Next Article in Journal
Critical Habitat Elements, with an Emphasis on Coarse Woody Debris, Associated with Ant Presence or Absence in the Moist Cold Sub-Boreal Forests of the Interior of British Columbia
Previous Article in Journal
REDD+ Contribution to Well-Being and Income Is Marginal: The Perspective of Local Stakeholders
 
 
Font Type:
Arial Georgia Verdana
Font Size:
Aa Aa Aa
Line Spacing:
Column Width:
Background:
Article

Long-Term Susceptibility of Even- and Uneven-Aged Northern Hardwood Stands to Partial Windthrow

1
Institut des Sciences de la Forêt tempérée (ISFORT), Université du Québec en Outaouais (UQO), Ripon, QC J0V 1V0, Canada
2
École de foresterie, Université de Moncton, campus d’Edmundston, Edmundston, NB E3V 2S8, Canada
*
Author to whom correspondence should be addressed.
Forests 2017, 8(4), 128; https://doi.org/10.3390/f8040128
Submission received: 23 February 2017 / Revised: 3 April 2017 / Accepted: 18 April 2017 / Published: 20 April 2017

Abstract

:
While uneven-aged silviculture may appear preferable to even-aged silviculture in terms of stand susceptibility to windthrow (major wind damage), the scientific evidence is equivocal on this issue, because the two systems do not operate over the same time frame. The goal of this study was to evaluate the windthrow susceptibility of even- and uneven-aged stands over a 100-year period. Susceptibility to windthrow of North American hardwood stands was evaluated by coupling a stand growth model (Forest Vegetation Simulator, or FVS) to stem windthrow probability equations from the literature. This coupling was straightforward given that FVS provides the diameter at breast height (DBH) of each tree within a stand over the simulation period. Windthrow susceptibility equations also use DBH to calculate stem windthrow probability. Our results show that average loss due to windthrow under uneven-aged management can be twice that observed under even-aged management at moderate wind severity for sugar maple-dominated stands. This result should be interpreted with caution because of the impossibility in our simulations of considering differences in tree form development between the two approaches. Nevertheless, this study clearly shows that even-/uneven-aged silviculture comparisons should be made on a long-term basis since uneven-aged stands are continuously susceptible to windthrow, while even-aged stands tend to be little affected by windthrow in their early developmental stages.

1. Introduction

Uneven-aged and continuous-cover silviculture have gained in popularity around the globe for a variety of reasons, from concerns regarding aesthetics and social acceptability to issues surrounding ecological and global change resilience [1,2]. The advantages of uneven-aged silviculture are frequently discussed in relation to even-aged silviculture, as these two approaches strongly differ in the manner in which they influence stand dynamics. In the context of global change, many stressors (e.g., new pests or pathogens, more frequent and intense droughts or windthrows, among other disturbances) are expected to interfere more severely with forest stand dynamics [3,4]. Hence, understanding how even- and uneven-aged silviculture compare with respect to these stressors is a critical step in the development of forest management strategies that could contribute to forest resilience [5].
The comparison between even- and uneven-aged silviculture is not straightforward, mainly because stand structure under even-aged silviculture continuously changes over the period of stand development, in contrast to uneven-aged silviculture, where stand structure remains fairly stable over time through the application of frequent partial harvests. Moreover, even-aged silviculture often favors the development of shade-intolerant tree species whereas uneven-aged silviculture favors—and is best suited for—shade-tolerant species [6]. The even-/uneven-aged silviculture comparison becomes even more difficult when performed on a feature that is complex in itself. Stand windthrow (or major wind damage) vulnerability exemplifies such a complex feature, as it is affected by factors that operate at multiple scales–from the landscape scale, through the stand scale, to the tree scale [7,8,9].
Uneven-aged silviculture appears to present some advantages over even-aged management in terms of stand susceptibility to windthrow [10,11], but the scientific evidence is equivocal on this issue [12]. For example, lower tree height-to-diameter ratios (H:D) may enhance windfirmness [13] in uneven-aged stands compared to even-aged stands, while partial harvestings, which may increase wind load [14] by leaving spaces between crowns, are repeatedly performed throughout the rotation in uneven-aged silviculture but are only optionally performed in even-aged silviculture. Moreover, comparing even-and uneven-aged silviculture is challenging, as some of the factors that would affect stand windthrow susceptibility may vary through time, especially across even-aged stand development [15].
To overcome the complexity of this problem, an approach that mixes empirical data and modelling is proposed in this paper. First, we take advantage of empirical windthrow equations that were developed by Canham et al. [16] and by Nolet et al. [17] for North American hardwood forests dominated by sugar maple (Acer saccharum Marshall). These two studies disentangled the effects of species, wind intensity and stem size on windthrow vulnerability and led to equations that predicted the windthrow probability for a stem of a given species that was exposed to a given wind intensity as a function of its DBH (diameter at breast height, 1.3 m). Secondly, we couple these equations to a stand growth model (Forest Vegetation Simulator, or FVS, [18]) that models stand development under scenarios of both even- and uneven-aged management and that has been used in other scientific contexts [19,20]. We also take advantage of the autecology of sugar maple [21], which can be managed by either even- or uneven-aged silviculture. The main objective of this study, using North American hardwood stands as a demonstration, was to compare even- and uneven-aged silviculture in terms of windthrow susceptibility on a time scale that encompasses the entire development of even-aged stands (100 years). A secondary objective was to compare windthrow susceptibility between two species of differing windfirmness and shade-tolerance. Our focus, for both objectives, is on the effects of partial windthrow at the stand scale.

