Climate Change Mitigation Potential in Boreal Forests: Impacts of Management, Harvest Intensity and Use of Forest Biomass to Substitute Fossil Resources
Abstract
1. Introduction
2. Materials and Methods
2.1. SIMA Ecosystem Model
2.2. Forest Input Data for the Initialization of the Simulations
2.3. Simulations and Forest Management Scenarios
2.4. Simulation Outputs and Their Analyses
3. Results
3.1. Effects of Forest Management and Harvest Intensity on Net CO2 Exchange
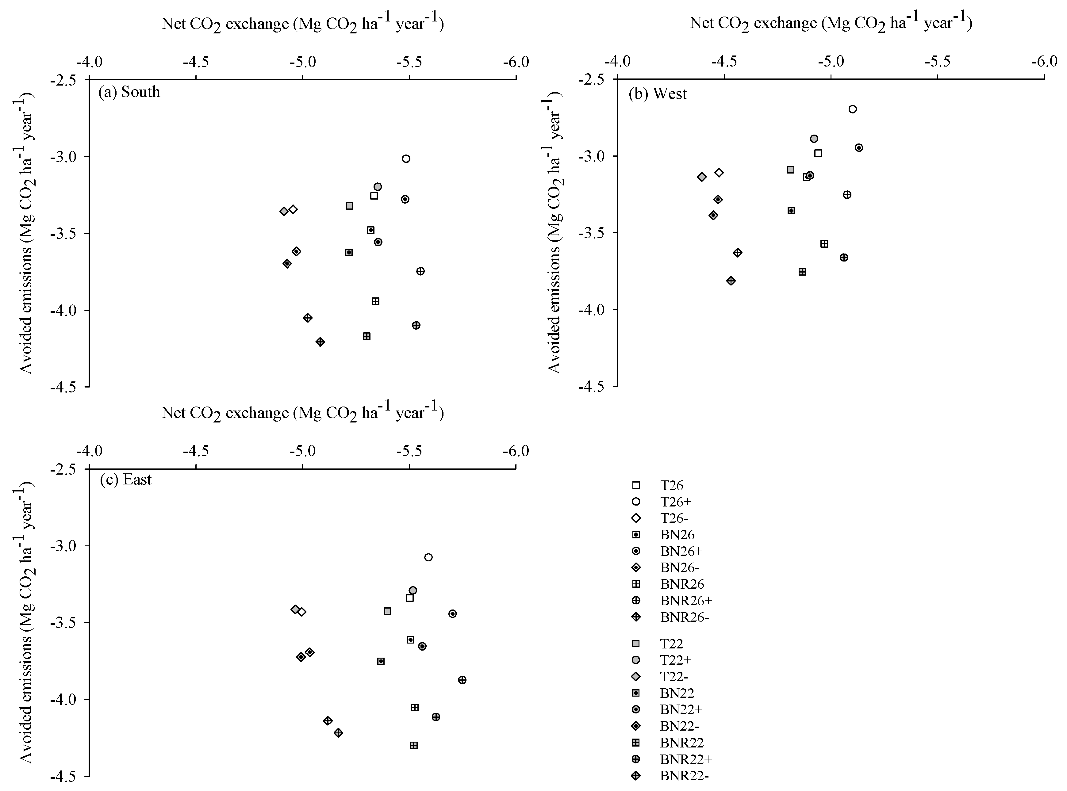
3.2. Relationships between Net CO2 Exchange, Avoided CO2 Emissions and Economic Profitability of Biomass Production
3.3. Effects of Forest Management and Harvest Intensity on Net Ecosystem CO2 Exchange (NEE)
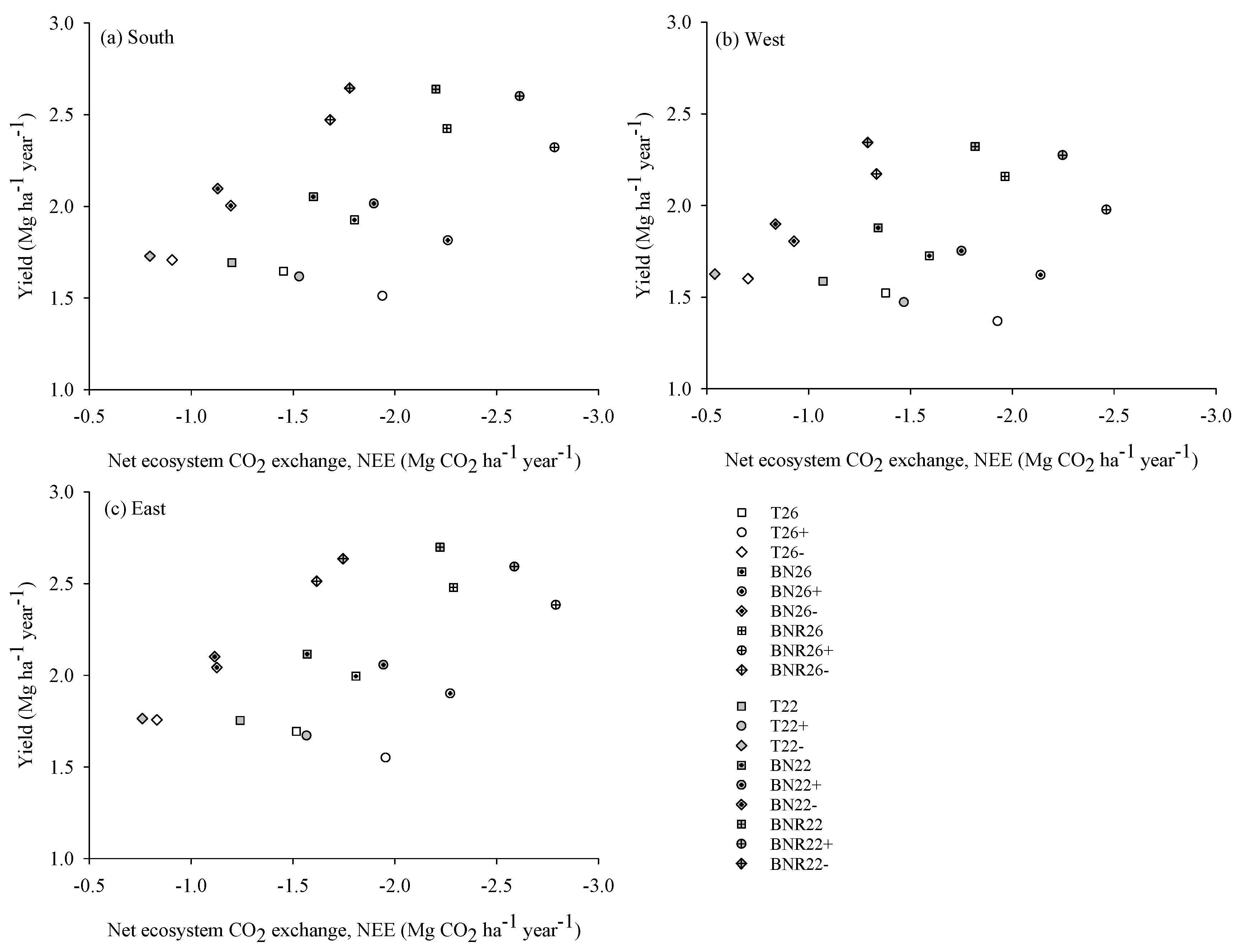
3.4. Relationships between Net Ecosystem CO2 Exchange (NEE) and Harvested Biomass Yield
3.5. Sensitivity of Avoided Emissions to Displacement Factors
4. Discussion
5. Conclusions
Supplementary Materials
Acknowledgments
Author Contributions
Conflicts of Interest
References
- United Nations Framework Convention on Climate Change (UNFCCC). Adoption of the Paris Agreement; Proposal by the President; United Nations Office: Geneva, Switzerland, 2015; p. 32. Available online: http://unfccc.int/documentation/documents/advanced_search/items/6911.php?priref=600008831 (accessed on 10 December 2016).
 - Intergovernmental Panel on Climate Change (IPCC). Climate Change 2014: Synthesis Report, Summary for Policymakers; IPCC: Geneva, Switzerland, 2014; p. 32. Available online: http://www.ipcc.ch/ (accessed on 10 December 2016).
