Estimation of the Timber Quality of Scots Pine with Terrestrial Laser Scanning
Abstract
:1. Introduction
2. Material and Methods
2.1. Study Area and Field Measurements

| Min | Mean | Max | SD | |
|---|---|---|---|---|
| dbh, mm | 183.0 | 298.3 | 410.0 | 45.0 |
| h, m | 22.4 | 24.8 | 28.1 | 1.4 |
| d6, mm | 130.0 | 241.5 | 350.0 | 42.1 |
| lb, m | 10.2 | 14.5 | 17.9 | 1.9 |
| db, m | 2.3 | 5.2 | 10.5 | 1.9 |
| v, dm3 | 282.5 | 817.2 | 1,549.4 | 259.9 |

2.2. Terrestrial Laser Scanning
| Leica HDS6100 | |
|---|---|
| Field of view | 310° × 360° |
| Range | 79 m |
| Speed points per s | 508,000 |
| Spot size | 3 mm + 0.22 mrad |
| Distance measurement accuracy at 25 m | ±2 mm |
| Max resolution, Horizontal × Vertical | 0.009° × 0.009° |
| Max points 360°, Horizontal × Vertical | 40,000 × 40,000 |
| Laser wavelength | 690 nm |
| Laser power | 30 mW |
2.3. Tree Quality Estimation and Accuracy Assessment
3. Results
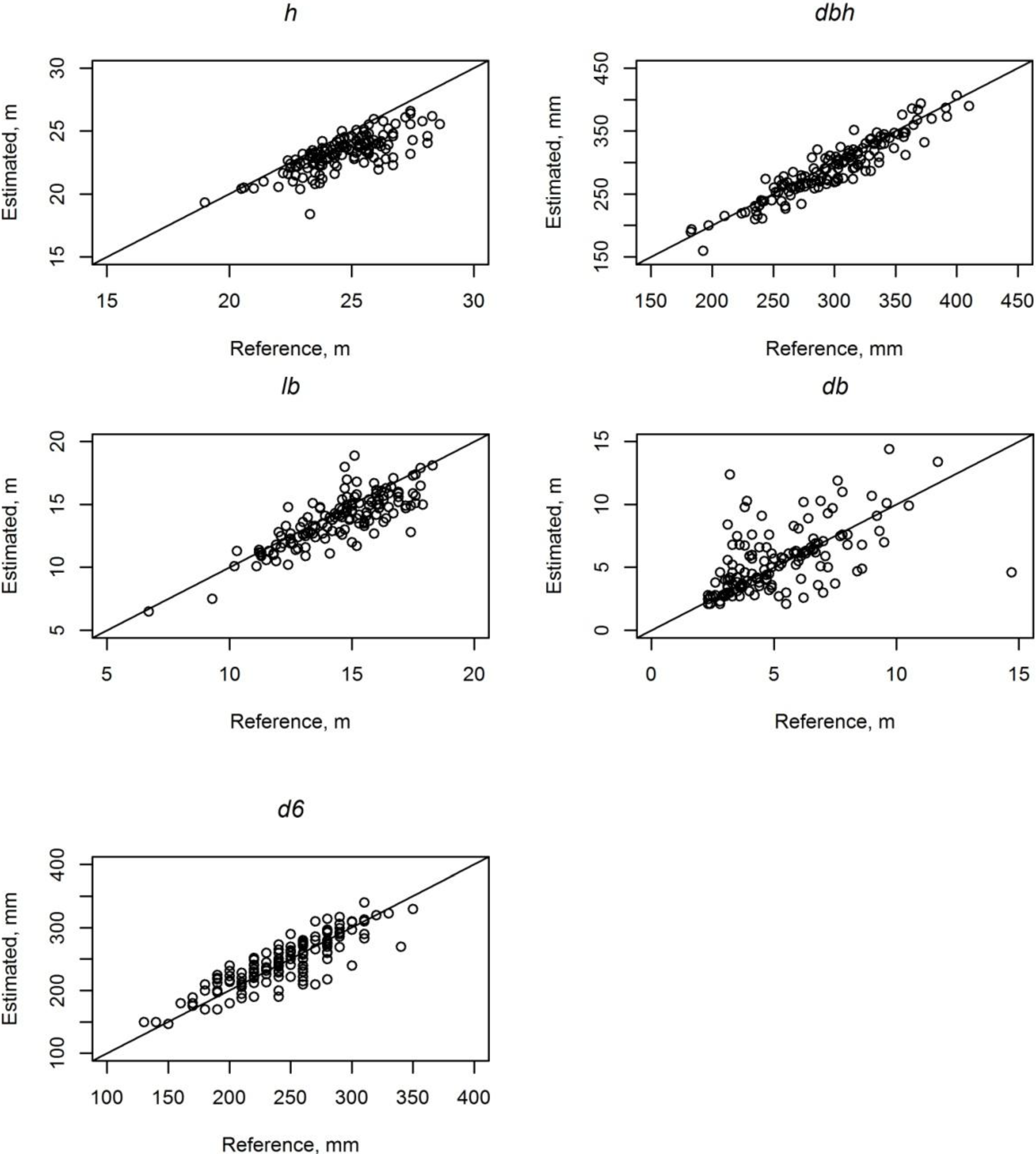
3.1. Accuracy of the Tree Attributes Measured from TLS Data
| Bias | Bias % | RMSE | RMSE % | |
|---|---|---|---|---|
| h, m | 1.4 | 5.6 | 1.8 | 7.1 |
| dbh, mm | 6.6 | 2.2 | 17.7 | 5.9 |
| d6, mm | −1.6 | −0.7 | 21.7 | 8.9 |
| lb, m | 0.6 | 4.4 | 1.4 | 9.6 |
| db, m | −0.3 | -6.3 | 2.2 | 42.9 |

3.2. Tree Quality Predicted Using RF
| Field Measurements | TLS | ||||||||||
|---|---|---|---|---|---|---|---|---|---|---|---|
| Prediction | Class-Level Accuracy, % | Overall Accuracy, % | Prediction | Class-level Accuracy, % | Overall Accuracy, % | ||||||
| 1 | 2 | 3 | 1 | 2 | 3 | ||||||
| Reference | 1 | 74 | 0 | 0 | 100.0 | 95.0 | 62 | 11 | 1 | 83.8 | 83.6 |
| 2 | 5 | 59 | 0 | 90.8 | 9 | 55 | 0 | 84.6 | |||
| 3 | 0 | 2 | 0 | 0.0 | 1 | 1 | 0 | 0.0 | |||