2. Materials and Methods

As previously mentioned, the susceptibility to windthrow, viz., the loss of harvestable timber due to windthrow, was evaluated by coupling FVS, a deterministic distance-independent stand growth model, to stem windthrow probability equations developed from stands with variable structures that experienced a range of windstorm severities [16,17]. The coupling was straightforward, given that FVS provides the DBH of each tree within a stand over the whole simulation period, while stem susceptibility equations also use DBH to calculate stem windthrow probability.

2.1. Main Analyses

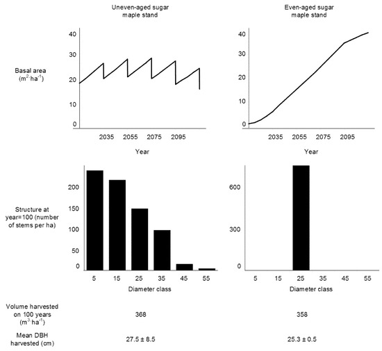
We first ran the FVS (Northeastern variant) model without windthrow events for both even- and uneven-aged, pure stands of sugar maple (Table 1), as well as on an even-aged, pure stand of black cherry (Prunus serotina Ehrhart) with the same structure as the even-aged sugar maple stand, to project over a 100-year period (2015 to 2115). The rationale behind using these fictive stands is as follows: The even- and uneven-aged sugar maple stands were used to compare the two management systems, maintaining a constant species. We used pure stands, in a first step, to avoid any noise from species effect. To adjust the structure of the stands, we first carried out FVS runs of various uneven-aged stand structures until we obtained fairly constant partial harvests (every 20 years) and similar DBH structures over the whole rotation (100 years) while providing a realistic forest productivity. This adjustment is complex because maintaining a stable uneven-aged structure on a 100-year period relies on fragile dynamics between stem growth, recruitment, mortality and harvesting among the various diameter classes. For example, we had to decrease the number of stems in smaller diameter classes (compared to an inverse J-shaped structure) to avoid obtaining unrealistic productivity. After this task was achieved, it was quite simple to adjust the initial structure of the even-age stage to obtain a productivity (in terms of volume per hectare) similar to that obtained through uneven-aged silviculture. Of course, the even- and uneven-aged approaches led to very different stand structures, but the overall mean DBH of harvested stems was similar between the two approaches (Figure 1). The narrow DBH distribution of the even-aged stand is due to the limited variability in stem growth in FVS for stems with the same DBH. Since the DBH effect on windthrow probability is rather linear for sugar maple, as explained below, the effect of this narrow DBH distribution on windthrow probability is almost nil. To complete our analysis, a comparison of windthrow loss was made between even-aged stands that were dominated by sugar maple (a shade-tolerant species) and by black cherry (a shade-intolerant species).
For the uneven-aged stand, five (5) partial harvests (~30% of basal area) were performed every 20 years, beginning in 2035. More precisely, for both scenarios with and without windthrow, two criteria had to be met to perform a partial harvest: (i) a minimum basal area of 20 m2·ha−1 and (ii) a minimal delay of 20 years between two harvests. In each partial harvest, the proportion of basal area harvested was 15% for trees >9.1 and >28 cm DBH, 40% for trees >28.1 and <46 cm DBH, and 70% for trees >46.1 cm DBH. The productivity simulated for the uneven-aged sugar maple pure stand was around 0.33 m2·ha−1·year−1 and fell adequately in the range of productivity variations reported for similar stands [22]. For the even-aged stands, only one harvest was performed, in 2115. The development of both sugar maple stand types led to very similar total harvest volumes (358 m3·ha−1 and 368 m3·ha−1 for the even- and uneven-aged stands, respectively) over the 100-year period when they were windthrow-free. The black cherry stand was much more productive and led to a total harvest volume, without windthrow, of 546 m3·ha−1 over the same period.
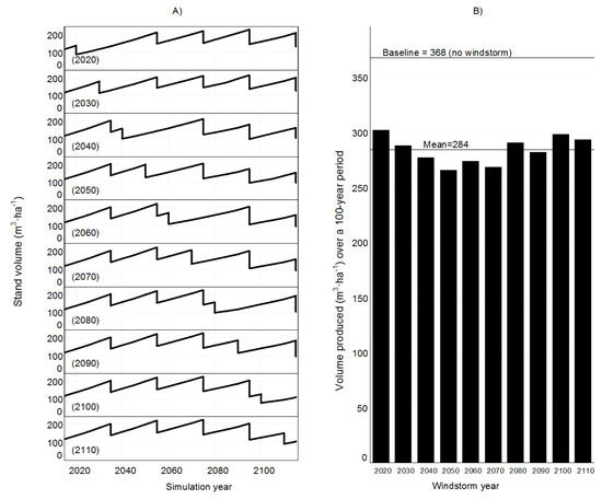
Second, we assessed the loss in volume production (over the life of the stand) due to a windstorm as a function of the point in time when this windstorm occurs. We thus performed 10 FVS simulations for all even- and uneven-aged stands, with each simulation differing from the next by the year in which a windstorm occurred (by 10-year leaps, starting in 2020). Immediate loss after a windstorm was computed according to both the equations of Canham et al. (hereafter, referred to as Canham) and Nolet et al. (hereafter, referred to as Nolet), which consider tree species and DBH as well as storm severity:
log ( p i s j 1 p i s j ) = a s + c s S D B H i s j b ( C a n h a m )
log ( p i s j 1 p i s j ) = a s + c s S + b D B H i s j + d B A i ( N o l e t )
where pisj is the probability of windthrow for individual j of species s in stand i; as, bs and cs are species-specific parameters; DBHisj is DBH of individual j and species s in stand i; d is a stand basal area (BA)-effect parameter and is equal to 3.64; and S is the storm severity index, which was set to 0.5 on a range of 0 to 1, with 1 being the most severe. This choice of 0.5 as storm severity index requires further explanations. First choosing a severity index too low would lead to very limited windthrow effects in both even- and uneven-aged stands and make the comparison useless. On the other hand, choosing a severity index too high would completely modify the structure of the stands so that the stands could not reasonably be considered even- or uneven-aged anymore. This is discussed further in the discussion. Equations from both windthrow models differ from one another in their forms, in terms of both the manner in which S was calculated and the windstorm intensity range upon which they were based. For more details, readers are referred to Canham et al. [16] and Nolet et al. [17]. The rationale behind using two different windthrow models instead of just one, was to assess the robustness of our results. Even though BA is included in Nolet’s model, its contribution to windthrow probability is limited on the uneven-aged stand basal area range (a decrease of 1 m2·ha−1 in basal area leads to an increase of 1% in windthrow susceptibility). Moreover, Nolet’s equation was built mostly from uneven-aged stands. In uneven-aged stands, basal area is a fairly good indicator of the degree of closure of a stand liable to affect windthrow. However, for even-aged stands, basal area is not a good indicator of stand closure, as closed young and closed old stands may show very different basal areas (e.g., 10 to 35 m2·ha−1) and its use in Nolet’s equation could artificially lead to increased windthrow probability in young stands and decreased probability in older stands. Hence, because basal area has a limited effect on even-aged stand susceptibility and especially because we do not feel this basal area effect is reliable for even-aged stands, we decided to use Nolet’s equation with a constant BA = 23 m2·ha−1 (mid-range basal area for uneven-aged stands on the rotation) for both even and uneven-aged stands.
Since simulated stands contain only one species, i.e., sugar maple or black cherry, and since it is possible to set a hypothetical relative storm intensity (in our case, 0.5), it is also possible to draw a simple relationship between a stem DBH value and its windthrow probability (Figure 2). The DBH effect on windthrow probability is very similar between Canham’s and Nolet’s equations for sugar maple, even though these equations rely on formulations that are substantially different. Black cherry is also less windfirm than sugar maple, especially for larger diameter stems. Yellow birch (Betula alleganiensis Britt.) and American beech (Fagus grandifolia Ehrh) windthrow probabilities are also presented as they are used in further analyses. Given that both equations were established using trees ≥9.1 cm, a windthrow probability of 0 was applied in simulations to trees <9.1 cm DBH. While this assumption is certainly inexact, it obviates the problem of long-term simulation results becoming increasingly dependent upon regeneration dynamics, which is a weak point of FVS [20] as it is for many stand growth simulators. Moreover, it is unlikely that this choice created an important bias in the even- and uneven-aged silviculture simulations that are presented here. This topic is further covered in the discussion.
At each time-step of the simulation, FVS produces a stand table that provides the number of stems of a given diameter. To calculate the mortality due to windthrow, this number was multiplied by the probability that a tree of the given diameter was windthrown, as provided by Equations (1) and (2). The living trees were then used for the remainder of the simulation. For example, if there are 10 stems in a diameter class and mortality probability is equal to 0.33, it leaves 6.67 living trees for the remainder of the simulation. To evaluate the loss due to windthrow for each of the 10 simulations (for even- and uneven-aged stands) over the entire 100-year simulation horizon, we computed the difference between the total volume produced during a given simulation and the total volume produced when no windstorm occurred. In even-aged stands, the volume produced was equal to the volume observed after 100 years of simulation, while in uneven-aged stands, the total volume produced included all the volume harvested during the simulation and the difference in standing volume between the end and the beginning of the simulation. Afterwards, the average loss in produced volume due to windthrow over the whole simulation horizon was compared between stands both in absolute and relative values. In the latter case, the absolute value was divided by the total timber volume that would be produced without windthrow.

