Abstract
Combining national forest inventory (NFI) data with digital site maps of high resolution enables spatially explicit predictions of site productivity. The aim of this study is to explore the possibilities and limitations of this database to analyze the environmental dependency of height-growth of Norway spruce and to predict site index (SI) on a scale that is relevant for local forest management. The study region is the German federal state of Bavaria. The exploratory methods comprise significance tests and hypervolume-analysis. SI is modeled with a Generalized Additive Model (GAM). In a second step the residuals are modeled using Boosted Regression Trees (BRT). The interaction between temperature regime and water supply strongly determined height growth. At sites with very similar temperature regime and water supply, greater heights were reached if the depth gradient of base saturation was favorable. Statistical model criteria (Double Penalty Selection, AIC) preferred composite variables for water supply and the supply of basic cations. The ability to predict SI on a local scale was limited due to the difficulty to integrate soil variables into the model.
1. Introduction
The increasing availability of spatially explicit data created by modern techniques like remote sensing or digital soil mapping enables the development of tools for forest management that promise high local precision. Combining digital site maps with traditional forest inventory data gives valuable insights into the relationship between site conditions and growth potential, a relationship which has often been investigated [1,2,3,4]. Many studies ([5], overview in [6]) are based on the data of experimental plots which have the advantage of long time series but sometimes only partly represent the environmental gradient. NFI data have the advantage of high spatial representation and can thus complement data of experimental plots [7]. They can be viewed as an experimental design that covers a wide variety of combinations of environmental variables. This makes NFI data suitable for forest growth investigation despite its short time series and age errors [8]. Using environmental variables to predict SI permits creating maps of current site productivity and predicting site productivity under changing environmental conditions. The aim of the study was predicting site productivity of spruce stands by combining NFI data with spatially explicit digital site maps on a scale that is relevant for local forest management. Thus, we focused on the regional differentiation of SI in Bavaria and not on explaining SI in the distribution of Norway spruce in entire Germany. In contrast to geographically extensive studies (e.g., [2,9]), the climatic gradient is smaller and the correlation of temperature, precipitation and elevation is higher. This minimizes the explanatory power of climatic variables, and soil variables that are difficult to capture become more influential. Nevertheless, Bavaria encompasses a distinct climatic gradient and a wide range of site characteristics. We investigated if the quality and high resolution of digital soil maps, together with the climatic data, allows creating maps of SI that can be integrated in the Bavarian Forest Information System (BayWIS) and used in forestry consulting. German NFI data—sometimes combined with data of experimental plots—and regionalized environmental variables have already been used to estimate SI (e.g., [1,10]), but with less differentiated soil information.
We elaborated the possibilities and limitations of NFI data and spatially explicit environmental data to analyze the dependencies of site productivity. Height at a given age served as indicator for site productivity. We focused on height as it is less affected by management than diameter at breast height (dbh), and most suitable to elaborate the effect of environmental conditions on growth [11]. Exploratory analysis helped improving the understanding of the relationship between SI and environmental variables and contributed to checking the plausibility of the statistical model. It facilitated interpreting the results of the model and understanding its limitations.
2. Methods
2.1. Study Area
Study area is the German federal state Bavaria (Figure 1) in the south-east of Germany. In forest practice, Bavaria is divided into 15 different eco-regions with varying site conditions. Geology comprises crystalline basement rocks, volcanic rocks, different triassic sedimentary rocks, limestones, tertiary molasse to quaternary fluvial, glacial, and aeolian deposits. This leads to a rich diversity in soil types. The climate varies from subatlantic lowlands at the Main river in north-west Bavaria (mean annual temperature 8.5 °C, annual precipitation sum 750 mm) to the alpine in southern Bavaria (mean annual temperature <5.5 °C, annual precipitation sum >1500 mm).
Figure 1.
Map of the study area; national forest inventory (NFI) plots used in the SI-model are marked with blue dots, the remaining NFI plots containing spruces are marked with grey dots; eco-regions mentioned in the text are labeled.
Figure 1.
Map of the study area; national forest inventory (NFI) plots used in the SI-model are marked with blue dots, the remaining NFI plots containing spruces are marked with grey dots; eco-regions mentioned in the text are labeled.

2.2. Data
2.2.1. National Forest Inventory Data
NFI in Germany is based on a permanent nationwide 4 km × 4 km grid. Each grid point in forest area is the center of an angle-count sampling and sample circles with defined radii [12].
We concentrated our study on data of the third NFI (2012) for the federal state of Bavaria, because for this state harmonized high-quality site information was available. The investigated tree species was Norway spruce, as this species is the most common in Bavaria with a coverage percentage of 44.5% based on the forest area. Furthermore, the species’ distribution encompasses an environmental gradient with growth limits at the cold and warm edge. Table 1 characterizes the NFI 3 dataset used in this study. Only dominant trees of the Kraft tree classes 1 and 2 were included in the analysis, as these trees are less affected by light competition and their heights at a given age reflect environmental conditions better than the heights of intermediate or overtopped trees [13]. The dataset was reduced to spruces with an age between 30 and 150 years (5318 spruces with measured heights on 3252 sample plots) (Figure 1).
For model fitting, the Alps were excluded from the dataset, because for this region large errors of height measurements occur and the estimation of age is much more insecure. Furthermore, extreme environmental conditions in the Alps bias the model, as long as not all variables relevant for growth are captured in the model, and lead to implausible predictions for the rest of Bavaria. This way, 1002 spruce plots remained.
Table 1.
Characteristics of dominant spruces with height measurements in the NFI 3.
| Variable | Unit | Min | Max | Mean | SD |
|---|---|---|---|---|---|
| dbh | cm | 7.8 | 114.6 | 41.2 | 13.2 |
| height | m | 5.1 | 48.2 | 28.5 | 6.1 |
| age | year | 30 | 150 | 81 | 31 |
2.1.2. Environmental Data
We assigned environmental data (Table 2) from three different sources to all NFI plots. Terrain data from a digital elevation model (DEM) with a grid width of 50 m were provided by the Bavarian Survey and Geoinformation Agency (LVG). Climate data of the weather stations of Germany’s National Meteorological Service (DWD) were regionalized with regression methods to a 50 m grid covering the whole of Bavaria [14,15]. Monthly means of temperature and precipitation were calculated for the period 1971–2000. Soil data were taken from a digital site information system developed at the Bavarian State Institute of Forestry [16]. Basic principle is the use of digital soil maps of the Bavarian Environmental Agency (LfU) with a scale of 1:25,000. Data gaps were filled with the help of digital soil mapping. Complex soil units were split according to relief position [17]. Thus, a finer scale of the map was derived. Soil physical and chemical properties came from reference soil profiles that were assigned to the soil units according to substrate and soil types. Chemical and physical soil properties were calculated for a depth of 1 m. Properties of different profiles within one soil unit were averaged.
Table 2.
Characterization of the environmental variables for Norway spruce plots.
| Type | Parameter | Abbreviation | Unit | Min | Max | Mean | SD |
|---|---|---|---|---|---|---|---|
| Climate | Average temperature during growing season from May to September | T_5to9 | °C | 8.7 | 16.3 | 14.1 | 1.4 |
| Precipitation sum during growing season from May to September | P_5to9 | mm | 249 | 1307 | 524 | 213 | |
| Growing degree days (threshold: 5 °C) | GDD5 | °C | 541 | 1948 | 1492 | 260 | |
| Soil | Available water capacity | AWC | mm | 5 | 284 | 135 | 41 |
| Depth gradient of base saturation | DGBS | Categorical variable (Table 3) | |||||
| Pool of exchangeable calcium | Ca | kmol/ha | 0.0 | 4771.0 | 479.2 | 565.1 | |
| Pool of exchangeable potassium | K | kmol/ha | 0.1 | 108.2 | 15.7 | 14.4 | |
| Pool of exchangeable magnesium | Mg | kmol/ha | 0.3 | 2374.0 | 166.1 | 221.9 | |
| Base saturation | BS | % | 2 | 100 | 49 | 33 | |
| Base saturation of the first 30 cm | BS_30 | % | 2 | 100 | 35 | 34 | |
| Pool of nitrogen | N | t/ha | 0.2 | 39.5 | 6.3 | 4.4 | |
| Nitrogen deposition (average of NOy + NHx from 2004 until 2007) | N_dep | eq·ha−1·year−1 | 1225 | 2748 | 1927 | 241 | |
| Clay content | clay | % | 2 | 77 | 20 | 10 | |
| Silt content | silt | % | 4 | 88 | 37 | 14 | |
| Sand content | sand | % | 1 | 94 | 43 | 21 | |
| Relief | Soil moisture index [18] | SMI | 0.27 | 0.61 | 0.49 | 0.04 | |
| Mass balance index [19] | MBI | −2.87 | 2.70 | 0.07 | 0.82 | ||
| Climate and soil | Water balance during growing season (Precipitation – evapotranspiration + AWC) | WB | mm | −108 | 1169 | 282 | 257 |
Table 3.