| Field Measurements | TLS | ||||||||||||||
|---|---|---|---|---|---|---|---|---|---|---|---|---|---|---|---|
| Prediction | Class-Level Accuracy, % | Overall Accuracy, % | Prediction | Class-Level Accuracy, % | Overall Accuracy, % | ||||||||||
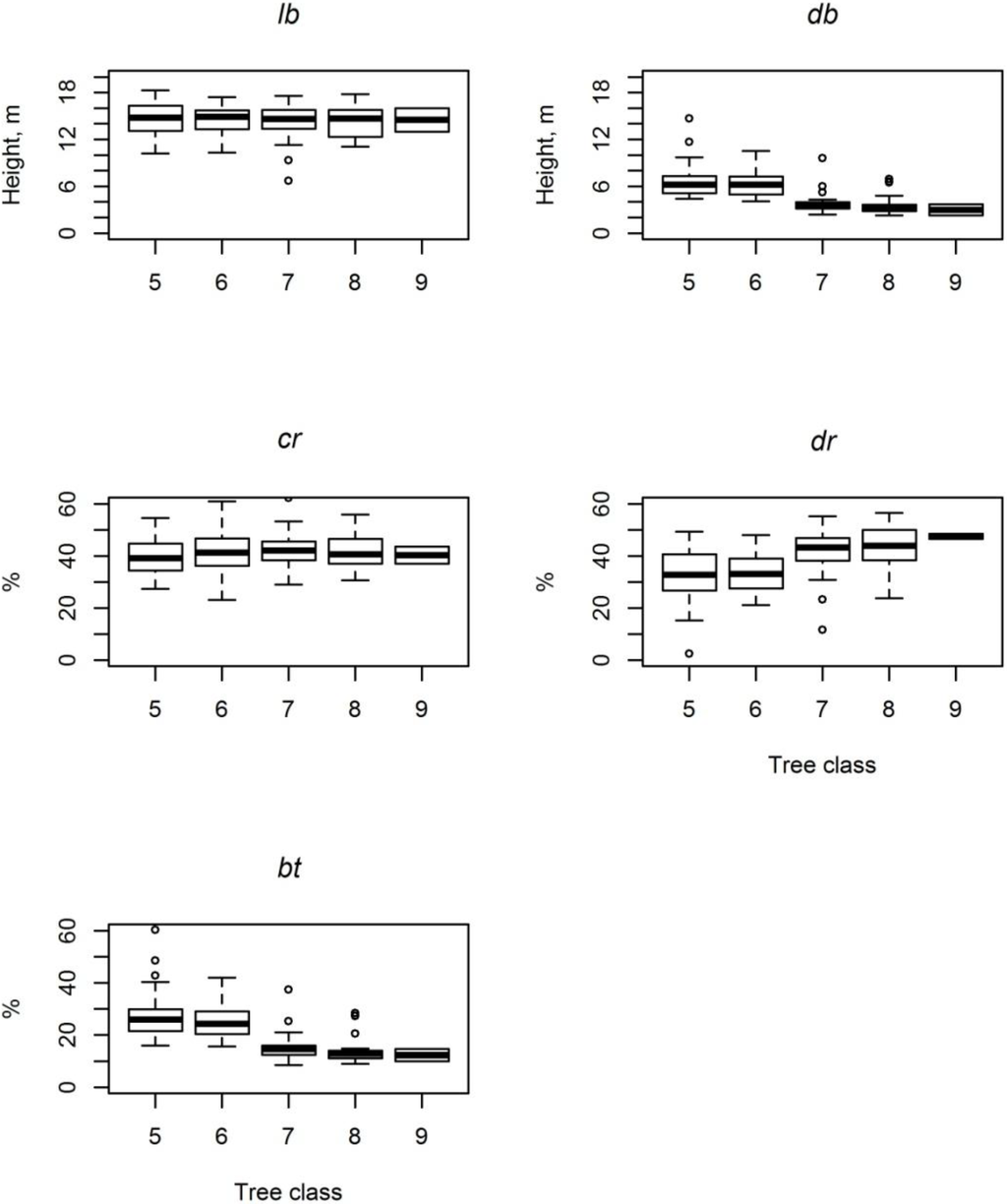
| 5 | 6 | 7 | 8 | 9 | 5 | 6 | 7 | 8 | 9 | ||||||
| Reference | 5 | 45 | 2 | 0 | 0 | 0 | 95.7 | 87.1 | 45 | 0 | 1 | 1 | 0 | 95.7 | 76.4 |
| 6 | 6 | 20 | 1 | 0 | 0 | 74.1 | 3 | 16 | 5 | 2 | 1 | 59.3 | |||
| 7 | 3 | 0 | 36 | 1 | 0 | 90.0 | 3 | 3 | 33 | 1 | 0 | 82.5 | |||
| 8 | 1 | 1 | 1 | 21 | 0 | 87.5 | 3 | 1 | 7 | 13 | 0 | 54.2 | |||
| 9 | 0 | 0 | 1 | 1 | 0 | 0.0 | 0 | 1 | 1 | 0 | 0 | 0.0 | |||

4. Discussion
5. Conclusions
Acknowledgments
Author Contributions
Conflicts of Interest
References
- Lukkarinen, E.; Keskinen, S.; Pennanen, O. Tukkien laatukriteerit ja apteerauksen arvoperusteet. Metsätehon Rap. 1998, 65, 34. [Google Scholar]
- Uusitalo, J. Pre-harvest measurement of pine stands for sawing production planning. Acta For. Fenn. 1997, 259, 56. [Google Scholar]
- Hujo, S.; Poikela, A. Puutavaralajien laatuvaatimukset. In Book Tapion Taskukirja, 25th ed.; Rantala, S., Ed.; Metsäkustannus Oy and Metsätalouden kehittämiskeskus: Tapio, Finland, 2008; pp. 379–383. [Google Scholar]
- Suomen Sahateollisuusmiesten Yhdistys (STMY). Mänty-ja kuusisahatavaran lajitteluohjeet. In Book Pohjoismainen Sahatavara—Lajitteluohjeet, 1st ed.; Gummerus Kirjapaino Oy: Jyväskylä, Finland, 1994; p. 64. [Google Scholar]
- Hyyppä, J.; Hyyppä, H.; Leckie, D.; Gougeon, F.; Yu, X.; Maltamo, M. Review of methods of small-footprint airborne laser scanning for extracting forest inventory data in boreal forests. Int. J. Remote Sens. 2008, 29, 1339–1366. [Google Scholar] [CrossRef]
