Abstract
Forestry is recognized as one of the most physically demanding professions. Walking in presents unique biomechanical challenges due to complex, irregular terrain, with several possible risks. This study investigated how human gait adapts across solid surfaces, forest trails, and natural forest environments. Fifteen healthy adult participants (average age 38.3; ten males and five females) completed 150 walking trials, with full-body motion captured via a 17 Inertial Measurement Unit (IMU) sensors (Xsens MVN Awinda system). The analysis focused on spatial and temporal gait parameters, including cadence, step length, foot strike pattern, and center of mass variability. Statistical methods (ANOVA and Kruskal–Wallis) revealed that surface type significantly influenced gait mechanics. On forest terrain, participants exhibited wider steps, reduced cadence, increased step and stride variability, and a substantial shift from heel-to-toe strikes. Gait adaptations reflect compensatory neuromuscular strategies to maintain body balance. The findings confirm that forestry terrain complexity compromises human gait stability and increases physical demands, supporting step variability and slip, trip, and fall risk. By identifying key biomechanical markers of instability, this study contributes to understanding human locomotion principles. Understanding these changes can help design safety measures for outdoor professions, particularly forestry.
1. Introduction
Forestry is recognized as one of the most physically demanding professions, involving strenuous manual labor in challenging outdoor conditions [1]. Tasks such as walking long distances on uneven terrain, lifting heavy loads, and using tools like axes and chainsaws for tree cutting, delimbing, and crosscutting require intense physical effort. According to the Food and Agriculture Organization (FAO), forestry work is marked by high workloads and physically demanding tasks [2]. This demanding nature increases the risk of incidents, acute injuries, and musculoskeletal strain, especially in the lower back and legs. Workers face hazards from both the environment and the tools they use. Prolonged movement through rough forest terrain often leads to slips, trips, and falls, responsible for about 25%–38% of all reported accidents in the sector [3,4,5].
The root causes of these accidents are often multifactorial. Beyond technical, organizational, and behavioral factors, one significant contributor is the cumulative impact of terrain on energy use, muscle workload, and fatigue [6]. Handling heavy tools like chainsaws intensifies the strain. These tools require strength, coordination, and frequent transportation across difficult ground [7], further challenging the worker’s balance and adaptability to changing terrain conditions [8].
Understanding how humans adapt their gait to different terrain conditions is essential for improving safety and mobility in natural environments, particularly in forestry. Most of the existing studies on gait have been conducted in relatively controlled laboratory settings or on urban surfaces, providing valuable insights into how individuals respond to minor changes in ground conditions. However, walking in different forest conditions presents a far more dynamic challenge due to the presence of uneven ground, soft soil, roots, rocks, and other unpredictable obstacles. Even wearable motion capture technology now enables fully realistic field studies without laboratory limitations. There is still a limited body of research that directly investigates human locomotion in natural forest terrains.
As forestry work often involves such environments, studying gait in outdoor conditions is crucial for identifying movement adaptations that help us understand body behavior and determine factors that impact neuromuscular changes in human locomotion. The following section reviews related studies and scientific findings on certain irregular or unstable surfaces that influence gait characteristics, emphasizing the need for more valid research specific to outdoor forestry conditions.
1.1. Related Studies and Scientific Papers
Over the past decade, several laboratory-based studies have simulated walking on uneven terrain using treadmills or test tracks with obstacles like bumps, soft materials, and loose rocks to examine changes in gait patterns [9,10]. Compared to flat surfaces, these studies show that walking on irregular ground leads to increased variability in stride length and width [11,12], flatter foot placement at contact, greater foot clearance during leg swing [13], and higher leg muscle activation [12,14], adaptations aimed at maintaining balance and preventing slipping and tripping.
Movement patterns and walking stability are strongly influenced by environmental conditions, body load, and task demands [15,16]. While some research focused on urban surfaces, such as concrete, gravel, sand, or grass, fewer adjustments are needed unless surface stability decreases, as with gravel or sand [17,18]. Other studies explored walking on stairs, slopes, and uneven city terrain [19], showing that these conditions lead to gait changes that may indicate reduced stability and higher fall risk [20].
Uneven terrain often requires higher foot lifts during mid-swing [13], increasing energy expenditure [21], and necessitates stabilizing adjustments, including modified foot placement [22,23,24]. Although these studies confirm that human locomotion adapts to surface conditions, most rely on even or artificial terrains not representative of natural European forest environments.
Only a few studies have examined gait in truly complex, naturally irregular outdoor settings. One such study by Holowka et al. (2022) on forest terrain in the Bolivian Amazon [25] suggests that movement in forestry environments demands highly adaptive strategies to maintain balance, prevent instability, and adjust gait compared to walking on flat, stable surfaces.
