Responses of Different Soil Microbial Communities to the Addition of Nitrogen into the Soil of Larix gmelinii var. principis-rupprechtii (Mayr) Pilg. Plantations
Abstract
1. Introduction
2. Materials and Methods
2.1. Study Sites
2.2. Experimental Design
2.3. Field Sampling
2.4. Soil Property Analysis
2.5. DNA Extraction and qPCR Amplification
2.6. Data Analysis
3. Results
3.1. Effects of N Addition on Soil Nutrients
3.2. Effects of N Addition on the Number of Soil Microorganisms
3.3. Effects of N Addition on the Composition of the Soil Microbial Community
3.4. Effects of Soil Nutrients on Soil Microorganisms
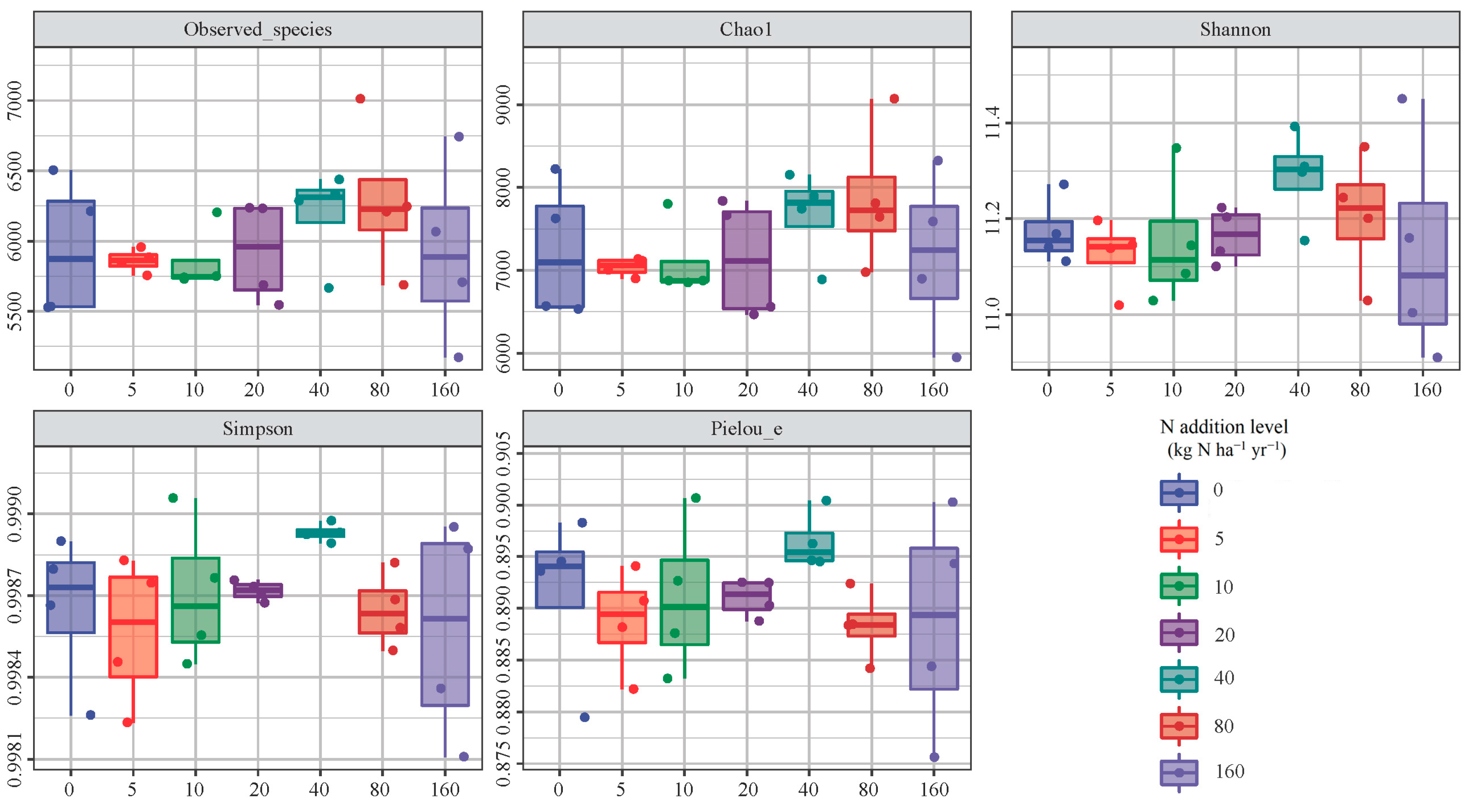
3.5. Effects of N Addition on the Soil Microbial Diversity
3.6. Correlations Between the Influencing Factors and Changes in Soil Microbial Diversity After N Addition
4. Discussion
4.1. Effect of N Addition on the Number and Composition of Microbial Community
4.2. Effect of N Addition on the Diversity of the Soil Microbial Community
5. Conclusions
Author Contributions
Funding
Data Availability Statement
Conflicts of Interest
Abbreviations
| N | Nitrogen |
| RA | Relative abundance |
| qPCR | Quantitative polymerase chain reaction |
| HTS | High-throughput sequencing |
| TN | Total nitrogen |
| TP | Total phosphorus |
| SOC | Soil organic carbon |
| AP | Available phosphorus |
| TK | Total potassium |
| AK | Available potassium |
| TA | Total abundance |
References
- Lu, X.K.; Mo, J.M.; Zhang, W.; Mao, Q.G.; Liu, R.Z.; Wang, C.; Zheng, M.H.; Wang, S.H.; Mori, T.; Mao, J.H.; et al. Effects of Simulated Atmospheric Nitrogen Deposition on Forest Ecosystems in China: An Overview. J. Trop. Subtrop. Bot. 2019, 27, 500–522. [Google Scholar] [CrossRef]
- Galloway, J.N.; Townsend, A.R.; Erisman, J.W.; Bekunda, M.; Cai, Z.C.; Freney, J.R.; Martinelli, L.A.; Seitzinger, S.P.; Sutton, M.A. Transformation of the nitrogen cycle: Recent trends, questions, and potential solutions. Science 2008, 320, 889–892. [Google Scholar] [CrossRef] [PubMed]
- Liu, X.; Zhang, Y.; Han, W.; Tang, A.; Shen, J.; Cui, Z.; Vitousek, P.; Erisman, J.W.; Goulding, K.; Christie, P.; et al. Enhanced nitrogen deposition over China. Nature 2013, 494, 459–462. [Google Scholar] [CrossRef] [PubMed]
- Liu, L.; Wen, Z.; Liu, S.; Zhang, X.Y.; Liu, X.J. Decline in atmospheric nitrogen deposition in China between 2010 and 2020. Nat. Geosci. 2024, 17, 816. [Google Scholar] [CrossRef]
- Yang, X.C.; Yang, L.; Li, Q.R.; Li, X.; Xu, G.Q.; Xu, Z.Q.; Jia, Y.L. Short-term responses of soil nutrients and enzyme activities to nitrogen addition in a Larix principis-rupprechtii plantation in North China. Front. Ecol. Evol. 2023, 11, 1105150. [Google Scholar] [CrossRef]