- McRoberts, R.E.; Tomppo, E.; Næsset, E. Advances and emerging issues in national forest inventories. Scand. J. For. Res. 2010, 25, 368–381. [Google Scholar] [CrossRef]
- Liang, X. Feasibility of Terrestrial Laser Scanning for Plotwise Forest Inventories. Ph.D. Thesis, Publication of the Finnish Geodetic Institute, Masala, Finland, 2013; p. 55. [Google Scholar]
- Holopainen, M.; Vastaranta, M.; Liang, X.; Hyyppä, J.; Jaakkola, A.; Kankare, V. Estimation of forest stock and yield using LiDAR data. In Remote Sensing of Natural Resources; Wang, G., Weng, Q., Eds.; CRC Press: Boca Raton, FL, USA, 2013; pp. 259–290. [Google Scholar]
- Næsset, E. Airborne laser scanning as a method in operational forest inventory: Status of accuracy assessments accomplished in Scandinavia. Scand. J. For. Res. 2007, 22, 433–442. [Google Scholar] [CrossRef]
- Maltamo, M.; Packalén, P.; Kallio, E.; Kanga, J.; Uuttera, J.; Heikkilä, J. Airborne laser scanning based stand level management inventory in Finland. In Proceedings of the Silvilaser Conference, Hobart, TS, Australia, 16–19 October 2011.
- Vastaranta, M. Forest Mapping and Monitoring Using Active 3D Remote Sensing. Ph.D. Thesis, University of Helsinki, Helsinki, Finland, 2012; p. 45. [Google Scholar]
- White, J.; Wulder, M.; Vastaranta, M.; Coops, N.; Pitt, D.; Woods, M. The utility of image-based point clouds for forest inventory: A comparison with airborne laser scanning. Forests 2013, 4, 518–536. [Google Scholar] [CrossRef]
- Holopainen, M.; Vastaranta, M.; Rasinmäki, J.; Kalliovirta, J.; Mäkinen, A.; Haapanen, R.; Melkas, T.; Yu, X.; Hyyppä, J. Uncertainty in timber assortment estimates predicted from forest inventory data. Eur. J. For. Res. 2010, 129, 1131–1142. [Google Scholar] [CrossRef]