Definition of depth gradient of base saturation and number of spruce plots for each type.
| DGBS-Type | Definition | Number of Plots |
|---|---|---|
| 11 | BS > 80% in the whole profile with high stocks of Ca, Mg and K, no soil acidification | 154 |
| 12 | BS > 80% in the whole profile with high stocks of Ca and Mg and low stocks of K (<400 kg ha−1), no soil acidification | 381 |
| 2 | high BS with high stocks of Ca, Mg and K, slight acidification in the top soil | 903 |
| 3 | medium BS with medium stocks of Ca, Mg and K, stronger acidification in the top soil | 888 |
| 4 | low BS with low stocks of Ca, Mg and K, deep soil acidification, increase of BS > 20% not until 1 m depth | 628 |
| 5 | low BS (<20%), low stocks of Ca, Mg and K, deep soil acidification | 298 |
2.3. Exploratory Data Analysis
We explored which variables have a decisive influence on height growth and how these variables are best integrated into the model. The exploratory analysis was based on biological hypotheses: (i) the large-scale pattern of height growth of spruce stands is mainly shaped by temperature and water supply, (ii) in addition, height growth is regionally improved if the supply of basic cations is balanced, (iii) statistical height models can be improved by considering interactions of environmental variables. The exploration of the database served as justification and the variable selection as basis for a statistical SI-model.
2.3.1. Quantile Regression
In order to be able to compare trees of varying ages their heights have to be scaled. This is necessary because usually there were too few trees of similar age at the investigated sites. A 95%-quantile regression was applied to a function describing height as a fourth order polynomial of age with α = −4.4985, β1 = 1.2841, β2 = −0.0156, β3 = 0.0001 and β4 = 0.0000 (Equation (1)).
The result is interpreted as the maximum height that can be reached at a certain age if environmental conditions are not limiting. Then, each tree’s height was divided by the predicted value of the 95%-quantile regression for its age. The resulting value, hereafter called scaled height, can be interpreted as the percentage of the maximum height a tree can reach. Under favorable environmental conditions, a tree will reach a greater percentage than under unfavorable conditions. In order to have a safer basis for the analysis and not to give outliers too much influence a 95%-quantile regression was used instead of simply drawing an envelope curve. This means that some trees have a scaled height greater than 100%, which, however, does not impair comparisons. Additionally, the scaled height has the advantage that we can compare the height of each tree with a reference of the same age. Thus, we avoid mixing a time effect with site effects as described e.g., by [20]. The concept of scaled height was applied only in exploratory data analysis.
2.3.2. Significance Tests
We grouped environmental variables according to the quartiles of scaled height distribution and tested for significant differences between the groups using Kruskal Wallis and Pairwise Wilcoxon Rank Sum Tests (significance level p = 0.05), as the data were not normally distributed.
2.3.3. Hypervolumes
N-dimensional hypervolumes define species niches using n environmental variables. It is possible to measure hypervolumes by multidimensional kernel density estimates and thus compare the hypervolumes of different species [21]. We applied this concept to growth data by selecting the 10% of plots with lowest heights and the 10% of plots with greatest heights and interpreting them as two different species. We aimed at separating highest and lowest growth in the best possible way. The pool of potential environmental variables consisted of T_5to9, P_5to9, AWC, WB, BS_30, Ca, K, Mg, clay, silt and sand (see Table 2). If two environmental variables were highly correlated only one of them was chosen. Criteria for the selection of the environmental variables were (i) to minimize the percentage of intersection of the two hypervolumes; (ii) to maximize the percentage of the hypervolume, where only highest growth occurs on the hypervolume of highest growth and (iii) to maximize the percentage of the hypervolume, where only lowest growth occurs on the hypervolume of lowest growth.
In order to compare how big the environmental space is where lowest or highest growth can occur we calculated the percentage of the hypervolumes of plots with lowest growth and with highest growth on the hypervolume of all spruce plots in Bavaria.
2.4. Statistical SI-Model
We modelled height in dependence on age, the environmental influences and the basal area of all trees which are included in the angle-count sampling with factor 1 (BAACS1) as density measure using a generalized additive model (GAM). Variable selection was done in three steps. In the first step, double penalty selection was performed on the smooth terms [22]. In the second step, AIC backwards selection was done for the parametric terms. AIC (Akaike Information Criterion) is a measure of the relative quality of a statistical model for a given data set. It rewards goodness of fit and penalizes complexity. The third criterion was the ecological plausibility of the partial effects of the smooth terms. Beforehand different modeling approaches had been compared by 10-fold cross validation and calculation of the relative root mean square prediction error (RMSPE). To predict SI age was set to 100 years and the density measure was fixed at an intermediate value.
Finally, BRT were applied on the scaled residuals of the SI-model to allow for regionally complex interactions between the soil variables. BRT are a suitable tool for modeling residuals as they take interactions into account and can detect patterns that are otherwise undiscovered [23]. The chosen model setting included a gaussian distribution, a learning rate of 0.001, a maximum number of trees of 20,000 and a tree complexity of four.
2.5. Software
All analyses were done in R (version 3.0.1) using the libraries cvTools, gbm, hypervolume, mgcv and quantreg and the method for BRT provided by [24].
3. Results
3.1. Exploratory Data Analysis
3.1.1. Exploring the Environmental Space
Highest and lowest growth could be separated best by 6-dimensional hypervolumes defined by T_5to9, WB, Ca, K, Mg and clay content which differentiated stronger than 2-dimensional water supply and temperature only hypervolumes. This is expressed by a smaller intersection and higher percentages of only highest and only lowest growth (Table 4).
Table 4.
Separation of plots with highest and lowest growth using hypervolumes constructed by different combinations of environmental variables.
| Criteria for Separation of Highest and Lowest Growth | Hypervolume Constituted by | ||
|---|---|---|---|
| T_5to9, WB | T_5to9, WB, Ca, K, Mg, clay | ||
| Percentage of | intersection of the hypervolumes of highest and lowest growth | 51 | 15 |
| only highest growth on the hypervolume of highest growth | 5 | 19 | |
| only lowest growth on the hypervolume of lowest growth | 48 | 85 | |
| highest growth on the Bavarian hypervolume | 48 | 7 | |
| lowest growth on the Bavarian hypervolume | 86 | 38 | |
3.1.2. Effect of Temperature and Water Supply on Height Growth
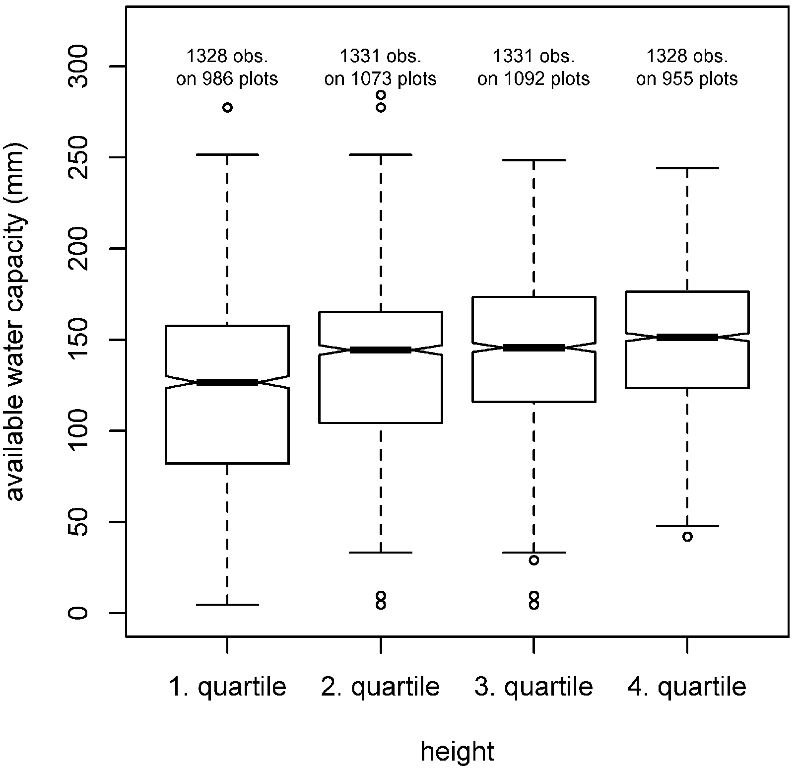
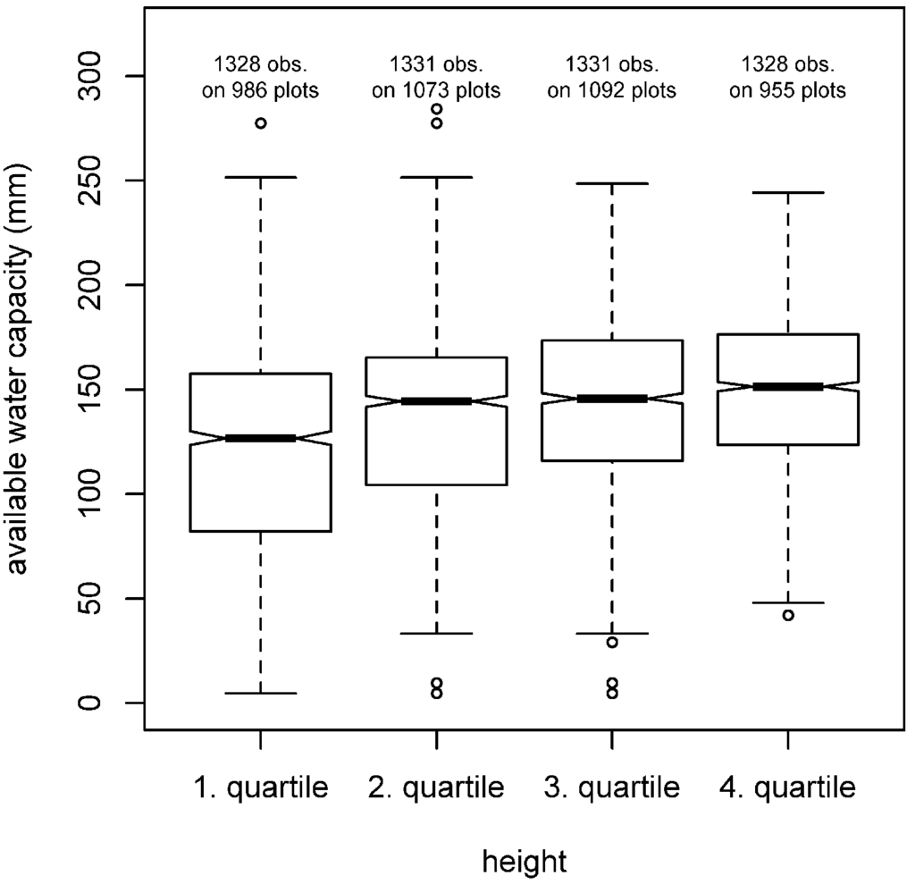
Temperature during growing season has a positive effect on height growth and can act as a limiting factor as greatest heights cannot be reached where temperature during growing season is low (Figure 2). Growth of Norway spruce is improved by a better water supply. AWC can be a limiting factor, as greatest heights cannot be reached when AWC is below a threshold of approximately 50 mm (Figure 3). There is a trend to greater heights with increasing precipitation if the Alps are eliminated from the data. Precipitation is strongly negatively correlated with temperature. In the Alps precipitation is higher, but temperature regime limits growth at higher elevations. Heights in the fourth quartile are still reached when precipitation during growing season is low. However, only 122 of 857 plots in the warm and dry (T_5to9 ≥ 3. quartile and WB ≤ 1. quartile) regions of Bavaria contain spruces. Spruce plots there are characterized by significantly higher AWC, precipitation and WB and lower temperature during growing season than the plots without spruce. The mixture proportion of spruce in plots of warm and dry regions with a mean of 55% is significantly lower than in the remaining Bavarian spruce plots with a mean of 70%.