 - Kallio, A.M.I.; Salminen, O.; Sievänen, R. Sequester or substitute—Consequences of increased production of wood based energy on the carbon balance in Finland. J. For. Econ. 2013, 19, 402–415. [Google Scholar] [CrossRef]
 - Smyth, C.; Kurz, W.A.; Rampley, G.; Lemprière, T.C.; Schwab, O. Climate change mitigation potential of local use of harvest residues for bioenergy in Canada. GCB Bioenergy 2017, 9, 817–832. [Google Scholar] [CrossRef]
 - European Commission (EC). Proposal for a Directive of the European Parliament and of the Council on the Promotion of the Use of Energy from Renewable Sources (Recast); EC: Brussels, Belgium, 2016; Volume COM(2016), p. 115. [Google Scholar]
 - European Commission (EC). Communication from the Commission to the European Parliament, the Council, the European Economic and Social Committee and the Committee of the Regions, Energy Roadmap 2050; EC: Brussels, Belgium, 2011; Volume COM(2011), p. 20. [Google Scholar]
 - Rytter, L.; Ingerslev, M.; Kilpeläinen, A.; Torssonen, P.; Lazdina, D.; Löf, M.; Madsen, P.; Muiste, P.; Stener, L.-G. Increased forest biomass production in the Nordic and Baltic countries—A review on current and future opportunities. Silva Fenn. 2016, 50, 1–33. [Google Scholar] [CrossRef]
 - Rytter, L.; Andreassen, K.; Bergh, J.; Ekö, P.-M.; Grönholm, T.; Kilpeläinen, A.; Lazdiòa, D.; Muiste, P.; Nord-Larsen, T. Availability of biomass for energy purposes in Nordic and Baltic Countries: Land areas and biomass amounts. Balt. For. 2015, 21, 375–390. [Google Scholar]
 - International Energy Agency (IEA). Nordic Energy Technology Perspectives 2016, Cities, Flexibility and Pathways to Carbon-Neutrality; IEA: Paris, France, 2016; p. 269. Available online: http://www.iea.org/bookshop/719-Energy_Technology_Perspectives_2016 (accessed on 10 December 2016).
 - Portin, A.; Barua, S.; Clarke, M.; Camargo, M.; Viding, J.; Pekkanen, M. The Role of Forests in Climate Change: Nordic Experience; TemaNord 2013: 559; Nordic Council of Ministers: Copenhagen, Denmark, 2013; p. 119. Available online: http://dx.doi.org/10.6027/TN2013-559 (accessed on 10 December 2016).
 - Statistics Finland. Suomen Kasvihuonekaasupäästöt 1990–2012; Statistics Finland: Helsinki, Finland, 2014; p. 71. ISBN 978-952-244-502-5. [Google Scholar]
 - Koponen, K.; Sokka, L.; Salminen, O.; Sievänen, R.; Pingoud, K.; Ilvesniemi, H.; Routa, J.; Ikonen, T.; Koljonen, T.; Alakangas, E.; et al. Sustainability of Forest Energy in Northern Europe; VTT Technology 237; VTT Technical Research Centre of Finland Ltd.: Espoo, Finland, 2015; ISBN 9789513883645. [Google Scholar]
 - Ylitalo, E. Finnish Statistical Yearbook of Forestry; Metsätilastollinen Vuosikirja; Finnish Forest Research Institute: Vantaa, Finland, 2014; Available online: http://www.metla.fi/metinfo/tilasto/julkaisut/vsk/2014/index.html (accessed on 10 December 2016).
 - Ministry of Economic Affairs and Employment. The Finnish Bioeconomy Strategy; Ministry of Economic Affairs and Employment: Helsinki, Finland, 2014; p. 31. Available online: http://www.tem.fi/files/40366/The_Finnish_Bioeconomy_Strategy.pdf (accessed on 10 December 2016).