- Hyyppä, J.; Yu, X.; Hyyppä, H.; Vastaranta, M.; Holopainen, M.; Kukko, A.; Kaartinen, H.; Jaakkola, A.; Vaaja, M.; Koskinen, J. Advances in forest inventory using airborne laser scanning. Remote Sens. 2012, 4, 1190–1207. [Google Scholar] [CrossRef]
- Vastaranta, M.; Kankare, V.; Holopainen, M.; Yu, X.; Hyyppä, J.; Hyyppä, H. Combination of individual tree detection and area-based approach in imputation of forest variables using airborne laser data. ISPRS J. Photogr. Remote Sens. 2012, 67, 73–79. [Google Scholar] [CrossRef]
- Yu, X.; Hyyppä, J.; Vastaranta, M.; Holopainen, M.; Viitala, R. Predicting individual tree attributes from airborne laser point clouds based on the random forests technique. ISPRS J. Photogr. Remote Sens. 2011, 66, 28–37. [Google Scholar] [CrossRef]
- Ko, C.; Sohn, G.; Remmel, T.K. Tree genera classification with geometric features from high-density airborne LiDAR. Can. J. Remote Sens. 2013, 39, 73–85. [Google Scholar] [CrossRef]
- Næsset, E. Predicting forest stand characteristics with airborne scanning laser using a practical two-stage procedure and field data. Remote Sens. Environ. 2002, 80, 88–99. [Google Scholar] [CrossRef]
- Liang, X.; Litkey, P.; Hyyppä, J.; Kaartinen, H.; Kukko, A.; Holopainen, M. Automatic plot-wise tree location mapping using single-scan terrestrial laser scanning. Photogramm. J. Finl. 2011, 22, 37–48. [Google Scholar]
- Lindberg, E.; Holmgren, J.; Olofsson, K.; Olsson, H. Estimation of stem attributes using a combination of terrestrial and airboner laser scanning. Eur. J. For. Res. 2012, 131, 1917–1931. [Google Scholar] [CrossRef]