Figure 2.
Boxplot of temperature during growing season for the quartiles of scaled height distribution; mean temperature during growing season for the fourth quartile is significantly higher than for the first and second quartile.
Figure 2.
Boxplot of temperature during growing season for the quartiles of scaled height distribution; mean temperature during growing season for the fourth quartile is significantly higher than for the first and second quartile.

Figure 3.
Boxplot of AWC for the quartiles of scaled height distribution; differences in means are significant.
Figure 3.
Boxplot of AWC for the quartiles of scaled height distribution; differences in means are significant.

The impact of the interaction between temperature and water supply on spruce growth can be visualized by comparing the densities of the 10% of plots with lowest and the 10% of plots with greatest heights (Figure 4). A particular combination of high temperatures and good water supply favors best growth. Both water supply and temperature can limit height growth. Figure 4 also illustrates that a great part of the data is concentrated in a rather small region, which explains why not only the kernel density of best growth but also the kernel density of lowest growth is high (≥0.1) at these points.
Figure 4.
Green lines show the kernel densities of the hypervolumes where highest growth (best 10%) occurs, red lines show the kernel densities of the hypervolumes where lowest growth (worst 10%) occurs in a 2-dimensional projection (WB and T_5to9); in the background a smooth scatter of all spruce plots is plotted.
Figure 4.
Green lines show the kernel densities of the hypervolumes where highest growth (best 10%) occurs, red lines show the kernel densities of the hypervolumes where lowest growth (worst 10%) occurs in a 2-dimensional projection (WB and T_5to9); in the background a smooth scatter of all spruce plots is plotted.

3.1.3. Additional Modifying Effect of Nutrients
On Bavarian scale, it is difficult to identify a clear effect of soil nutrients on tree height. There is an—albeit weak—effect of soil K on height growth. Mean stock of soil K is significantly higher for the fourth quartile (highest growth) of the height distribution than for the first and second quartile and mean content of soil K for the third quartile (second highest growth) is still significantly higher than for the first quartile (lowest growth).
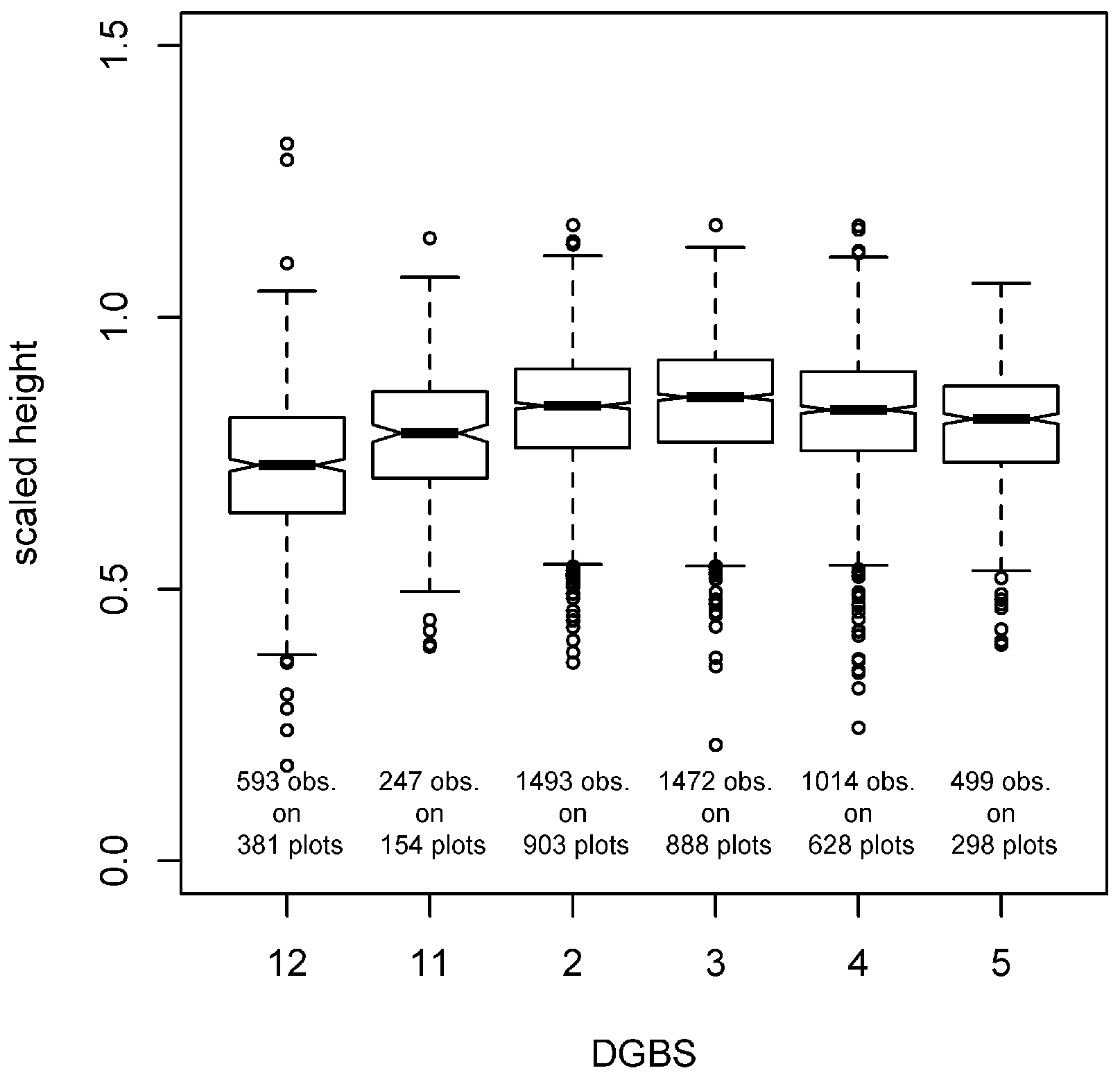
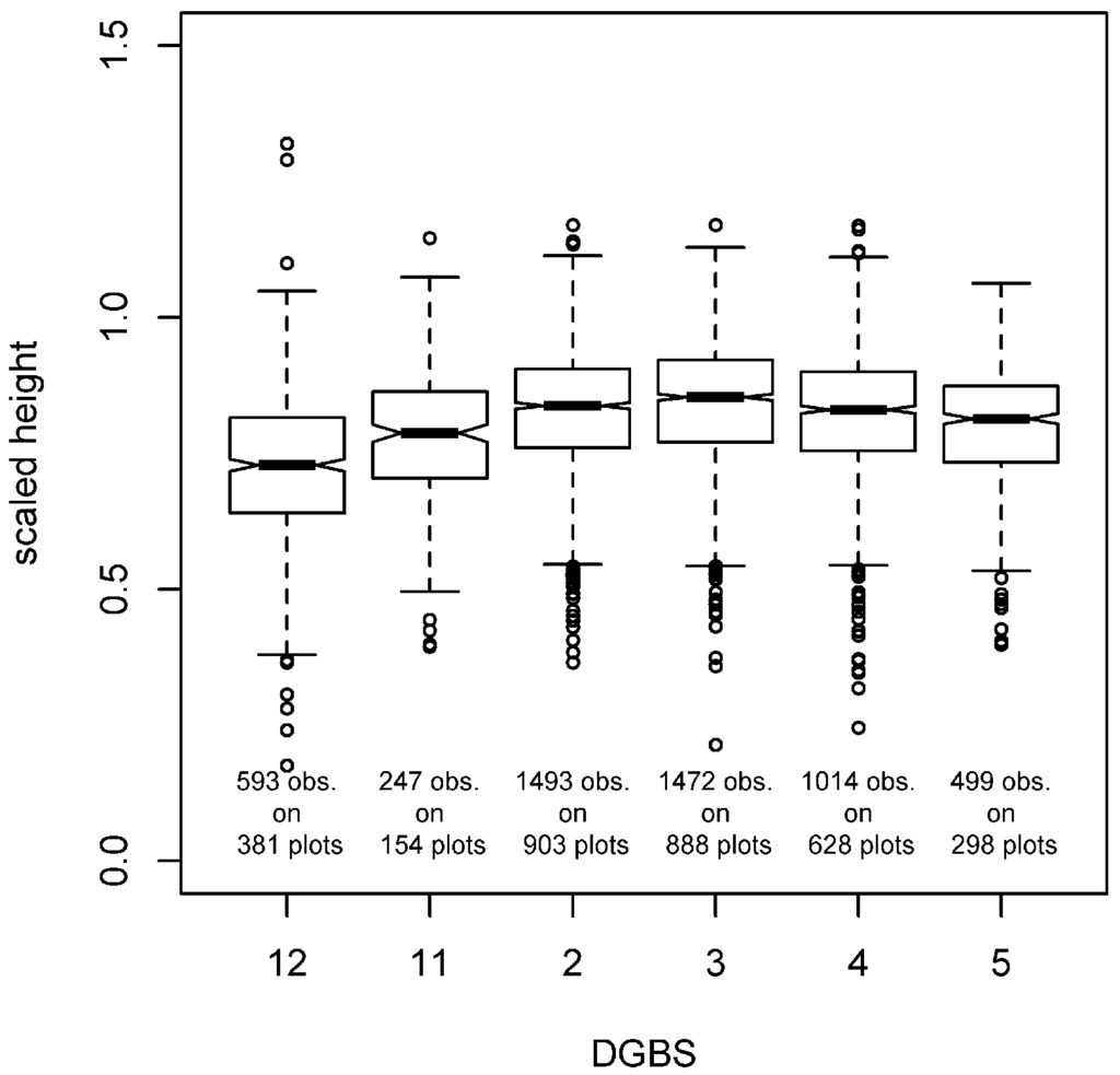
The distributions of scaled heights for the DGBS-types are coherent and the medians follow an optimum curve (Figure 5).
