Comparative Performance of Handheld Personal Laser Scanning Instruments and Operator Experience in Forest Inventory of Even-Aged European Beech Stand
Abstract
1. Introduction
2. Materials and Methods
2.1. Study Area
2.2. Reference Ground-Truth Data
2.3. PLS Data Collection
2.4. PLS Data Processing
2.5. Data Evaluation and Analysis
3. Results
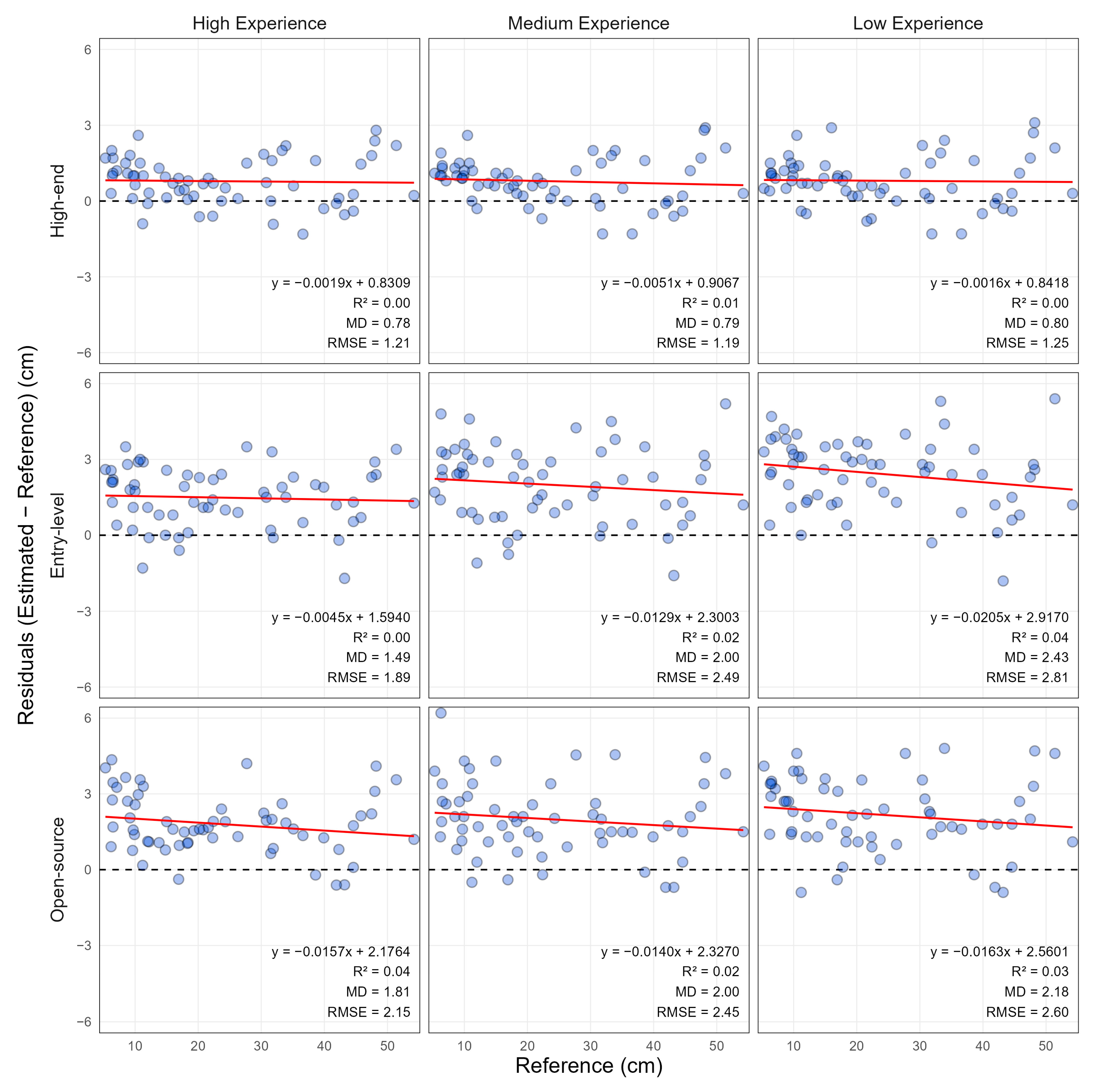
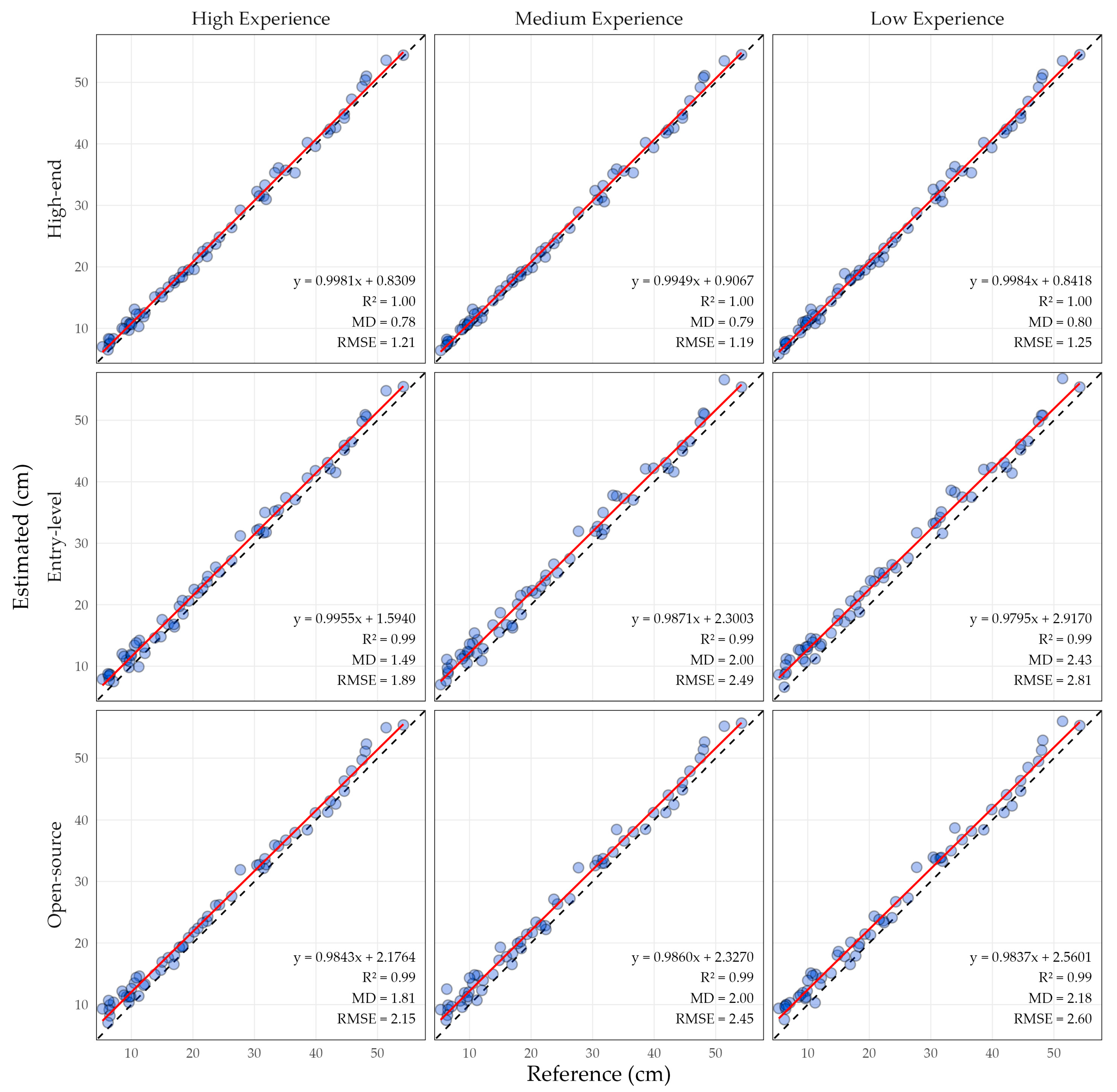
3.1. Accuracy Assessment of DBH Estimates Across PLS Instruments and Operators
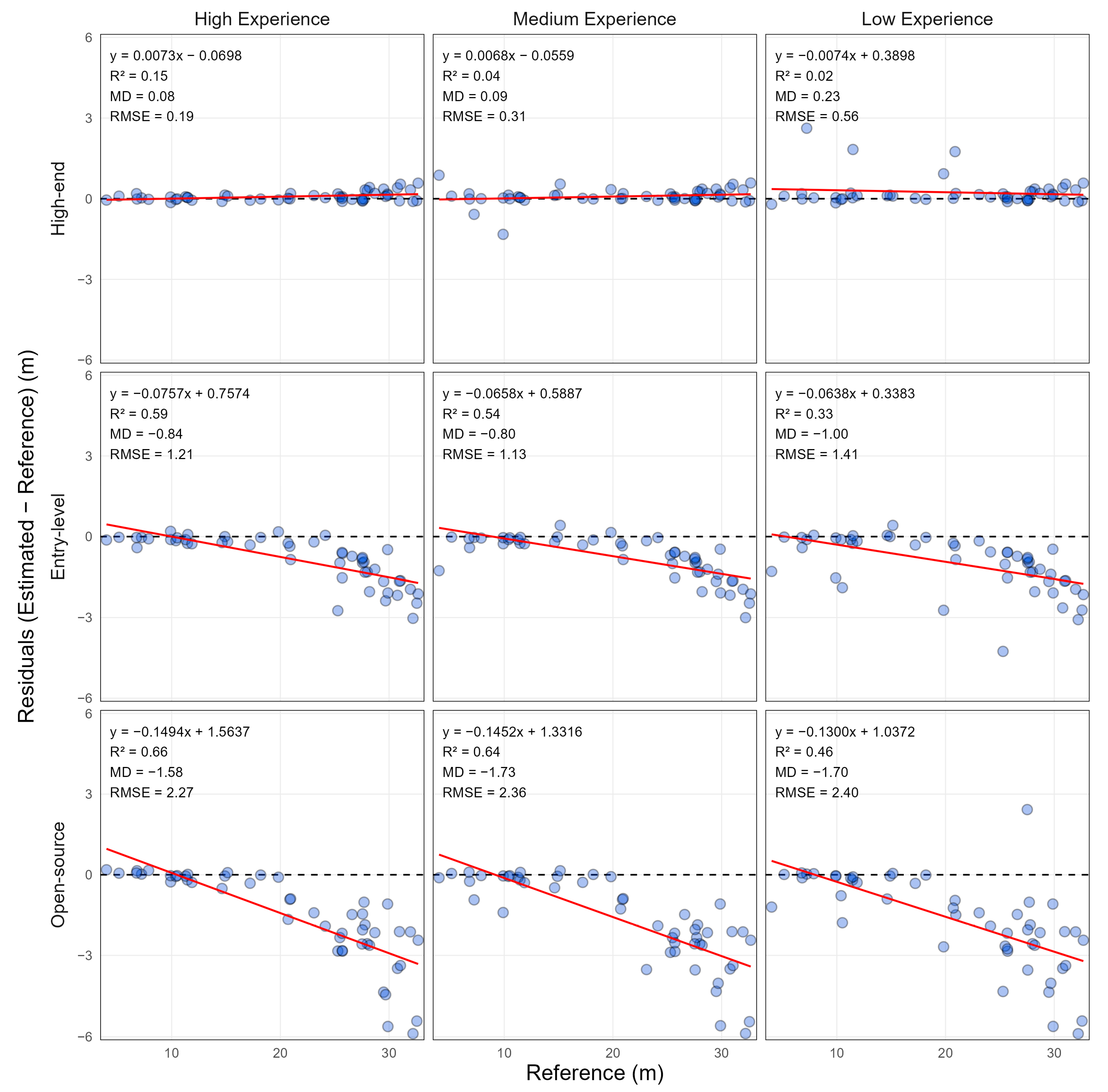
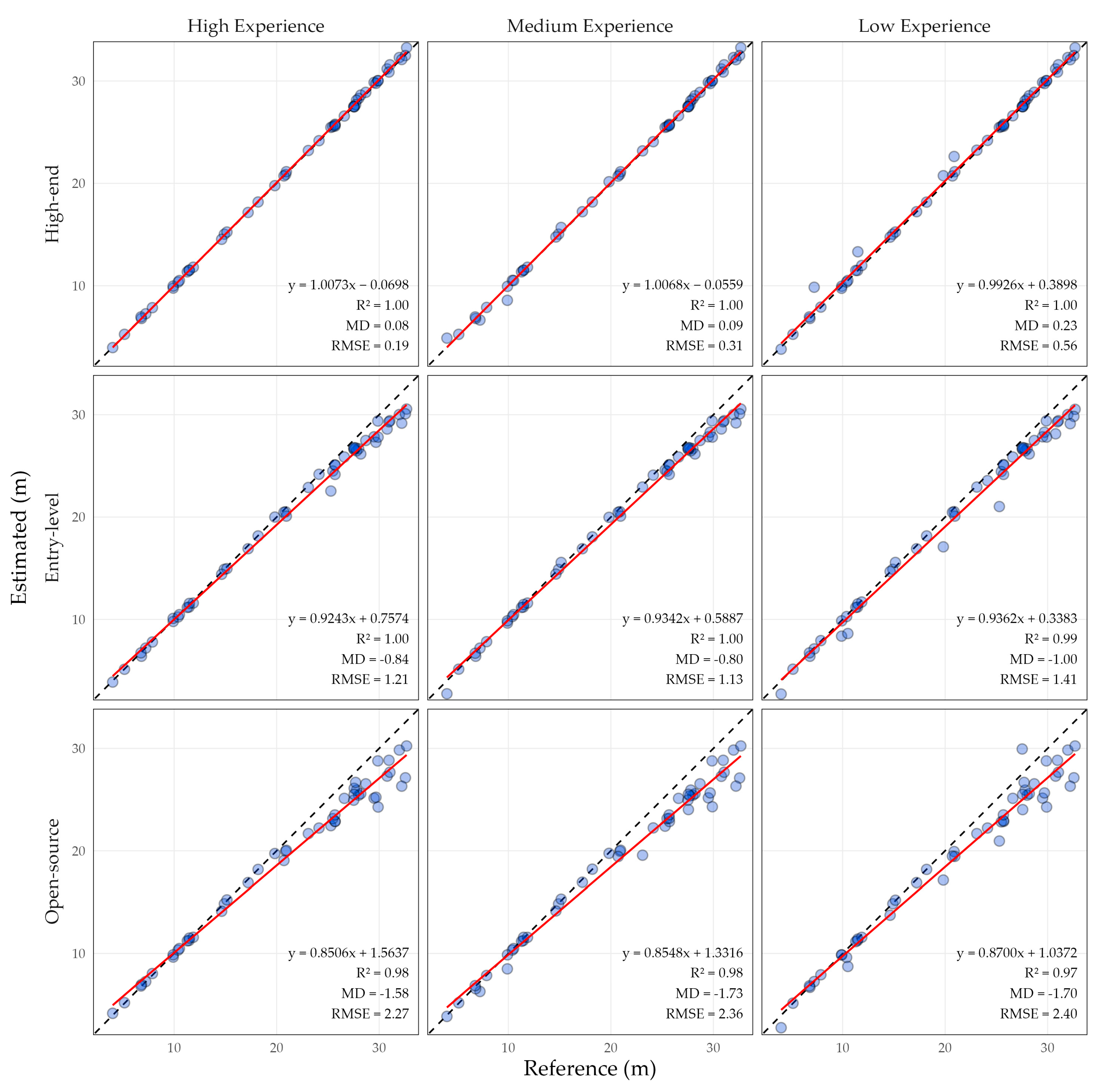
3.2. Accuracy Assessment of Tree Height Estimates Across PLS Instruments and Operators
3.3. Independent Effects of Instrument Type and Operator Experience on DBH and Tree Height Estimation Accuracy (One-Way RM-ANOVA)
3.4. Combined and Interactive Effects of Instrument Type and Operator Experience on DBH and Tree Height Estimation Accuracy (Two-Factor RM-ANOVA)
4. Discussion
4.1. Methodological Contribution and Context Within Existing PLS Research
4.2. Interpretation of DBH Estimation Accuracy Across PLS Instruments and Operator Experience
4.3. Interpretation of Tree Height Estimation Accuracy Across PLS Instruments and Operator Experience
4.4. Effects of Instrument Type and Operator Experience on DBH and Tree Height Accuracy (ANOVA-Based Interpretation)
5. Conclusions
Author Contributions
Funding
Data Availability Statement
Acknowledgments
Conflicts of Interest
Appendix A
| Instrument | Pre-Processing | Processing | DBH Estimation | Tree Height Estimation | Total |
|---|---|---|---|---|---|
| High-end | 20 | 10 | 5–10 | 15–20 | 50–60 |
| Entry-level | 10 | 5 | 5–10 | 20–25 | 40–50 |
| Open-source | 15 | 5 | 5–10 | 25–30 | 50–60 |
Appendix B
| Plot | Tree ID | Height Class (m) | Specie | Canopy Position | Reason |
|---|---|---|---|---|---|
| 16 | 7 | 15–20 | European beech | Suppressed | Crown not identifiable (intertwined/no clear treetop) |
| 16 | 13 | 20–25 | European beech | Intermediate | Crown not identifiable (intertwined/no clear treetop) |
| 16 | 17 | 5–10 | European beech | Suppressed | Standing dead tree (snag) |
| 18 | 6 | 5–10 | Common hornbeam | Suppressed | Stem form (severely leaning tree) |
| 18 | 10 | 20–25 | Sessile oak | Co-dominant | Crown not identifiable (intertwined/no clear treetop |
| 18 | 11 | 20–25 | European beech | Co-dominant | Crown not identifiable (intertwined/no clear treetop |
| 18 | 13 | 15–20 | European beech | Co-dominant | Crown not identifiable (intertwined/no clear treetop |
| 18 | 14 | 5–10 | European beech | Suppressed | Crown not identifiable (intertwined/no clear treetop |
| 18 | 16 | 5–10 | European beech | Intermediate | Stem form (severely leaning tree) |
| 21 | 8 | 15–20 | European beech | Intermediate | Top damaged (broken treetop) |
| 21 | 9 | 5–10 | European beech | Suppressed | Top damaged (broken treetop) |