- Raumonen, P.; Kaasalainen, M.; Åkerblom, M.; Kaasalainen, S.; Kaartinen, H.; Vastaranta, M.; Holopainen, M.; Disney, M.; Lewis, P. Fast automatic precision tree models from terrestrial laser scanner data. Remote Sens. 2013, 5, 491–520. [Google Scholar] [CrossRef]
- Hopkinson, C.; Chasmer, L.; Young-Pow, C.; Treitz, P. Assessing forest metrics with a ground-based scanning lidar. Can. J. For. Res. 2004, 34, 573–583. [Google Scholar] [CrossRef]
- Pfeifer, N.; Winterhalder, D. Modelling of tree cross sections from terrestrial laser-scanning data with free-form curves. Int. Arch. Photogramm. Remote Sens. Spat. Inf. Sci. 2004, 36, 76–81. [Google Scholar]
- Vastaranta, M.; Melkas, T.; Holopainen, M.; Kaartinen, H.; Hyyppä, J.; Hyyppä, H. Laser-Based field measurements in tree-level forest data acquisition. Photogramm. J. Finl. 2009, 21, 51–61. [Google Scholar]
- Liang, X.; Litkey, P.; Hyyppä, J.; Kaartinen, H.; Vastaranta, M.; Holopainen, M. Automatic stem mapping using single-scan terrestrial laser scanning. IEEE Trans. Geosci. Remote Sens. 2012, 50, 661–670. [Google Scholar] [CrossRef]
- Kankare, V.; Holopainen, M.; Vastaranta, M.; Puttonen, E.; Yu, X.; Hyyppä, J.; Vaaja, M.; Hyyppä, H.; Alho, P. Individual tree biomass estimation using terrestrial laser scanning. ISPRS J. Photogramm. Remote Sens. 2013, 75, 64–75. [Google Scholar] [CrossRef]
- Moorthy, I.; Miller, J.R.; Hu, B.; Chen, J.; Li, Q. Retrieving crown leaf area index from an individual tree using ground-based lidar data. Can. J. Remote Sens. 2008, 34, 320–332. [Google Scholar]
- Hyyppä, J.; Jaakkola, A.; Hyyppä, H.; Kaartinen, H.; Kukko, A.; Holopainen, M.; Zhu, L.; Vastaranta, M.; Kaasalainen, S.; Krooks, A.; et al. Map updating and change detection using vehicle-based laser scanning. In Proceedings of the Urban Remote Sensing Joint Event, Shanghai, China, 20–22 May 2009.