2.2. Sensitivity Analyses

To verify how sensitive was long-term windthrow loss between even- and uneven-aged silviculture to species composition and treatments, we ran additional simulations. For even-aged silviculture, we compared three stand species compositions: pure (100%) sugar maple, 50% sugar maple with 50% yellow birch, and 50% sugar maple with 50% American beech. In all cases, we used the same stand density as described in Table 1. Moreover, we compared two even-aged treatments: (i) clear-cut only after 100 years, and (ii) commercial thinning (from above) after 80 years followed by a clear-cut 20 years later. We used a commercial thinning from above at 80 years as it revealed, from FVS simulations, to be the most productive treatment compared to other thinning methods (equally distributed or from below) at other ages. A total of six (3 × 2) variants of even-aged silviculture were then simulated, with and without windthrow, and compared in terms of relative loss due to windthrow. For uneven-aged silviculture, we also compared the same stand species compositions as for even-aged stands (pure, mixed yellow birch, and mixed American beech). One of the main factors that is modified in uneven-aged silviculture is the target residual basal area after treatment [23]. We then compared two stand densities: the one described in Table 1 for the uneven-aged stand, and another in which we multiplied by 1.1 the number of stems in each diameter class. Hence, a total of six (3 × 2) variants of uneven-aged silviculture were also compared.

