Acoustic Wave Velocity as a Selection Trait in Eucalyptus nitens
Abstract
:1. Introduction
| Tarraleah | Southport | Meunna | Florentine | |
|---|---|---|---|---|
| Latitude | 42°16′32′′ | 43°22′41′′ | 41°05′6′′ | 42°39′43′′ |
| Longitude | 146°27′35′′ | 146°56′3′′ | 145°29′0′′ | 146°28′8′′ |
| Elevation | 600 m | 120 m | 270 m | 270 m |
| Annual Rainfall (sum of months) | 1130 mm | 1139 mm | 1526 mm | 1433 mm |
| Annual evaporation (sum of months) | 893 mm | 970 mm | 948 mm | 915 mm |
| Effective annual rainfall | 237 mm | 169 mm | 578 mm | 518 mm |
| Mean Annual Temp | 9.8 °C | 12.0 °C | 12.3 °C | 10.7 °C |
| Mean min temp coolest month | 0.1 °C | 3.4 °C | 4.2 °C | 1.2 °C |
| Geology | Tertiary basalt | Triassic sandstone | Tertiary basalt | Ordovician limestone |
| Previous land use | Pine plantation | Native forest | Pasture | Native forest |
| Tasmanian climate zone [26] | Cool-moist | Warm-moist | Warm-moist | Cool-moist |
- (i)
- How strong is the genetic control of AWV?
- (ii)
- How genetically stable is standing tree AWV across a range of environments in Tasmania?
- (iii)
- How robust are the reported genetic correlations of AWV with the traditional selection criteria – basic density and DBH?
2.Experimental Section
2.1. Eucalyptus Nitens Progeny Trials

| Tarraleah | Southport | Meunna | Florentine | |
|---|---|---|---|---|
| Replicates | 6 | 5 | 5 | 6 |
| Incomplete blocks (per replicate) | 21 | 21 | 21 | 21 |
| Family plots per block | 20 | 20 | 20 | 20 |
| Trees per family plot | 5 | 5 | 5 | 5 |
| Number of trees planted | 12,600 | 10,500 | 10,500 | 12,600 |
| Thinning at year 4/trees per plot remaining | N/A | N/A | 2 | N/A |
| Percentage of trees remaining at DBH assessment age | 86 | 90 | 32 | 65 |
| Number of families for AWV (age in years) [23,24] | 181 (14) # | 127 (19) | 414 (19) | 417 (19) |
| Number of families for core BD (age in years) [34] | 104 (9) # | N/A | 112 (9) # | N/A |
| Number of families for wedge BD (age in years) [23,24] | 181 (14)# | 125 (19) | N/A | N/A |
| Number of families for DBH (age in years) [23,24,26] | 417 (14) # | 408 (19) | 416 (19) # | 419 (19) |
| Southport | Meunna | Florentine | |
|---|---|---|---|
| Tarraleah | |||
| AWV | 126 | 177 | 180 |
| Core BD | 102 | ||
| Wedge BD | 126 | ||
| DBH | 409 | 411 | 416 |
| Southport | |||
| AWV | 124 | 127 | |
| DBH | 403 | 408 | |
| Meunna | |||
| AWV | 414 | ||
| DBH | 416 |
2.2. Statistical Analyses
) [3], open-pollinated narrow-sense heritability (
) [4], percentage coefficient of additive variation (%CVadd) [5], and a dimensionless measure of evolvability [38] were estimated for each trait from univariate site analyses as follows:
and
are the variance components for ADD(RACE) and RESIDUAL respectively.
is the ADD(RACE) covariance component between traits 1 and 2, and
1 and
2 are the ADD(RACE) variances for traits 1 and 2 respectively.3. Results and Discussion
3.1. Results

) and coefficient of additive variance (
) and evolvability expressed as a percentage for acoustic wave velocity (AWV), basic density (BD) and diameter at breast height (DBH; 1.3 m) at the four Eucalyptus nitens progeny trial sites (standard errors shown in parentheses).