- Liang, X.; Kankare, V.; Yu, X.; Hyyppä, J.; Holopainen, M. Automated stem curve measurement using terrestrial laser scanning. IEEE Trans. Geosci. Remote Sens. 2014, 52, 1739–1748. [Google Scholar] [CrossRef]
- Maas, H.G.; Bienert, A.; Scheller, S.; Keane, E. Automatic forest inventory parameter determination from terrestrial laser scanner data. Int. J. Remote Sens. 2008, 29, 1579–1593. [Google Scholar] [CrossRef]
- Maltamo, M.; Peuhkurinen, J.; Malinen, J.; Vauhkonen, J.; Packalén, P.; Tokola, T. Predicting tree attributes and quality characteristics of Scots pine using airborne laser scanning data. Silva Fenn. 2009, 43, 507–521. [Google Scholar]
- Maltamo, M.; Bollandsås, O.M.; Vauhkonen, J.; Breidenbach, J.; Gobakken, T.; Næsset, E. Comparing different methods for prediction of mean crown height in Norway spruce stands using airborne laser scanner data. Forestry 2010, 83, 257–268. [Google Scholar] [CrossRef]
- Thies, M.; Pfeifer, N.; Winterhalder, D.; Gorte, B.G.H. Three-Dimensional reconstruction of stems for assessment of taper, sweep and lean based on laser scanning of standing trees. Scand. J. For. Res. 2004, 5, 571–581. [Google Scholar]
- Kretscmer, U.; Kirchner, N.; Morhart, C.; Spiecker, H. A new approach to assessing tree stem quality characteristics using terrestrial laser scans. Silva Fenn. 2013, 47, 14. [Google Scholar]
- Stängle, S.M.; Brüchert, F.; Kretschmer, U.; Spiecker, H.; Sauter, U.H. Clear wood content in standing trees predicted from branch scar measurements with terrestrial LiDAR and verified with X-ray CT. Can. J. For. Res. 2014, 44, 145–153. [Google Scholar] [CrossRef]
- Van Leeuwen, M.; Hilker, T.; Coops, N.C.; Frazer, G.; Wulder, M.A.; Newnham, G.J.; Culvenor, D.S. Assessment of standing wood and fiber quality using ground and airborne laser scanning: A review. For. Ecol. Manag. 2011, 261, 1467–1478. [Google Scholar] [CrossRef]
- Hilker, T.; Frazer, G.W.; Coops, N.C.; Wulder, M.A.; van Leeuwen, M.; Newnham, G.J.; Culvenor, D.S.; Stewart, J.D. Prediction of wood fiber attributes from LiDAR-derived forest canopy indicators. For. Sci. 2013, 59, 231–242. [Google Scholar]
- Luther, J.E.; Skinner, R.; Fournier, R.A.; van Lier, O.R.; Bowers, W.W.; Coté, J.-F.; Hopkinson, C.; Moulton, T. Predicting wood quantity and quality attributes of balsam fir and black spruce using airborne laser scanner data. Forestry 2013. [Google Scholar] [CrossRef]
- Vauhkonen, J.; Korpela, I.; Maltamo, M.; Tokola, T. Imputation of single-tree attributes using airborne laser scanning-based height, intensity, and alpha shape metrics. Remote Sens. Environ. 2010, 114, 1263–1276. [Google Scholar] [CrossRef]
- Maltamo, M.; Mehtätalo, L.; Vauhkonen, J.; Packalén, P. Predicting and calibrating tree attributes by means of airborne laser scanning and field measurements. Can. J. For. Res. 2012, 42, 1896–1907. [Google Scholar] [CrossRef]
- Crookston, N.L.; Finley, A.O. yaImpute: A R Package for Efficient nearest Neighbor Imputation Routines Variance Estimation, and Mapping, 2007–2010. Available online: http://cran.r-project.org (accessed on 7 August 2013).
- Hudak, A.; Crookston, N.; Evans, J.; Hall, D.; Falkowski, M. Nearest neighbor imputation of species-level, plot-scale forest structure attributes from LiDAR data. Remote Sens. Environ. 2008, 112, 2232–2245. [Google Scholar] [CrossRef]
- Falkowski, M.; Hudak, A.; Crookston, N.; Gessler, P.; Smith, A. Landscape-scale parameterization of a tree-level forest growth model: A k-NN imputation approach incorporating LiDAR data. Can. J. For. Res. 2010, 40, 184–199. [Google Scholar] [CrossRef]
- Team, R.D.C. R: A Language and Environment for Statistical Computing; R Foundation for Statistical Computing: Vienna, Austria, 2013. Available online: http://www.R-project.org (accessed on 2 December 2013).