Figure 5.
Boxplots of scaled heights for the DGBS-types.
Figure 5.
Boxplots of scaled heights for the DGBS-types.

It has to be noted though that in Bavaria DGBS-type 1 often coincides with an unfavorable temperature regime or scarce water supply and DGBS-type 5 with low temperatures. Thus, the effects are mixed with climatic effects.
In order to detect a limiting effect of soil nutrients, regions where temperature regime and water supply are not likely to limit growth have to be chosen. However, in these climatically favored regions (T_5to9 ≥ median and WB ≥ median) nutrient supply is good: K-, Mg- and N-stock is significantly higher on spruce plots in these favored regions than in the remaining spruce plots. Furthermore, only 33 of 751 plots there have the unfavorable DGBS-type 12 and only two plots the unfavorable DGBS-type 5. Therefore, soil nutritional factors do not seem to be limiting and no significant trends can be detected by comparing them for the quartiles of height distribution. However, scaled heights for the DGBS-type 12 are significantly lower than scaled heights for the DGBS-types 11, 2, 3 and 4, whereas temperature does not differ significantly and water supply is even significantly better on the plots with the DGBS-type 12.
A limiting effect of N on tree growth cannot be detected by comparisons of means. Best growth is possible over the whole range of N-stocks.
According to [25], nutrient supply has a crucial influence on tree growth in the Alps. They identified N and P as the main limiting nutrients. To support this hypothesis sites with different geological and soil properties but no significant differences in elevation, temperature and precipitation during growing season were chosen and their scaled heights compared. These are significantly higher at flysch-sites (northern fringe of the Alps predominated by sandstone, mudstone and marl) with an average of 0.82 compared to calcareous sites with an average of 0.69.
3.2. SI-Model
The selected main model can be described with:
The interaction between temperature regime and water supply has the strongest environmental effect on height (Table 5). T_5to9 was replaced by GDD5 as the later yielded slightly better results. High BS has a negative effect on height (Figure 5).