 - Matala, J.; Kärkkäinen, L.; Härkönen, K.; Kellomäki, S.; Nuutinen, T. Carbon sequestration in the growing stock of trees in Finland under different cutting and climate scenarios. Eur. J. For. Res. 2009, 128, 493–504. [Google Scholar] [CrossRef]
 - Routa, J.; Kellomäki, S.; Kilpeläinen, A.; Peltola, H.; Strandman, H. Effects of forest management on the carbon dioxide emissions of wood energy in integrated production of timber and energy biomass. GCB Bioenergy 2011, 3, 483–497. [Google Scholar] [CrossRef]
 - Pyörälä, P.; Peltola, H.; Strandman, H.; Kilpeläinen, A.; Asikainen, A.; Jylhä, K.; Kellomäki, S. Effects of management on economic profitability of forest biomass production and carbon neutrality of bioenergy use in Norway Spruce stands under the changing climate. Bioenergy Res. 2014, 7, 279–294. [Google Scholar] [CrossRef]
 - Äijälä, O.; Koistinen, A.; Sved, J.; Vanhatalo, K.; Väisänen, P. Hyvän Metsänhoidon Suositukset—Metsänhoito; Recommendations for Forest Management in Finland; Forestry Development Centre Tapio Publications: Helsinki, Finland, 2014. (In Finnish) [Google Scholar]
 - Alam, A.; Kilpeläinen, A.; Kellomäki, S. Impacts of thinning on growth, timber production and carbon stocks in Finland under changing climate. Scand. J. For. Res. 2008, 23, 501–512. [Google Scholar] [CrossRef]
 - Kilpeläinen, A.; Alam, A.; Torssonen, P.; Ruusuvuori, H.; Kellomäki, S.; Peltola, H. Effects of intensive forest management on net climate impact of energy biomass utilisation from final felling of Norway Spruce. Biomass Bioenergy 2016, 87, 1–8. [Google Scholar] [CrossRef]
 - Holtsmark, B. Harvesting in boreal forests and the biofuel carbon debt. Clim. Chang. 2012, 112, 415–428. [Google Scholar] [CrossRef]
 - Torssonen, P.; Kilpeläinen, A.; Strandman, H.; Kellomäki, S.; Jylhä, K.; Asikainen, A.; Peltola, H. Effects of climate change and management on net climate impacts of production and utilization of energy biomass in Norway spruce with stable age-class distribution. GCB Bioenergy 2016, 8, 419–427. [Google Scholar] [CrossRef]
 - Garcia-Gonzalo, J.; Peltola, H.; Gerendiain, A.Z.; Kellomäki, S. Impacts of forest landscape structure and management on timber production and carbon stocks in the boreal forest ecosystem under changing climate. For. Ecol. Manag. 2007, 241, 243–257. [Google Scholar] [CrossRef]
 - Malmsheimer, R.W.; Bowyer, J.L.; Fried, J.S.; Gee, E.; Izlar, R.L.; Miner, R.A.; Munn, I.A.; Oneil, E.; Stewart, W.C. Managing forests because carbon matters: Integrating energy, products, and land management policy. J. For. 2011, 109, S7. [Google Scholar] [CrossRef]
 - Eliasson, P.; Svensson, M.; Olsson, M.; Ågren, G.I. Forest carbon balances at the landscape scale investigated with the Q model and the CoupModel—Responses to intensified harvests. For. Ecol. Manag. 2013, 290, 67–78. [Google Scholar] [CrossRef]
 - Kilpeläinen, A.; Strandman, H.; Grönholm, T.; Ikonen, V.-P.; Torssonen, P.; Kellomäki, S.; Peltola, H. Effects of initial age structure of managed Norway spruce forest area on net climate impact of using forest biomass for energy. BioEnergy Res. 2017, 10, 499–508. [Google Scholar] [CrossRef]
 - Routa, J.; Kellomäki, S.; Peltola, H. Impacts of intensive management and landscape structure on timber and energy wood production and net CO2 emissions from energy wood use of Norway Spruce. BioEnergy Res. 2012, 5, 106–123. [Google Scholar] [CrossRef]
 - Kärkkäinen, L.; Matala, J.; Härkönen, K.; Kellomäki, S.; Nuutinen, T. Potential recovery of industrial wood and energy wood raw material in different cutting and climate scenarios for Finland. Biomass Bioenergy 2008, 32, 934–943. [Google Scholar] [CrossRef]