- Malinen, J.; Berg, V.; Kilpeläinen, H. Roundwood pricing mechanisms and their performance in Scots pine roundwood markets. Working Papers Finn. For. Res. Inst. 2010, 174, 35. [Google Scholar]
- Lundgren, C. Predicting log type and knot size category using external logshape data from a 3D log scanner. Scand. J. For. Res. 2000, 15, 119–126. [Google Scholar] [CrossRef]
- Oja, J.; Grundberg, S.; Fredriksson, J.; Berg, P. Automatic grading of saw logs—A comparison between Xray scanning, optical 3D scanning and combination of both methods. Scand. J. For. Res. 2004, 19, 89–95. [Google Scholar] [CrossRef]
- Barth, A.; Holmgren, J. Stem taper estimates based on airborne laser scanning and cut-to-length harvester measurements for pre-harvest planning. Int. J. For. Eng. 2013, 23, 161–169. [Google Scholar]
- Vauhkonen, J.; Packalen, P.; Malinen, J.; Pitkänen, J.; Maltamo, M. Airborne laser scanning-based decision support for wood procurement planning. Scand. J. For. Res. 2014, in press. [Google Scholar]
- Peuhkurinen, J.; Maltamo, M.; Malinen, J.; Pitkänen, J.; Packalén, P. Preharvest measurement of marked stands using airborne laser scanning. For. Sci. 2007, 53, 653–661. [Google Scholar]
- Peuhkurinen, J.; Maltamo, M.; Malinen, J. Estimating species specific diameter distributions and saw log recoveries of boreal forests from airborne laser scanning data and aerial photographs: A distribution-based approach. Silva Fenn. 2008, 42, 625–641. [Google Scholar]
- Murphy, G.E.; Acuna, M.A.; Dumbrell, I. Tree value and log product yield determination in radiata pine (Pinus radiata) plantations in Australia: Comparisons of terrestrial laser scanning with a forest inventory system and manual measurements. Canad. J. For. Res. 2010, 40, 2223–2233. [Google Scholar] [CrossRef]
- Vastaranta, M.; Saarinen, N.; Kankare, V.; Holopainen, M.; Kaartinen, H.; Hyyppä, J.; Hyyppä, H. Multisource single-tree inventory in the prediction of tree quality variables and logging recoveries. Remote Sens. 2014, 6, 3475–3491. [Google Scholar] [CrossRef]
© 2014 by the authors; licensee MDPI, Basel, Switzerland. This article is an open access article distributed under the terms and conditions of the Creative Commons Attribution license (http://creativecommons.org/licenses/by/3.0/).
Share and Cite
Kankare, V.; Joensuu, M.; Vauhkonen, J.; Holopainen, M.; Tanhuanpää, T.; Vastaranta, M.; Hyyppä, J.; Hyyppä, H.; Alho, P.; Rikala, J.; et al. Estimation of the Timber Quality of Scots Pine with Terrestrial Laser Scanning. Forests 2014, 5, 1879-1895. https://doi.org/10.3390/f5081879
Kankare V, Joensuu M, Vauhkonen J, Holopainen M, Tanhuanpää T, Vastaranta M, Hyyppä J, Hyyppä H, Alho P, Rikala J, et al. Estimation of the Timber Quality of Scots Pine with Terrestrial Laser Scanning. Forests. 2014; 5(8):1879-1895. https://doi.org/10.3390/f5081879
Chicago/Turabian StyleKankare, Ville, Marianna Joensuu, Jari Vauhkonen, Markus Holopainen, Topi Tanhuanpää, Mikko Vastaranta, Juha Hyyppä, Hannu Hyyppä, Petteri Alho, Juha Rikala, and et al. 2014. "Estimation of the Timber Quality of Scots Pine with Terrestrial Laser Scanning" Forests 5, no. 8: 1879-1895. https://doi.org/10.3390/f5081879
APA StyleKankare, V., Joensuu, M., Vauhkonen, J., Holopainen, M., Tanhuanpää, T., Vastaranta, M., Hyyppä, J., Hyyppä, H., Alho, P., Rikala, J., & Sipi, M. (2014). Estimation of the Timber Quality of Scots Pine with Terrestrial Laser Scanning. Forests, 5(8), 1879-1895. https://doi.org/10.3390/f5081879

