Next Article in Journal
Climate and Competition Effects on Basal Area Growth Vary with Beech–Fir Mixture and Stand Structure
Previous Article in Journal
Fungal Diversity Associated with the Sharp-Dentated Bark Beetle Ips acuminatus (Coleoptera: Curculionidae) in Latvia
Previous Article in Special Issue
The Multifunctional Role of Salix spp.: Linking Phytoremediation, Forest Therapy, and Phytomedicine for Environmental and Human Benefits
 
 
Font Type:
Arial Georgia Verdana
Font Size:
Aa Aa Aa
Line Spacing:
Column Width:
Background:
Article

Particulate Retention, Transfer and Release by Cut and Potted Christmas Trees

by
Hanna Moniuszko
1,2,
Arkadiusz Przybysz
1,2,
Weronika Połaska
2,
Edmund Jerzy Popek
3,
Natalia Ropelewska
2 and
Robert Popek
1,2,*
1
Centre for Climate Research SGGW, Warsaw University of Life Sciences—SGGW (WULS—SGGW), Nowoursynowska 166, 02-787 Warsaw, Poland
2
Department of Plant Protection, Institute of Horticultural Sciences, Warsaw University of Life Sciences—SGGW, Nowoursynowska Street 159, 02-776 Warsaw, Poland
3
Janusz Korczak Primary School and Preschool Complex in Urle, Żwirki i Wigury 4, 05-281 Urle, Poland
*
Author to whom correspondence should be addressed.
Forests 2026, 17(1), 10; https://doi.org/10.3390/f17010010 (registering DOI)
Submission received: 29 November 2025 / Revised: 17 December 2025 / Accepted: 19 December 2025 / Published: 21 December 2025

Abstract

Coniferous species are known for their ability to purify air from particulate matter (PM), yet particulates accumulated during cultivation, transport, and outdoor storage may be transferred indoors. This study assesses the particulate load, subsequent retention, and further accumulation/release of PM by commercially available Christmas trees—Norway spruce (Picea abies (L.) H. Karst.) and Caucasian fir (Abies nordmanniana (Steven) Spach). Trees were examined in two commercial forms and maintained in six typical households (three with cut and potted P. abies, three with cut and potted A. nordmanianna) for 30 days. Measurements at four intervals included concentration dynamics of total PM, PM size fractions, as well as surface vs. in-wax PM ratios and epicuticular waxes on needles. Results showed that potted trees carried substantially higher initial PM loads than cut trees, with P. abies exceeding 200 µg·cm−2, likely due to differences in production and handling. Potted P. abies and cut A. nordmanniana retained large PM fractions more effectively than cut P. abies. In contrast, the fine PM fraction, the most health-relevant, was best accumulated by cut P. abies. Wax-bound PM shares increased time in potted trees and decreased in the cut. Overall, the findings suggest that choosing a Christmas tree is not only an aesthetic preference but a decision with measurable implications for winter indoor air quality.

1. Introduction

Airborne particulate matter (PM) represents one of the major environmental pollutants worldwide. Long-term exposure to fine particulates (PM2.5 and smaller) is well known to contribute to respiratory and cardiovascular diseases, but it has also been linked to less commonly recognized health outcomes, for example, low birth weight [1,2]. While outdoor air pollution is routinely monitored and regulated by legislation [3], indoor environments still require more comprehensive investigation [4,5]. Indoor air may contain even higher concentrations of PM, particularly during the heating season, when polycyclic aromatic hydrocarbons (PAHs) and black carbon are released as by-products of organic fuel combustion [4,6,7]. Cooking remains another major source for elevated fine PM concentrations indoors [8]. In addition to indoor PM sources, polluted outdoor air can penetrate into buildings and substantially increase overall contamination [5]. These factors, combined with reduced building ventilation, call for sustainable strategies to mitigate increasing indoor air pollution [9].
Similarly to the application of large-scale green infrastructure in outdoor urban areas [10,11,12], air phytoremediation using ornamental plants can also be implemented indoors [9]. Although air phytoremediation efficiency in confined spaces has been questioned, especially when passive PM removal by potted plants is considered [13], the advantages of the botanical air filters include their ecological character, aesthetic value, and relatively low-cost [14,15,16,17]. The two most common forms of indoor greenery include potted plants and green walls. So far, the species examined in the context of indoor PM removal include Chlorophytum comosum (Thunb.) Jacq., Chlorophytum Orchidastrum Lindl., Epipremnum aureum (Linden & André) G.S.Bunting, Ficus lyrate L., Nephrolepis exaltata (L.) Schott ‘bostoniensis’ and Schefflera arboricola L. [18,19]. Among the factors influencing indoor PM removal, the air humidity, leaf area, and light intensity are known to enhance the process [19]. The mechanisms involved in air purification include induced airflow through the green wall structure and substrate, as well as passive particulate deposition on foliage surfaces [9,20].
During the Christmas period, potted and/or fresh-cut plants such as Norway spruce (Picea abies (L.) H. Karst). and Caucasian fir (Abies nordmanniana (Steven) Spach) are widely introduced to houses as a part of long-standing cultural traditions [21,22]. In many cases, homes are adorned with cut Christmas trees, while a more environmentally conscious approach favors the use of potted specimens that can later be replanted outdoors, extending their ecological value beyond the festive season [23]. The high effectiveness of air pollution removal by spruces and firs is well evidenced in outdoor conditions. Previous studies have demonstrated that the combination of morphological traits such as extensive foliage area, the presence of waxy layers, rough surfaces and brushy structure of conifers contributes to the capture of fine and coarse particles [24,25,26]. It is because these features enhance the effective surface area for PM deposition, thereby increasing the overall capacity of plants to capture and retain airborne pollutants. However, this exceptional effectiveness comes at a cost—conifers planted in highly polluted areas can experience increased physiological stress and reduced performance.
Nevertheless, despite existing evidence of the high efficiency of conifers in outdoor PM removal, the potential of Christmas trees to alter indoor air quality remains unexplored to date. At the same time, in much of the world, the festive season coincides with winter and the heating period, when buildings are tightly sealed, cooking activities intensify, and people gather indoors—conditions that typically elevate PM levels. The mentioned species, due to their morphology and biological activity, can possibly act as temporary biofilters for indoor air, similarly to their conspecifics growing outdoors [24]. On the other hand, commercially available trees that are typically kept and sold outdoors accumulate PM particles prior to purchase. Once brought inside, these pollutants may be released into the indoor environment, potentially contributing to further deterioration of already poor air quality.
This study aimed to determine the extent to which P. abies and A. nordmanniana affect air quality in household environments. We compared trees supplied in two commercial forms—potted (living) and cut—and assessed the potential of Christmas trees as (1) carriers of pre-accumulated outdoor PM into indoor spaces, and (2) temporary indoor biofilters that may capture indoor-generated PM. It was hypothesized that differences between species identity and commercial forms (potted vs. cut) Christmas trees are reflected in the initial PM deposition, PM accumulation and/or release, and in the amount of epicuticular waxes produced.