| Trait | Site | Age | Southern | Northern | Connor’s Plain | Race (p value) | Additive Variance | ![]() | ![]() | % Evolvability |
|---|---|---|---|---|---|---|---|---|---|---|
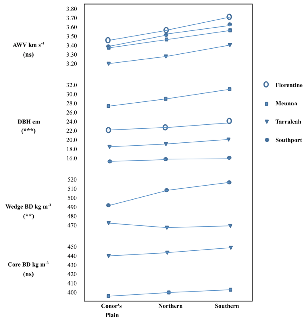
| AWV (km s−1) | Florentine | 19 | 3.75 (0.01) | 3.60 (0.02) | 3.51 (0.03) | *** | 0.023 (0.005) *** | 0.39 (0.09) | 4.2 | 2.6 |
| Meunna | 19 | 3.62 (0.01) | 3.50 (0.01) | 3.43 (0.03) | *** | 0.008 (0.004) * | 0.16 (0.08) | 2.6 | 1.0 | |
| Southport | 19 | 3.68 (0.02) | 3.57 (0.04) | 3.44 (0.06) | *** | 0.028 (0.008) *** | 0.44 (0.13) | 4.7 | 3.1 | |
| Tarraleah | 14 | 3.45 (0.01) | 3.31 (0.02) | 3.25 (0.04) | *** | 0.025 (0.004) *** | 0.74 (0.11) | 4.8 | 4.1 | |
| CoreBD (kg m−3) | Meunna | 9 | 407 (2) | 404 (3) | 400 (5) | ns | 352 (110) *** | 0.39 (0.12) | 4.6 | 2.9 |
| Tarraleah | 9 | 454 (2) | 450 (3) | 446 (5) | ns | 382 (113) *** | 0.43 (0.12) | 4.3 | 2.8 | |
| WedgeBD (kg m−3) | Southport | 19 | 521 (3) | 513 (5) | 496 (9) | * | 486 (176) *** | 0.35 (0.13) | 4.3 | 2.6 |
| Tarraleah | 14 | 475 (2) | 472 (3) | 477 (6) | ns | 385 (85) *** | 0.40 (0.09) | 4.1 | 2.6 | |
| DBH (cm) | Florentine | 19 | 25.6 (0.2) | 23.9 (0.2) | 22.8 (0.5) | *** | 6.41 (1.20) *** | 0.09 (0.02) | 10.5 | 3.2 |
| Meunna | 19 | 32.0 (0.2) | 29.6 (0.3) | 28.3 (0.6) | *** | 14.72 (2.31) *** | 0.23 (0.03) | 12.8 | 6.1 | |
| Southport | 19 | 17.0 (0.2) | 16.6 (0.2) | 16.4 (0.3) | * | 2.78 (0.47) *** | 0.11 (0.02) | 10.0 | 3.3 | |
| Tarraleah | 14 | 20.3 (0.2) | 19.3 (0.2) | 18.8 (0.4) | *** | 7.89 (0.90) *** | 0.18 (0.02) | 14.4 | 6.1 |
| Trait | Site | Florentine | Meunna | Southport |
|---|---|---|---|---|
| AWV (km s−1) | Meunna | 0.86 (0.26) ns | ||
| Southport | 0.87 (0.19) ns | 0.61 (0.36) ns | ||
| Tarraleah | 0.95 (0.13) ns | 0.68 (0.25) ns | 0.99 (0.11) ns | |
| Core BD (kg m−3) | Tarraleah | 0.76 (0.18) ns | ||
| Wedge BD (kg m−3) | Tarraleah | 0.70 (0.19) ns | ||
| DBH (cm) | Meunna | 0.79 (0.11) * | ||
| Southport | 0.71 (0.11) ** | 0.69 (0.10) ** | ||
| Tarraleah | 0.93 (0.08) ns | 0.84 (0.07) ** | 0.86 (0.08) * |
3.2. Discussion
| Site | Trait | AWV (km s−1) | DBH (cm) | ||
|---|---|---|---|---|---|
| rg | rp | rg | rp | ||
| Meunna | Core BD9 (kg m−3) | 0.15 (0.35) ns | 0.24 (0.08) ** | −0.18 (0.21) ns | −0.02 (0.05) ns |
| DBH19 (cm) | 0.51 (0.19) ** | 0.19 (0.03) *** | |||
| Southport | Wedge BD19 (kg m−3) | 0.87 (0.17) *** | 0.37 (0.04) *** | 0.15 (0.23) ns | −0.15 (0.05) ** |
| DBH19 (cm) | 0.18 (0.21) ns | 0.04 (0.04) ns | |||
| Tarraleah | Core BD9 (kg m−3) | 0.78 (0.22) ** | 0.63 (0.23) * | 0.12 (0.18) ns | 0.11 (0.05) * |
| Wedge BD14 (kg m−3) | 0.70 (0.10) *** | 0.23 (0.03) *** | 0.24 (0.15) ns | −0.04 (0.04) ns | |
| DBH14 (cm) | 0.20 (0.13) ns | 0.08 (0.03) * | |||
| Florentine | DBH19 (cm) | 0.71 (0.12) *** | 0.21 (0.03) *** | ||
= 0.43; Table 4) within races was nearly three-fold higher than that for DBH (0.15). The evolvability of AWV (Table 4) was on average similar to that observed for basic density but slightly lower than that for DBH, indicating that lower genetic gains would be expected in AWV and basic density than in DBH, assuming a fixed selection intensity applied to a single trait under phenotypic selection. The later-age estimates of narrow-sense heritabilities for standing tree AWV from the Florentine and Southport trial (Table 4) were