1.2. Introduction to the Current Study
Gait analysis is a key method for studying human locomotion, offering insights into biomechanics, neuromuscular function, and proper walking ability. One of the critical components of human gaits is body–ground interaction and spatial parameters that reflect the forces exchanged between the body and the ground that are essential for understanding dynamic body stability.
Walking mechanics are influenced by both body load [26] and surface type. Gait parameters such as step length, stride duration, and body–ground reaction forces vary depending on the terrain. Solid surfaces like pavement offer consistent support, promoting stable and predictable gait patterns. In contrast, uneven surfaces such as forest trails with loose soil, rocks, or roots introduce variability that disrupts gait regularity and balance [13,25].
Studies have shown that soft and uneven ground increases step variability [13,21], as the body must constantly adapt to changing surface conditions, reducing movement efficiency [24] and stability [27]. On such terrain, body–ground interaction becomes more erratic, reflecting the higher demands of maintaining balance [17,28].
Our long-term goal is to use digital tools, modern technology, and AI to better understand physical exertion in forest environments and to design strategies and tools that improve worker health and safety. We believe that studying gait in real forestry conditions will reveal valuable indicators of physical strain.
Our primary hypothesis is that gait parameters will differ significantly across surface types: solid ground, forest trails, and mixed forestry terrain. We expect greater step variability on soft, uneven surfaces like loose soil, rocks, and roots. These changes are likely to compromise dynamic stability, increasing the risk of slips, trips, and falls. Dynamic stability refers to the ability to maintain balance during movement. Our secondary hypothesis supports this, proposing that irregular forest terrain, especially root-covered or loose soil, will pose a higher fall risk than solid surfaces or forest trails due to greater disruptions to the normal gait cycle and the additional postural adjustments needed to maintain balance.
2. Materials and Methods
2.1. Participants
There were no specific criteria for gender distribution or the number of participants. This study was advertised at the sports camp during the measurement period, with eligibility based on general healthy conditions and the willingness of participants to participate in this study. The group included only participants with no reported history of injuries, musculoskeletal or neurological conditions affecting their locomotion, gait, or posture within the past two years. The final selected group of 15 healthy adult participants (average age 38.3; 10 males and 5 females) were non-professional athletes who willingly took part in this study and voluntarily provided written consent for the collection of their personal and biological data. They signed the Informed Consent Statement form to participate in this study, along with all necessary legal documents regarding the storage and processing of their data in compliance with GDPR.
2.2. Measurement Methods
Wearable motion-tracking technologies and non-invasive biological sensors offer new opportunities for conducting research in outdoor environments. Unlike traditional optical systems typically confined to laboratory settings, wearable Inertial Measurement Units (IMUs), which integrate accelerometers, gyroscopes, and magnetometers, enable data collection in real-world conditions, improving both the feasibility and ecological validity of movement assessments [29,30].
Using Inertial Measurement Units (IMUs), we captured key movement metrics such as acceleration, angular velocity, and segment orientation. This allowed us to collect detailed gait parameters, stride length, cadence, and stability across various terrain types, providing essential data on human locomotion and adaptation in diverse environments [31]. For data collection, we applied the Xsens/Movella Awinda motion capture (MoCap) system equipped with 17 Inertial Measurement Unit (IMU) sensors and MVN Analyze PRO software, version 2024.4. The sensors were placed on key body segments: head, sternum, pelvis, upper legs, lower legs, feet, shoulders, upper arms, forearms, and hands.
Sensor data were wirelessly transmitted at 60 Hz and recorded using MVN Analyze PRO. Synchronized MoCap data enabled accurate calculation of joint and body segment kinematics through sensor fusion [32]. Before measurements, individual anthropometric data, including body height, foot/shoe length, shoulder height/width, elbow span, wrist span, arm span, hip height/width, knee height, and ankle height, were input while participants stood upright. Body weight was also recorded.
MVN Analyze offers four user scenarios that differ in how they model foot–ground interaction. For this study, we selected the Soft Floor scenario, ideal for non-rigid surfaces such as soft forest soil, where foot-to-surface interaction is critical.
To ensure data accuracy, the Inertial Measurement Units (IMU) system was calibrated before each measurement set (solid surface, forest trail, and forest environment). Calibration involved the participant assuming an N-pose, an upright, neutral stance with arms slightly away from the body, followed by a brief walking sequence and a return to the N-pose. This standard pose ensures consistency in biomechanical tracking and aligns body segments (x, y, and z axes) within a shared coordinate system.