 - Hynynen, J.; Salminen, H.; Ahtikoski, A.; Huuskonen, S.; Ojansuu, R.; Siipilehto, J.; Lehtonen, M.; Eerikäinen, K. Long-term impacts of forest management on biomass supply and forest resource development: A scenario analysis for Finland. Eur. J. For. Res. 2015, 134, 415–431. [Google Scholar] [CrossRef]
 - Heinonen, T.; Pukkala, T.; Mehtätalo, L.; Asikainen, A.; Kangas, J.; Peltola, H. Scenario analyses for the effects of harvesting intensity on development of forest resources, timber supply, carbon balance and biodiversity of Finnish forestry. For. Policy Econ. 2017, 80, 80–98. [Google Scholar] [CrossRef]
 - Pilli, R.; Grassi, G.; Kurz, W.A.; Fiorese, G.; Cescatti, A. The European forest sector: Past and future carbon budget and fluxes under different management scenarios. Biogeosciences 2017, 14, 2387–2405. [Google Scholar] [CrossRef]
 - Eriksson, L.O.; Gustavsson, L.; Hänninen, R.; Kallio, M.; Lyhykäinen, H.; Pingoud, K.; Pohjola, J.; Sathre, R.; Solberg, B.; Svanaes, J.; et al. Climate change mitigation through increased wood use in the European construction sector-towards an integrated modelling framework. Eur. J. For. Res. 2012, 131, 131–144. [Google Scholar] [CrossRef]
 - Lemprière, T.C.; Kurz, W.A.; Hogg, E.H.; Schmoll, C.; Rampley, G.J.; Yemshanov, D.; McKenney, D.W.; Gilsenan, R.; Beatch, A.; Blain, D.; et al. Canadian boreal forests and climate change mitigation. Environ. Rev. 2013, 21, 293–321. [Google Scholar] [CrossRef]
 - Gustavsson, L.; Pingoud, K.I.M.; Sathre, R. Carbon dioxide balance of wood substitution: comparing concrete- and wood-framed buildings. Mitig. Adapt. Strateg. Glob. Chang. 2006, 11, 667–691. [Google Scholar] [CrossRef]
 - Smyth, C.; Rampley, G.; Lemprière, T.C.; Schwab, O.; Kurz, W.A. Estimating product and energy substitution benefits in national-scale mitigation analyses for Canada. GCB Bioenergy 2017, 9, 1071–1084. [Google Scholar] [CrossRef]
 - Gustavsson, L.; Haus, S.; Lundblad, M.; Lundström, A.; Ortiz, C.A.; Sathre, R.; Le Truong, N.; Wikberg, P.E. Climate change effects of forestry and substitution of carbon-intensive materials and fossil fuels. Renew. Sustain. Energy Rev. 2017, 67, 612–624. [Google Scholar] [CrossRef]
 - Lundmark, T.; Bergh, J.; Hofer, P.; Lundström, A.; Nordin, A.; Poudel, B.C.; Sathre, R.; Taverna, R.; Werner, F. Potential roles of Swedish forestry in the context of climate change mitigation. Forests 2014, 5, 557–578. [Google Scholar] [CrossRef]
 - Eriksson, E.; Gillespie, A.R.; Gustavsson, L.; Langvall, O.; Olsson, M.; Sathre, R.; Stendahl, J. Integrated carbon analysis of forest management practices and wood substitution. Can. J. For. Res. 2007, 37, 671–681. [Google Scholar] [CrossRef]
 - Haus, S.; Gustavsson, L.; Sathre, R. Climate mitigation comparison of woody biomass systems with the inclusion of land-use in the reference fossil system. Biomass Bioenergy 2014, 65, 136–144. [Google Scholar] [CrossRef]
 - Gustavsson, L.; Sathre, R. Energy and CO2 analysis of wood substitution in construction. Clim. Chang. 2011, 105, 129–153. [Google Scholar] [CrossRef]
 - Baul, T.K.; Alam, A.; Strandman, H.; Kilpeläinen, A. Net climate impacts and economic profitability of forest biomass production and utilization in fossil fuel and fossil-based material substitution under alternative forest management. Biomass Bioenergy 2017, 98, 291–305. [Google Scholar] [CrossRef]
 - Kilpeläinen, A.; Torssonen, P.; Strandman, H.; Kellomäki, S.; Asikainen, A.; Peltola, H. Net climate impacts of forest biomass production and utilization in managed boreal forests. GCB Bioenergy 2016, 8, 307–316. [Google Scholar] [CrossRef]