Appendix C


Appendix D
| Operator | Comparison | ∆MD (cm) | df (GG) | t | p (Holm) |
|---|---|---|---|---|---|
| High Experience | High-end—Entry-level | −0.70 | 60 | −5.31 | <0.001 |
| High-end—Open-source | −1.02 | 60 | −8.60 | <0.001 | |
| Entry-level—Open-source | −0.32 | 60 | −2.64 | 0.011 | |
| Medium Experience | High-end—Entry-level | −1.21 | 60 | −7.86 | <0.001 |
| High-end—Open-source | −1.21 | 60 | −7.88 | <0.001 | |
| Entry-level—Open-source | <0.01 | 60 | 0.01 | 0.994 | |
| Low Experience | High-end—Entry-level | −1.63 | 60 | −9.78 | <0.001 |
| High-end—Open-source | −1.37 | 60 | −8.67 | <0.001 | |
| Entry-level—Open-source | 0.26 | 60 | 1.58 | 0.120 |
| Operator | Comparison | ∆MD (m) | df (GG) | t | p (Holm) |
|---|---|---|---|---|---|
| High Experience | High-end—Entry-level | 0.92 | 49 | 6.79 | <0.001 |
| High-end—Open-source | 1.67 | 49 | 6.95 | <0.001 | |
| Entry-level—Open-source | 0.75 | 49 | 5.41 | <0.001 | |
| Medium Experience | High-end—Entry-level | 0.89 | 49 | 6.71 | <0.001 |
| High-end—Open-source | 1.82 | 49 | 7.75 | <0.001 | |
| Entry-level—Open-source | 0.93 | 49 | 6.02 | <0.001 | |
| Low Experience | High-end—Entry-level | 1.24 | 49 | 8.11 | <0.001 |
| High-end—Open-source | 1.93 | 49 | 7.91 | <0.001 | |
| Entry-level—Open-source | 0.70 | 49 | 4.25 | <0.001 |
| Instrument | Comparison | ∆MD (cm) | df (GG) | t | p (Holm) |
|---|---|---|---|---|---|
| High-end | High—Medium | <0.01 | 60 | −0.01 | 1.000 |
| High—Low | −0.02 | 60 | −0.26 | 1.000 | |
| Medium—Low | −0.02 | 60 | −0.34 | 1.000 | |
| Entry-level | High—Medium | −0.51 | 60 | −4.16 | <0.001 |
| High—Low | −0.94 | 60 | −6.76 | <0.001 | |
| Medium—Low | −0.44 | 60 | −3.18 | 0.002 | |
| Open-source | High—Medium | −0.19 | 60 | −1.73 | 0.176 |
| High—Low | −0.37 | 60 | −3.18 | 0.007 | |
| Medium—Low | −0.18 | 60 | −1.65 | 0.176 |
| Instrument | Comparison | ∆MD (m) | df (GG) | t | p (Holm) |
|---|---|---|---|---|---|
| High-end | High—Medium | 0.00 | 49 | −0.09 | 0.931 |
| High—Low | −0.15 | 49 | −2.04 | 0.140 | |
| Medium—Low | −0.15 | 49 | −1.67 | 0.202 | |
| Entry-level | High—Medium | −0.04 | 49 | −0.74 | 0.463 |
| High—Low | 0.17 | 49 | 1.91 | 0.137 | |
| Medium—Low | 0.21 | 49 | 2.05 | 0.137 | |
| Open-source | High—Medium | 0.14 | 49 | 1.97 | 0.163 |
| High—Low | 0.12 | 49 | 0.88 | 0.771 | |
| Medium—Low | −0.03 | 49 | −0.19 | 0.853 |
References
- Liang, X.; Kukko, A.; Balenović, I.; Saarinen, N.; Junttila, S.; Kankare, V.; Holopainen, M.; Mokroš, M.; Surový, P.; Kaartinen, H.; et al. Close-range remote sensing of forests: The state of the art, challenges, and opportunities for systems and data acquisitions. IEEE Geosci. Remote Sens. Mag. 2022, 10, 32–71. [Google Scholar] [CrossRef]