2. Materials and Methods

2.1. Plant Material

The plant material consisted of two conifer species commonly used as Christmas trees: Norway spruce, Picea abies (L.) H. Karst, and Caucasian fir Abies nordmanniana (Steven) Spach (Pinales: Pinaceae). Trees of both species were obtained from the same commercial Christmas tree nursery located in Glinojeck (Mazovia region, Poland). The experimental material included trees with intact root systems (potted) as well as cut trees without roots. All trees were of comparable size and age and had been cultivated under similar field conditions before being transported to indoor environments.
For the experiment, unwashed trees with Christmas decorations were placed in detached single-family houses located in the Mazovia region (Poland), representing typical residential indoor conditions during the Christmas period with regular human activities (Figure 1).
A total of six houses located in urban areas were selected (three houses with both cut and potted P. abies each; three houses with both cut and potted A. nordmaniana each), serving as a separate experimental unit. Houses and rooms were selected randomly, while ensuring broadly comparable characteristics, including similar living room size, room function, and typical household ventilation systems. Trees were placed separately in living rooms, while kitchens were excluded, to prevent the influence of microclimatic factors (e.g., increased humidity and temperature related to cooking).
Throughout the experimental period, both P. abies and A. nordmanniana trees were maintained under as-similar-as-possible indoor environmental conditions characteristic of inhabited households, including stable room temperature, natural lighting, and typical indoor humidity. No watering, fertilization, or treatments were applied beyond standard practices typical for indoor display of Christmas trees. Although basic environmental similarity was ensured, households differed in occupancy, ventilation habits, and cleaning practices; these factors were not experimentally controlled and were treated as inherent sources of variability representative of real-life residential conditions.

2.2. Needle Sampling

The sampling period covered December and January of the 2020/2021 winter season. Needles of P. abies and A. nordmanniana were collected according to a uniform procedure. Each tree constituted one biological replicate from which approximately 50–60 needles were collected. To minimize the influence of micro-environmental variability, needles were consistently collected from the outer parts of the crown at approximately human breathing height (about 1.3–1.6 m above the floor). Sampling was preferentially conducted on the side of the tree facing the main room space and areas of human activity, and opposite to walls, windows, or other vertical surfaces, in order to better reflect conditions associated with airborne particle deposition and resuspension in occupied indoor environments.
Needle collections were performed at four time intervals: immediately after the trees were brought indoors (day 0), and subsequently on the 10th, 20th, and 30th day of the experiment. Needles of both species and forms were sampled from branches located in exposed parts of the crown to obtain representative material.
Immediately after collection, the needles were put in labeled paper envelopes and stored in a dry, controlled environment with stable temperature and humidity until further analyses. All collected material was later used for laboratory analyses.

2.3. Determination of Surface (SPM) and Wax-Retained (WPM) Particulate Matter and Wax Content

A protocol established by Dzierżanowski et al. [27] was followed. To determine the amount of water-insoluble PM deposited on the surface of needles, three types of filters with a diameter of 47 mm were used: paper filters type 91 (pore size 10 μm), type 42 (pore size 2.5 μm), and PTFE membrane filters (pore size 0.2 μm) (Whatman, Maidstone, UK). Before use, the filters were dried for 30 min at 60 °C in a laboratory dryer (KCW-100, PREMED, Łódź, Poland) and then stabilized under room conditions for another 30 min. After equilibration, the filters were weighed (XS105DU, Mettler-Toledo, Greifensee, Switzerland) and neutralized using a deionization gate (HAUG, St. Gallen, Switzerland) to eliminate electrostatic charge.
For the determination of surface-deposited PM (SPM), each needle sample was placed in a glass crystallizer and rinsed with 250 mL of distilled water for 60 s to wash off particles loosely attached to the needle surface. The obtained suspension was passed through a 100 μm metal sieve (Haver & Boecker, Oelde, Germany) to remove coarse debris and then filtered under vacuum using a filtration set (PALL Corp., Port Washington, NY, USA) connected to a vacuum pump (KNF Neuberger, Inc., Trenton, NJ, USA). Filtration was carried out sequentially through filters with pore sizes of 10 μm, 2.5 μm, and 0.2 μm. To reduce surface tension, several drops of isopropyl alcohol were applied to PTFE filters prior to filtration. Particles collected on the filters represented large (10–100 μm), coarse (2.5–10 μm), and fine (0.2–2.5 μm) fractions. After filtration, filters were dried and reweighed under the same conditions. The difference in mass before and after filtration was used to calculate the amount of PM deposited on the needle surface.
To assess the amount of PM retained within epicuticular waxes (WPM), needle samples were rinsed with 150 mL of chloroform and mixed for 40 s to dissolve the wax layer along with embedded particles. The suspension was filtered in the same manner as the water washings, except that isopropyl alcohol was not used before filtration through 0.2 μm PTFE filters.
The total wax content on the needle surface was determined from the chloroform filtrate. The filtrate containing dissolved waxes was transferred into pre-weighed glass beakers, which were left under a fume hood until complete solvent evaporation. The remaining wax layer was then weighed, and the difference in beaker mass before and after evaporation was used to determine the wax amount covering the needles.
The surface area of needles was measured using an Image Analysis System (Skye Instruments Ltd., Llandrindod Wells, UK), and the data were processed with the SkyeLeaf v2 software. The results were expressed as micrograms of PM or wax per square centimeter of needle surface (µg·cm−2).