- Sun, X.; Dai, H.; Zeng, Q.; Zhou, J.; Peng, Y.; Chen, W.; Zhang, Q.; Chen, Y. The influence of soil microbial community structure on microbial carbon use efficiency under nitrogen addition. Acta Ecol. Sin. 2024, 44, 1737–1746. [Google Scholar] [CrossRef]
- Schulte-Uebbing, L.; de Vries, W. Global-scale impacts of nitrogen deposition on tree carbon sequestration in tropical, temperate, and boreal forests: A meta-analysis. Glob. Chang. Biol 2018, 24, e416–e431. [Google Scholar] [CrossRef]
- De Schrijver, A.; De Frenne, P.; Ampoorter, E.; Van Nevel, L.; Demey, A.; Wuyts, K.; Verheyen, K. Cumulative nitrogen input drives species loss in terrestrial ecosystems. Glob. Ecol. Biogeogr. 2011, 20, 803–816. [Google Scholar] [CrossRef]
- Mao, J.; Xing, Y.; Ma, H.; Wang, Q. Research Progress of Nitrogen Deposition Effect on Plant Growth. Chin. Agric. Sci. Bull. 2017, 33, 42–48. [Google Scholar] [CrossRef]
- Clark, C.M.; Tilman, D. Loss of plant species after chronic low-level nitrogen deposition to prairie grasslands. Nature 2008, 451, 712–715. [Google Scholar] [CrossRef]
- Zhang, Y.H.; Lü, X.T.; Isbell, F.; Stevens, C.; Han, X.; He, N.P.; Zhang, G.M.; Yu, Q.; Huang, J.H.; Han, X.G. Rapid plant species loss at high rates and at low frequency of N addition in temperate steppe. Glob. Change Biol. 2014, 20, 3520–3529. [Google Scholar] [CrossRef] [PubMed]
- Midolo, G.; Alkemade, R.; Schipper, A.M.; Benítez-López, A.; Perring, M.P.; De Vries, W. Impacts of nitrogen addition on plant species richness and abundance: A global meta-analysis. Glob. Ecol. Biogeogr. 2019, 28, 398–413. [Google Scholar] [CrossRef]
- Douterelo, I.; Goulder, R.; Lillie, M. Soil microbial community response to land-management and depth, related to the degradation of organic matter in English wetlands: Implications for the in situ preservation of archaeological remains. Appl. Soil. Ecol. 2010, 44, 219–227. [Google Scholar] [CrossRef]
- Su, X.; Li, X.; Li, C.; Sun, H. Effect of nitrogen addition on soil fungal diversity in a degraded alpine meadow at different slopes. Environ. Sci. 2022, 43, 5286–5293. [Google Scholar] [CrossRef]
- Freedman, Z.B.; Romanowicz, K.J.; Upchurch, R.A.; Zak, D.R. Differential responses of total and active soil microbial communities to long-term experimental N deposition. Soil. Biol. Biochem. 2015, 90, 275–282. [Google Scholar] [CrossRef]
- Zhang, T.A.; Chen, H.Y.H.; Ruan, H.H. Global negative effects of nitrogen deposition on soil microbes. Isme J. 2018, 12, 1817–1825. [Google Scholar] [CrossRef]
- Moore, J.A.M.; Anthony, M.A.; Pec, G.J.; Trocha, L.K.; Trzebny, A.; Geyer, K.M.; van Diepen, L.T.A.; Frey, S.D. Fungal community structure and function shifts with atmospheric nitrogen deposition. Glob. Change Biol. 2021, 27, 1349–1364. [Google Scholar] [CrossRef]