3. Results

3.1. Even- vs. Uneven-Aged Stands

Using Nolet’s equation, a windstorm (relative intensity = 0.5) had the consistent effect of delaying the next harvest in the uneven-aged stand, and, consequently, diminishing the number of possible harvests over the simulation horizon (4 instead of 5 harvests without windstorms; Figure 3A). Windstorms, regardless of when they occurred, substantially decreased stand volume, which then required more time to return to a condition that was suitable for another harvest. The corresponding volume that was produced and, therefore, the loss due to windthrow, is also quite stable among the simulations that were performed on the uneven-aged stand (Figure 3B); the moment in time in which a windstorm occurred during the development of an uneven-aged stand had little effect on total losses attributed to windthrow. The mean overall loss that was due to windthrow was 84 m3·ha−1, which represented 23% of the total volume that was produced without the occurrence of a windstorm.
Still using Nolet’s equation, windstorms incurred a very different effect upon the even-aged stand, depending upon their year of occurrence. The earlier the windstorm occurred during the simulation, the lower the effect it imposed on produced volume losses due to windthrow by the end of the simulation (Figure 4A). For windstorms that occurred from 2020 to 2040, most trees were too small to be affected by windthrow. For windstorms that occurred between 2050 and 2070, more trees were affected, but the stand had time to recover, resulting in a limited loss of harvest volume due to windthrow. The most severe loss of volume production is 119 m3·ha−1 (windthrow occurred in 2110), which represented 33% of the volume that could be produced in the absence of windstorm. The average loss due to windthrow under even-aged silviculture is 43 m3·ha−1 (Figure 4B), which represented 12% of the total volume that could be produced in the absence of windstorm. This estimate is substantially lower than the percentage that was observed under uneven-aged silviculture (23%).
The results using Canham’s equation lead to a slightly different pattern with respect to the even- and uneven-aged stand development. Given that Canham’s equation predicts a lower windthrow probability than does Nolet’s equation, it would appear that windthrow had an effect similar to that of a thinning treatment, resulting in increased growth of residual trees. This response was most evident for uneven-aged stands that were affected by windthrow between years 2020 and 2050 (Figure 5A), as windthrows result in very low volume loss at the end of the simulations. It remains that the average loss due to windthrow was higher in the uneven-aged stands (11%, Figure 5A) than in the even-aged stands (6%, Figure 5B).

3.2. Shade-Tolerant vs. Shade Intolerant Species

Regarding the species effect on stand windthrow susceptibility, the simulations showed that because black cherry is much more susceptible to windthrow at the stem scale than sugar maple, black cherry stands also appeared to be more susceptible than sugar maple stands (18% vs. 6% lost at year = 100, Figure 6A). This is particularly true when windstorms occur at the end of the rotation. While black cherry stands are more susceptible to windthrow, they are also more productive than those of sugar maple. Consequently, the black cherry takes only 60 years, on average (and given equivalent windstorms), to produce the timber volume that is produced by sugar maple in 100 years (Figure 6B).

3.3. Sensitivity Analyses

Windthrow loss varies with stand species compositions and silvicultural scenarios tested (Table 2). In the uneven-aged scenarios, the sugar maple mixture with yellow birch suffers slightly less windthrow losses, whereas mixtures with American beech suffer slightly more windthrow losses than the pure sugar maple stand. In the even-aged scenarios, the pattern is reversed. This is obviously related to the opposite relationship of DBH vs. windthrow probability between American beech and yellow birch (Figure 2). While American beech presents a common negative relationship between windfirmness and DBH, yellow birch presents a surprisingly positive one. The cause of such positive relationships is complex, [17] but it is possible for smaller yellow birch trees to be less windfirm because they often develop on substrates like stumps and downed woody debris that provide a fragile rooting support. Overall, the general trend presented in the previous section is the same no matter the species composition: uneven-aged silviculture suffers more windthrow long-term loss than even-aged silviculture.

4. Discussion

4.1. Even- vs. Uneven-Aged Stands

To our knowledge, this study is the first to evaluate susceptibility to windthrow of stands subject to even- and uneven-aged silviculture over a full rotation. Most studies that have compared even- and uneven-aged stand windthrow susceptibility, have limited their comparisons to mature stands (e.g., [24,25]). Our results show that windthrow susceptibility of the even-aged stands at their oldest age (95 years when a windstorm occurs) is higher than that of uneven-aged stands (Figure 3 vs. Figure 4; Figure 5), which is in agreement with the general perception that even-aged stands are more vulnerable to windthrow than are uneven-aged stands [10,11]. While definitively useful for understanding the effects of the complex behavior of wind on tree fall, such brief temporal “snapshots” do not take into account the variation in stand windthrow susceptibility that occurs with stand development, especially for even-aged stands. This study shows that, based on a time of occurrence of windthrow ranging between 10 and 100 years of age, an even-aged sugar maple stand was not more susceptible to windthrow than an uneven-aged one. The loss due to windthrow of the uneven-aged stand was predicted to be twice that (Figure 3 vs. Figure 4) of the even-aged stand when using Nolet’s equation. The loss in the two stands was very low when using Canham’s equation (Figure 5) but it similarly predicted lower losses in even-aged than in uneven-aged stands. Differences in the results that were based upon the two windthrow models were not attributable to the equations themselves; rather, differences emerged from the fact that we used the same storm relative severity (0.5) in both equations and that for a same storm relative severity, Nolet’s equation leads to higher mortality probabilities than Canham’s equation. The fact that even-aged stands do not show higher windthrow losses than uneven-aged stands, no matter which windthrow model (Canham’s or Nolet’s) was used, strengthens the plausibility of this result. Adding into the comparison sugar maple mixtures with yellow birch or American beech as well as varying residual basal area or adding a commercial thinning treatment, did not change this general trend and further strengthens our result. It should be stressed that these results were obtained for the total volume produced. Even though the mean diameter harvested is similar between the two stands (Figure 1), larger trees can be produced with uneven-aged silviculture.
One could argue that the comparison made between even-and uneven-aged sugar maple stands was inherently biased because even-aged silviculture often leads to the establishment of fast-growing and shade-intolerant species that are often (but not always, see [26]) less windfirm than shade-tolerant species [27,28]. Incidentally, the 100-year comparison between sugar maple (shade-tolerant) vs. black cherry (shade-intolerant) even-aged stands showed that in proportion to their respective productivities in the absence of windthrow, black cherry was more susceptible to windthrow. However, when absolute productivity was compared (instead of relative loss), the black cherry stand outperformed the sugar maple stand even after loss due to windthrow. The difference between the two species would even increase if an earlier final harvesting was prescribed for the black cherry stand (e.g., at 60 years). This comparison highlights that there are many ways a windthrow risk may be assessed, as absolute and relative risk could also be considered as a function of various variables such as the total volume, saw timber volume or even monetary value, etc. In the case that was presented in this study, a forest manager could consider that more timber, on average, would be produced by a stand dominated by black cherry than by sugar maple, even though losses due to windthrow would be higher in the former compared to the latter.
The results that were presented in this study may appear counter-intuitive with respect to management of risk (in terms of windstorms). On the long term, the silvicultural options that were tested in our particular example could be ranked in terms of (increasing) risk, as follows: (i) even-aged stand of shade-intolerant fast-growing species; (ii) even-aged stand of shade-tolerant slow-growing species; and (iii) uneven-aged stand of shade-tolerant slow-growing species.