2.3. Measurement Environment
The experiment was conducted over three days in August 2024 at an outdoor campsite near the village of Zubri, located in a mid-forest region of the Czech Republic at an elevation of 672 m above sea level. This study took place under average meteorological conditions, with a temperature of 25.7 °C, 53% humidity, a wind speed of 1.2 m/s, and light levels of 530 lx. All participants walked within a designated, marked path featuring minimal terrain variation, negligible visible undulations, and an almost flat cross-slope. In our study, we assessed the walking patterns of healthy adults on three different outdoor surfaces: solid surface, forest trails, and natural forest terrain (Figure 1).
Figure 1.
Three types of outdoor surfaces: solid surfaces, forest trails, and forest environments.
2.4. Gait Data Collection and Recording
Before each measurement session, the body dimensions of each participant were recorded and loaded into the MVN SW application. Subsequently, all 17 Inertial Measurement Units (IMU) sensors were placed at specific locations on the body, as described in Section 2.2.
Each participant received both verbal and visual instructions, guiding them to walk at their usual pace while allowing their body and arms to move naturally. Participants remained in the initial N-pose position until instructed to walk naturally.
Each walking trial was set for a specific distance and walking pattern. (Table 1):
Table 1.
Walking trial specification.
Walking measurements were conducted in the following order: solid external surfaces, forest trails, and forest environments. Adequate rest time was provided between individual trials to prevent fatigue. The duration of rest between individual measurements was determined primarily based on participants’ self-reported feedback. Additionally, the scientific team monitored physical exertion using average heart rate values. A threshold of 110 beats per minute was set as the limit, beyond which participants would be required to take a mandatory rest. However, none of the participants exceeded this limit, so no forced rest was necessary. Heart rate data were not used for any other purpose in this study.
All raw data files exported from Awinda MTw sensors to the MVN Analyze PRO software were reprocessed and stored for gait analysis purposes in *.mvn format as well as heart data in *.csv format, stored in a secure data repository following the European and Czech GDPR and MENDELU University data keeping and processing rules and requirements.
2.5. Gait Data Analysis
The recorded gait data were securely uploaded and analyzed using Xsens Motion Cloud—Gait Reporting Tool, release 2021.6, developed by Xsens/Movella Technologies. Gait reports were generated from the *.mvn dataset, previously captured and processed in MVN Analyze. The tool provided a range of spatial and temporal parameters related to the human gait cycle, supporting comprehensive analysis across various walking conditions.
Before report generation, the software performed a consistency check and HD reprocessing to optimize segment position and orientation. This ensured high accuracy by enhancing the spatial alignment of body segments.
The Xsens Motion Cloud “Gait Analysis Report” [33] categorized numerical gait parameters into the following groups:
- General Parameters (such as walking speed, number of steps, cadence, walking duration, walking distance, and total step distance);
- Spatial parameters (Figure 2);
Figure 2. Spatial and temporal parameters [33]. - Temporal parameters (Figure 2);
- Gait cycle parameters (Figure 3);
Figure 3. Specific events of the stance phase for the left leg, with the direction of progression to the left. The red circle and dot are the body center of mass positions [33].
- Graphical outputs included:
- Hip, knee, ankle, and pelvis motion patterns;
- Foot progression angle;
- Center-of-mass tracking.
Spatial and temporal parameters offered a baseline functional assessment of gait. For deeper insights, segmental joint motions of the lower limbs were examined. Since gait cycle events follow a consistent sequence, regardless of duration, precise coordination is critical for energy-efficient [6,12,17] and safe movement [8,13].
To support both hypotheses regarding how terrain affects gait, particularly in forest environments, we focused on parameters relevant to neurokinetic structure [11,14,16], walking stability [13,18,19], and efficiency [17,21,25]:
- Number of Steps—Total steps taken; higher counts over short distances suggest shorter steps, linked to balance or efficiency.
- Walking Duration—Total time is taken; longer durations may reflect fatigue or instability.
- Step Speed—Speed of each step; faster speeds aid momentum but may reduce stability, while slower speeds can signal motor control issues.
- Step Cadence—Steps per minute; higher cadence can indicate better control but may increase fall risk if excessive.
- Foot Strike Heel—Heel–ground contact during the initial strike; proper contact supports shock absorption and balance.
- Foot Strike Toe—Toe contact during push-off is crucial for propulsion and forward movement.
- Step Width—Lateral distance between steps; wider width enhances stability but may signal balance compensation.
- Step Length—Distance between consecutive footfalls; short steps may imply caution or instability.
- Stride Length—Distance between successive steps of the same foot; reflects walking efficiency and overall stability.
