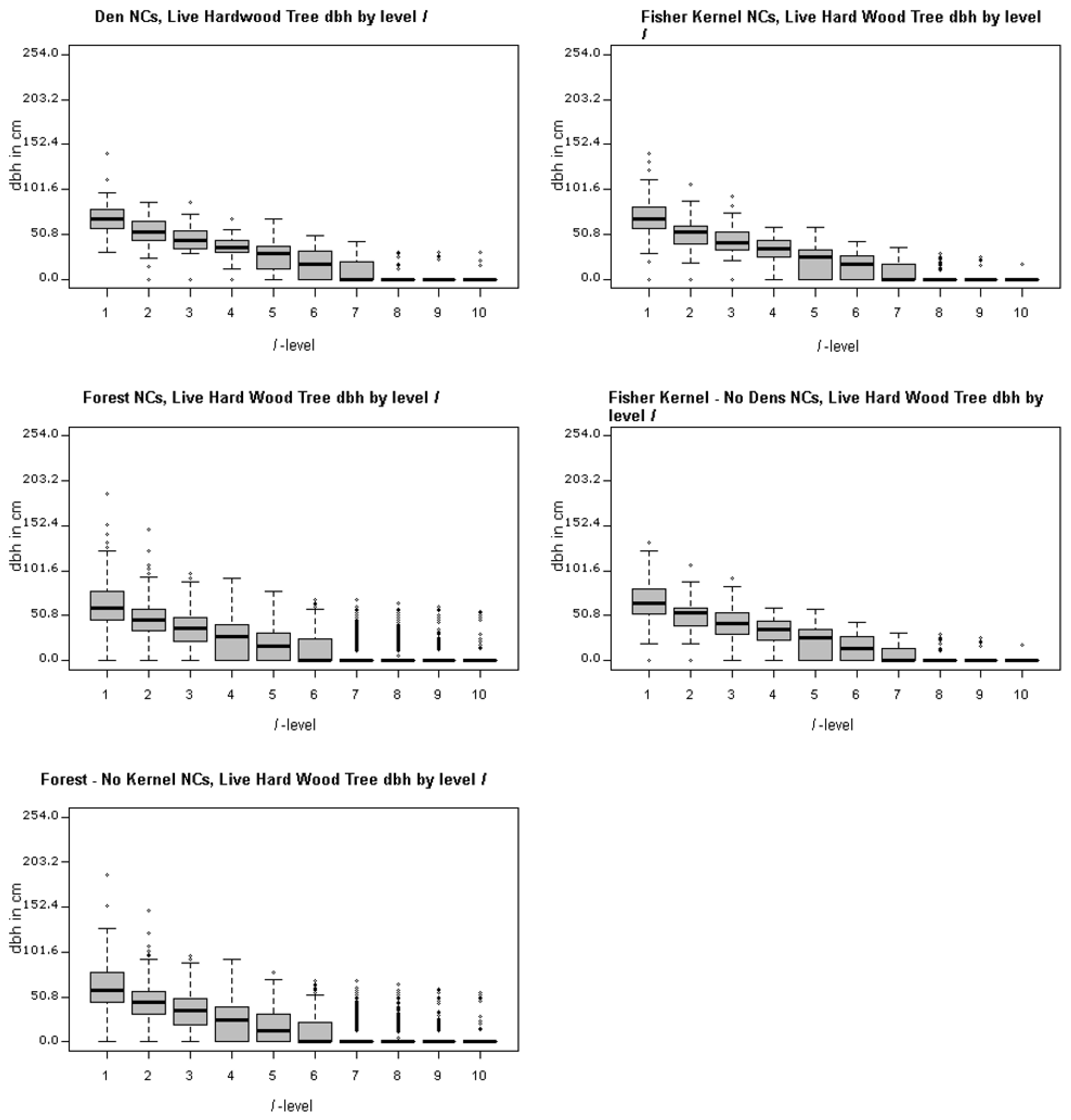
| Level l | Largest live conifer dbh (cm) | Largest live hardwood dbh (cm) | ||||||||
| Den | Kernels | Kernels ND | Forest NK | Forest | Den | Kernels | Kernels ND | Forest NK | Forest | |
| 1 | 94.2621 | 89.5421 | 83.9761 | 80.3746 | 81.5311 | 69.2458 | 69.2400 | 67.3045 | 60.8988 | 62.0523 |
| 2 | 73.5130 | 68.8278 | 63.9325 | 59.9102 | 61.1750 | 53.8448 | 51.3944 | 49.8893 | 43.6403 | 44.7387 |
| 3 | 61.7204 | 53.8465 | 49.0238 | 47.5592 | 48.4272 | 44.6743 | 40.8280 | 40.1486 | 32.8744 | 34.0182 |
| 4 | 51.4258 | 45.5698 | 40.9768 | 37.2310 | 38.3476 | 35.2963 | 31.6641 | 30.5580 | 23.9420 | 25.0424 |
| 5 | 37.9292 | 34.5685 | 31.5085 | 28.0882 | 28.9417 | 24.7920 | 21.7004 | 21.5263 | 16.4062 | 17.2000 |
| 6 | 26.5338 | 25.1122 | 22.6564 | 20.3772 | 21.0279 | 16.9958 | 15.0657 | 14.5704 | 10.2063 | 10.9601 |
| 7 | 18.6458 | 17.7873 | 14.6385 | 13.1832 | 13.7881 | 9.7822 | 7.1213 | 6.6390 | 6.1192 | 6.3620 |
| 8 | 12.8124 | 9.5343 | 6.6865 | 7.6743 | 7.9491 | 4.6223 | 3.8811 | 4.0460 | 3.1972 | 3.3478 |
| 9 | 6.5208 | 5.6883 | 3.2096 | 3.2997 | 3.6016 | 2.2206 | 1.3248 | 1.8398 | 1.7147 | 1.6835 |
| 10 | 2.5033 | 1.1485 | 0.2209 | 1.8795 | 1.8004 | 1.4267 | 0.1482 | 0.2470 | 0.5965 | 0.5393 |
| Average | 38.5867 | 35.1625 | 31.6830 | 29.9577 | 30.6590 | 26.2901 | 24.2368 | 23.6769 | 19.9595 | 20.5944 |
| Level, l | Aggregate biomass | |||||||||
| Den | Kernels | Kernels ND | Forest NK | Forest | ||||||
| 1 | 483.167 | 451.759 | 434.250 | 357.889 | 370.625 | |||||
| 2 | 377.736 | 341.576 | 324.375 | 256.930 | 268.322 | |||||
| 3 | 309.931 | 271.222 | 254.383 | 194.354 | 204.833 | |||||
| 4 | 257.968 | 225.033 | 207.777 | 153.034 | 162.936 | |||||
| 5 | 204.583 | 186.816 | 168.531 | 118.137 | 127.577 | |||||
| 6 | 175.311 | 149.673 | 136.917 | 84.167 | 93.432 | |||||