4.2. Limits to the Approach

As is the case with any study based on modelling [29], some caveats must be mentioned with respect to the analyses that were performed in the current study. While the windthrow losses simulated here can be considered plausible since they are empirically-based, they certainly do not consider all the factors that can influence windthrow probabilities. On one hand, the equations we used do not provide windthrow probabilities for stems <9.1 cm DBH; we then decided to not include any windstorm effect on those stems in our study. While this decision has probably very limited effects at the beginning of our simulations—as smaller stems are usually less susceptible to windthrows and are not accounted for in volume calculation, it may affect stand dynamics on the long term and, therefore may influence the windstorm effect measured at the end of the simulations. We would expect this to be more important in uneven-aged than in even-aged stands because the domino effect (larger trees falling on smaller ones, [17]) is more likely to occur in uneven-aged stands. On the other hand, stem DBH was the main stem predictor of windthrow in both windthrow models we used [16,17]. Many studies (e.g., [13]) have reported that the height: diameter ratio (H:D ratio) is a more appropriate predictor than DBH for assessing stem windfirmness, with higher H:D ratios leading to diminished windfirmness. Even-aged management is known to favor the development of trees with higher H:D ratios, which in turn may lead to lower overall stand windfirmness. Ideally, the analyses that were performed here should be based on H:D ratio equations or should incorporate tree height [30,31]. To our knowledge, equations similar to those of Canham and Nolet [16,17], providing windthrow probabilities as a function of wind severity and H:D ratio, are not available in the literature for North American hardwood species.
Moreover, the manner in which the silvicultural treatments are implemented may have an effect on stand windfirmness. For example, if selection cuts in uneven-aged silviculture emphasize harvesting low vigour trees (e.g., with high H:D or with defects), this could result in higher stand windfirmness; the same rationale can apply with even-aged silviculture when implementing thinnings. Such detailed prescriptions could not be considered in our analyses and may have led to an overestimate of windthrow loss in the uneven-aged stand compared to the even-aged stand without thinning. Many other factors reported in the literature to influence windthrow probability are not considered in the equations we used, such as individual wind loads [32], stem crown characteristics [33] and within-stand spatial heterogeneity [34]. For example, even-aged stands in which commercial thinnings would be performed every 20 years could experience higher wind loads, but the trees would also develop lower H:D; the windthrow models we used cannot evaluate the overall outcome of these thinnings on stand windfirmness. More sophisticated models can consider more complex variable interactions in windthrow prediction [35]. The use of such sophisticated models would however be confronted by the limits of growth models in simulating tree height development, crown width and spatial heterogeneity as a function of even- and uneven-aged silviculture [36]. In a long-term assessment, the precision of the stand growth model has to match the one of the windthrow model, otherwise the precision of the latter may be partially or completely lost.

4.3. Spatial and Time Scales

Whereas we argue that many studies have reported “snapshot” results (on a time scale) and considered only the immediate loss after windthrow, we must acknowledge that the present study also shows snapshot results (on a spatial scale) as only stand scale results are provided, without scaling them up to the landscape level. It would have obviously been interesting to apply the long-term stand–scale approach described here at the landscape level. However, this scaling up is confronted by some important barriers. First, to not be identical to our mean results at the stand scale, the scaling up of Nolet’s and Canham’s equations would require that various windstorm intensities be applied to the various stages of the stands’ developments. As mentioned earlier, this raises an important difficulty, as some intense windstorms would drastically change the stands’ structures so that they could not be considered as even- or uneven-aged stands anymore. An example of such a stand could be one that is left with a very low basal area after windthrow (e.g., 8 m2·ha1). A no-silvicultural-treatment strategy for these stands would neither be consistent with even- nor uneven-aged silviculture. Secondly, the future development of such stands is complex, especially in terms of regeneration dynamics, which is a weak point of FVS and most stand simulators. Moreover, even if we could correctly predict regeneration of a stand, we would still not know which silvicultural treatments to apply to lead it back to a typical even- or uneven-aged stand. In short, to scale up Nolet’s and Canham’s equations to the landscape level and on a long-term basis, would require the use of numerous highly questionable assumptions in terms of both stand development and silviculture. The results of the scaling up would then be blurred by these assumptions and no clear conclusions could be drawn from such an even-/uneven-aged management comparison. Thirdly, the comparison would be very specific to the ecosystem (and species) under study and even to the landscape considered, as the silvicultural decisions after windthrow may be influenced by the landscape’s spatial configuration. This highlights the complexity of long-term comparisons between even- vs. uneven-aged management at the landscape level.
However, we do not mean that it is completely impossible to consider both long-term and landscape factors in windthrow risk analysis. We must stress that one of our original results is the long-term recovery after partial windthrow at the stand scale. This is shown in our simulations as the volume loss over a 100-year period is often very low compared to “just after” the disturbance. This trend is especially noticeable for uneven-aged stands that experienced a low-intensity windthrow at the beginning or middle of the simulation (around 20%, using Canham’s equations, Figure 5) and that recovered almost the whole loss in volume at the end of the simulation. While such simulation-based results would require empirical confirmation, they are certainly a reminder that what seems an important timber loss at one specific moment may appear negligible on the long term if the stands are able to compensate for this loss and recover. The incorporation of stand long-term recovery models would be a great addition to windthrow risk analysis (e.g., [37]), as it changes our evaluation of what is really lost and hence the risk itself.