- We also analyzed the interrelations between parameters and their influence on gait stability [9,14,19,26]:
- ○
- Step Speed and Step Cadence—A controlled cadence with stable speed promotes balance; irregularities can cause instability.
- ○
- Step Width and Step Length—Optimal width supports balance; too narrow or too wide may indicate instability.
- ○
- Foot Strike Heel and Toe—A smooth transition between heel strike and toe-off is vital for continuous, safe walking.
- ○
- Stride Length and Walking Duration—A shorter stride often leads to a longer duration, suggesting reduced mobility or impaired coordination.
Proper coordination across these parameters is crucial for maintaining walking stability [13,21,22] and preventing falls. Disruptions or imbalances support our hypothesis and may indicate the need for corrective strategies to improve safety.
2.6. Data Analysis and Statistical Methods
Statistical analysis plays a crucial role in gait research by ensuring the validity, reliability, and interpretability of findings. In this study, we analyzed gait parameters to assess locomotion efficiency, stability, and adaptability across different surface conditions. Multiple walking passes were evaluated on three surface types: solid ground, forest trails, and natural forest terrain.
Captured gait parameters were statistically analyzed as part of the broader gait and data analysis framework. Before applying any statistical methods, key assumptions were tested, specifically the homogeneity of variances and the normality of residuals. To determine appropriate statistical tests, we first assessed data normality, as parametric methods like ANOVA require normally distributed data. When normality assumptions were violated, often due to the presence of outliers, those extreme values were excluded from the specific analysis. For non-normally distributed data, we used a non-parametric test that does not assume normality.
A multivariate analysis of variance (MANOVA) was performed to examine the effects of several categorical and continuous factors on key gait parameters. The following variables were included:
- Surface (solid, trail, and forest);
- Walk Order (first walk vs. subsequent walk);
- Gender (male and female);
- Shoe size (continuous);
- Interaction effects among the above-listed.
A significance threshold of p < 0.005 was applied to identify statistically significant effects.
The ANOVA analysis was focused on eight core gait parameters:
- Number of steps;
- Walking duration;;
- Step speed
- Cadence;
- Foot strike—heel;
- Foot strike—toe;
- Step width;
- Step and stride length.
These parameters were compared across walking conditions to detect differences in locomotor behavior. ANOVA was used to evaluate whether observed variations, for instance, in step length or cadence between solid and uneven surfaces, reflected genuine differences due to environmental conditions, fatigue, or adaptation rather than random variation or measurement error.
We also examined individual-level covariates such as gender, body height, and shoe size, which may influence gait mechanics. For example, individuals with larger feet (often males) generally exhibit longer foot–ground contact times, which can enhance balance and stability relevant when walking on unstable surfaces.
The parameter “First walk/Another walk” was introduced to assess consistency and potential adaptation effects. Measuring both the “First walk” and following gait transitions helps capture how participants initially react to new surfaces (surprise effect) and how their movement changes as they adapt (learning curve), giving a clearer picture of real walking behavior. This allowed us to distinguish between natural variability and systematic changes across repeated trials, such as fatigue or environmental acclimatization.
When assumptions of normality were not met for specific parameters, especially for a percentage distribution of Foot Strike Heel and Foot Strike Toe, the Kruskal–Wallis test was applied. This test evaluates whether there are significant differences in the median values of a variable across independent groups. Unlike ANOVA, which compares group means, Kruskal–Wallis ranks the data and assesses differences in overall distributions. It is particularly robust for small sample sizes, skewed data, or ordinal-level gait measures, making it especially suitable for specific gait cycle features that show high variability or non-normal distribution.
3. Results
The following chapter presents the results of the analysis, including human gait locomotion and gait parameters across various surface types, with a focus on factors influencing motion stability and potential risks of slips, trips, and falls in the forestry environment.
3.1. Gait Data Analysis and Statistics
Gait analysis involves the quantitative evaluation of human walking patterns through a range of biomechanical parameters. In this study, individual spatial and temporal gait parameters were assessed and are summarized in the descriptive statistics of the measurements (Table 2).
Table 2.
Descriptive statistics of 15 participants.
The results of individual F-tests and sums of squares for each factor were evaluated to determine the significance of their influence on each parameter. In this part of the analysis also, post hoc tests were conducted for pairwise comparisons, particularly for the surface factor, to identify specific group differences.
To assess the quality of the statistical models, the coefficient of determination (R2) was reported for each. Detailed results are provided in Table 3, accompanied by graphical charts that illustrate the ANOVA outcomes and support interpretation of the findings.
Table 3.
ANOVA table—analysis of variance for selected parameters/factors.