- Morrison, E.W.; Frey, S.D.; Sadowsky, J.J.; van Diepen, L.T.A.; Thomas, W.K.; Pringle, A. Chronic nitrogen additions fundamentally restructure the soil fungal community in a temperate forest. Fungal Ecol. 2016, 23, 48–57. [Google Scholar] [CrossRef]
- Ling, N.; Chen, D.M.; Guo, H.; Wei, J.X.; Bai, Y.F.; Shen, Q.R.; Hu, S.J. Differential responses of soil bacterial communities to long-term N and P inputs in a semi-arid steppe. Geoderma 2017, 292, 25–33. [Google Scholar] [CrossRef]
- Nie, Y.X.; Wang, M.C.; Zhang, W.; Ni, Z.; Hashidoko, Y.; Shen, W.J. Ammonium nitrogen content is a dominant predictor of bacterial community composition in an acidic forest soil with exogenous nitrogen enrichment. Sci. Total Environ. 2018, 624, 407–415. [Google Scholar] [CrossRef]
- Fierer, N.; Leff, J.W.; Adams, B.J.; Nielsen, U.N.; Bates, S.T.; Lauber, C.L.; Owens, S.; Gilbert, J.A.; Wall, D.H.; Caporaso, J.G. Cross-biome metagenomic analyses of soil microbial communities and their functional attributes. Proc. Natl. Acad. Sci. USA 2012, 109, 21390–21395. [Google Scholar] [CrossRef] [PubMed]
- Lu, R.K. Analysis Method of Soil Agricultural Chemistry; China Agricultural Science and Technology Press: Beijing, China, 2000. [Google Scholar]
- Bao, S.D. Soil Agricultural Chemical Analysis, 3rd ed.; China Agricultural Press: Beijing, China, 2000. [Google Scholar]
- Wang, C.; Lu, X.K.; Mori, T.; Mao, Q.G.; Zhou, K.J.; Zhou, G.Y.; Nie, Y.X.; Mo, J.M. Responses of soil microbial community to continuous experimental nitrogen additions for 13 years in a nitrogen-rich tropical forest. Soil. Biol. Biochem. 2018, 121, 103–112. [Google Scholar] [CrossRef]
- Wang, J.; Shi, X.; Zheng, C.; Suter, H.; Huang, Z. Different responses of soil bacterial and fungal communities to nitrogen deposition in a subtropical forest. Sci. Total Env. 2021, 755, 142449. [Google Scholar] [CrossRef]
- Reed, S.C.; Cleveland, C.C.; Townsend, A.R. Functional Ecology of Free-Living Nitrogen Fixation: A Contemporary Perspective. Annu. Rev. Ecol. Evol. Syst. 2011, 42, 489–512. [Google Scholar] [CrossRef]
- Silva E, M.C.P.E.; Schloter-Hai, B.; Schloter, M.; van Elsas, J.D.; Salles, J.F. Temporal dynamics of abundance and composition of nitrogen-fixing communities across agricultural soils. PLoS ONE 2013, 8, e74500. [Google Scholar] [CrossRef]
- Wang, L.; Zhang, H.; Wang, J.; Wang, J.D.; Zhang, Y.C. Long-term fertilization with high nitrogen rates decreased diversity and stability of diazotroph communities in soils of sweet potato. Appl. Soil. Ecol. 2022, 170, 104266. [Google Scholar] [CrossRef]