high and similar to previous estimates for E. dunnii (0.42), E. pilularis (0.65) [47] and Pinus radiata (0.67) [48]. The highest narrow-sense heritability we obtained was from the Tarraleah trial, which was expected because it combined data from two previous studies, which reported high heritabilities, each of which was based on trees from three different replicates of this trial [24,25]. High heritabilities have also been shown in studies of direct and indirect measures of stiffness and strength in Pinus radiata [49]. The lower narrow-sense heritability at Meunna, compared to the other three E. nitens trials studied is difficult to explain. It is possible that thicker bark on larger stems at Meunna could have increased measurement error and decreased heritability at this site. It is further possible that thinning and pruning at this site reduced the expression of additive genetic variation in AWV [50]. In any case, the very strong inter-site genetic correlations observed for all traits (Table 5) suggests that genetic gains achieved through selection at any one site would, to a large extent, be transferable to environments and silvicultural regimes represented by the other sites [20].4. Conclusions
Acknowledgments
Author Contributions
Conflicts of Interest
References
- Gavran, M.; Parsons, M. Australian Plantation Statistics 2011; Australian Bureau of Agricultural and Resource Economics and Sciences: Canberra, ACT, Australia, 2011; pp. 1–43. [Google Scholar]
- Gavran, M. Australian Plantation Statistics 2013 Update; Australian Bureau of Agricultural and Resource Economics and Sciences: Canberra, Australia, 2013; pp. 1–15. [Google Scholar]
- Gavran, M.; Frakes, I.; Davey, S.; Mahendrarajah, S. Australia’s Plantation Log Supply 2010–2054; Australian Bureau of Agricultural and Resource Economics and Sciences: Canberra, Australia, 2012; pp. 1–55. [Google Scholar]
- Hamilton, M.G.; Joyce, K.; Williams, D.; Dutkowski, G.; Potts, B.M. Acheivements in forest tree improvement in Australia and New Zealand 9. Genetic improvement of Eucalyptus nitens in Australia. Aust. For. 2008, 71, 82–93. [Google Scholar] [CrossRef]
- Boland, D.J.; Brooker, M.I.H.; Chippendale, G.M.; Hall, N.; Hylnd, B.P.M.; Johnson, R.D.; Klenig, D.A.; Turner, J.D. Forest Trees of Australia; CSIRO: Melbourne, Victoria, Australia, 1992; pp. 1–687. [Google Scholar]
- Hamilton, M.G.; Potts, B.M. Review of Eucalyptus nitens genetic parameters. N. Z. J. For. Sci. 2008, 38, 102–119. [Google Scholar]
- Swain, T.L.; Verryn, S.D.; Laing, M.D. A comparison of the effect of genetic improvement, seed source and seedling seed orchard variables on progeny growth in Eucalyptus nitens in South Africa. Tree Genet. Genomes 2013, 9, 767–778. [Google Scholar] [CrossRef]
- Battaglia, M. Matching species to site. In Farm Forestry—A Technical and Business Handbook; Davidson, N., Volker, P., Leech, M., Lyons, A., Beadle, C., Eds.; University of Tasmania: Hobart, Tasmania, Australia, 2006; pp. 196–201. [Google Scholar]
- Tepper, C. Site Matching and Establishing Eucalypt sawlog Species in Southern Australia. In Proceedings of the Joint Venture Agroforestry Program Conference: Plantation Eucalypts for High-Value Timber: Enhancing Investment Through Research and Development, Moorabin, Victoria, Australia, 9–12 October 2007; pp. 35–88.