Table 3 presents various gait parameters and their significance in understanding variance for selected parameters/factors. Those values present how participants adapt their walking patterns across different terrains. There are significant parameters with a threshold of p < 0.005 applied to identify statistically significant effects in our study as “Surface”, “Shoe size”, and “Gender”, which are identified in Table 3 with “bold italic text”. Other analyzed parameters that are not significant with a threshold of p > 0.005, for example, the “First walk”, are identified with a “normal italic text”.
The analysis revealed several statistically significant parameters; however, these did not have a substantial impact on the overall outcomes of the gait assessment. Nonetheless, the results align with established anthropometric observations, specifically, that females generally have smaller shoe sizes and a proportionally broader base of support compared to men (see Figure 4, Figure 5 and Figure 6).
Figure 4.
Influence of gender on individual evaluated parameter step length.
Figure 5.
Influence of gender on individual evaluated parameter step width.
Figure 6.
Influence of gender on individual evaluated parameter step length left and right.
In this study, we did not separate results by gender. While gender-based comparisons are sometimes used in gait analysis, they are not always relevant or necessary. Gait is more strongly influenced by individual biomechanics than by gender alone. Factors such as age, physical fitness, and medical history tend to exert a greater effect on gait parameters. Segmenting the data by gender without a specific physiological rationale may introduce bias and obscure meaningful trends. Therefore, we focused on individual variability rather than broad gender categorization, which provides a more precise understanding of gait dynamics.
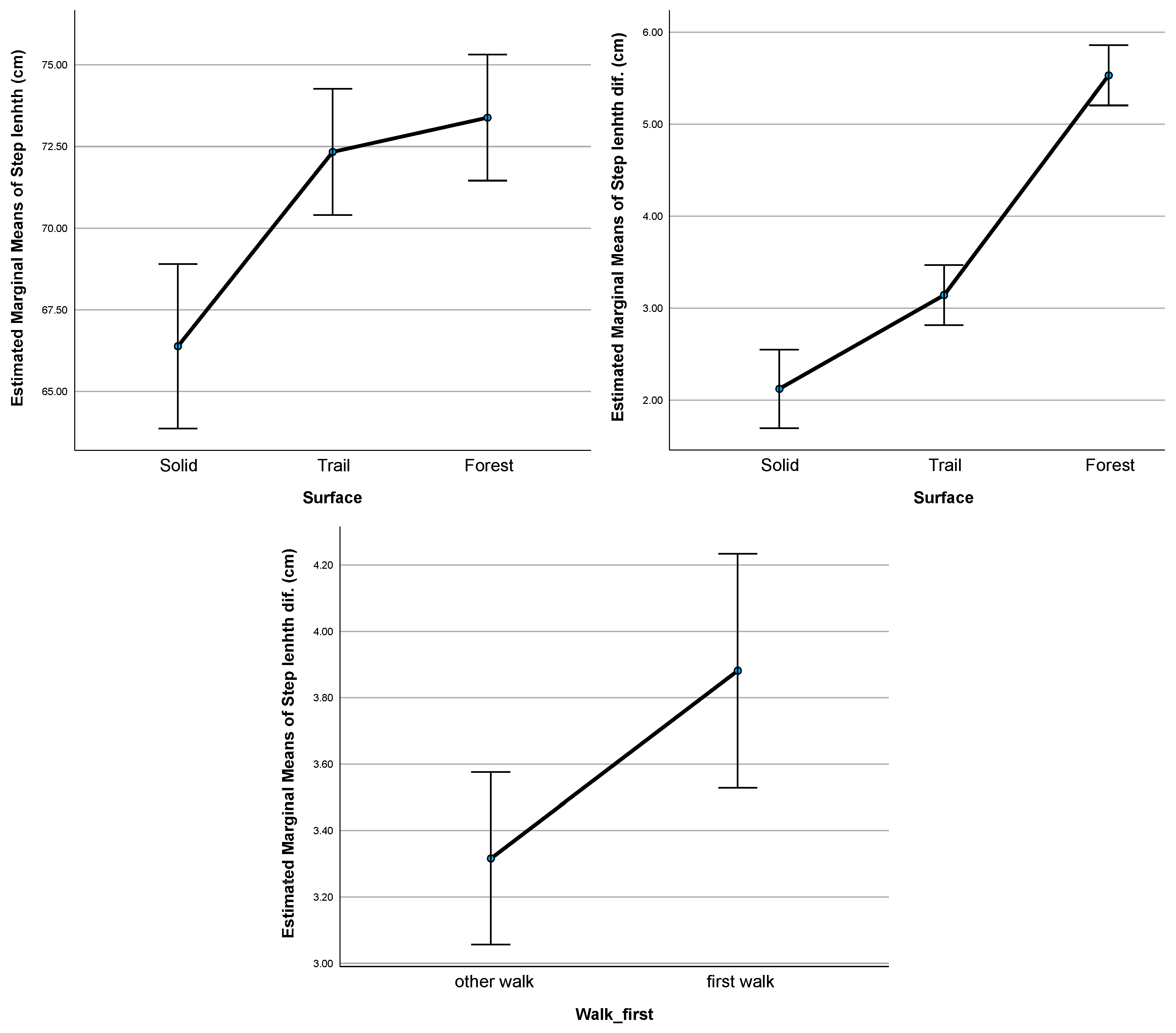
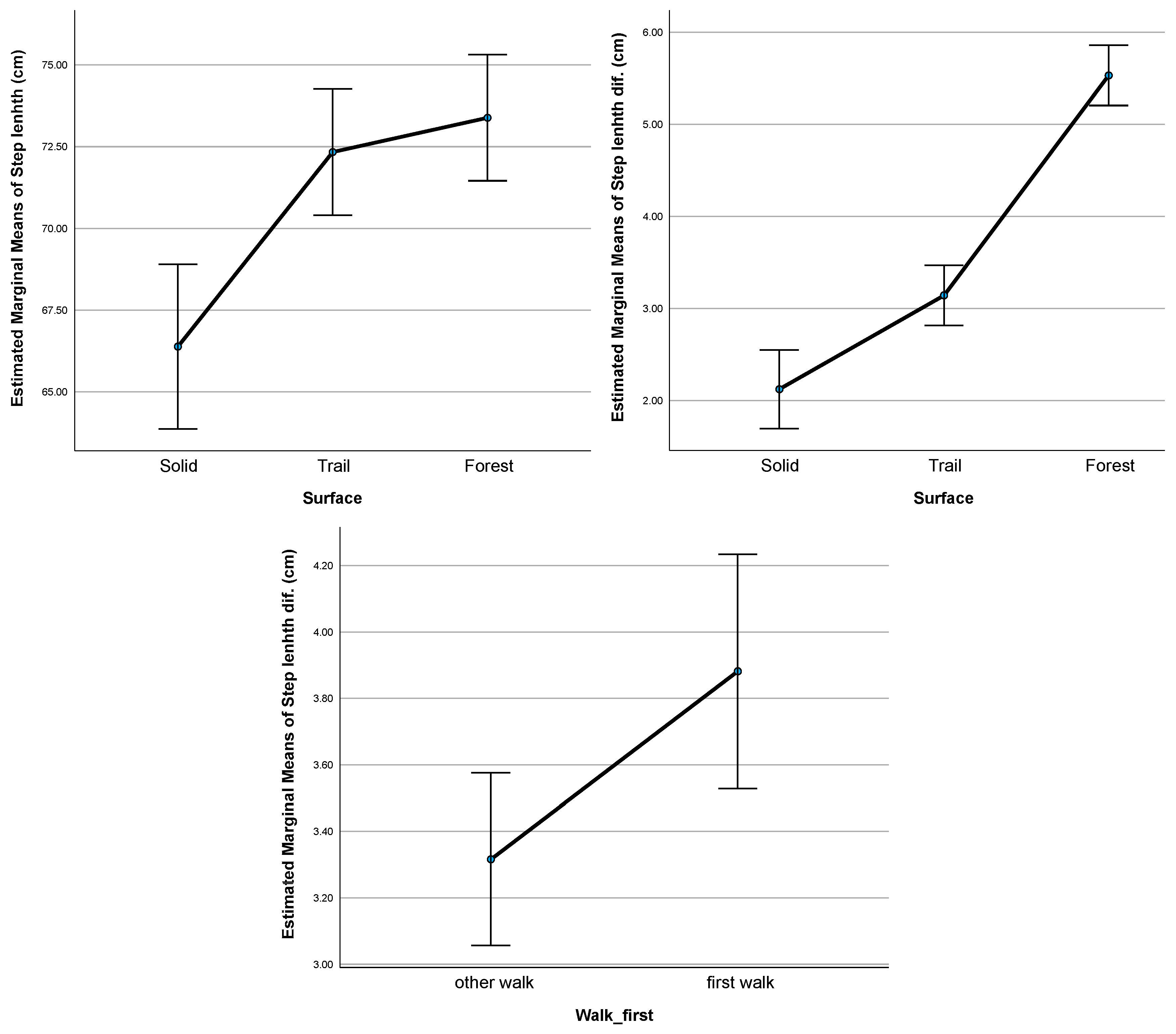
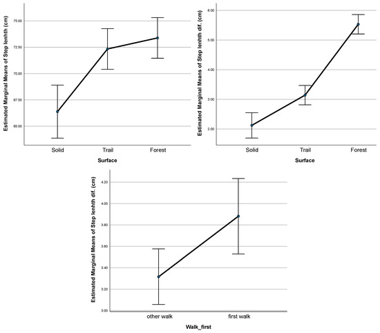
Another statistically significant parameter was the influence of neuro-motor learning and the body’s adaptation of movement patterns during initial and repeated passes over various terrain types (Figure 7 and Figure 8). While the number of passes across individual surfaces was statistically significant, it did not substantially alter the overall outcomes of the measured gait parameters.