- Jurjević, L.; Liang, X.; Gašparović, M.; Balenović, I. Is field-measured tree height as reliable as believed—Part II, a comparison study of tree height estimates from conventional field measurement and low-cost close-range remote sensing in a deciduous forest. ISPRS J. Photogramm. Remote Sens. 2020, 169, 227–241. [Google Scholar] [CrossRef]
- Durrieu, S.; Vega, C.; Bouvier, M.; Gosselin, F.; Renaud, J.-P.; Saint-André, L. Optical Remote Sensing of Tree and Stand Heights. In Remote Sensing Handbook; Taylor & Francis: New York, NY, USA, 2015. [Google Scholar]
- Kershaw, J.A.; Ducey, M.J.; Beers, T.W.; Husch, B. Forest Mensuration; Wiley: Chichester, UK, 2016. [Google Scholar]
- Luoma, V.; Saarinen, N.; Wulder, M.A.; White, J.C.; Vastaranta, M.; Holopainen, M.; Hyyppä, J. Assessing precision in conventional field measurements of individual tree attributes. Forests 2017, 8, 38. [Google Scholar] [CrossRef]
- Ganz, S.; Käber, Y.; Adler, P. Measuring tree height with remote sensing—A comparison of photogrammetric and LiDAR data with different field measurements. Forests 2019, 10, 694. [Google Scholar] [CrossRef]
- Stereńczak, K.; Mielcarek, M.; Wertz, B.; Bronisz, K.; Zajączkowski, G.; Jagodziński, A.M.; Ochał, W.; Skorupski, M. Factors influencing the accuracy of ground-based tree-height measurements for major European tree species. J. Environ. Manag. 2019, 231, 1284–1292. [Google Scholar] [CrossRef] [PubMed]
- Wang, Y.; Lehtomäki, M.; Liang, X.; Pyörälä, J.; Kukko, A.; Jaakkola, A.; Liu, J.; Feng, Z.; Chen, R.; Hyyppä, J. Is field-measured tree height as reliable as believed—A comparison study of tree height estimates from field measurement, airborne laser scanning and terrestrial laser scanning in a boreal forest. ISPRS J. Photogramm. Remote Sens. 2019, 147, 132–145. [Google Scholar] [CrossRef]
- Bragg, D.C. Accurately measuring the height of (real) forest trees. J. For. 2014, 112, 51–54. [Google Scholar] [CrossRef]
- Tompalski, P.; Coops, N.C.; White, J.C.; Wulder, M.A. Simulating the impacts of error in species and height upon tree volume derived from airborne laser scanning data. For. Ecol. Manag. 2014, 327, 167–177. [Google Scholar] [CrossRef]
- White, J.C.; Coops, N.C.; Wulder, M.A.; Vastaranta, M.; Hilker, T.; Tompalski, P. Remote sensing technologies for enhancing forest inventories: A review. Can. J. Remote Sens. 2016, 42, 619–641. [Google Scholar] [CrossRef]
- Balenović, I.; Liang, X.; Jurjević, L.; Hyyppä, J.; Seletković, A.; Kukko, A. Hand-held personal laser scanning—Current status and perspectives for forest inventory application. Croat. J. For. Eng. 2021, 42, 165–183. [Google Scholar] [CrossRef]
- Rahlf, J.; Breidenbach, J.; Solberg, S.; Næsset, E.; Astrup, R. Comparison of four types of 3D data for timber volume estimation. Remote Sens. Environ. 2014, 155, 325–333. [Google Scholar] [CrossRef]