- Laffan, M. Temperate Forest Soils of Tasmania and Northern South Island, New Zealand: Properties, Distribution, Genesis and Implications for Sustainable Use; University of Tasmania: Hobart, Tasmania, Australia, 2002; pp. 1–246. [Google Scholar]
- Eldridge, K.; Davidson, J.; Harwood, C.; van Wyk, G. Eucalypt Domestication and Breeding; Clarendon Press: Oxford, UK, 1993; pp. 1–288. [Google Scholar]
- Kibblewhite, R.P.; Johnson, B.I.; Shellbourne, C.J.A. Kraft pulp qualities of Eucalyptus nitens, E. globulus, and E. maidenii, at ages 8 and 11 years. N. Z. J. For. Sci. 2000, 30, 447–457. [Google Scholar]
- Tibbits, W.N.; Hodge, G.R. Genetic parameters for cold hardiness in Eucalyptus nitens (Deane & Maiden) Maiden. Silvae Genet. 2003, 52, 89–97. [Google Scholar]
- Hamilton, M.G.; Williams, D.R.; Tilyard, P.; Pinkard, E.A.; Wardlaw, T.; Glen, M.; Vaillancourt, R.E.; Potts, B.M. A latitudinal cline in disease resistance of a host tree. Heredity 2013, 110, 372–379. [Google Scholar] [CrossRef]
- Potts, B.; Hamilton, M.; Blackburn, D. Developing a Eucalypt Resource: Learning from Australia and Elsewhere. In Genetics of Eucalypts: Traps and Opportunities; Walker, J., Ed.; Wood Technology Research Centre, University of Canterbury: Christchurch, New Zealand, November 2011; pp. 1–158. [Google Scholar]
- Wardlaw, T. Managing biotic risks. In Developing a Eucalypt Resource: Learning from Australia and Elsewhere; Walker, J., Ed.; Wood Technology Research Centre, University of Canterbury: Christchurch, New Zealand, 2011; pp. 105–124. [Google Scholar]
- White, T.L.; Adams, W.T.; Neale, D.B. Forest Genetics; CAB International: Wallingford, CT, USA, 2007; pp. 1–682. [Google Scholar]
- Matheson, A.C.; Cotterill, P.P. Utility of genotype × environment interactions. For. Ecol. Manag. 1990, 30, 159–174. [Google Scholar] [CrossRef]
- Zas, R.; Merlo, E.; Fernandez-Lopez, J. Genotype × Environment interaction in maritime pine families in Galacia, Northwest Spain. Silvae Genetica 2004, 43, 175–182. [Google Scholar]
- Burdon, R.D. Genetic correlation as a concept of studying genotype-environment interaction in forest tree breeding. Silvae Genet. 1977, 26, 168–175. [Google Scholar]
- Greaves, B.L.; Borralho, M.G. The influence of basic density and pulp yield on the cost of eucalypt kraft pulping: A theoretical model of tree breeding. Appita 1996, 49, 90–95. [Google Scholar]
- Lenz, P.; Auty, D.; Achim, A.; Beaulieu, J.; Mackay, J. Genetic improvement of white spruce mechanical wood traits-early screening by means of acoustic velocity. Forests 2013, 4, 575–594. [Google Scholar] [CrossRef]
- Lowell, E.C.; Todoroki, C.L.; Briggs, D.G.; Dykstra, P.D. Examination of Acoustic Velocity Along Veneer Value-Chain in Douglas-Fir Trees. In Proceedings of the 18th International Nondestructive Testing and Evaluation of Wood Symposium, Madison, Wisconsin, USA, 24–27 September 2013; Ross, R.J., Wang, X., Eds.; USDA Forest Service’s Forest Products Laboratory (FPL): Madison, WI, USA, 2011; pp. 125–132. [Google Scholar]
- Blackburn, D.; Farrell, R.; Hamilton, M.; Volker, P.; Harwood, C.; Williams, D.; Potts, B. Genetic improvement for pulpwood and peeled veneer in Eucalyptus nitens. Can. J. For. Res. 2012, 42, 1724–1732. [Google Scholar] [CrossRef]
- Blackburn, D.P.; Hamilton, M.G.; Harwood, C.E.; Innes, T.C.; Potts, B.M.; Williams, D. Stiffness and checking of Eucalyptus nitens sawn boards: Genetic variation and potential for genetic improvement. Tree Genet. Genomes 2010, 6, 757–765. [Google Scholar] [CrossRef]
- Wardlaw, T. A climate analysis of the current and potential future Eucalyptus nitens and E. globulus plantation estate on Tasmanian State forest. Tasforests 2011, 19, 17–27. [Google Scholar]
- Mora, C.R.; Schimleck, L.R.; Isik, F.; Mahon, J.M., Jr.; Clark, A., III; Daniels, R.F. Relationships between acoustic variables and different measures of stiffness in standing Pinus taeda trees. Can. J. For. Res. 2009, 39, 1421–1429. [Google Scholar] [CrossRef]
- Farrell, R.; Innes, T.C.; Harwood, C.E. Sorting Eucalyptus nitens plantation logs using acoustic wave velocity. Aust. For. 2012, 75, 22–30. [Google Scholar] [CrossRef]
- Farrell, R.; Blum, S.; Williams, D.; Blackburn, D.; Chen, S. The Potential to Recover Higher Value Veneer Products from Fibre Managed Plantation Eucalypts and Broaded Market Opportunities for This Resource: Project No: PNB139–0809; Forest & Wood Products Australia: Melbourne, Victoria, Australia, 2011; pp. 1–75. [Google Scholar]
- McRae, T.A.; Pilbeam, D.J.; Powell, M.B.; Dutkowski, G.W.; Joyce, K.; Tier, B. Genetic evaluation in eucalypt breeding programs. In Proceedings of the IUFRO Conference – Eucalypts in a Changing World, Aveiro, Portugal, 2004; RAIZ Instituto de Investigacao da Floresta e Papel: Aveiro, Portugal; pp. 1–3.