- Li, J.; Li, Z.A.; Wang, F.M.; Zou, B.; Chen, Y.; Zhao, J.; Mo, Q.F.; Li, Y.W.; Li, X.B.; Xia, H.P. Effects of nitrogen and phosphorus addition on soil microbial community in a secondary tropical forest of China. Biol. Fertil. Soils 2015, 51, 207–215. [Google Scholar] [CrossRef]
- Zhang, X.; Song, X.; Wang, T.T.; Huang, L.; Ma, H.Y.; Wang, M.; Tan, D.Y. The responses to long-term nitrogen addition of soil bacterial, fungal, and archaeal communities in a desert ecosystem. Front. Microbiol. 2022, 13, 1015588. [Google Scholar] [CrossRef]
- Tong, Y.; Zhang, C.; Yu, Y.; Cao, Q.; Yang, Z.; Zhang, X.; Cao, Q.; Zhang, Z.; Yu, Y.; Yang, X. Response of microbiological properties to short-term nitrogen addition in perennial alpine cultivated grassland. Environ. Sci. 2024, 45, 7316–7325. [Google Scholar] [CrossRef]
- Fierer, N.; Lauber, C.L.; Ramirez, K.S.; Zaneveld, J.; Bradford, M.A.; Knight, R. Comparative metagenomic, phylogenetic and physiological analyses of soil microbial communities across nitrogen gradients. Isme J. 2012, 6, 1007–1017. [Google Scholar] [CrossRef]
- Kaiser, C.; Franklin, O.; Richter, A.; Dieckmann, U. Social dynamics within decomposer communities lead to nitrogen retention and organic matter build-up in soils. Nat. Commun. 2015, 6, 8960. [Google Scholar] [CrossRef] [PubMed]
- Weber, C.F.; Vilgalys, R.; Kuske, C.R. Changes in fungal community composition in response to elevated atmospheric CO2 and nitrogen fertilization varies with soil horizon. Front. Microbiol. 2013, 4, 78. [Google Scholar] [CrossRef] [PubMed]
- DeForest, J.L.; Zak, D.R.; Pregitzer, K.S.; Burton, A.J. Atmospheric nitrate deposition, microbial community composition, and enzyme activity in northern hardwood forests. Soil. Sci. Soc. Am. J. 2004, 68, 132–138. [Google Scholar] [CrossRef]
- Zheng, X.Z.; Xu, A.A.; Lin, Y.; Wang, H.P.; Ding, H.; Wu, Y.Q.; Zhang, Y.S. Long-term nitrogen deposition alters the soil bacterial community structure but has little effect on fungal communities. Glob. Ecol. Conserv. 2024, 54, e03080. [Google Scholar] [CrossRef]
- Sun, H.; Liu, G.; Zhu, Y.; Lin, X.; Guo, H.; Qian, X.; Fang, X. Effects of nitrogen addition and moisture change on microbial diversity and community composition in subtropical plantation red soil. Ecol. Sci. 2024, 43, 94–104. [Google Scholar] [CrossRef]
- Huang, T.; Liu, W.; Long, X.-E.; Jia, Y.; Wang, X.; Chen, Y. Different Responses of Soil Bacterial Communities to Nitrogen Addition in Moss Crust. Front. Microbiol. 2021, 12, 665975. [Google Scholar] [CrossRef]
- Craig, H.; Antwis, R.E.; Cordero, I.; Ashworth, D.; Robinson, C.H.; Osborne, T.Z.; Bardgett, R.D.; Rowntree, J.K.; Simpson, L.T. Nitrogen addition alters composition, diversity, and functioning of microbial communities in mangrove soils: An incubation experiment. Soil. Biol. Biochem. 2021, 153, 108076. [Google Scholar] [CrossRef]