2.4. Statistical Analysis

All data obtained from laboratory measurements and indoor air monitoring were statistically analyzed using Statgraphics Plus 4.1 (Statgraphics Technologies, Inc., The Plains, VA, USA) and OriginPro 2021 (OriginLab Corp., Northampton, MA, USA) software. A one-way analysis of variance (ANOVA) was applied to determine the effect of the tree species and form on PM deposition/release, and wax content. When statistically significant differences were detected, comparisons between mean values were performed using Student’s t-test based on the Least Significant Difference (LSD) procedure at a significance level of α = 0.05. The results are presented in figures and tables as mean values with standard error (±SE), reflecting the variability within each treatment.

3. Results

(Picea abies (L.) H. Karst.) and Abies nordmanniana (Steven) Spach differed markedly in the initial total PM deposition on needles (Figure 2).
At the beginning of the experiment (0 days), clear quantitative differences in total PM loads were observed between tree species as well as between potted and cut individuals. Potted P. abies carried by far the highest PM loads, exceeding those on potted A. nordmanniana by approximately 80%. Cut P. abies also contained substantially more PM than cut A. nordmanniana at the start, with spruce exceeding fir by around 100%. Within each species, potted individuals exhibited markedly higher initial PM loads than cut ones: in P. abies by about 34%, and in A. nordmanniana by roughly 50%.
In P. abies, differences between potted and cut trees persisted throughout the 30-day period, but their temporal dynamics were distinct. In potted spruce, total PM loads remained relatively stable, with fluctuations generally within ±10% of the initial values, indicating sustained retention capacity under indoor conditions. In contrast, cut P. abies showed a clear two-phase pattern: PM loads increased by about 20% after 10 days, followed by a systematic decline, reaching levels 15%–25% below the initial value by day 30. When compared to the peak at day 10, this represented a total drop of nearly 35%, confirming that cut spruce needles lost PM more readily over time than potted ones.
In A. nordmanniana, initial PM loads were consistently lower than those of P. abies across both potted and cut trees, with fir carrying 40%–60% less PM on average at the start. Potted fir trees exhibited a gradual PM decline of 10%–15% during the first 20 days, followed by a 5%–10% increase by day 30, likely reflecting indoor re-deposition processes. Cut A. nordmanniana displayed a different pattern: PM loads decreased continuously, reaching values 20%–25% lower than the initial measurement by day 30, with no sign of redeposition.
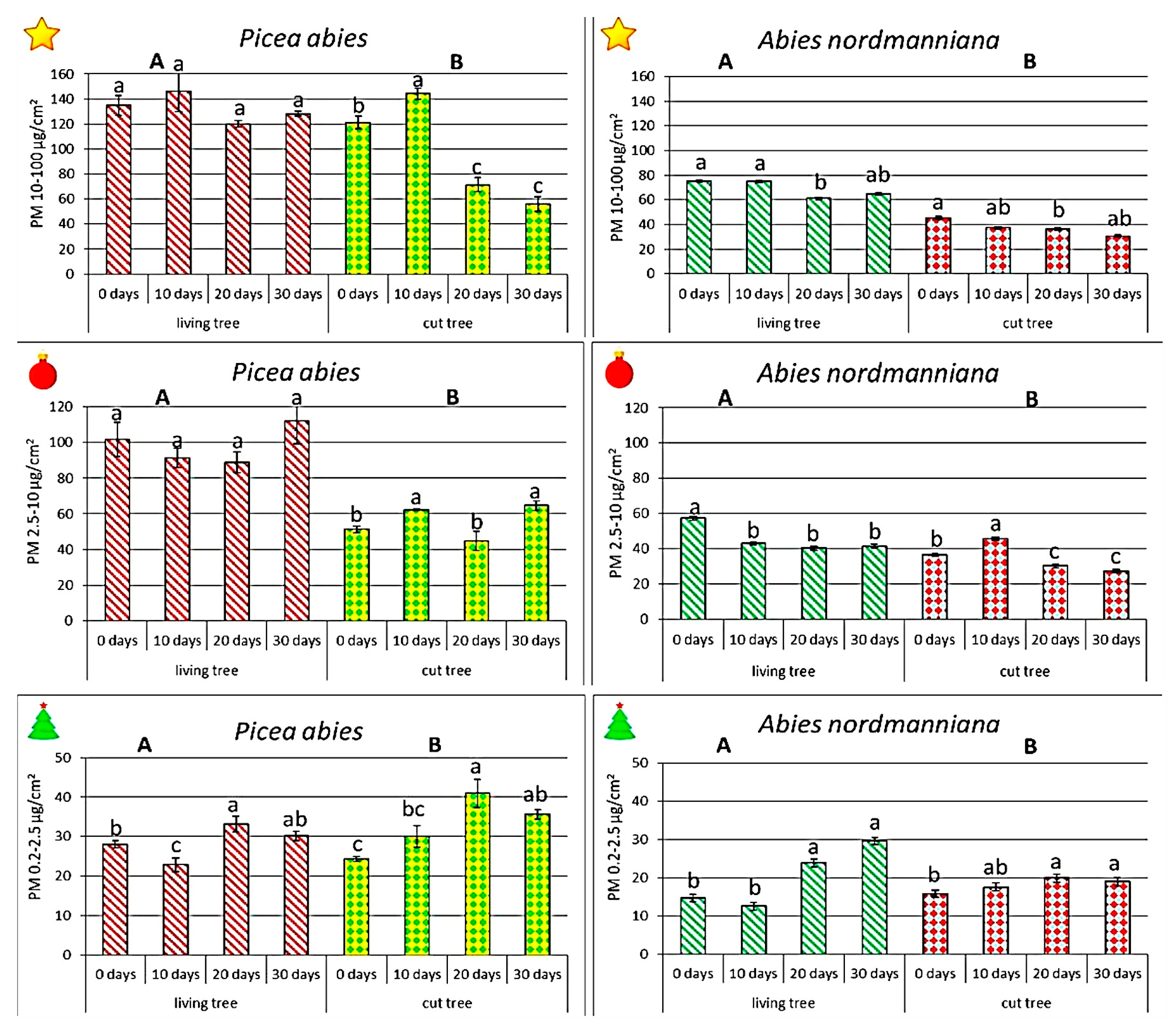
Considering the different particle size fractions (PM10–100, PM2.5–10, and PM0.2–2.5), both species exhibited clear, size-dependent differences in PM deposition under indoor conditions. At the beginning of the experiment, on potted P. abies, there was substantially more PM deposited across all particle sizes than on potted A. nordmanniana. For large particles (PM10–100), spruce exceeded fir by approximately 79%. The coarse fraction (PM2.5–10) showed a similarly big difference of 77%, while the fine fraction (PM0.2–2.5) was nearly 90% higher in spruce (Figure 3).
Cut trees showed a similar pattern. Cut P. abies was characterized by accumulated c. 170% more large PM deposited than cut A. nordmanniana, by 40% more coarse PM, and c. 55% more fine PM. Thus, in line with the total PM patterns, spruce—especially potted trees—introduced markedly more PM of every size fraction into indoor spaces on day 0.
In P. abies, large particles (PM10–100) on potted trees remained relatively stable across the 30-day indoor exposure, fluctuating within ±10% of initial values. In turn, cut spruce exhibited a two-phase pattern: a short-lived increase of roughly 20% by day 10, followed by a pronounced decline of about 50% by day 30. This indicates that coarse PM is released far more readily from cut than from potted spruces. Potted A. nordmanniana showed a decline of ~15%, whereas cut individuals lost ~35% of their initial PM10–100 load by day 30.
In the case of coarse particles (PM2.5–10), potted P. abies maintained high and stable retention, while cut spruce retained nearly 50% less of this fraction and showed fluctuations over time. In A. nordmanniana, coarse PM loads remained much lower. Potted firs decreased by ~25%, while cut ones declined by almost 40%, reinforcing the weaker retention capacity of fir in this particle range.
The finest and most health-relevant particles (PM0.2–2.5) behaved differently. Potted P. abies increased its fine PM loads by about 20%, while cut spruce increased them by 30%–40% over the 30-day period. Although A. nordmanniana initially retained 40%–50% less fine PM than spruce, its dynamics diverged: potted firs showed a consistent upward trend, whereas cut firs remained nearly unchanged. Importantly, the increase in fine particle retention was most evident in cut P. abies and potted A. nordmanniana.
The shares of PM retained on the needles (SPM) and embedded within the waxes (WPM) differed between vitality classes and showed relatively consistent patterns over the 30-day exposure period (Figure 4).
In potted trees, the share of wax-embedded PM remained stable with a slight increase on day 30. In P. abies, WPM stayed near 58%–59% throughout the 20-day period, with 62.2% on day 30. In A. nordmanniana, WPM increased noticeably—from 38% on day 0 to 48% on day 30. In cut trees, the pattern shifted toward increasing surface deposition. In P. abies, SPM rose from 43.9% to 48.1% by day 30. In A. nordmanniana, overall SPM increased from 40.6% to 45.6% on day 30, with some fluctuations in between.
The amount of epicuticular waxes differed clearly between species and was influenced by tree form (Figure 5).
At the beginning of the experiment, potted A. nordmanniana possessed about 21% more waxes than potted P. abies. However, in potted P. abies the wax content increased sharply during the first 10 days indoors, representing a 46.6% rise. Although values fluctuated afterwards, wax amounts remained elevated, with a 40%–47% increase compared with day 0 across the entire 30-day period.
Potted A. nordmanniana exhibited a gradual but non-significant decline in wax content: by 8.3% after 10 days, 7.1% after 20 days, and 12.8% after 30 days. Despite occasional increases in individual samples, the overall trend suggests modest wax loss rather than accumulation.
Cut trees displayed lower and more variable wax levels. In cut P. abies, wax content decreased during the first 10 days by 14.4%, followed by partial stabilization (−12% at day 20 and −10% at day 30). In cut A. nordmanniana, wax content initially dropped by 18% but subsequently increased above the starting value, reaching 5.3% more on day 20 and 11% on day 30.

4. Discussion

4.1. Significance of Christmas Trees

Christmas trees represent an essential cultural element of the winter holiday season, typically remaining indoors for several weeks in living rooms, dining areas, and other spaces where household members—including young children—spend much of their time during Christmas [21,22,28]. Consumers may choose among different species, commercial forms (potted or cut), and modes of preparation, transport, and storage [23,28]; however, these decisions are driven almost exclusively by aesthetics, scent, and price [28].
What remains largely unrecognized is that, together with the tree, households may inadvertently introduce airborne pollutants previously accumulated during outdoor cultivation, handling, or transport. At the same time, it may turn out that Christmas conifers can also remove pollutants already present in indoor air, functioning—at least potentially—as a natural biofilter during the holiday period. For example, another coniferous species, Araucaria excelsa (Salisb.) Franco, revealed a promising potential in absorbing hydrogen sulfide [29].