Table 5.
Detailed summary of the main model (GAM).
| Variable | Estimate | Standard Error | T-Statistic | p-Value |
|---|---|---|---|---|
| Intercept | 27.092 | 0.151 | 178.800 | 2 × 10−16 |
| BAACS1 | 0.04099 | 0.003 | 11.750 | 2 × 10−16 |
| edf | df residuals | F-statistic | p-Value | |
| f(age) | 7.655 | 8.503 | 839.360 | 2 × 10−16 |
| f(BS) | 3.379 | 4.148 | 20.880 | 2 × 10−16 |
| f(MBI) | 5.034 | 6.170 | 22.340 | 2 × 10−16 |
| f(SMI) | 3.543 | 4.446 | 5.410 | 1.48 × 10−4 |
| f(WB,GDD5) | 9.687 | 11.028 | 33.280 | 2 × 10−16 |
| Adjusted R2 | 0.652 | |||
| Relative RMSPE (crossvalidation) | 0.976 |
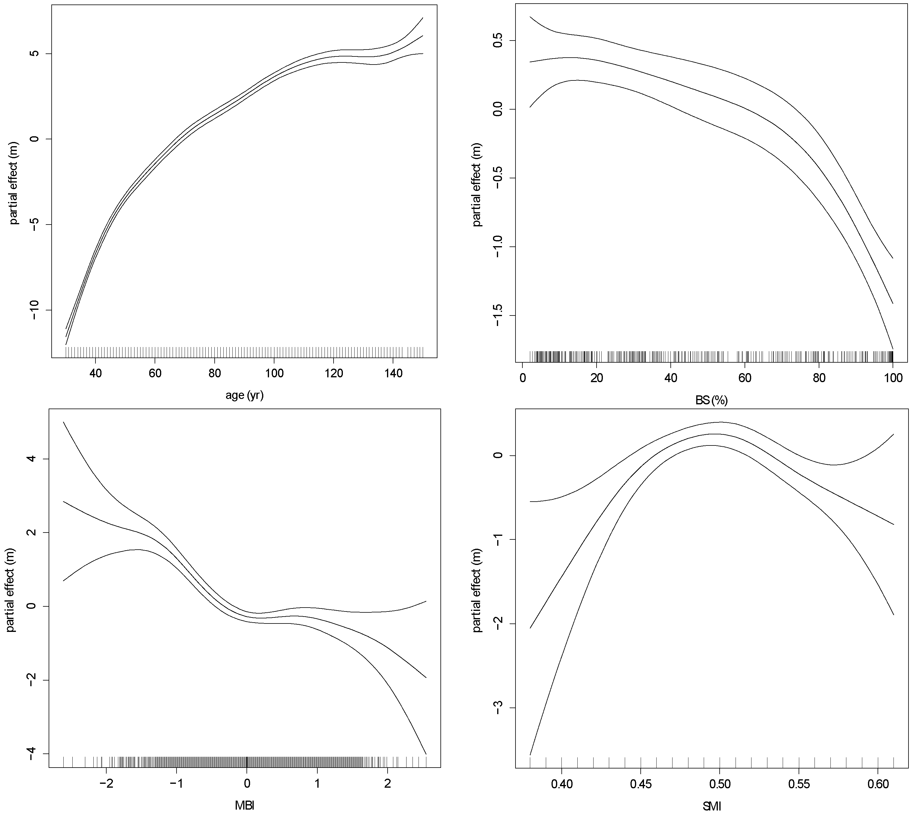
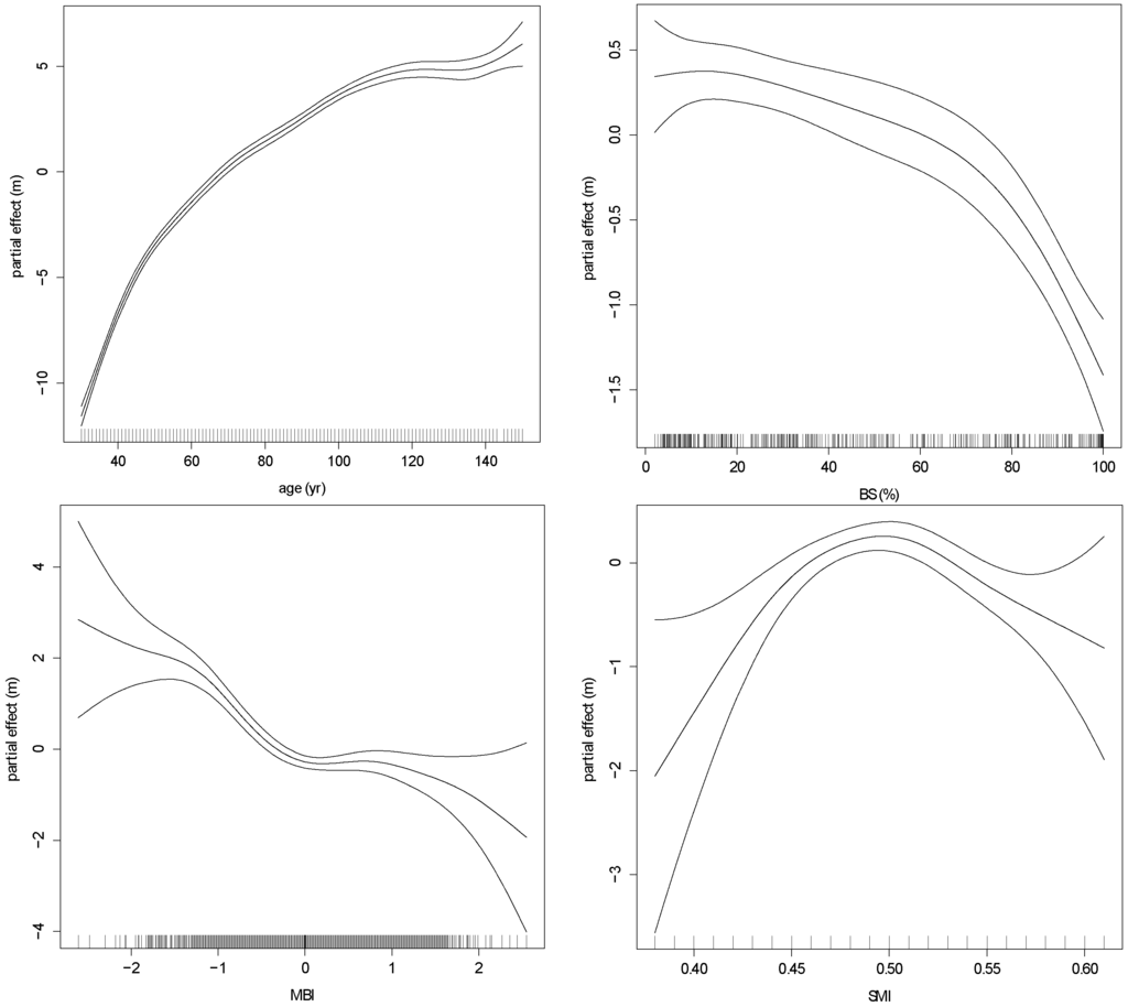
By including BS into the model the effect of temperature and water supply becomes apparent more clearly and the surface of the interaction effect becomes smoother (Figure 6). A negative influence of very low BS on growth, which would be ecologically plausible, is too weak to be modeled in a GAM probably due to the small sample of plots with extremely low BS. The inventory method angle-count sampling makes it difficult to calculate indices for stand density or competition. The best proxy appeared to be the basal area of trees included in the angle-count sampling with factor 1 as it is the most comprehensive sample of the site. Stand density has a positive effect on height. The model can be improved by including the relief parameters MBI and SMI resulting in an optimum curve for SMI and higher growth for lower slopes and valley areas (MBI < 0) and lower growth for upper slopes and crests (MBI > 0) (Figure 7). Variable selection by statistical model criteria prefers composite variables to single predictors, like WB to AWC and precipitation and BS to K and Mg.
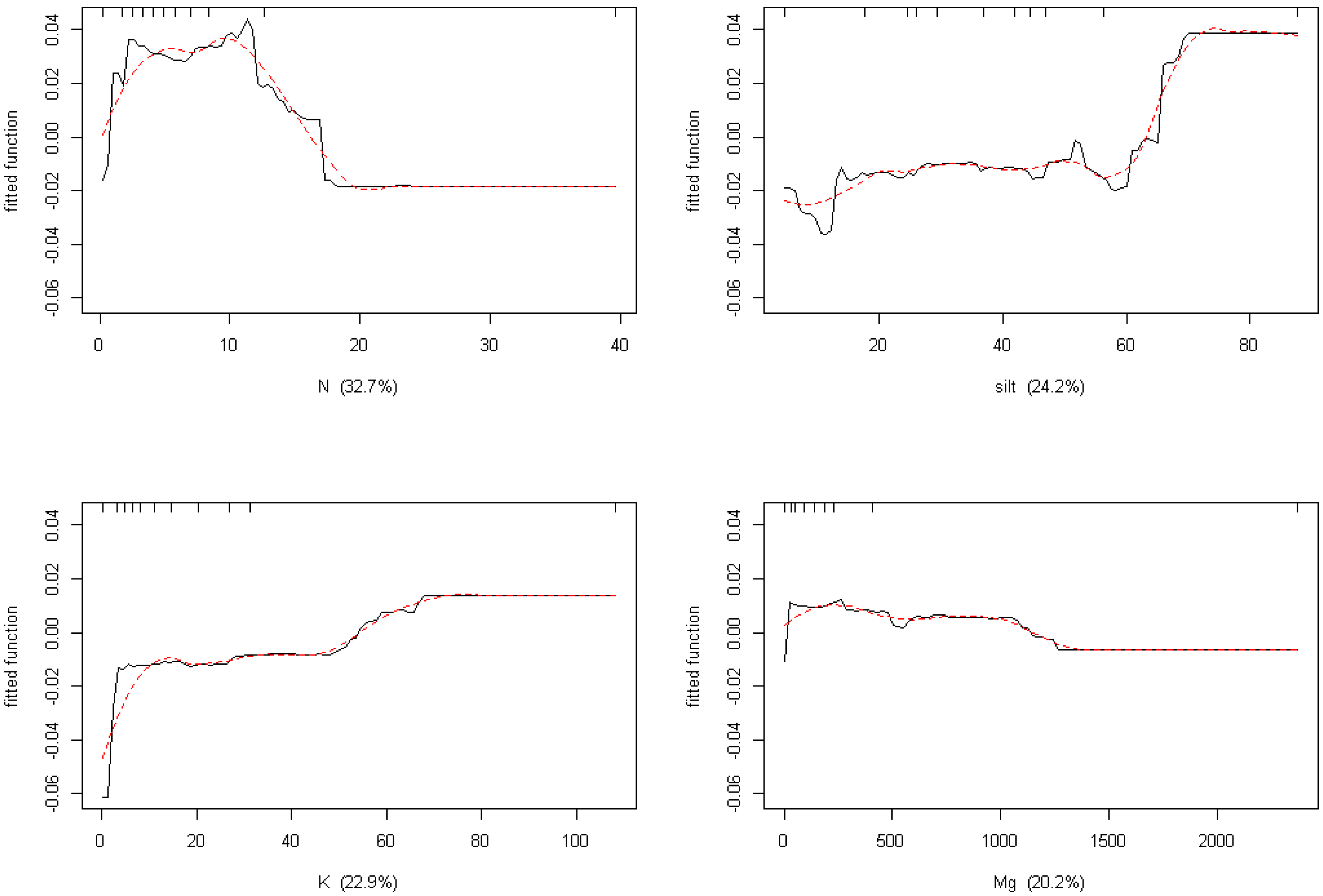
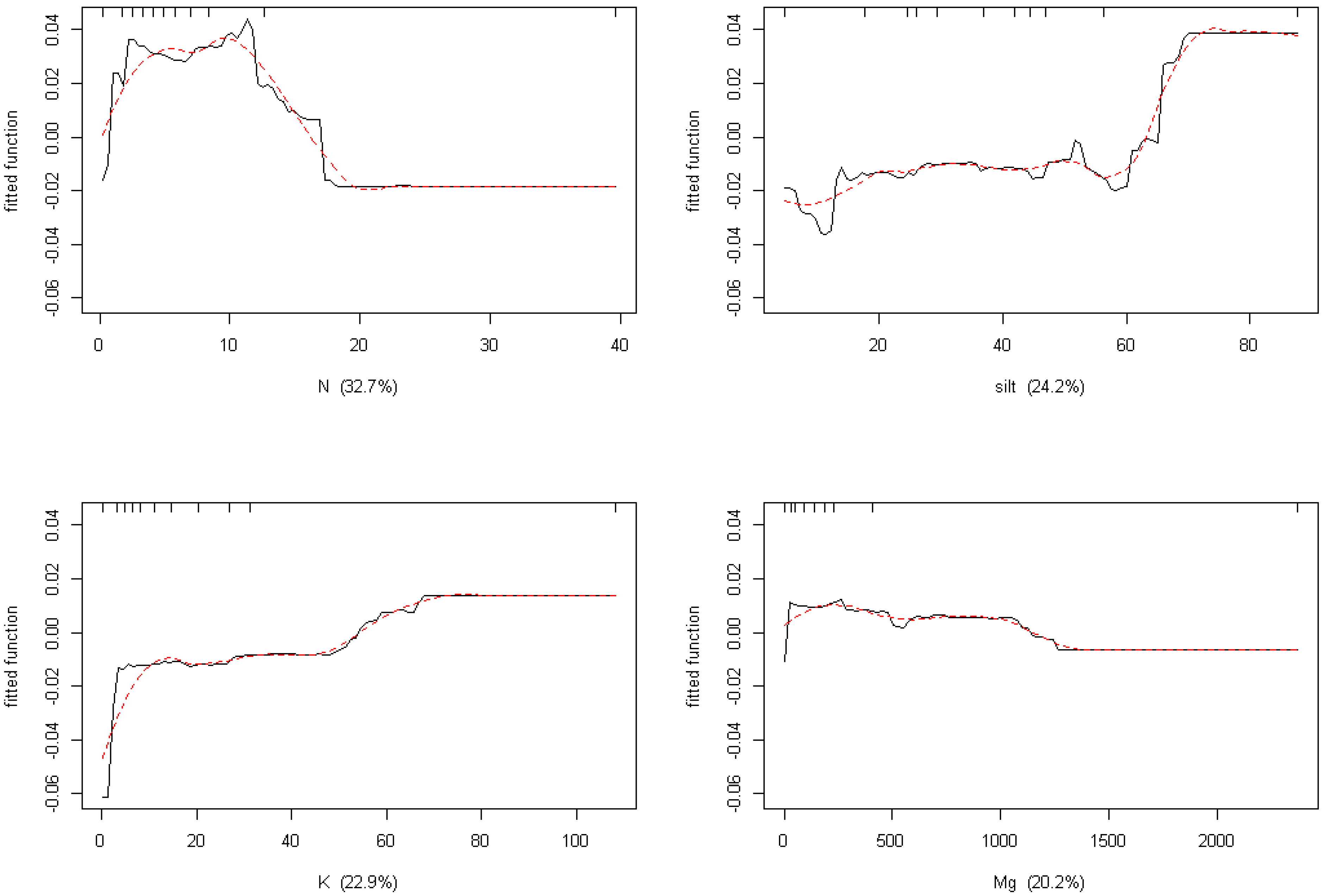
The residuals of the main model were modeled in dependence of the soil variables N, silt, K and Mg using BRT (Figure 8). Choosing these variables to characterize soil nutrient status resulted in ecologically plausible smoothed response curves. Most important predictor is N, but silt, K and Mg are important predictors as well and lie in a similar range. The correlation coefficient between calculated and predicted residuals is 0.25.