- Allison, S.D.; Hanson, C.A.; Treseder, K.K. Nitrogen fertilization reduces diversity and alters community structure of active fungi in boreal ecosystems. Soil. Biol. Biochem. 2007, 39, 1878–1887. [Google Scholar] [CrossRef]
- Wang, C.; Zheng, M.M.; Song, W.F.; Wen, S.L.; Wang, B.R.; Zhu, C.Q.; Shen, R.F. Impact of 25 years of inorganic fertilization on diazotrophic abundance and community structure in an acidic soil in southern China. Soil. Biol. Biochem. 2017, 113, 240–249. [Google Scholar] [CrossRef]
- Orr, C.H.; James, A.; Leifert, C.; Cooper, J.M.; Cummings, S.P. Diversity and Activity of Free-Living Nitrogen-Fixing Bacteria and Total Bacteria in Organic and Conventionally Managed Soils. Appl. Environ. Microbiol. 2011, 77, 911–919. [Google Scholar] [CrossRef]
- Mirza, B.S.; Potisap, C.; Nüsslein, K.; Bohannan, B.J.M.; Rodrigues, J.L.M. Response of Free-Living Nitrogen-Fixing Microorganisms to Land Use Change in the Amazon Rainforest. Appl. Environ. Microbiol. 2014, 80, 281–288. [Google Scholar] [CrossRef] [PubMed]
- Wang, J.C.; Zhang, D.; Zhang, L.; Li, J.; Raza, W.; Huang, Q.W.; Shen, Q.R. Temporal variation of diazotrophic community abundance and structure in surface and subsoil under four fertilization regimes during a wheat growing season. Agric. Ecosyst. Environ. 2016, 216, 116–124. [Google Scholar] [CrossRef]
- Vitousek, P.M.; Cassman, K.; Cleveland, C.; Crews, T.; Field, C.B.; Grimm, N.B.; Howarth, R.W.; Marino, R.; Martinelli, L.; Rastetter, E.B.; et al. Towards an ecological understanding of biological nitrogen fixation. Biogeochemistry 2002, 57, 1–45. [Google Scholar] [CrossRef]
- Cao, Z.; Cheng, S.; Fang, H.; Xu, M.; Geng, J.; Lu, M.; Yang, Y.; Li, Y.N. Responses of Soil Organic Carbon Dynamics and Microbial Community Structure to Organic Nitrogen Fertilization in the Temperate Needle-broadleaved Mixed Forest. Acta Pedol. Sin. 2020, 57, 963–974. [Google Scholar] [CrossRef]
- Wei, X.; Wu, J.; Li, G.; Wang, H.; Liu, S.; Zhang, S.; Zhang, J. Response of soil nitrogen components to nitrogen addition in wet meadow in the Tibetan Plateau. Acta Agrestia Sin. 2021, 29, 677–683. (In Chinese) [Google Scholar]
- Li, X.D.; Su, L.B.; Jing, M.; Wang, K.Q.; Song, C.G.; Song, Y.L. Nitrogen addition restricts key soil ecological enzymes and nutrients by reducing microbial abundance and diversity. Sci. Rep. 2025, 15, 5560. [Google Scholar] [CrossRef]
- Li, C.Y.; Li, X.L.; Yang, Y.W.; Shi, Y.; Li, H.L. Degradation reduces the diversity of nitrogen-fixing bacteria in the alpine wetland on the Qinghai-Tibet Plateau. Front. Plant Sci. 2022, 13, 939762. [Google Scholar] [CrossRef]