4.2. Indoor Transfer of PM Deposited on P. abies vs. A. nordmanniana

Our results clearly demonstrate that Christmas trees do not enter the indoor environment as neutral objects. The initial measurements taken immediately after introducing the trees indoors showed that P. abies trees introduce considerably more total PM on its needles indoors than A. nordmanniana, confirming the hypothesis of inter-specific differences. This is a natural consequence of the high PM accumulation capacity of P. abies. Recent studies confirmed that even in national parks where airborne pollutants are transported by wind from adjacent urban and industrial zones, P. abies accumulates more than 200 µg·cm−2 of total PM, a result close to the one obtained in the present study [24]. The superior PM accumulation capacity of P. abies is consistent with its morphological characteristics. Spruce needles are arranged radially, forming dense, brush-like whorls that increase the effective capture surface. Their quadrangular cross-section provides greater micro-roughness and adhesion points for particles. In contrast, A. nordmanniana has flat needles arranged in two lateral rows, creating a smoother aerodynamic profile that likely reduces particle interception. Similar conclusions were drawn from comparison of PM capture capacity made between needles of another spruce species, Picea sitchensis (Bong.) Carrière, and those of Pinus sylvestris L., pine [25]. On the other hand, research performed on Abies holophylla Maxim., Pinus tabulaeformis Carr., and Juniperus chinensis L. revealed no significant correlation between PM retention capacity and needle roughness and grooves [30]. Taken together, these findings suggest that needle morphology alone is not a reliable predictor of PM accumulation potential, as multiple interacting factors—including species-specific physiology, wax composition, environmental conditions, and exposure history—shape the overall retention efficiency. Zhang et al. [30] further emphasize the need for standardized methodologies for quantifying PM deposition on foliage, noting that inconsistent measurement approaches may obscure true interspecific differences.

4.3. Indoor Transfer of PM Deposited on Cut vs. Potted Trees

Bringing a cut tree indoors resulted in substantially lower amounts of total PM introduced with both species, confirming the assumption on differences between commercial forms of trees. This difference is likely related to the production chain and logistics typical for cut Christmas trees. Cut trees are harvested, handled, and transported in ways that naturally promote mechanical shaking and particle loss, including the cutting act itself, bundling, loading, and repeated repositioning. They are also frequently stored in dense stacks before sale and wrapped in mesh netting [28], which further limits their exposure to open air and reduces the effective contact surface for accumulating pollution. In addition, once detached from the root system, trees rapidly experience reduced or arrested physiological activity, affecting needle turgor and wax plasticity and increasing needle desiccation and particulate shedding during transport [28]. Consequently, much of the PM acquired outdoors may be lost before the tree enters the household environment, explaining the lower indoor PM introduction compared with potted individuals, which are handled more carefully and are exposed to open air.

4.4. Changes in PM Quantities over Time

Patterns of total PM accumulation also differed between tree species and commercial forms. In potted P. abies, total PM loads remained relatively stable throughout the exposure period, indicating a sustained capacity for retention. Potted A. nordmanniana exhibited slightly more pronounced fluctuations, suggesting slightly weaker retention. These observations can be partly attributed to differences in epicuticular waxes discussed in Section 4.5.
Inter-specific differences in postharvest needle and moisture retention characteristics of cut Christmas trees are well known among planters and sellers [28]. Our results further explore these differences in the context of PM release/accumulation. Cut P. abies showed a temporary PM accumulation on day 10. This gain was short-lived, though: within the following ten days, both previously accumulated particles and those introduced indoors with the tree were largely re-released back into the air. By day 20 of the experiment, both cut species began to act as net PM sources, releasing particles into the indoor environment. Cut A. nordmanianna revealed better retention capacity (i.e., lower release rate) for total PM than cut P. abies. This behavior most likely reflects inter-specific dynamics of the loss of physiological activity in cut trees as needles desiccate, resulting in spruces and firs becoming passive PM emitters to different extents. This stance is supported by observations on other commercially available firs (noble fir, Abies procera Alfred Rehder, and Fraser fir, Abies fraseri (Pursh) Poir.), which are known for high postharvest longevity and sustained ornamental quality [28].
However, the above-discussed PM emission was mainly due to the release of the large and partly coarse PM fractions, the health relevance of which is lower compared to fine particles. The latter fraction revealed the most intriguing and ambiguous patterns of accumulation. Toward the end of the experiment, both species exhibited increasing deposition of PM0.2–2.5—the most hazardous class of airborne PM [1,2,3]. Interestingly, cut P. abies and potted A. nordmanniana were the most effective at reducing indoor concentrations in this size range, suggesting species- and condition-specific differences in fine-particle capture.
At the same time, variability among households—including differences in ventilation regimes, occupancy patterns, cleaning intensity, heating systems, and room layout—likely contributed to background heterogeneity in PM deposition and resuspension processes and should be considered when interpreting the observed temporal dynamics.