- Liang, X.; Hyyppä, J.; Kaartinen, H.; Lehtomäki, M.; Pyörälä, J.; Pfeifer, N.; Holopainen, M.; Brolly, G.; Francesco, P.; Hackenberg, J.; et al. International benchmarking of terrestrial laser scanning approaches for forest inventories. ISPRS J. Photogramm. Remote Sens. 2018, 144, 137–179. [Google Scholar] [CrossRef]
- Liang, X.; Kankare, V.; Hyyppä, J.; Wang, Y.; Kukko, A.; Haggrén, H.; Yu, X.; Kaartinen, H.; Jaakkola, A.; Guan, F.; et al. Terrestrial laser scanning in forest inventories. ISPRS J. Photogramm. Remote Sens. 2016, 115, 63–77. [Google Scholar] [CrossRef]
- Wilkes, P.; Lau, A.; Disney, M.; Calders, K.; Burt, A.; Gonzalez de Tanago, J.; Bartholomeus, H.; Brede, B.; Herold, M. Data acquisition considerations for terrestrial laser scanning of forest plots. Remote Sens. Environ. 2017, 196, 140–153. [Google Scholar] [CrossRef]
- Disney, M.; Burt, A.; Calders, K.; Schaaf, C.; Stovall, A. Innovations in ground and airborne technologies as reference and for training and validation: Terrestrial laser scanning (TLS). Surv. Geophys. 2019, 40, 937–958. [Google Scholar] [CrossRef]
- Calders, K.; Newnham, G.; Burt, A.; Murphy, S.; Raumonen, P.; Herold, M.; Culvenor, D.; Avitabile, V.; Disney, M.; Armston, J.; et al. Nondestructive estimates of above-ground biomass using terrestrial laser scanning. Methods Ecol. Evol. 2015, 6, 198–208. [Google Scholar] [CrossRef]
- Ryding, J.; Williams, E.; Smith, M.; Eichhorn, M. Assessing handheld mobile laser scanners for forest surveys. Remote Sens. 2015, 7, 1095–1111. [Google Scholar] [CrossRef]
- Bauwens, S.; Bartholomeus, H.; Calders, K.; Lejeune, P. Forest inventory with terrestrial LiDAR: A comparison of static and hand-held mobile laser scanning. Forests 2016, 7, 127. [Google Scholar] [CrossRef]
- Gollob, C.; Ritter, T.; Nothdurft, A. Forest inventory with long range and high-speed personal laser scanning (PLS) and simultaneous localization and mapping (SLAM) technology. Remote Sens. 2020, 12, 1509. [Google Scholar] [CrossRef]
- Hyyppä, E.; Yu, X.; Kaartinen, H.; Hakala, T.; Kukko, A.; Vastaranta, M.; Hyyppä, J. Comparison of backpack, handheld, under-canopy UAV, and above-canopy UAV laser scanning for field reference data collection in boreal forests. Remote Sens. 2020, 12, 3327. [Google Scholar] [CrossRef]
- Mokroš, M.; Mikita, T.; Singh, A.; Tomaštík, J.; Chudá, J.; Wężyk, P.; Kuželka, K.; Surový, P.; Klimánek, M.; Zięba-Kulawik, K.; et al. Novel low-cost mobile mapping systems for forest inventories as terrestrial laser scanning alter-natives. Int. J. Appl. Earth Obs. Geoinf. 2021, 104, 102512. [Google Scholar] [CrossRef]
- Vandendaele, B.; Martin-Ducup, O.; Fournier, R.A.; Pelletier, G.; Lejeune, P. Mobile laser scanning for estimating tree structural attributes in a temperate hardwood forest. Remote Sens. 2022, 14, 4522. [Google Scholar] [CrossRef]