- Gieske, M.F.; Kinkel, L.L. Long-term nitrogen addition in maize monocultures reduces in vitro inhibition of actinomycete standards by soil-borne actinomycetes. Fems Microbiol. Ecol. 2020, 96, fiaa181. [Google Scholar] [CrossRef]
- Zhang, Z.H.; Li, T.; Shao, P.S.; Sun, J.K.; Xu, W.J.; Zhao, Y.H. Effects of short-term nitrogen addition on rhizosphere and bulk soil bacterial community structure of three halophytes in the Yellow River Delta. Land. Degrad. Dev. 2023, 34, 3281–3294. [Google Scholar] [CrossRef]
- Sun, R.B.; Zhang, X.X.; Guo, X.S.; Wang, D.Z.; Chu, H.Y. Bacterial diversity in soils subjected to long-term chemical fertilization can be more stably maintained with the addition of livestock manure than wheat straw. Soil. Biol. Biochem. 2015, 88, 9–18. [Google Scholar] [CrossRef]
- Koch, A.L. Oligotrophs versus copiotrophs. Bioessays 2001, 23, 657–661. [Google Scholar] [CrossRef] [PubMed]
- Leff, J.W.; Jones, S.E.; Prober, S.M.; Barberán, A.; Borer, E.T.; Firn, J.L.; Harpole, W.S.; Hobbie, S.E.; Hofmockel, K.S.; Knops, J.M.H.; et al. Consistent responses of soil microbial communities to elevated nutrient inputs in grasslands across the globe. Proc. Natl. Acad. Sci. USA 2015, 112, 10967–10972. [Google Scholar] [CrossRef] [PubMed]
- Liu, W.X.; Jiang, L.; Yang, S.; Wang, Z.; Tian, R.; Peng, Z.Y.; Chen, Y.L.; Zhang, X.X.; Kuang, J.L.; Ling, N.; et al. Critical transition of soil bacterial diversity and composition triggered by nitrogen enrichment. Ecology 2020, 101, e03053. [Google Scholar] [CrossRef] [PubMed]
- Hao, Y.; Xie, L.; Chen, Y.; Tang, C.; Liu, X.; Lin, W.; Xiong, D.C.; Yang, Y.S. Effects of nitrogen deposition on diversity and composition of soil bacterial community in a subtropical Cunninghamia lanceolata plantation. Chin. J. Appl. Ecol. 2018, 29, 53–58. [Google Scholar] [CrossRef]













| Nutrient Indicators | Treatment | ||||||
|---|---|---|---|---|---|---|---|
| N0 | N5 | N10 | N20 | N40 | N80 | N160 | |
| pH | 6.28 ± 0.06 a | 6.13 ± 0.22 a | 6.17 ± 0.08 a | 6.32 ± 0.09 a | 6.30 ± 0.08 a | 6.25 ± 0.02 a | 6.21 ± 0.08 a |
| SOC (g kg−1) | 75.36 ± 5.56 a | 71.07 ± 7.00 a | 68.09 ± 5.28 a | 65.61 ± 3.03 a | 72.78 ± 6.03 a | 69.74 ± 6.35 a | 73.41 ± 5.24 a |
| TN (g kg−1) | 5.74 ± 0.48 a | 5.21 ± 0.38 a | 5.20 ± 0.33 a | 5.18 ± 0.34 a | 5.47 ± 0.62 a | 5.24 ± 0.46 a | 5.66 ± 0.78 a |
| TP (g kg−1) | 0.68 ± 0.09 a | 0.69 ± 0.12 a | 0.68 ± 0.09 a | 0.63 ± 0.05 a | 0.68 ± 0.10 a | 0.68 ± 0.09 a | 0.65 ± 0.07 a |
| TK (g kg−1) | 18.97 ± 0.38 ab | 19.54 ± 0.06 ab | 19.61 ± 0.64 a | 19.12 ± 0.23 ab | 18.77 ± 0.47b | 18.87 ± 0.44 ab | 19.36 ± 0.52 ab |
| AP (mg kg−1) | 5.60 ± 2.48 a | 6.48 ± 0.67 a | 7.15 ± 0.13 a | 6.61 ± 0.59 a | 7.42 ± 1.25 a | 6.78 ± 1.40 a | 6.41 ± 0.92 a |