4.5. Surface and In-Wax PM, and Wax Content

Epicuticular wax content is an important trait shaping PM capture and retention by trees [27,31]. In potted P. abies, the share of WPM was dominant and fluctuated within a range of 4.1%, while in potted A. nordmanniana, WPM represented a smaller category with higher fluctuations (10.8%) throughout the experimental period. Nonetheless, in both potted species, WPM content was higher on day 30 than on day 0, suggesting the impact of the physiological activity of potted trees on PM wax-binding. In P. abies trees growing in a natural environment, the SPM–WPM ratio depends on location, with varied dominance of both categories [24]. Despite these differences, Muhammad et al. [32], based on field-collected data, categorized P. abies and A. nordmanniana together as taxa of low particle immobilization capacity. Cut P. abies behaved similarly to the potted, with a fluctuation range of 4.7%. In turn, cut A. nordmanniana revealed a completely opposite trend compared to potted trees: in this case WPM was the dominant fraction, with a fluctuation range of 6.2%. However, this does not change the fact that both cut-tree species had more WPM on day 0 than on day 30.
The above-discussed differences may also stem from the varying epicuticular wax concentrations and production dynamics between the two conifers. In living P. abies, the initial wax content was lowest but increased over time, eventually surpassing that of A. nordmanniana. This indicates an active regeneration of surface waxes in living spruces—possibly a physiological response to initial indoor stress—a mechanism absent or much delayed in firs. Cut specimens of both species showed lower wax levels, however, with a slight but non-significant increase in A. nordmanniana in the latter part of the experiment. Next to wax amount, P. abies and A. nordmanianna are also characterized by different types of waxy structures produced and wax clustering process, with tubules in spruce and crusts in fir [32]. However, Muhammad et al. [32] found no correlations between the mentioned wax structure types and PM immobilization on needles.

4.6. Study Limitations

This study has two limitations that should be acknowledged. First, we did not quantify indoor airborne PM concentrations; therefore, the extent to which the observed deposition and release patterns on tree foliage translate into actual changes in indoor air quality remains to be verified. Future research combining foliage-based measurements with simultaneous indoor PM monitoring would allow a more complete assessment of the biofiltration potential of Christmas trees.
Second, although we ensured as consistent environmental conditions as possible across households, minor differences in ventilation habits, air movement, cleaning frequency, and daily activities were unavoidable. Such variation may have affected particulate deposition and resuspension to a limited degree. On the other hand, these differences reflect real-world domestic settings, thus enhancing the ecological relevance of our observations.

5. Conclusions

The results obtained in this study are somewhat counter-intuitive and do not fully support our initial hypothesis that potted Christmas trees are invariably the best choice for indoor air quality improvement. Based on total PM loads alone, potted specimens—regardless of species—initially appeared the most favorable option, particularly for environmentally conscious consumers. However, a deeper analysis of fraction-specific PM accumulation and release revealed a more complex picture. An unexpected finding was that cut trees, although less sustainable from an ecological perspective, introduced substantially less PM into indoor environments than potted ones. Furthermore, cut P. abies revealed the highest accumulation capacity of fine PM, the fraction of greatest concern for human health. Thus, even the less “green” option shows its own environmental advantage.
Therefore, while consumer preferences often favor firs for their dense crowns and ornamental appeal, our findings indicate that from an indoor air-quality viewpoint, P. abies trees (both forms) offer the most reliable phytoremediation performance.
Taken together, these results demonstrate that neither species identity nor commercial form can be overlooked when evaluating the impact of Christmas trees on indoor air quality. Their environmental function is shaped by a nuanced interplay of morphology, vitality, transport history and particulate behavior—elements that do not always align with consumer expectations.

Author Contributions

Conceptualization, R.P.; methodology, H.M. and R.P.; software, E.J.P. and R.P.; validation, HM., R.P. and A.P.; formal analysis, W.P., N.R., and R.P.; investigation, W.P. and N.R.; resources, A.P. and R.P.; data curation, W.P., E.J.P., N.R. and R.P.; writing—original draft preparation, H.M.; writing—review and editing, R.P. and A.P.; visualization, E.J.P. and R.P.; supervision, A.P.; and R.P.; project administration, H.M. and R.P.; funding acquisition, R.P. All authors have read and agreed to the published version of the manuscript.

Funding

This research received no external funding.

Data Availability Statement

Data available on request of authors.

Conflicts of Interest

The authors declare no conflicts of interest.