- Tupinambá-Simões, F.; Pascual, A.; Guerra-Hernández, J.; Ordóñez, C.; de Conto, T.; Bravo, F. Assessing the performance of a handheld laser scanning system for individual tree mapping—A mixed forests showcase in Spain. Remote Sens. 2023, 15, 1169. [Google Scholar] [CrossRef]
- Balestra, M.; Cabo, C.; Murtiyoso, A.; Vitali, A.; Alvarez-Taboada, F.; Cantero-Amiano, A.; Bolaños, R.; Laino, D.; Pierdicca, R. Advancing forest inventory: A comparative study of low-cost MLS lidar device with professional laser scanners. Int. Arch. Photogramm. Remote Sens. Spat. Inf. Sci. 2024, XLVIII-2/W8-2024, 9–15. [Google Scholar] [CrossRef]
- Giannetti, F.; Passarino, L.; Aleandri, G.; Borghi, C.; Vangi, E.; Anzilotti, S.; Raddi, S.; Chirici, G.; Travaglini, D.; Maltoni, A.; et al. Efficiency of mobile laser scanning for digital marteloscopes for conifer forests in the Mediterranean region. Forests 2024, 15, 2202. [Google Scholar] [CrossRef]
- Guan, T.; Shen, Y.; Wang, Y.; Zhang, P.; Wang, R.; Yan, F. Advancing forest plot surveys: A comparative study of visual vs. LiDAR SLAM technologies. Forests 2024, 15, 2083. [Google Scholar] [CrossRef]
- Kokeza, A.; Jurjević, L.; Domazetović, F.; Marić, I.; Šiljeg, A.; Medak, D.; Indir, K.; Kuric, D.; Balenović, I. Testing the performance of hand-held personal laser scanning systems for precision forest inventory. Int. Conf. Environ. Remote Sens. GIS 2024, 2024, 117–120. [Google Scholar] [CrossRef]
- Sofia, S.; Giannetti, F.; Buscarini, S.; Chirici, G.; Serena, C.; Maetzke, F.; Miozzo, M.; Travaglini, D.; La Mela Veca, D.S. View of comparing efficiency, timing and costs of different walking paths in HMLS LIDAR survey. Ann. For. Res. 2024, 67, 87–107. [Google Scholar] [CrossRef]
- Hrdina, M.; Molina-Valero, J.A.; Kuželka, K.; Tatsumi, S.; Yamaguchi, K.; Melichová, Z.; Mokroš, M.; Surový, P. Obtaining the highest quality from a low-cost mobile scanner: A comparison of several pipelines with a new scanning device. Remote Sens. 2025, 17, 2564. [Google Scholar] [CrossRef]
- Kükenbrink, D.; Marty, M.; Rehush, N.; Abegg, M.; Ginzler, C. Evaluating the potential of handheld mobile laser scanning for an operational inclusion in a national forest inventory—A Swiss case study. Remote Sens. Environ. 2025, 321, 114685. [Google Scholar] [CrossRef]
- Seletković, A.; Seitz, A.; Kokeza, A.; Matošević, M.; Balenović, I. Accuracy of tree attribute estimates by personal laser scanning in an old pedunculate oak forest. Šumarski List 2025, 149, 515. [Google Scholar] [CrossRef]
- Strahler, A.H.; Jupp, D.L.B.; Woodcock, C.E.; Schaaf, C.B.; Yao, T.; Zhao, F.; Boykin-Morris, W. Retrieval of forest structural parameters using a ground-based lidar instrument (Echidna®). Can. J. Remote Sens. 2008, 34, S426–S440. [Google Scholar] [CrossRef]
- Astrup, R.; Ducey, M.J.; Granhus, A.; Ritter, T.; von Lüpke, N. Approaches for estimating stand-level volume using terrestrial laser scanning in a single-scan mode. Can. J. For. Res. 2014, 44, 666–676. [Google Scholar] [CrossRef]