| 7 | 140.800 | 110.875 | 95.842 | 58.286 | 65.807 | |||||
| 8 | 94.601 | 72.660 | 62.510 | 35.147 | 40.563 | |||||
| 9 | 61.104 | 40.936 | 37.927 | 18.045 | 21.267 | |||||
| 10 | 25.869 | 12.947 | 11.965 | 5.802 | 6.896 | |||||
| Average | 213.107 | 186.350 | 173.448 | 128.179 | 136.226 | |||||
| Tree Species | Total Number of Dens | Dbh (cm) | Ht (m) |
|---|---|---|---|
| Black oak | 25 | 53.34 | 15.14 |
| Live oak | 8 | 102.10 | 15.27 |
| Big leaf maple | 1 | 30.98 | 13.71 |
| Douglas fir | 3 | 129.79 | 36.78 |
| Black oak snag | 1 | 37.33 | 9.44 |
| Live oak snag | 1 | 43.94 | 4.87 |
| Douglas fir snag | 6 | 119.43 | 20.82 |
© 2017 by the authors. Licensee MDPI, Basel, Switzerland. This article is an open access article distributed under the terms and conditions of the Creative Commons Attribution (CC BY) license (http://creativecommons.org/licenses/by/4.0/).
Share and Cite
Niblett, M.R.; Church, R.L.; Sweeney, S.H.; Barber, K.H. Characterizing Habitat Elements and Their Distribution over Several Spatial Scales: The Case of the Fisher. Forests 2017, 8, 186. https://doi.org/10.3390/f8060186
Niblett MR, Church RL, Sweeney SH, Barber KH. Characterizing Habitat Elements and Their Distribution over Several Spatial Scales: The Case of the Fisher. Forests. 2017; 8(6):186. https://doi.org/10.3390/f8060186
Chicago/Turabian StyleNiblett, Matthew R., Richard L. Church, Stuart H. Sweeney, and Klaus H. Barber. 2017. "Characterizing Habitat Elements and Their Distribution over Several Spatial Scales: The Case of the Fisher" Forests 8, no. 6: 186. https://doi.org/10.3390/f8060186
APA StyleNiblett, M. R., Church, R. L., Sweeney, S. H., & Barber, K. H. (2017). Characterizing Habitat Elements and Their Distribution over Several Spatial Scales: The Case of the Fisher. Forests, 8(6), 186. https://doi.org/10.3390/f8060186