References

  1. Brook, R.D.; Rajagopalan, S. Particulate matter, air pollution, and blood pressure. J. Am. Soc. Hypertens. 2009, 3, 332–350. [Google Scholar] [CrossRef]
  2. Kim, K.H.; Kabir, E.; Kabir, S. A review on the human health impact of airborne particulate matter. Environ. Int. 2015, 74, 136–143. [Google Scholar] [CrossRef]
  3. World Health Organization. Air Quality Guidelines: Global Update 2005: Particulate Matter, Ozone, Nitrogen Dioxide, and Sulfur Dioxide; World Health Organization: Geneva, Switzerland, 2006. [Google Scholar]
  4. Semmens, E.O.; Noonan, C.W.; Allen, R.W.; Weiler, E.C.; Ward, T.J. Indoor particulate matter in rural, wood stove heated homes. Environ. Res. 2015, 138, 93–100. [Google Scholar] [CrossRef] [PubMed]
  5. Bandehali, S.; Miri, T.; Onyeaka, H.; Kumar, P. Current State of Indoor Air Phytoremediation Using Potted Plants and Green Walls. Atmosphere 2021, 12, 473. [Google Scholar] [CrossRef]
  6. Jung, K.H.; Patel, M.M.; Moors, K.; Kinney, P.L.; Chillrud, S.N.; Whyatt, R.; Hoepner, L.; Garfinkel, R.; Yan, B.; Ross, J.; et al. Effects of heating season on residential indoor and outdoor polycyclic aromatic hydrocarbons, black carbon, and particulate matter in an urban birth cohort. Atmos. Environ. 2010, 44, 4545–4552. [Google Scholar] [CrossRef]
  7. Kapwata, T.; Language, B.; Piketh, S.; Wright, C.Y. Variation of Indoor Particulate Matter Concentrations and Association with Indoor/Outdoor Temperature: A Case Study in Rural Limpopo, South Africa. Atmosphere 2018, 9, 124. [Google Scholar] [CrossRef]
  8. Shao, Z.; Bi, J.; Ma, Z.; Wang, J. Seasonal trends of indoor fine particulate matter and its determinants in urban residences in Nanjing, China. Build. Environ. 2017, 125, 319–325. [Google Scholar] [CrossRef]
  9. Pettit, T.; Irga, P.J.; Torpy, F.R. Towards practical indoor air phytoremediation: A review. Chemosphere 2018, 208, 960–974. [Google Scholar] [CrossRef] [PubMed]
  10. Moniuszko, H.; Popek, R.; Nawrocki, A.; Stankiewicz-Kosyl, M.; Grylewicz, S.; Podoba, S.; Przybysz, A. Urban meadow—A recipe for long-lasting anti-smog land cover. Int. J. Phytoremediation 2024, 26, 1932–1941. [Google Scholar] [CrossRef] [PubMed]
  11. Leonard, R.J.; McArthur, C.; Hochuli, D.F. Particulate matter deposition on roadside plants and the importance of leaf traitcombinations. Urban For. Urban Green. 2016, 20, 249–253. [Google Scholar] [CrossRef]
  12. Chen, L.; Liu, C.; Zou, R.; Yang, M.; Zhang, Z. Experimental examination of effectiveness of vegetation as bio-filter of particulate matters in the urban environment. Environ. Pollut. 2016, 208, 198–208. [Google Scholar] [CrossRef]
  13. Budaniya, M.; Rai, A.C. Effectiveness of plants for passive removal of particulate matter is low in the indoor environment. Build. Environ. 2022, 222, 109384. [Google Scholar] [CrossRef]
  14. Sarkar, M.; Das, S.; Rakwal, R.; Agrawal, G.K.; Sarkar, A. Phytoremediation: An eco-friendly, sustainable solution for indoor and outdoor air pollution. In Innovative Bio-Based Technologies for Environmental Remediation; CRC Press: Boca Raton, FL, USA, 2022; pp. 155–195. [Google Scholar] [CrossRef]
  15. El-Tanbouly, R.; Hassan, Z.; El-Messeiry, S. The role of indoor plants in air purification and human health in the context of COVID-19 pandemic: A proposal for a novel line of inquiry. Front. Mol. Biosci. 2021, 8, 709395. [Google Scholar] [CrossRef]
  16. Madhavan, M.; Abisha, A.V.; Babu, L.; Liyana, K.; Chacko, S.; Soniya, A.; Tharakan, S.T. A Review of Air Purification by Indoor and Outdoor Plants. Innov. Biol. Sci. 2024, 6, 110–120. [Google Scholar] [CrossRef]
  17. Kumar, R.; Verma, V.; Thakur, M.; Singh, G.; Bhargava, B. A systematic review on mitigation of common indoor air pollutants using plant-based methods: A phytoremediation approach. Air Qual. Atmos. Health 2023, 16, 1501–1527. [Google Scholar] [CrossRef]
  18. Irga, P.J.; Pettit, T.J.; Torpy, F.R. The phytoremediation of indoor air pollution: A review on the technology development from the potted plant through to functional green wall biofilters. Rev. Environ. Sci. Bio/Technol. 2018, 17, 395–415. [Google Scholar] [CrossRef]
  19. Teiri, H.; Hajizadeh, Y.; Azhdarpoor, A. A review of different phytoremediation methods and critical factors for purification of common indoor air pollutants: An approach with sensitive analysis. Air Qual. Atmos. Health 2022, 15, 373–391. [Google Scholar] [CrossRef]
  20. Matheson, S.; Fleck, R.; Irga, P.J.; Torpy, F.R. Phytoremediation for the indoor environment: A state-of-the-art review. Rev. Environ. Sci. Bio/Technol. 2023, 22, 249–280. [Google Scholar] [CrossRef] [PubMed]
  21. Laing, J.; Frost, W. Christmas traditions: Pagan roots, invented rites. In Rituals and Traditional Events in the Modern World; Routledge: London, UK, 2014; pp. 103–125. [Google Scholar]
  22. Behe, B.K.; Walden, R.M.; Duck, M.W.; Cregg, B.M.; Kelley, K.M.; Lineberger, R.D. Consumer preferences for tabletop Christmas trees. HortScience 2005, 40, 409–412. [Google Scholar] [CrossRef]
  23. Mehta, S. The Living Christmas Company: Making Christmas Merry for Trees; SAGE Publications: London, UK, 2021. [Google Scholar] [CrossRef]
  24. Popek, R.; Przybysz, A.; Łukowski, A.; Baranowska, M.; Bułaj, B.; Hauke–Kowalska, M.; Jagiełło, R.; Korzeniewicz, R.; Moniuszko, H.; Robakowski, P.; et al. Shields against pollution: Phytoremediation and impact of particulate matter on trees at Wigry National Park, Poland. Int. J. Phytoremediation 2025, 27, 448–461. [Google Scholar] [CrossRef] [PubMed]