- Houston Durrant, T.; de Rigo, D.; Caudullo, G. Fagus sylvatica and other beeches in Europe: Distribution, habitat, usage and threats. In European Atlas of Forest Tree Species; San-Miguel-Ayanz, J., de Rigo, D., Caudullo, G., Houston Durrant, T., Mauri, A., Eds.; Publication Office of the European Union: Luxembourg, 2016. [Google Scholar]
- Brunet, J.; Fritz, Ö.; Richnau, G. Biodiversity in European beech forests—A review with recommendations for sustainable forest management. Ecol. Bull. 2010, 53, 77–94. [Google Scholar]
- Forest Europe. State of Europe’s Forests 2020; Forest Europe: Jönköping, Sweden, 2020. [Google Scholar]
- Panagiotidis, D.; Abdollahnejad, A. Reliable estimates of merchantable timber volume from terrestrial laser scanning. Remote Sens. 2021, 13, 3610. [Google Scholar] [CrossRef]
- Bedkowski, J. Open-source, open hardware hand-held mobile mapping system for large scale surveys. SoftwareX 2024, 25, 101618. [Google Scholar] [CrossRef]
- Mauchly, J.W. Significance test for sphericity of a normal n-variate distribution. Ann. Math. Stat. 1940, 11, 204–209. [Google Scholar] [CrossRef]
- Greenhouse, S.W.; Geisser, S. On methods in the analysis of profile data. Psychometrika 1959, 24, 95–112. [Google Scholar] [CrossRef]
- Posit Team. RStudio: Integrated Development Environment for R; Posit Software: Boston, MA, USA, 2025. [Google Scholar]
- Cohen, J. Statistical Power Analysis for the Behavioral Sciences, 2nd ed.; Lawrence Erlbaum Associates: Mahwah, NJ, USA, 1988. [Google Scholar]
- Richardson, J.T.E. Eta squared and partial eta squared as measures of effect size in educational research. Educ. Res. Rev. 2011, 6, 135–147. [Google Scholar] [CrossRef]
- Bedkowski, J.; Fitri, T.Y. Novel (re-configurable, wearable, light weight, ergonomic) low cost 3D mobile mapping system not only for extreme mapping applications. Int. Arch. Photogramm. Remote Sens. Spat. Inf. Sci. 2024, XLVIII-2/W8-2024, 25–30. [Google Scholar] [CrossRef]
- Li, Z.; Chen, S.; Liang, X. Performance of UAV-based LiDAR in estimating forest structural attributes compared with TLS. ISPRS J. Photogramm. Remote Sens. 2023, 196, 45–59. [Google Scholar] [CrossRef]
- Guan, H.; Li, W.; Wang, Q.; Xu, Y. Evaluating UAV LiDAR for tree height and crown detection in temperate forests. Remote Sens. Environ. 2024, 302, 113–129. [Google Scholar]
- Mîzgaciu, D.; Ganne, A.; Legros, S.; Mermoz, S.; Bouvet, A.; Le Toan, T. A comparative analysis of UAV LiDAR and mobile laser scanning for tree height and canopy structure estimation. Forests 2025, 16, 1481. [Google Scholar] [CrossRef]
- Tupinambá-Simões, F.; Saatchi, S.; Dubayah, R.; Clark, M.L.; Calders, K.; Silva, C.A. Combining hand-held and drone-based LiDAR for forest carbon monitoring. Eur. J. For. Res. 2025, 144, 345–362. [Google Scholar] [CrossRef]