Figure 7.
Influence of surface on stride length left and right.
Figure 8.
Influence of surface on step length and number of passes.
From a neuro-motor perspective, this relationship underscores two important findings:
- Repeated exposure to specific terrains prompts subtle adaptations in locomotor patterns, reflecting motor learning and neuromuscular plasticity.
- However, prolonged or repeated strain on neuro-motor control systems may lead to fatigue or altered gait characteristics, potentially diminishing efficiency or stability over time.
These observations support the idea that while short-term adaptation can improve movement efficiency, extended or repetitive exertion under challenging conditions may negatively affect specific aspects of gait and overall motor performance.
By statistically comparing the measured gait parameters across surface types, we observed how varying terrain conditions influence locomotion. As terrain stability decreased, particularly on forest surfaces, there was a notable reduction in cadence and a corresponding increase in step length and step width (Figure 7, Figure 8, Figure 9 and Figure 10). These changes reflect the body’s compensatory strategies to maintain balance and stability under more demanding walking conditions.
Figure 9.
Influence of surface on step width.
Figure 10.
Influence of surface on cadence.
To further explore these effects, a Kruskal–Wallis test was conducted to examine differences in the Foot Strike Toe and Foot Strike Heal parameters across three walking surfaces, i.e., solid, trail, and forest. The test included a total of 150 passes, representing all the observed gait transitions. The Kruskal–Wallis test statistic was 80.158, with 2 degrees of freedom, corresponding to the three surface groups being compared. The asymptotic significance value (p-value) was less than 0.001, specifying that the differences between the groups are highly statistically significant.
This result suggests that at least one of the surface groups differs significantly from the others in terms of the analyzed gait variables. Since the Kruskal–Wallis test is a non-parametric alternative to one-way ANOVA, it is particularly useful when the data do not follow a normal distribution. The significant p-value (<0.001) confirms that surface type or transition condition has a clear and measurable effect on gait characteristics, justifying further pairwise comparisons or post hoc analysis to determine which specific surface groups differ.
Post hoc pairwise comparisons (Table 4):
Table 4.
Post hoc pairwise comparisons of gait parameters across different surface types.
To identify which specific surfaces differed, post hoc tests were performed with adjusted p-values:
- Solid vs. Trail: A statistically significant difference was found (p = 0.003, adjusted p = 0.010), indicating that gait mechanics on solid surfaces differ meaningfully from those on trails.
- Solid vs. Forest: A highly significant difference was observed (p < 0.001), with the largest test statistic (−77.592), suggesting substantial gait variation between walking on solid ground and forest terrain.
- Trail vs. Forest: This comparison also showed a significant difference (p < 0.001), with a test statistic of −50.100, indicating meaningful biomechanical adaptation even between moderately stable trail surfaces and more irregular forest terrain.
These results support the conclusion that terrain type significantly influences gait mechanics, particularly in parameters related to foot placement and stability. The more unstable the walking surface, the greater the required adaptation in gait behavior.
The results demonstrate that surface type has a significant effect on gait parameters. The most pronounced differences were observed between solid and forest surfaces, indicating that more complex and unstable terrains such as forest environments induce substantial changes in walking behavior (Figure 11). These findings emphasize the importance of accounting for surface conditions in gait analysis, particularly in fields such as rehabilitation, sports science, and biomechanical evaluation.
Figure 11.
Influence of surface on foot strike. Total toe placement (%). Remark: “*” above the Solid surface chart represents the accuracy of the value; the "o" above the Trail surface chart represents several values that are from the statistical point of view out of the usual range.
While the primary focus of this study was on spatial and temporal gait parameters, other biomechanical factors such as shifts in the body’s center of gravity and adaptive responses under fatigue or terrain transitions also influence gait stability on uneven surfaces. Although these factors were not quantitatively assessed in the current study, we provide a qualitative illustration to support interpretation.
To offer additional insight into body instability, we present sample graphical outputs from the Gait Reporting Tool. These include visualizations of pelvic orientation and center of mass position during walking on three distinct terrain types: solid surfaces, forest trails, and natural forest environments, for one study participant (Figure 12 and Figure 13). These visuals complement the analytical findings and illustrate how gait mechanics adjust in response to varying terrain conditions.