5. Conclusions

The approach used in this study clearly demonstrates that even- vs. uneven-aged silviculture comparisons must be performed within a temporal framework that contains all stand development stages associated with even-aged silviculture, in order to provide a reliable overview of long-term stand windthrow susceptibility. Our results, for American tolerant hardwoods, show that long-term losses due to partial windthrow are generally more important in uneven-aged than in even-aged stands. However, this later result should be interpreted carefully and should not be straightforwardly extrapolated to other ecosystems because our models, among other limitations, do not incorporate tree height as a predictor of tree windthrow probability. Moreover, our results show that short-term loss due to partial windthrow may be compensated by increased growth on the long term; this compensation should be considered in windthrow risk analyses. Finally, even though the approach used in this paper was relatively simple, it highlights the complexity of long-term comparisons between even-aged and uneven-aged silviculture and opens the door for further investigations. We believe that future research should ensure that growth models be sufficiently precise in the variables they predict (regeneration dynamics, DBH, height, crown width, spatial heterogeneity, etc.) to feed complex windthrow models.

Acknowledgments

We are especially grateful to William F.J. Parsons for English editing and two anonymous reviewers for their constructive comments.

Author Contributions

P.N. conceived and designed the experiments; P.N. performed the experiments; P.N. and M.B. analyzed the data; P.N. and M.B wrote the paper.

Conflicts of Interest

The authors declare no conflict of interest.