| Feature | FARO Focus Premium 150 |
|---|---|
| Maximum range | 150 m |
| Relative accuracy | 2 mm @ 10 m, 3.5 mm @ 25 m |
| Ranging error | ±1 mm |
| Angular accuracy | 19 arcsec |
| Acquisition rate | Up to 2 MPts |
| Field of view | 360° (H) × 300° (V) |
| Laser wavelength | 1153.5 nm, Class 1 |
| Beam divergence | 0.3 mrad |
| Camera | 13 MPx |
| Sample Plot | N | N/ha | DBH (cm) | Tree Height (m) | ||
|---|---|---|---|---|---|---|
| Mean + Standard Deviation | Range | Mean + Standard Deviation | Range | |||
| Low density | 10 | 200 | 25.46 ± 15.55 | 6.2–54.2 | 24.35 ± 7.94 | 6.8–32.6 |
| Medium density | 19 | 380 | 29.72 ± 12.06 | 9.2–48.2 | 27.14 ± 5.43 | 14.9–32.7 |
| High density | 32 | 640 | 19.40 ± 13.33 | 5.2–51.7 | 16.30 ± 8.02 | 4.0–27.7 |
| Feature | PLS Instrument | ||
|---|---|---|---|
| High-End FARO Orbis | Entry-Level FJD Trion P1 | Open-Source Mandeye-DEV | |
| Maximum range (m) | 120 | 70 | 70 |
| Relative accuracy (cm) | 0.5 | 2 | 2 |
| Acquisition rate (points/second) | 640,000 | 200,000 | 200,000 |
| Number of channels | 32 | 1 | 1 |
| Field of view (H × V) | 360° × 290° | 360° × 59° | 360° × 52° |
| Sensor | Hesai Pandar XT32 | Livox MID-360 | Livox MID-360 |
| LiDAR channels | 32 | 1 (≈40) | 1 (≈40) |
| Laser wavelength (nm)/class | 905, Class 1 | 905, Class 1 | 905, Class 1 |
| Beam divergence | 0.70 × 1.71 mrad | 25.2° × 8° (FWHM) | 25.2° × 8° (FWHM) |
| Camera | 360° (8 MP) | 180° (≈17 MP @ 30 fps) | No Camera |
| Operator | Instrument | SD (cm) | MD (cm) | MD (%) | RMSE (cm) | RMSE (%) |
|---|---|---|---|---|---|---|
| High Experience | High-end | 0.92 | 0.78 | 3.33 | 1.21 | 5.11 |
| Entry-level | 1.16 | 1.49 | 6.30 | 1.89 | 8.00 | |
| Open-source | 1.17 | 1.81 | 7.65 | 2.15 | 9.12 | |
| Medium Experience | High-end | 0.89 | 0.79 | 3.33 | 1.19 | 5.03 |
| Entry-level | 1.48 | 2.00 | 8.46 | 2.49 | 10.54 | |
| Open-source | 1.43 | 2.00 | 8.45 | 2.45 | 10.39 | |
| Low Experience | High-end | 0.96 | 0.80 | 3.40 | 1.25 | 5.29 |
| Entry-level | 1.40 | 2.43 | 10.31 | 2.81 | 11.89 | |
| Open-source | 1.42 | 2.18 | 9.22 | 2.60 | 11.02 |
| Operator | Instrument | SD (m) | MD (m) | MD (%) | RMSE (m) | RMSE (%) |
|---|---|---|---|---|---|---|
| High Experience | High-end | 0.17 | 0.08 | 0.40 | 0.19 | 0.89 |
| Entry-level | 0.87 | −0.84 | −3.97 | 1.21 | 5.72 | |
| Open-source | 1.62 | −1.58 | −7.52 | 2.27 | 10.77 | |
| Medium Experience | High-end | 0.30 | 0.09 | 0.42 | 0.31 | 1.49 |
| Entry-level | 0.80 | −0.80 | −3.78 | 1.13 | 5.35 | |
| Open-source | 1.61 | −1.73 | −8.20 | 2.36 | 11.21 | |
| Low Experience | High-end | 0.51 | 0.23 | 1.11 | 0.56 | 2.68 |
| Entry-level | 0.98 | −1.00 | −4.77 | 1.41 | 6.68 | |
| Open-source | 1.69 | −1.70 | −8.08 | 2.40 | 11.40 |
| Attribute | Instrument | df (GG) | p | ηp2 1 |
|---|---|---|---|---|