- Dutkowski, G.W.; Potts, B.M.; Williams, D.R.; Kube, P.D.; McArthur, C. Geographic genetic variation in Central Victorian Eucalyptus nitens. In Proceedings of the Developing the Eucalypt of the Future, Valdivia, Chile, 10–15 September 2001; pp. 1–11.
- Hamilton, M.G.; Dutkowski, G.W.; Joyce, K.R.; Potts, B.M. Meta-analysis of racial variation in Eucalyptus nitens and E. denticulata. N. Z. J. For.Sci. 2011, 41, 217–230. [Google Scholar]
- Blackburn, D.P.; Hamilton, M.G.; Harwood, C.E.; Innes, T.C.; Potts, B.M.; Williams, D. Genetic variation in traits affecting sawn timber recovery in plantation grown Eucalyptus nitens. Ann. For. Sci. 2011, 68, 1187–1195. [Google Scholar] [CrossRef]
- Technical Association of the Pulp and Paper Industries. Basic Density and Moisture Content of Pulpwood, Reaffirmation ofT-258 om-02; TAPPI: Norcross, GA, USA, 1989; pp. 1–11. [Google Scholar]
- Hamilton, M.G.; Raymond, C.A.; Harwood, C.E.; Potts, B.M. Genetic variation in Eucalyptus nitens pulpwood and wood shrinkage traits. Tree Genet. Genomes 2009, 5, 307–316. [Google Scholar] [CrossRef]
- Gilmour, A.R.; Cullis, B.R.; Welham, S.J.; Thompson, R. ASREML 3.0.; VSN International Ltd.: Hemel Hamstead, UK, 2009; pp. 1–320. [Google Scholar]
- Griffin, A.R.; Cotterill, P.P. Genetic variation in growth of outcrossed, selfed and open-pollinated progenies of Eucalyptus regnans and some implications for breeding strategy. Silvae Genet. 1988, 37, 124–131. [Google Scholar]
- Lynch, M.; Walsh, B. Genetics and Analysis of Quantitative Traits; Sinauer Associates, Inc.: Sunderland, MA, USA, 1998; pp. 1–971. [Google Scholar]
- Self, S.G.; Liang, K.Y. Asymptotic properties of maximum likelihood estimators and likelihood ratio tests under nonstandard conditions. J. Am. Stat. Soc. 1987, 82, 605–610. [Google Scholar] [CrossRef]
- Wielinga, B.; Raymond, C.A.; James, R.; Matheson, A.C. Genetic parameters and genotype by environment interactions for green and basic density and stiffness of Pinus radiata D. don estimated using acoustics. Silvae Genet. 2009, 58, 112–122. [Google Scholar]
- Wang, X. Acoustic measurements on trees and logs: A review and analysis. Wood Sci. Technol. 2013, 47, 965–975. [Google Scholar] [CrossRef]
- Medhurst, J.; Downes, G.; Ottenschlaeger, M.; Harwood, C.; Evans, R.; Beadle, C. Intra-specific competition and radial development of wood density, microfibril angle and modulus of elasticity in plantation-grown Eucalyptus nitens. Trees 2012, 26, 1771–1780. [Google Scholar] [CrossRef]
- Chauhan, S.S.; Walker, J.C.F. Relationships between longitudinal growth strain and some wood properties in Eucalyptus nitens. Aust. For. 2004, 67, 254–260. [Google Scholar] [CrossRef]
- McKinley, R.; Ball, R.; Downes, G.; Fife, D.; Gritton, D.; Ilic, J.; Koehler, A.; Morrow, A.; Pongracic, S.; Roper, J. Resource Evaluation for Future Profit: Part. A—Wood Property Survey of the Green Triangle Region, Project No. PN03.3906; Forest and Wood Products Research and Development Corporation: Melbourne, Victoria, Australia, 2004; pp. 1–75. [Google Scholar]