Adding the predicted residuals to the site indices predicted by the main model (GAM) increases the R2 to 0.675. The final SI-model is used to generate a SI-map for Bavaria (Figure 9). Highest growth can be expected in the southern part especially in the west of the tertiary hill country (Swabia) and in the Spessart in the northwest. In contrast the eco-regions “Fränkische Platte” and “Frankenalb” and the northeastern part of Bavaria are not very favorable for spruce growth.
Figure 6.
Partial effects of the tensor product (in m) of the interaction between WB and GDD5 on height of Norway spruce.
Figure 6.
Partial effects of the tensor product (in m) of the interaction between WB and GDD5 on height of Norway spruce.

Figure 7.
Partial effects of age, BS, MBI and SMI on height of Norway spruce. Dashed lines comprise 95% pointwise prognosis intervals; a rug plot shows the distribution of the covariate.
Figure 7.
Partial effects of age, BS, MBI and SMI on height of Norway spruce. Dashed lines comprise 95% pointwise prognosis intervals; a rug plot shows the distribution of the covariate.

Figure 8.
BRT-model of the residuals: effects of N, silt, K and Mg variables on the residuals of the main model (response); the red lines are smoothed response curves; the percentages correspond to the relative importance of the variable.
Figure 8.
BRT-model of the residuals: effects of N, silt, K and Mg variables on the residuals of the main model (response); the red lines are smoothed response curves; the percentages correspond to the relative importance of the variable.

Figure 9.
Modeled SI for Bavaria (Alps are excluded).
Figure 9.
Modeled SI for Bavaria (Alps are excluded).

4. Discussion
4.1. Confirmation of the Ecological Hypotheses
4.1.1. Large-Scale Pattern of Tree Growth in Bavaria
On a Bavarian scale growth patterns are mainly shaped by temperature and water supply [26]. Exploratory data analysis using BRT identifies temperature during growing season and water supply as the most important environmental variables explaining height. The densities of plots with highest and lowest growth show, that highest growth is more likely in regions with warm temperatures and sufficient water supply, whereas in regions with a shortage of one of these factors lower growth rates can be expected. In the Alps, but also at high elevations in the Bavarian forest or the Fichtelgebirge, growth is limited by both temperature during growing season and the length of growing season. Sufficient water supply is essential for the growth of Norway spruce and often acts as limiting factor in regions, where temperature is not restricting. As great heights are still possible when precipitation during growing season is low, in Bavaria precipitation limits height growth only in combination with other factors like high temperatures and low available water capacity. This is also reflected in the SI-model where WB which combines these influences is selected as explanatory variable and not precipitation.
4.1.2. Additional Modifying Effect of Nutrients
Regarding soil properties Norway spruce is less demanding than other species [27]. Nevertheless, if temperature and water supply are not limiting an effect of soil nutrients, growth can be expected [28,29]. In this study, the contribution of soil nutrients compared to variables characterizing temperature and water supply was small. It was difficult to elaborate their influence on a Bavarian scale. This might be due to the fact that generally in Bavaria soil nutrient supply seldom limits growth of Norway spruce [30].
However, for the DGBS slight growth responses can be observed on a Bavarian scale and thus summarized over different temperature- and water-regimes. DGBS seems to be a meaningful parameter characterizing the soil nutrient status [31]. This emphasizes that a balanced supply of basic cations is important for a tree’s nutrient supply and not the quantity of a specific nutrient alone. It is not surprising that no positive effect of Ca could be detected, as in Bavaria there is hardly ever a shortage of Ca [30]. Exploratory data analysis by BRT suggests a negative effect of Ca. At calcareous sites an imbalance of nutrients is possible leading to Ca-K-antagonism [32] and the immobilization of P [25]. Additionally, in Bavaria soils rich in Ca are often shallow (e.g., Rendzic Leptosols) and therefore tend to be dry [30]. There are only few sites with shortages in Mg-supply, but some of these sites may have been limed. Consequently, it is difficult to find an effect of Mg. On a Bavarian scale a weak effect of K only for trees at age 100 could be detected and exploratory data analysis by BRT suggested that very low K values limit growth, but the overall influence was very small.
Still regions that do not differ significantly in temperature and water supply differ in growth, which sometimes can be traced back to the soil nutrient status. For instance in the Alps spruces at flysch-sites are much higher than spruces at calcareous sites, when comparing sites that do not differ significantly in temperature, precipitation and elevation. This can be explained besides by a higher AWC by a more balanced supply of basic cations and a higher availability of P at flysch-sites. It supports the findings of [25] that in the Alps nutrient supply has a leading influence on growth.
Sites with highest growth (best 10% of plots) can be differentiated better from sites with lowest growth (worst 10% of plots) if variables characterizing the nutrient supply are added (hypervolume-analysis). This indicates that specific combinations of temperature regime and water supply with nutrient variables are necessary to reach greatest heights.
4.2. SI-Model
The predicted pattern of site indices for Bavaria is coherent with experience. The most important environmental predictor for height is the interaction between temperature regime and water supply, expressing that both factors can limit tree growth, whereas highest growth is reached if GDD5 is high and water supply is abundant. The effect of BS is mainly plausible, as high BS can limit growth. However, the GAM does not detect any limiting effect for very low BS which would be ecologically plausible. The positive effect of stand density on the one hand can be due to the fact that trees invest more in height growth if competition is stronger [33], while on the other hand it can be due to the fact that at favorable sites higher stand density is possible.
The variance in height explained by age and the selected environmental variables is 65.2%, whereas age alone explains 56.9%. Studies that encompass larger environmental gradients achieve higher explanatory power of environmental variables [2,9]. The SI predictions exhibit a regression towards the mean. This is natural for a model, but in particular high site indices are not predicted well. Hypervolume-analysis showed that very high and very low growth cannot be separated easily. If in the same environmental space (hypervolume) both high and low growth occur, the model is going to fit an average value for this combination of environmental variables and is not going to predict very high or low values. Hypervolume-analysis showed that there are more regions with only low growth than regions with only high growth. This explains why predictions for favorable sites exhibit a stronger regression towards the mean.
Exploratory analysis indicated that the overall influence of nutrient supply is small in comparison with temperature regime and water supply. Still, nutrient supply might influence height growth at a local scale and therefore we applied BRT on the residuals. The GAM has the advantage that the overall effect of temperature and water supply can be elaborated clearly, checked for ecological plausibility and therefore used for predictions under varying climate scenarios. BRT allow for regionally complex interactions of soil variables and lead to a greater differentiation and a more realistic range in predicted site indices. This approach assumes that the pattern in the residuals is stable with respect to climate change. Modeling the residuals in dependence of soil variables renders ecologically plausible trends and helps accentuating the predicted site indices locally. Silt content can be interpreted as a proxy for soils which have more favorable physical properties in respect to water and air balance than soils with high sand or clay contents. It is ecologically plausible that low N and very low K limit height growth, whereas high Mg contents often coincide with shallow gypsum soils that limit growth.
4.3. Limitations of SI Predictions
The variables with highest explanatory power are temperature regime and water supply. Nevertheless, regions exist which are very similar in this respect but exhibit great variation in height growth. Hypervolume-analysis showed that highest and lowest growth can be separated better, if along with temperature and water supply soil nutrients and soil texture are taken into account. However, in a GAM this effect cannot be represented well as these variables are not significant and are not chosen by variable selection or render implausible response curves. Hypervolume-analysis was applied only to the 10% of plots with greatest heights and the 10% of plots with lowest heights, whereas for the model all data were used. Using all data the noise is bigger and hinders the detection of clear effects.