References

  1. Vitkova, L.; Ni Dhubhain, A.; O’Tuama, P.; Purser, P. The practice of continuous cover forestry in Ireland. Irish For. 2013, 70, 141–156. [Google Scholar]
  2. Nolet, P.; Doyon, F.; Messier, C. A new silvicultural approach to the management of uneven-aged northern hardwoods: Frequent low-intensity harvesting. Forestry 2014, 87, 39–48. [Google Scholar] [CrossRef]
  3. Bell, J.L.; Sloan, L.C.; Snyder, M. A regional changes in extreme climate events: A future climate scenario. J. Clim. 2004, 17, 81–87. [Google Scholar] [CrossRef]
  4. Ricciardi, A. Are modern biological invasions an unprecedented form of global change? Conserv. Biol. 2007, 21, 329–336. [Google Scholar] [CrossRef] [PubMed]
  5. Messier, C.; Puettmann, K.J.; Coates, K.D. Managing Forests as Complex Adaptive Systems: Building Resilience to the Challenge of Global Change; Routledge: Abingdon, UK, 2013. [Google Scholar]
  6. Niese, J.N.; Strong, T.F. Economic and tree diversity trade-offs in managed northern hardwoods. Can. J. For. Res. 1992, 22, 1807–1813. [Google Scholar] [CrossRef]
  7. Ruel, J.C. Factors influencing windthrow in balsam fir forests: From landscape studies to individual tree studies. For. Ecol. Manage. 2000, 135, 169–178. [Google Scholar] [CrossRef]
  8. Scott, R.E.; Mitchell, S.J. Empirical modelling of windthrow risk in partially harvested stands using tree, neighbourhood, and stand attributes. For. Ecol. Manag. 2005, 218, 193–209. [Google Scholar] [CrossRef]
  9. Valinger, E.; Fridman, J. Factors affecting the probability of windthrow at stand level as a result of Gudrun winter storm in southern Sweden. For. Ecol. Manag. 2011, 262, 398–403. [Google Scholar] [CrossRef]
  10. O’Hara, K.L.; Ramage, B.S. Silviculture in an uncertain world: Utilizing multi-aged management systems to integrate disturbance. Forestry 2013, 86, 401–410. [Google Scholar] [CrossRef]
  11. Vitkova, L.; Ni Dhubhain, A.; Upton, V. Forestry professionals’ attitudes and beliefs in relation to and understanding of continuous cover forestry. Scott. For. 2014, 68, 17–25. [Google Scholar]
  12. Everham, E.; Brokaw, N. Forest damage and recovery from catastrophic wind. Bot. Rev. 1996, 62, 113–185. [Google Scholar] [CrossRef]
  13. Wonn, H.T.; O’Hara, K.L. Height: Diameter ratios and stability relationships for four northern Rocky Mountain tree species. West. J. Appl. For. 2001, 16, 87–94. [Google Scholar]
  14. Mitchell, S.J. Wind as a natural disturbance agent in forests: a synthesis. Forestry 2013, 86, 147–157. [Google Scholar] [CrossRef]
  15. Hanewinkel, M.; Kuhn, T.; Bugmann, H.; Lanz, A.; Brang, P. Vulnerability of uneven-aged forests to storm damage. Forestry 2014, 87, 525–534. [Google Scholar] [CrossRef]
  16. Canham, C.D.; Papaik, M.J.; Latty, E.F. Interspecific variation in susceptibility to windthrow as a function of tree size and storm severity for northern temperate tree species. Can. J. For. Res. 2001, 31, 1–10. [Google Scholar] [CrossRef]
  17. Nolet, P.; Doyon, F.; Bouffard, D. Predicting stem windthrow probability in a northern hardwood forest using a wind intensity bio-indicator approach. Open J. For. 2012, 2, 77–87. [Google Scholar] [CrossRef]
  18. Dixon, G.E. Essential FVS: A User’s Guide to the Forest Vegetation Simulator; USDA, Forest Service, Forest Management Service Center: Fort Collins, CO, USA, 2002.
  19. Nunery, J.S.; Keeton, W.S. Forest carbon storage in the northeastern United States: Net effects of harvesting frequency, post-harvest retention, and wood products. For. Ecol. Manag. 2010, 259, 1363–1375. [Google Scholar] [CrossRef]
  20. Caputo, J.; Beier, C.M.; Sullivan, T.J.; Lawrence, G.B. Modeled effects of soil acidification on long-term ecological and economic outcomes for managed forests in the Adirondack region (USA). Sci. Total Environ. 2016, 565, 401–411. [Google Scholar] [CrossRef] [PubMed]
  21. Nolet, P.; Delagrange, S.; Bouffard, D.; Doyon, F.; Forget, E. The successional status of sugar maple (Acer saccharum), revisited. Ann. For. Sci. 2008, 65, 208. [Google Scholar] [CrossRef]
  22. Forget, E.; Nolet, P.; Doyon, F.; Delagrange, S.; Jardon, Y. Ten-year response of northern hardwood stands to commercial selection cutting in southern Quebec, Canada. For. Ecol. Manag. 2007, 242, 764–775. [Google Scholar] [CrossRef]
  23. Leak, W.B.; Yamasaki, M.; Holleran, R. Silvicultural Guide for Northern Hardwoods in the Northeast; U.S. Forest Service: Delaware, OH, USA, 2014.
  24. Mason, W.L. Are irregular stands more windfirm? Forestry 2002, 75, 347–355. [Google Scholar] [CrossRef]
  25. Anyomi, K.A.; Ruel, J. A multiscale analysis of the effects of alternative silvicultural treatments on windthrow within balsam fir dominated stands. Can. J. For. Res. 2015, 1747, 1739–1747. [Google Scholar] [CrossRef]
  26. Peterson, C.J. Consistent influence of tree diameter and species on damage in nine eastern North America tornado blowdowns. For. Ecol. Manag. 2007, 250, 96–108. [Google Scholar] [CrossRef]
  27. Foster, D. Species and stand response to catastrophic wind in central New England, U.S.A. J. Ecol. 1988, 76, 135–151. [Google Scholar] [CrossRef]
  28. Rich, R.L.; Frelich, L.E.; Reich, P.B. Wind-throw mortality in the southern boreal forest: Effects of species, diameter and stand age. J. Ecol. 2007, 95, 1261–1273. [Google Scholar] [CrossRef]
  29. Albrecht, A.T.; Fortin, M.; Kohnle, U.; Ningre, F. Coupling a tree growth model with storm damage modeling—Conceptual approach and results of scenario simulations. Environ. Model. Softw. 2015, 69, 63–76. [Google Scholar] [CrossRef]
  30. Hale, S.E.; Gardiner, B.A.; Wellpott, A.; Nicoll, B.C.; Achim, A. Wind loading of trees: Influence of tree size and competition. Eur. J. For. Res. 2012, 131, 203–217. [Google Scholar] [CrossRef]
  31. Cucchi, V.; Meredieu, C.; Stokes, A.; de Coligny, F.; Suarez, J.; Gardiner, B.A. Modelling the windthrow risk for simulated forest stands of Maritime pine (Pinus pinaster Ait.). For. Ecol. Manag. 2005, 213, 184–196. [Google Scholar] [CrossRef]
  32. Anyomi, K.A.; Mitchell, S.J.; Ruel, J.C. Windthrow modelling in old-growth and multi-layered boreal forests. Ecol. Model. 2016, 327, 105–114. [Google Scholar] [CrossRef]
  33. Seidl, R.; Rammer, W.; Blennow, K. Simulating wind disturbance impacts on forest landscapes: Tree-level heterogeneity matters. Environ. Model. Softw. 2014, 51, 1–11. [Google Scholar] [CrossRef]
  34. Byrne, K.E.; Mitchell, S.J. Testing of WindFIRM/ForestGALES_BC: A hybrid-mechanistic model for predicting windthrow in partially harvested stands. Forestry 2012, 86, 185–199. [Google Scholar] [CrossRef]
  35. Gardiner, B.; Byrne, K.; Hale, S.; Kamimura, K.; Mitchell, S.J.; Peltola, H.; Ruel, J.-C. A review of mechanistic modelling of wind damage risk to forests. Forestry 2008, 81, 447–463. [Google Scholar] [CrossRef]
  36. Weiskittel, A.R.; Hann, D.W.; Kershaw, J.A., Jr.; Vanclay, J.K. Forest Growth and Yield Modeling; John Wiley & Sons: Somerset, NJ, USA, 2011. [Google Scholar]