| DBH | High Experience | 1.96, 117.50 | <0.001 | 0.372 |
| Medium Experience | 1.99, 119.63 | <0.001 | 0.401 | |
| Low Experience | 1.99, 119.60 | <0.001 | 0.492 | |
| Tree height | High Experience | 1.20, 58.74 | <0.001 | 0.474 |
| Medium Experience | 1.31, 64.42 | <0.001 | 0.512 | |
| Low Experience | 1.43, 69.88 | <0.001 | 0.517 |
| Attribute | Instrument | df (GG) | p | ηp2 1 |
|---|---|---|---|---|
| DBH | High-end | 1.48, 88.52 | <0.001 | 0.001 |
| Entry-level | 1.95, 117.01 | <0.001 | 0.295 | |
| Open-source | 1.99, 119.18 | <0.001 | 0.084 | |
| Tree height | High-end | 1.29, 63.17 | <0.001 | 0.058 |
| Entry-level | 1.43, 70.07 | <0.001 | 0.067 | |
| Open-source | 1.43, 69.95 | <0.001 | 0.016 |
| Attribute | Effect | df (GG) | p | ηp2 1 |
|---|---|---|---|---|
| DBH | Instrument | 2.00, 119.99 | <0.001 | 0.498 |
| Operator | 1.94, 116.27 | <0.001 | 0.246 | |
| Instrument × Operator | 3.55, 213.09 | <0.001 | 0.166 (large) | |
| Tree height | Instrument | 1.21, 59.46 | <0.001 | 0.540 |
| Operator | 1.38, 67.52 | 0.661 | 0.006 | |
| Instrument × Operator | 2.59, 127.11 | 0.031 | 0.062 |
Disclaimer/Publisher’s Note: The statements, opinions and data contained in all publications are solely those of the individual author(s) and contributor(s) and not of MDPI and/or the editor(s). MDPI and/or the editor(s) disclaim responsibility for any injury to people or property resulting from any ideas, methods, instructions or products referred to in the content. |
© 2026 by the authors. Licensee MDPI, Basel, Switzerland. This article is an open access article distributed under the terms and conditions of the Creative Commons Attribution (CC BY) license.
Share and Cite
Kokeza, A.; Seitz, A.; Jurjević, L.; Medak, D.; Indir, K.; Balenović, I. Comparative Performance of Handheld Personal Laser Scanning Instruments and Operator Experience in Forest Inventory of Even-Aged European Beech Stand. Forests 2026, 17, 216. https://doi.org/10.3390/f17020216
Kokeza A, Seitz A, Jurjević L, Medak D, Indir K, Balenović I. Comparative Performance of Handheld Personal Laser Scanning Instruments and Operator Experience in Forest Inventory of Even-Aged European Beech Stand. Forests. 2026; 17(2):216. https://doi.org/10.3390/f17020216
Chicago/Turabian StyleKokeza, Andro, Albert Seitz, Luka Jurjević, Damir Medak, Krunoslav Indir, and Ivan Balenović. 2026. "Comparative Performance of Handheld Personal Laser Scanning Instruments and Operator Experience in Forest Inventory of Even-Aged European Beech Stand" Forests 17, no. 2: 216. https://doi.org/10.3390/f17020216
APA StyleKokeza, A., Seitz, A., Jurjević, L., Medak, D., Indir, K., & Balenović, I. (2026). Comparative Performance of Handheld Personal Laser Scanning Instruments and Operator Experience in Forest Inventory of Even-Aged European Beech Stand. Forests, 17(2), 216. https://doi.org/10.3390/f17020216