 - Schlamadinger, B.; Marland, G. The role of forest and bioenergy strategies in the global carbon cycle. Biomass Bioenergy 1996, 10, 275–300. [Google Scholar] [CrossRef]
 - Sathre, R.; O’Connor, J. Meta-analysis of greenhouse gas displacement factors of wood product substitution. Environ. Sci. Policy 2010, 13, 104–114. [Google Scholar] [CrossRef]
 - Werner, F.; Taverna, R.; Hofer, P.; Richter, K. Carbon pool and substitution effects of an increased use of wood in buildings in Switzerland: First estimates. Ann. For. Sci. 2005, 62, 889–902. [Google Scholar] [CrossRef]
 - Soimakallio, S.; Saikku, L.; Valsta, L.; Pingoud, K. Climate change mitigation challenge for wood utilization—The case of Finland. Environ. Sci. Technol. 2016, 50, 5127–5134. [Google Scholar] [CrossRef] [PubMed]
 - Pingoud, K.; Perälä, A. Studies on Greenhouse Impacts of Wood Construction: 1. Scenario Analysis of Potential Wood Utilisation in Finnish New Construction in 1990 and 1994 2. Inventory of Carbon Stock of Wood Products in the Finnish Building Stock in 1980, 1990 and 1995; VTT Julkaisuja: Espoo, Finland, 2000. [Google Scholar]
 - Kellomäki, S.; Strandman, H.; Nuutinen, T.; Peltola, H.; Korhonen, K.T.; Väisänen, H. Adaptation of Forest Ecosystems, Forests and Forestry to Climate Change. FINADAPT Working Paper 4; Mimeographs 334; Finnish Environment Institute: Helsinki, Finland, 2005. [Google Scholar]
 - Kellomäki, S.; Peltola, H.; Nuutinen, T.; Korhonen, K.T.; Strandman, H. Sensitivity of managed boreal forests in Finland to climate change, with implications for adaptive management. Philos. Trans. R. Soc. Lond. B 2008, 363, 2341–2351. [Google Scholar] [CrossRef] [PubMed]
 - Hynynen, J.; Ojansuu, R.; Hökkä, H.; Siipilehto, J.; Salminen, H.; Haapala, P. Models for Predicting Stand Development in MELA System; Research Paper 835; Finnish Forest Research Institute: Helsinki, Finland, 2002; p. 116. [Google Scholar]
 - Tamminen, P. Expression of soil nutrient status and regional variation in soil fertility of forested sites in southern Finland. Folia For. 1991, 777, 40, (In Finnish with English Summary). [Google Scholar]
 - Talkkari, A.; Hypén, H. Development and assessment of a gap-type model to predict the effects of climate change on forests based on spatial forest data. For. Ecol. Manag. 1996, 83, 217–228. [Google Scholar] [CrossRef]
 - Kilpeläinen, A.; Alam, A.; Strandman, H.; Kellomäki, S. Life cycle assessment tool for estimating net CO2 exchange of forest production. GCB Bioenergy 2011, 3, 461–471. [Google Scholar] [CrossRef]
 - Karjalainen, T.; Kellomäki, S.; Pussinen, A. Role of wood-based products in absorbing atmospheric carbon. Silva Fenn. 1994, 28, 67–80. [Google Scholar] [CrossRef]
 - Hakkila, P.; Parikka, H. Fuel resources from the forest. In Bioenergy from Sustainable Forestry; Richardson, J., Björheden, R., Hakkila, P., Lowe, A.T., Smith, C.T., Eds.; Springer: Dordrecht, The Netherlands, 2002; Volume 71, pp. 19–48. ISBN 978-0-306-47519-1. [Google Scholar]
 - Grelle, A.; Strömgren, M.; Hyvönen, R. Carbon balance of a forest ecosystem after stump harvest. Scand. J. For. Res. 2012, 27, 762–773. [Google Scholar] [CrossRef]
 - Werner, F.; Taverna, R.; Hofer, P.; Thürig, E.; Kaufmann, E. National and global greenhouse gas dynamics of different forest management and wood use scenarios: A model-based assessment. Environ. Sci. Policy 2010, 13, 72–85. [Google Scholar] [CrossRef]
 - Bowyer, J.; Bratkovich, S.; Howe, J.; Fernholz, K. Recognition of Carbon Storage in Harvested Wood Products: A Post-Copenhagen Update; Dovetail Partners, Inc.: Minneapolis, MN, USA, 2010; Available online: www.dovetailinc.org (accessed on 5 July 2017).