Thus a lot of variation in SI remains unexplained. There are two possible explanations for this: missing factors influencing height growth and quality of the database.
4.3.1. Missing Factors Influencing Growth
The influence of soil on growth might be too complex to be described in correlations between the soil variables used in this study and tree height. This complexity might be captured better by explanatory variables that summarize the physiological effects of soil like vegetation data and species indicator values [9,25], by classifying soils into eco-series [34] or creating complex site factors following empirical rules [35].
Besides average environmental conditions extreme events like droughts and disturbances and/or pathogens can influence tree growth [36,37,38]. Furthermore, the impact of drought depends on species composition and forest structure [39]. Another source of variation in height growth might be the genetic diversity within Norway spruce [40], though provenances in Bavaria do not seem to differ greatly [41]. Furthermore phosphorus could have a strong influence on growth [42,43]. Phosphorus availability is optimal in the slightly acid to neutral pH range. In highly acid soils phosphorus is precipitated as highly insoluble Fe- or Al-phosphates or adsorbed to oxide surfaces, whereas in calcareous soils phosphorus is immobilized as di- and tri-calcium phosphates [44]. A relationship between base saturation or the DGBS-types respectively and growth could be detected in the data. The form of this relationship would be in accordance with an influence of phosphorus as well. Greatest heights are reached for intermediate DGBS-types (Figure 5), whereas high base saturation has a negative effect on height (Figure 7). However, for Bavaria regionalized data for plant available phosphorus are not available to model the effect of phosphorus and separate it from the effect of the supply of basic cations. Sometimes unexplained differences in height may not be due to site conditions but may be artifacts. For instance in some regions of Bavaria like e.g., the “Fichtelgebirge” browsing damage is very common, which might explain low tree heights [45]. Furthermore, in some regions snow damage can affect height growth. Another possible artifact is the historical use of humus layer in the “Oberpfalz”, which led to strongly reduced growth probably due to P-deficits. Older trees still have this signal in their growth history [46].
4.3.2. Quality of the Database
The suitability and accuracy of the data can be questioned both on the side of the response and on the side of the explanatory variables.
NFI data have a high sampling quality and cover a wide range of site conditions. Thus they are a valuable data source for validating data created by digital site mapping or remote sensing. Still they have some shortcomings. Age sometimes is only estimated. There might be a bias in age estimation by estimating greater ages for better growing trees which partly levels out the influence of site conditions. For this analysis the environmental variables were treated as if they are stable. However a tree may have experienced changes in environmental conditions during its lifetime [47]. Older trees may have grown under different environmental conditions in their youth than do young trees today. Management effects [48] cannot be considered adequately and it is difficult to account for competition and density effects as complete neighborhood information is not available due to angle-count sampling [49].
The suitability of SI, i.e., the height at a certain age, as an indicator of site productivity can be discussed [47]. On unfavorable sites stand density has a considerable effect on height whereas on favorable sites this effect is much less pronounced [6]. As sites with the same SI can still differ in biomass production [47], biomass production might be a more adequate site potential indicator than mere height.
For spatially explicit predictions for entire Bavaria, we had to use modeled explanatory variables (digital site maps) along with measured ones. Relationships between modeled soil variables like AWC, DGBS and nutrient stocks and growth could be detected. However, the relationships are generally weak and do not contribute much to explaining SI. Modeled soil data might not be sufficiently accurate to picture the relations between soil variables and SI as soil can be heterogeneous on a very small spatial scale. The relief variables MBI and SMI that can be derived with high local precision from a DEM improve the GAM. This emphasizes the importance of small-scale heterogeneity.
5. Conclusions and Outlook
In summary, NFI data are a useful and valuable basis for investigating the relationship between forest growth and site characteristics. The dependency of height growth as derived from NFI data on site characteristics based on climatic data and modeled soil maps could be demonstrated. Applying a variety of exploratory tools for variable selection prior to modeling improves the understanding of the relationship between site productivity and site characteristics and contributes to checking the plausibility of the model and understanding its limitations. For Bavaria, the predicted large-scale pattern of SI is coherent with experience and can be projected into the future by applying climate scenarios. The limited environmental gradient leads to a limited explanatory power of the SI-model. Using digital site maps the ability to predict SI on a local scale was improved to a certain extent but is limited due to the difficulty of integrating metric soil variables into the model and the small explanatory power of the modeled soil variables. This leads to the conclusion that digitally highly resolved soil characteristics are an important step towards spatially explicit predictions of SI. However, up to the present they have not yet achieved high local accuracy.
To improve local predictions of site potential, both response and explanatory variables can be addressed. Instead of SI as height at age 100, site potential should probably be characterized by biomass growth. As in this study, the GAM tends to select aggregated variables, while ecophysiological quantities like NPP derived from process-based models can be tested as explanatory variables.
Acknowledgments
We would like to thank Tobias Mette, Christian Kölling and Helmut Küchenhoff for their constructive suggestions. The study was funded by Bayerisches Staatsministerium für Ernährung, Landwirtschaft und Forsten (StMELF).
Author Contributions
The statistical analysis was mainly done by Susanne Brandl. Georg Stricker tested different modelling approaches and conducted the automatic variable selection for the GAM supervised by Andreas Bender. The manuscript was written by Susanne Brandl supported by Wolfgang Falk. Hans Pretzsch, Thomas Rötzer, Wolfgang Falk, and Hans-Joachim Klemmt supervised the study and provided support in data analysis and interpretation.
Conflicts of Interest
The authors declare no conflict of interest.
References
- Nothdurft, A.; Wolf, T.; Ringeler, A.; Böhner, J.; Saborowski, J. Spatio-temporal prediction of site index based on forest inventories and climate change scenarios. For. Ecol. Manag. 2012, 279, 97–111. [Google Scholar] [CrossRef]
- Albert, M.; Schmidt, M. Climate-sensitive modelling of site-productivity relationships for Norway spruce (Picea abies L. Karst) and common beech (Fagus sylvatica L.). For. Ecol. Manag. 2010, 259, 739–749. [Google Scholar] [CrossRef]
- McKenney, D.; Pedlar, J. Spatial models of site index based on climate and soil properties for two boreal tree species in Ontario, Canada. For. Ecol. Manag. 2003, 175, 497–507. [Google Scholar] [CrossRef]
- Chen, H.Y.H.; Krestov, P.V.; Klinka, K. Trembling aspen site index in relation to environmental measures of site quality at two spatial scales. Can. J. For. Res. 2002, 32, 112–119. [Google Scholar] [CrossRef]
- Kahn, M. Quasikausale Modellierung des Standort-Leistungs-Bezuges als Voraussetzung zum Aufbau flexibler Mischbestandsmodelle. Forstwiss. Cent. 1995, 114, 175–187. [Google Scholar] [CrossRef]
- Kramer, H. Waldwachstumslehre. Ökologische und anthropogene Einflüsse auf das Wachstum des Waldes, seine Massen- und Wertleistung und die Bestandessicherheit; Verlag Paul Parey: Hamburg, Berlin, Germany, 1988. [Google Scholar]
- Nagel, J.; Spellmann, H.; Pretzsch, H. Zum Informationspotenzial langfristiger forstlicher Versuchsflächen und periodischer Waldinventuren für die waldwachstumskundliche Forschung. Allg. Forst Jagdztg. 2012, 183, 111–116. [Google Scholar]
- Sharma, R.P.; Brunner, A.; Eid, T.; Oyen, B.H. Modelling dominant height growth from national forest inventory individual tree data with short time series and large age errors. For. Ecol. Manag. 2011, 262, 2162–2175. [Google Scholar] [CrossRef]
- Seynave, I.; Gégout, J.C.; Hervé, J.C.; Dhôte, J.F.; Drapier, J.; Bruno, É.; Dumé, G. Picea abies site index prediction by environmental factors and understorey vegetation: A two-scale approach based on survey databases. Can. J. For. Res. 2005, 35, 1669–1678. [Google Scholar]
- Schmidt, M. Ein standortsensitives, longitudinales Höhen-Durchmesser-Modell als eine Lösung für das Standort-Leistungs-Problem in Deutschland. Tagungsband der DVFFA—Sektion Ertragskunde, Körbecke am Möhnesee, NRW: North Rhine-Westphalia, Germany, May 2010; 131–152. [Google Scholar]
- Wenk, G.; Antanaitis, V.; Smelko, S. Waldertragslehre; Deutscher Landwirtschaftsverlag: Berlin, Germany, 1990. [Google Scholar]
- BMELV. Bundeswaldinventur 2—Website des Bundesministeriums für Ernährung, Landwirtschaft und Verbraucherschutz zu Grundlagen und Ergebnissen der Bundeswaldinventur 2 in Deutschland. Available online: http://www.bundeswaldinventur.de (accessed on 8 January 2014).