- Evans, R.; Ilic, J. Rapid prediction of wood stiffness from microfibril angle and density. For. Prod. J. 2001, 51, 1–6. [Google Scholar]
- Hamilton, M.G.; Greaves, B.L.; Potts, B.M.; Dutkowski, G.W. Patterns of longitudinal within-tree variation in pulpwood and solidwood traits differ among Eucalyptus globulus genotypes. Ann. For. Sci. 2007, 64, 831–837. [Google Scholar] [CrossRef]
- Raymond, C.; Henson, M.; Pellietier, M.C.; Boyton, S.; Joe, B.; Thomas, D.; Smith, H.; Vanclay, J. Improving Dimensional Stability in Plantation-Grown Eucalyptus piluaris and E. dunnii Project Number PN06.3017; Forest and Wood Products Australia: Melbourne, Victoria, Australia, 2008; pp. 1–65. [Google Scholar]
- Matheson, A.C.; Gapare, W.J.; Ilic, J.; Wu, H.X. Inheritance and genetic gain in wood stiffnes in radiata pine assessed acoustically in standing trees. Silvae Genet. 2008, 57, 56–64. [Google Scholar]
- Kumar, S.; Jayawickrama, K.J.S.; Lee, J.; Lausberg, M. Direct and indirect measures of stiffness and strength show high heritability in a wind-pollinated radiata pine progeny test in New Zealand. Silvae Genet. 2002, 51, 256–260. [Google Scholar]
- Kumar, S.; Dungey, H.S.; Matheson, A.C. Genetic parameters and strategies for genetic improvement of stiffness in radiata pine. Silvae Genet. 2006, 55, 77–84. [Google Scholar]
- Kumar, S. Genetic parameter estimates for wood stiffness, strength, internal checking, and resin bleeding for radiata pine. Can. J. For. Res. 2004, 34, 2601–2610. [Google Scholar] [CrossRef]
- Dickson, R.L.; Raymond, C.A.; Joe, W.; Wilkinson, C.A. Segregation of Eucalyptus dunnii logs using acoustics. For. Ecol. Manag. 2003, 179, 243–251. [Google Scholar] [CrossRef]
- Rodriguez, R.; Real, P.; Espinosa, M.; Perry, D. A process-based model to evaluate site quality for Eucalyptus nitens in the Bio-Bio Region of Chile. Forestry 2009, 82, 149–162. [Google Scholar] [CrossRef]
- Isik, F.; Mora, C.R.; Schimleck, L.R. Genetic variation in Pinus taeda wood properties predicted using non-destructive techniques. Ann. For. Sci. 2011, 68, 283–293. [Google Scholar] [CrossRef]
© 2014 by the authors; licensee MDPI, Basel, Switzerland. This article is an open access article distributed under the terms and conditions of the Creative Commons Attribution license (http://creativecommons.org/licenses/by/3.0/).
Share and Cite
Blackburn, D.; Hamilton, M.; Williams, D.; Harwood, C.; Potts, B. Acoustic Wave Velocity as a Selection Trait in Eucalyptus nitens. Forests 2014, 5, 744-762. https://doi.org/10.3390/f5040744
Blackburn D, Hamilton M, Williams D, Harwood C, Potts B. Acoustic Wave Velocity as a Selection Trait in Eucalyptus nitens. Forests. 2014; 5(4):744-762. https://doi.org/10.3390/f5040744
Chicago/Turabian StyleBlackburn, David, Matthew Hamilton, Dean Williams, Chris Harwood, and Brad Potts. 2014. "Acoustic Wave Velocity as a Selection Trait in Eucalyptus nitens" Forests 5, no. 4: 744-762. https://doi.org/10.3390/f5040744
APA StyleBlackburn, D., Hamilton, M., Williams, D., Harwood, C., & Potts, B. (2014). Acoustic Wave Velocity as a Selection Trait in Eucalyptus nitens. Forests, 5(4), 744-762. https://doi.org/10.3390/f5040744