 - Bergman, R.; Puettmann, M.; Taylor, A.; Skog, K.E. The carbon impacts of wood products. For. Prod. J. 2014, 64, 220–231. [Google Scholar] [CrossRef]
 - Pingoud, K.; Pohjola, J.; Valsta, L. Assessing the integrated climatic impacts of forestry and wood products. Silva Fenn. 2010, 44, 155–175. [Google Scholar] [CrossRef]
 - Jasinevičius, G.; Lindner, M.; Pingoud, K.; Tykkylainen, M. Review of models for carbon accounting in harvested wood products. Int. Wood Prod. J. 2015, 6, 198–212. [Google Scholar] [CrossRef]
 - Sathre, R.; Gustavsson, L. Time-dependent radiative forcing effects of forest fertilization and biomass substitution. Biogeochemistry 2012, 109, 203–218. [Google Scholar] [CrossRef]
 - Kim, M.H.; Song, H.B. Analysis of the global warming potential for wood waste recycling systems. J. Clean. Prod. 2014, 69, 199–207. [Google Scholar] [CrossRef]
 






| Management Scenarios | Harvesting Intensity in Final Felling | Management Scenario Acronym | |||
|---|---|---|---|---|---|
| Thinning Threshold Changes | Final Felling DBH (cm) | Timber (T) | Timber and Logging Residues (BN) | Timber, Logging Residues and Coarse Roots and Stumps (BNR) | |
| 0% | 26/22 | T/BN/BNR | T26 *, BN26, BNR26 | ||
| T22, BN22, BNR22 | |||||
| +20% | 26/22 | T/BN/BNR | T26+, BN26+, BNR26+ | ||
| T22+, BN22+, BNR22+ | |||||
| −20% | 26/22 | T/BN/BNR | T26−, BN26−, BNR26− | ||
| T22−, BN22−, BNR22− | |||||
© 2017 by the authors. Licensee MDPI, Basel, Switzerland. This article is an open access article distributed under the terms and conditions of the Creative Commons Attribution (CC BY) license (http://creativecommons.org/licenses/by/4.0/).
Share and Cite
Baul, T.K.; Alam, A.; Ikonen, A.; Strandman, H.; Asikainen, A.; Peltola, H.; Kilpeläinen, A. Climate Change Mitigation Potential in Boreal Forests: Impacts of Management, Harvest Intensity and Use of Forest Biomass to Substitute Fossil Resources. Forests 2017, 8, 455. https://doi.org/10.3390/f8110455
Baul TK, Alam A, Ikonen A, Strandman H, Asikainen A, Peltola H, Kilpeläinen A. Climate Change Mitigation Potential in Boreal Forests: Impacts of Management, Harvest Intensity and Use of Forest Biomass to Substitute Fossil Resources. Forests. 2017; 8(11):455. https://doi.org/10.3390/f8110455
Chicago/Turabian StyleBaul, Tarit Kumar, Ashraful Alam, Antti Ikonen, Harri Strandman, Antti Asikainen, Heli Peltola, and Antti Kilpeläinen. 2017. "Climate Change Mitigation Potential in Boreal Forests: Impacts of Management, Harvest Intensity and Use of Forest Biomass to Substitute Fossil Resources" Forests 8, no. 11: 455. https://doi.org/10.3390/f8110455
APA StyleBaul, T. K., Alam, A., Ikonen, A., Strandman, H., Asikainen, A., Peltola, H., & Kilpeläinen, A. (2017). Climate Change Mitigation Potential in Boreal Forests: Impacts of Management, Harvest Intensity and Use of Forest Biomass to Substitute Fossil Resources. Forests, 8(11), 455. https://doi.org/10.3390/f8110455
        