| AK (mg kg−1) | 278.26 ± 14.85 a | 269.17 ± 35.09 a | 262.36 ± 38.19 a | 289.61 ± 23.24 a | 283.93 ± 16.06 a | 275.99 ± 11.30 a | 289.61 ± 21.39 a |
| NH4+-N (mg kg−1) | 6.55 ± 1.03 a | 5.46 ± 0.52 abc | 5.15 ± 0.68 bc | 5.85 ± 0.51 abc | 6.32 ± 0.71 ab | 5.93 ± 0.70 abc | 4.76 ± 0.26 c |
| NO3−-N (mg kg−1) | 18.54 ± 2.19 bc | 17.71 ± 1.62 bc | 16.74 ± 0.34 bc | 15.75 ± 2.55 c | 19.01 ± 1.85 b | 19.65 ± 0.80 b | 23.04 ± 0.81 a |
| C/N | 13.14 ± 0.38 a | 13.61 ± 0.47 a | 13.08 ± 0.54 a | 12.74 ± 1.09 a | 13.35 ± 0.59 a | 13.30 ± 0.21 a | 13.11 ± 1.07 a |
| C/P | 112.43 ± 9.90 a | 104.23 ± 8.39 a | 100.36 ± 7.62 a | 103.82 ± 4.83 a | 107.77 ± 11.43 a | 104.89 ± 18.88 a | 114.14 ± 8.79 a |
| N/P | 8.57 ± 0.90 a | 7.69 ± 0.83 a | 7.68 ± 0.63 a | 8.21 ± 0.75 a | 8.12 ± 1.12 a | 7.87 ± 1.34 a | 8.79 ± 1.11 a |
Disclaimer/Publisher’s Note: The statements, opinions and data contained in all publications are solely those of the individual author(s) and contributor(s) and not of MDPI and/or the editor(s). MDPI and/or the editor(s) disclaim responsibility for any injury to people or property resulting from any ideas, methods, instructions or products referred to in the content. |
© 2025 by the authors. Licensee MDPI, Basel, Switzerland. This article is an open access article distributed under the terms and conditions of the Creative Commons Attribution (CC BY) license (https://creativecommons.org/licenses/by/4.0/).
Share and Cite
Jia, Y.; Wang, Z.; Cui, H.; Yang, L.; Lu, J.; Ma, J.; Xu, Z.; He, H. Responses of Different Soil Microbial Communities to the Addition of Nitrogen into the Soil of Larix gmelinii var. principis-rupprechtii (Mayr) Pilg. Plantations. Forests 2025, 16, 1096. https://doi.org/10.3390/f16071096
Jia Y, Wang Z, Cui H, Yang L, Lu J, Ma J, Xu Z, He H. Responses of Different Soil Microbial Communities to the Addition of Nitrogen into the Soil of Larix gmelinii var. principis-rupprechtii (Mayr) Pilg. Plantations. Forests. 2025; 16(7):1096. https://doi.org/10.3390/f16071096
Chicago/Turabian StyleJia, Yanlong, Ziyi Wang, Hongna Cui, Liu Yang, Jinping Lu, Jiaojiao Ma, Zhongqi Xu, and Honglin He. 2025. "Responses of Different Soil Microbial Communities to the Addition of Nitrogen into the Soil of Larix gmelinii var. principis-rupprechtii (Mayr) Pilg. Plantations" Forests 16, no. 7: 1096. https://doi.org/10.3390/f16071096
APA StyleJia, Y., Wang, Z., Cui, H., Yang, L., Lu, J., Ma, J., Xu, Z., & He, H. (2025). Responses of Different Soil Microbial Communities to the Addition of Nitrogen into the Soil of Larix gmelinii var. principis-rupprechtii (Mayr) Pilg. Plantations. Forests, 16(7), 1096. https://doi.org/10.3390/f16071096