- Assmann, E. Waldertragskunde. Organische Produktion, Struktur, Zuwachs und Ertrag von Waldbeständen; BLV Verlagsgesellschaft: München, Germany, 1961. [Google Scholar]
- Zimmermann, L.; Rötzer, T.; Hera, U.; Maier, H.; Schulz, C.; Kölling, C. Konzept zur Erstellung neuer hochaufgelöster Klimakarten für die Wälder Bayerns als Bestandteil eines forstlichen Standortinformationssystems. In Proceedings zur 6. Fachtagung BIOMET des Fachausschusses Biometeorologie der Deutschen Meteorologischen Gesellschaft e.V, Berichte des Meteorologischen Institutes der Universität Freiburg, Freiburg, Germany, March 2007; pp. 153–159.
- Hera, U.; Rötzer, T.; Zimmermann, L.; Schulz, C.; Maier, H.; Weber, H.; Kölling, C. Klima en detail. LWF Aktuell 2013, 86, 34–37. [Google Scholar]
- Beck, J.; Kölling, C. Das bayerische Standortinformationssystem—Das neue Standortinformationssystem mit seinen zahlreichen Themenkarten ist ein wichtiges Hilfsmittel für die Beratung der Waldbesitzer. LWF Aktuell 2013, 94, 4–7. [Google Scholar]
- Häring, T.; Dietz, E.; Osenstetter, S.; Koschitzki, T.; Schröder, B. Spatial disaggregation of complex soil map units: A decision-tree based approach in Bavarian forest soils. Geoderma 2012, 185–186, 37–47. [Google Scholar] [CrossRef]
- Bock, M.; Köthe, R. Predicting the depth of hydromorphic Soil Characteristics influenced by Ground Water. In SAGA—Seconds Out; Böhner, J., Blaschke, T., Monatanarella, L., Eds.; Hamburger Beiträge zur Physischen Geographie und Landschaftsökologie 19: Hamburg, Germany, 2008; pp. 13–22. [Google Scholar]
- Möller, M.; Volk, M.; Friedrich, K.; Lymburner, L. Placing soil-genesis and transport processes into a landscape context: A multiscale terrain-analysis approach. J. Plant Nutr. Soil Sci. 2008, 171, 419–430. [Google Scholar] [CrossRef]
- Röhle, H. Änderung von Bonität und Ertragsniveau in südbayerischen Fichtenbeständen. Allg. Forst Jagdztg. 1997, 168, 110–114. [Google Scholar]
- Blonder, B.; Lamanna, C.; Violle, C.; Enquist, B.J. The n-dimensional hypervolume. Glob. Ecol. Biogeogr. 2014, 23, 595–609. [Google Scholar] [CrossRef]
- Marra, G.; Wood, S. Practical variable selection for generalized additive models. Comput. Stat. Data Anal. 2011, 55, 2372–2387. [Google Scholar] [CrossRef]
- Maindonald, J.; Braun, J. Data Analysis and Graphics Using R; Cambridge University Press: Cambridge, UK, 2007. [Google Scholar]
- Elith, J.; Leathwick, J.R.; Hastie, T. A working guide to boosted regression trees. J. Anim. Ecol. 2008, 77, 802–813. [Google Scholar] [CrossRef] [PubMed]
- Mellert, K.H.; Ewald, J. Nutrient limitation and site-related growth potential of Norway spruce (Picea abies L. Karst) in the Bavarian Alps. Eur. J. For. Res. 2014, 133, 433–451. [Google Scholar] [CrossRef]
- Klemmt, H.-J. Standortabhängige Ableitung der Höhenwuchsleistung aus Forstinventurdaten mit Hilfe von Data-Mining-Methoden. Grundlage für die Regionale, Standortbezogene Feinjustierung des forstlichen Wuchsmodells SILVA. Ph.D. Thesis, Technische Universität München, Deutschland, Germany, 2007. [Google Scholar]
- Roloff, A.; Weisgerber, H.; Lang, U.; Stimm, B. Bäume Mitteleuropas; WILEY-VCH Verlag: Weinheim, Germany, 2010. [Google Scholar]
- Bergh, J.; Linder, S.; Lundmark, T.; Elfving, B. The effect of water and nutrient availability on the productivity of Norway spruce in northern and southern Sweden. For. Ecol. Manag. 1999, 119, 51–62. [Google Scholar] [CrossRef]
- Bergh, J.; Linder, S.; Bergström, J. Potential production of Norway spruce in Sweden. For. Ecol. Manag. 2005, 204, 1–10. [Google Scholar] [CrossRef]
- Schubert, A.; Falk, W.; Stetter, U. BZE II—Waldböden in Bayern. Bodenzustandsbericht 2014, in press. [Google Scholar]
- Kölling, C. Ordination von Waldökosystemen nach Stoffkonzentrationen der Lösungsphase und bodenchemischen Tiefengradienten. J. Plant Nutr. Soil Sci. 1999, 162, 89–95. [Google Scholar]
- Rehfuess, K.E. Waldböden; Parey: Hamburg, Germany, 1990. [Google Scholar]
- Pretzsch, H. Grundlagen der Waldwachstumsforschung; Parey Buchverlag: Berlin, Germany, 2002. [Google Scholar]
- Moosmayer, H.-U.; Schöpfer, W. Beziehungen zwischen Standortfaktoren und Wuchsleistung der Fichte. Allg. Forst Jagdztg. 1972, 143, 203–215. [Google Scholar]
- Anders, S. Modelle der ökofaktorabhängigen Stoffproduktion gleichaltriger Baumholzreinbestände von Kiefer und Buche. Ph.D. Thesis, Technische Universität Dresden, Dresden, Germany, 1988. [Google Scholar]
- Rötzer, T.; Seifert, T.; Gayler, S.; Priesack, E.; Pretzsch, H. Effects of stress and defence allocation on tree growth—Simulation results at the individual and stand level. In Growth and Defence in Plants; Matyssek, R., Schnyder, H., Oßwald, W., Ernst, D., Munch, C., Pretzsch, H., Eds.; Springer-Verlag: Berlin Heidelberg, Germany, 2012; pp. 401–432. [Google Scholar]
- Pretzsch, H.; Dieler, J. The dependency of the size-growth relationship of Norway spruce (Picea abies L. Karst) and European beech (Fagus sylvatica L.) in forest stands on long-term site conditions, drought events, and ozone stress. Trees 2011, 25, 355–369. [Google Scholar] [CrossRef]
- Pretzsch, H.; Dieler, J.; Rötzer, T. Principles of growth partitioning between trees in forest stands under stress. In Growth and Defence in Plants; Matyssek, R., Schnyder, H., Oßwald, W., Ernst, D., Munch, C., Pretzsch, H., Eds.; Springer-Verlag: Berlin Heidelberg, Germany, 2012; pp. 311–329. [Google Scholar]
- Pretzsch, H.; Schütze, G.; Uhl, E. Resistance of European tree species to drought stress in mixed versus pure forests: Evidence of stress release by inter-specific facilitation. Plant Biol. J. 2013, 15, 483–495. [Google Scholar] [CrossRef]
- Müller-Starck, G.; Baradat, Ph.; Bergmann, F. Genetic variation within European tree species. New For. 1992, 6, 23–47. [Google Scholar] [CrossRef]
- Konnert, M. Genetic variation of Picea abies in southern Germany as determined using isozyme and STS markers. Dendrobiology 2009, 61, 131–136. [Google Scholar]
- Medlyn, B.; Duursma, R.; Zeppel, M. Forest productivity under climate change: A checklist for evaluating model studies. WIREs Clim. Chang. 2011, 2, 332–355. [Google Scholar] [CrossRef]
- Prietzel, J.; Rehfuess, K.E.; Stetter, U.; Pretzsch, H. Changes of soil chemistry, stand nutrition, and stand growth at two Scots pine (Pinus sylvestris L.) sites in Central Europe during 40 years after fertilization, liming, and lupine introduction. Eur. J. For. Res. 2008, 127, 43–61. [Google Scholar] [CrossRef]
- Stevenson, F.J.; Cole, M.A. Cycles of Soil: Carbon, Nitrogen, Phosphorus, Sulfur, Micronutrients; John Wiley & Sibs: Hoboken, NJ, USA, 1999. [Google Scholar]
- Bayerisches Staatsministerium für Ernährung, Landwirtschaft und Forsten. Der Wald in Oberfranken; Bayerisches Staatsministerium für Ernährung, Landwirtschaft und Forsten: Munich, Germany, 1994. [Google Scholar]
- Zang, C.; Rothe, A. Effect of nutrient removal on radial growth of Pinus sylvestris and Quercus petraea in Southern Germany. Ann. For. Sci. 2013, 70, 143–149. [Google Scholar] [CrossRef]
- Skovsgaard, J.; Vanclay, J.K. Forest site productivity: A review of spatial and temporal variability in natural site conditions. Forestry 2013, 86, 1–11. [Google Scholar] [CrossRef]
- Rötzer, T.; Dieler, J.; Mette, T.; Moshammer, R.; Pretzsch, H. Productivity and carbon dynamics in managed Central European forests depending on site conditions and thinning regimes. Forestry 2010, 83, 483–495. [Google Scholar] [CrossRef]
- Pommerening, A. Eine Analyse neuer Ansätze zur Bestandesinventur in strukturreichen Wäldern. Ph.D. Thesis, Georg-August-Universität Göttingen, Göttingen, Germany, 1997. [Google Scholar]
© 2014 by the authors; licensee MDPI, Basel, Switzerland. This article is an open access article distributed under the terms and conditions of the Creative Commons Attribution license (http://creativecommons.org/licenses/by/4.0/).