  25. Mori, J.; Hanslin, H.M.; Burchi, G.; Sæbø, A. Particulate matter and element accumulation on coniferous trees at different distances from a highway. Urban For. Urban Green. 2015, 14, 170–177. [Google Scholar] [CrossRef]
  26. Roy, A.; Li, Y.; Wang, S.; Chen, Q. Potential of Thirteen Urban Greening Plants to Capture Particulate Matter on Leaf Surfaces Across Three Levels of Ambient Atmospheric Pollution. Int. J. Environ. Res. Public Health 2019, 16, 402. [Google Scholar] [CrossRef]
  27. Dzierżanowski, K.; Popek, R.; Gawrońska, H.; Sæbø, A.; Gawroński, S.W. Deposition of particulate matter of different size fractions on leaf surfaces and in waxes of urban forest species. Int. J. Phytoremediation 2011, 13, 1037–1046. [Google Scholar] [CrossRef]
  28. Chastagner, G.A.; Benson, D.M. The Christmas tree: Traditions, production, and diseases. Plant Health Progress 2000, 1, 15. [Google Scholar] [CrossRef]
  29. Chong, K.-S. Study on Role of Common Trees for Absorbing the Odor Pollutions Ammonia and Hydrogen Sulfide. Master’s Thesis, National Taiwan University, Taipei, Taiwan, 2011; pp. 1–76. [Google Scholar] [CrossRef]
  30. Zhang, Z.; Gong, J.; Li, Y.; Zhang, W.; Zhang, T.; Meng, H.; Liu, X. Analysis of the influencing factors of atmospheric particulate matter accumulation on coniferous species: Measurement methods, pollution level, and leaf traits. Environ. Sci. Poll. Res. 2022, 29, 62299–62311. [Google Scholar] [CrossRef] [PubMed]
  31. Popek, R.; Fornal-Pieniak, B.; Dąbrowski, P.; Chyliński, F. The role of spontaneous flora in the mitigation of particulate matter from traffic roads in an urbanised area. Sustainability 2023, 15, 7568. [Google Scholar] [CrossRef]
  32. Muhammad, S.; Wuyts, K.; Samson, R. Immobilized atmospheric particulate matter on leaves of 96 urban plant species. Environ. Sci. Poll. Res. 2020, 27, 36920–36938. [Google Scholar] [CrossRef] [PubMed]
Figure 1. Cut P. abies and A. nordmanniana used in the experiment during indoor exposure in households.
Figure 1. Cut P. abies and A. nordmanniana used in the experiment during indoor exposure in households.
Forests 17 00010 g001
Figure 2. Mean total PM loads (±SE) deposited on potted and cut P. abies and A. nordmanniana trees during a 30-day indoor exposure period. Different capital letters indicate significant differences between potted (living) and cut trees; lowercase letters denote significant temporal differences (between sampling days) in total PM quantity within each species and tree form (p < 0.05).
Figure 2. Mean total PM loads (±SE) deposited on potted and cut P. abies and A. nordmanniana trees during a 30-day indoor exposure period. Different capital letters indicate significant differences between potted (living) and cut trees; lowercase letters denote significant temporal differences (between sampling days) in total PM quantity within each species and tree form (p < 0.05).
Forests 17 00010 g002
Figure 3. Deposition of PM size fractions ( PM10–100, 🔴 PM2.5–10, 🎄 PM0.2–2.5) by potted and cut P. abies and A. nordmanniana trees during a 30-day indoor exposure period. Bars represent mean PM loads (±SE). Different capital letters indicate significant differences between potted (living) and cut trees; lowercase letters denote significant temporal differences (between sampling days) in PM quantity within each species and tree form (p < 0.05).
Figure 3. Deposition of PM size fractions ( PM10–100, 🔴 PM2.5–10, 🎄 PM0.2–2.5) by potted and cut P. abies and A. nordmanniana trees during a 30-day indoor exposure period. Bars represent mean PM loads (±SE). Different capital letters indicate significant differences between potted (living) and cut trees; lowercase letters denote significant temporal differences (between sampling days) in PM quantity within each species and tree form (p < 0.05).
Forests 17 00010 g003
Figure 4. Relative proportion of SPM and WPM on the needles of potted (living) and cut P. abies and A. nordmanniana trees during a 30-day indoor exposure period. Bars represent the percentage share of SPM and WPM in total PM (100%).
Figure 4. Relative proportion of SPM and WPM on the needles of potted (living) and cut P. abies and A. nordmanniana trees during a 30-day indoor exposure period. Bars represent the percentage share of SPM and WPM in total PM (100%).
Forests 17 00010 g004
Figure 5. Mean epicuticular wax content (±SE) on the needle surfaces of potted and cut P. abies and A. nordmanniana trees during a 30-day indoor exposure period. Different capital letters indicate significant differences between potted (living) and cut trees; lowercase letters denote significant temporal differences (between sampling days) in wax content within each species and tree form (p < 0.05).
Figure 5. Mean epicuticular wax content (±SE) on the needle surfaces of potted and cut P. abies and A. nordmanniana trees during a 30-day indoor exposure period. Different capital letters indicate significant differences between potted (living) and cut trees; lowercase letters denote significant temporal differences (between sampling days) in wax content within each species and tree form (p < 0.05).
Forests 17 00010 g005
Disclaimer/Publisher’s Note: The statements, opinions and data contained in all publications are solely those of the individual author(s) and contributor(s) and not of MDPI and/or the editor(s). MDPI and/or the editor(s) disclaim responsibility for any injury to people or property resulting from any ideas, methods, instructions or products referred to in the content.