  37. Gardiner, B.A.; Quine, C.P. Management of forests to reduce the risk of abiotic damage—A review with particular reference to the effects of strong winds. For. Ecol. Manag. 2000, 135, 261–277. [Google Scholar] [CrossRef]
Figure 1. Outcomes comparison of simulation of the even and uneven-aged pure sugar maple stands. DBH, the diameter at breast height.
Figure 1. Outcomes comparison of simulation of the even and uneven-aged pure sugar maple stands. DBH, the diameter at breast height.
Forests 08 00128 g001
Figure 2. Stem windthrow probability curves used in the present study as a function of species, DBH and equation source for a storm severity of 0.5 and a stand basal area of 23 m2·ha−1.
Figure 2. Stem windthrow probability curves used in the present study as a function of species, DBH and equation source for a storm severity of 0.5 and a stand basal area of 23 m2·ha−1.
Forests 08 00128 g002
Figure 3. Windstorm effect on a sugar maple stand managed through uneven-aged silviculture based on Nolet’s equation. The left-hand panel (A) shows merchantable volume (m3·ha−1) development according to the year of occurrence (in parentheses) of the windstorm, while the right-hand (B) panel shows how the total corresponding volume produced on a whole rotation varies as a function of year of occurrence of the windstorm.
Figure 3. Windstorm effect on a sugar maple stand managed through uneven-aged silviculture based on Nolet’s equation. The left-hand panel (A) shows merchantable volume (m3·ha−1) development according to the year of occurrence (in parentheses) of the windstorm, while the right-hand (B) panel shows how the total corresponding volume produced on a whole rotation varies as a function of year of occurrence of the windstorm.
Forests 08 00128 g003
Figure 4. Windstorm effect on a sugar maple stand managed through even-aged silviculture based on Nolet’s equation. The left-hand panel (A) shows stand merchantable volume development according to the year of occurrence (in parentheses) of the windstorm, while the right-hand panel (B) shows how the total volume produced on a whole rotation varies as a function of windstorm year.
Figure 4. Windstorm effect on a sugar maple stand managed through even-aged silviculture based on Nolet’s equation. The left-hand panel (A) shows stand merchantable volume development according to the year of occurrence (in parentheses) of the windstorm, while the right-hand panel (B) shows how the total volume produced on a whole rotation varies as a function of windstorm year.
Forests 08 00128 g004
Figure 5. Windstorm effect based on Canham’s equation on a sugar maple stand managed through (A) uneven-aged silviculture (B) and even-aged silviculture as a function of windstorm year.
Figure 5. Windstorm effect based on Canham’s equation on a sugar maple stand managed through (A) uneven-aged silviculture (B) and even-aged silviculture as a function of windstorm year.
Forests 08 00128 g005
Figure 6. Comparison of windstorm effect between a sugar maple stand and a black cherry stand managed through even-aged silviculture, based on Canham’s equation. The upper panel (A) shows stand merchantable volume (m3·ha−1) development according to the year of occurrence (in parentheses) of the windstorm, while the lower panel (B) shows the corresponding mean volume produced for both stands after accounting for windthrows compared to stands not affected by a windstorm. The vertical green line shows the year (~60 years starting in 2015) at which the black cherry stand produces a volume equivalent to that produced by a sugar maple stand in 100 years, after accounting for windthrows.
Figure 6. Comparison of windstorm effect between a sugar maple stand and a black cherry stand managed through even-aged silviculture, based on Canham’s equation. The upper panel (A) shows stand merchantable volume (m3·ha−1) development according to the year of occurrence (in parentheses) of the windstorm, while the lower panel (B) shows the corresponding mean volume produced for both stands after accounting for windthrows compared to stands not affected by a windstorm. The vertical green line shows the year (~60 years starting in 2015) at which the black cherry stand produces a volume equivalent to that produced by a sugar maple stand in 100 years, after accounting for windthrows.
Forests 08 00128 g006
Table 1. Description of the initial basic stands that were used in the simulations. DBH, the diameter at breast height.
Table 1. Description of the initial basic stands that were used in the simulations. DBH, the diameter at breast height.
Uneven-Aged Basic StandEven-Aged Basic Stand
DBH (cm)Number of Stems (Per Hectare)DBH (cm)Number of Stems (Per Hectare)
2.5310.3482
5.1460.5362
7.6470.8301
10.247
12.7106
15.2111
17.8100
20.371
22.953
25.440
27.926
30.516
33.04
35.64
38.14
40.62
43.21
45.71
Total stand density7091145
Basal area (m2·ha−1 for trees >9.1 cm DBH)17.30
Table 2. Mean relative windthrow losses for varying stand species compositions and uneven- and even-aged silviculture scenarios on a 100-year period.
Table 2. Mean relative windthrow losses for varying stand species compositions and uneven- and even-aged silviculture scenarios on a 100-year period.
Stand StructureVariantStand CompositionTotal Volume 1 Produced without Windstorm on a 100-Year Period (A)Mean Volume Produced with Windstorm on a 100-Year Period (B)Percent (%) Loss due to Windthrow 2 ((A − B)/A)
Uneven-agedBasic stand (Table 1)Pure sugar maple368.5284.122.9
Sugar maple/yellow birch332.4260.121.7
Sugar maple/American beech376.4276.926.4
High residual BAPure sugar maple401.7309.123.1
Sugar maple/yellow birch361.4282.621.8
Sugar maple/American beech408.5299.726.6
Even-agedClearcut onlyPure sugar maple358.6315.212.1
Sugar maple/yellow birch344.9298.213.5
Sugar maple/American beech368.2326.511.3
Commercial thinning + clearcutPure sugar maple388.0330.014.9
Sugar maple/yellow birch368.0309.815.8
Sugar maple/American beech385.5338.212.3
1 Volume is in m3·ha1; 2 Based on equation 2. BA, basal area.

Share and Cite

MDPI and ACS Style

Nolet, P.; Béland, M. Long-Term Susceptibility of Even- and Uneven-Aged Northern Hardwood Stands to Partial Windthrow. Forests 2017, 8, 128. https://doi.org/10.3390/f8040128

AMA Style

Nolet P, Béland M. Long-Term Susceptibility of Even- and Uneven-Aged Northern Hardwood Stands to Partial Windthrow. Forests. 2017; 8(4):128. https://doi.org/10.3390/f8040128

Chicago/Turabian Style

Nolet, Philippe, and Martin Béland. 2017. "Long-Term Susceptibility of Even- and Uneven-Aged Northern Hardwood Stands to Partial Windthrow" Forests 8, no. 4: 128. https://doi.org/10.3390/f8040128

APA Style

Nolet, P., & Béland, M. (2017). Long-Term Susceptibility of Even- and Uneven-Aged Northern Hardwood Stands to Partial Windthrow. Forests, 8(4), 128. https://doi.org/10.3390/f8040128

Note that from the first issue of 2016, this journal uses article numbers instead of page numbers. See further details here.

Article Metrics

Back to TopTop