Share and Cite

MDPI and ACS Style

Moniuszko, H.; Przybysz, A.; Połaska, W.; Popek, E.J.; Ropelewska, N.; Popek, R. Particulate Retention, Transfer and Release by Cut and Potted Christmas Trees. Forests 2026, 17, 10. https://doi.org/10.3390/f17010010

AMA Style

Moniuszko H, Przybysz A, Połaska W, Popek EJ, Ropelewska N, Popek R. Particulate Retention, Transfer and Release by Cut and Potted Christmas Trees. Forests. 2026; 17(1):10. https://doi.org/10.3390/f17010010

Chicago/Turabian Style

Moniuszko, Hanna, Arkadiusz Przybysz, Weronika Połaska, Edmund Jerzy Popek, Natalia Ropelewska, and Robert Popek. 2026. "Particulate Retention, Transfer and Release by Cut and Potted Christmas Trees" Forests 17, no. 1: 10. https://doi.org/10.3390/f17010010

APA Style

Moniuszko, H., Przybysz, A., Połaska, W., Popek, E. J., Ropelewska, N., & Popek, R. (2026). Particulate Retention, Transfer and Release by Cut and Potted Christmas Trees. Forests, 17(1), 10. https://doi.org/10.3390/f17010010

Note that from the first issue of 2016, this journal uses article numbers instead of page numbers. See further details here.

Article Metrics

Article metric data becomes available approximately 24 hours after publication online.
Back to TopTop