Figure 12.
Example of distribution of the pelvis positioning and movement on different surfaces.

Figure 13.
Example of distribution of the center of mass positioning on the different surfaces.
3.1.1. Distribution of Pelvis Positioning (Figure 12)
The graphical representation illustrates the range and variability of pelvic motion during gait. It highlights key biomechanical indicators such as pelvic tilt, rotation, and lateral displacement, which are critical for assessing postural stability and movement symmetry.
A symmetrical and consistent pelvic trajectory throughout the gait cycle is indicative of stable, balanced movement and effective neuromuscular control.
Key interpretations include the following:
- Increased lateral or rotational shifts may reflect gait asymmetry, muscular weakness, or compensatory strategies triggered by surface instability or structural imbalance.
- Excessive pelvic tilt or deviation can suggest postural misalignment, lower back dysfunction, or underlying mobility impairments.
- Uneven pelvic movement patterns may be attributed to terrain variability or musculoskeletal conditions affecting gait control.
These visualizations provide additional context to the numerical gait data and enhance the understanding of how terrain-induced instability may influence core body mechanics.
3.1.2. Distribution of Center of Mass (CoM) Positioning (Figure 13)
This visualization illustrates the shifting of the center of mass (CoM) throughout the gait cycle, offering valuable insight into dynamic balance, stability control, and weight distribution during locomotion. A stable and consistent CoM trajectory is a marker of efficient, well-coordinated movement, while increased variability may indicate instability, fall risk, or compensatory strategies triggered by uneven terrain.
Key interpretations include the following:
- A narrow and controlled CoM distribution reflects effective weight transfer, strong postural control, and efficient locomotor mechanics.
- High variability or excessive shifts in CoM position suggest impaired balance control, reduced adaptability to terrain, or instability during walking.
- Irregular CoM movement patterns may be associated with an elevated risk of falls, particularly in individuals with neurological disorders, musculoskeletal impairments, or compromised motor control.
These findings further reinforce the importance of terrain-specific gait evaluation, especially in contexts where stability and safety are critical concerns.
4. Discussion
4.1. Summary of Gait Adaptation Results
A group of 15 participants was measured and evaluated while walking over three different terrain types: solid external surfaces, forest trails, and forest environments. A total of 150 walking trials were analyzed, consisting of 30 trials on solid surfaces, 60 on forest trails, and 60 in forest environments.
As participants transitioned from solid to forestry terrain, distinct changes in gait parameters were observed. Specifically, participants took more steps over a longer duration but with reduced speed and cadence. Their step width increased, and foot–ground contact time was prolonged, indicating greater effort to maintain balance and stability (Table 5).
Table 5.
Comparison of the basic spatial and temporal parameters for different surface-average values.
Walking through more complex terrain also affected overall body stability (Figure 7, Figure 8, Figure 9, Figure 10, Figure 11, Figure 12 and Figure 13). On both forest trails and in the forest environment, participants employed various compensatory strategies to stabilize their gait and adapt to uneven ground conditions. These strategies reflect the body’s natural attempt to ensure safe and effective movement through unpredictable and unstable terrain.
The analysis of human gait across three surface types—solid surface, forest trail, and forest environment—provides critical insights into how individuals adapt their movement to maintain stability and minimize the risk of slips, trips, and falls.
Solid Surface—Walking on solid ground resulted in stable and efficient gait patterns, characterized by:
- Fewer steps and shorter walking duration;
- Consistent walking speed (1.10 m/s);
- Cadence of 103.30 steps/min;
- High percentage of heel strikes (99.68%);
- Minimal variability in step width and stride length.
These findings suggest biomechanical efficiency and low neuromuscular demand. The even terrain supports consistent gait mechanics with reduced fatigue and minimal fall risk, serving as a baseline for safe locomotion.
Forest Trail—Gait on forest trails showed moderate adaptations:
- Increased step count (24.70) and cadence (107.56 steps/min);
- Slightly higher speed (1.24 m/s);
- Greater variability in step width (5.72 cm) and step length (4.92 cm);
- Decreased heel strikes (94.28%) with increased toe strikes (5.72%).
These adaptations reflect a compensatory response to terrain irregularity, allowing participants to maintain balance while moving more cautiously and responsively.
Forest Environment—This terrain posed the greatest challenge, as shown by:
- Highest step count (27.93) and longest duration (16.97 s);
- Reduced speed (1.17 m/s) and cadence (100.10 steps/min);
- Further increases in step width variability (0.63 cm) and step length variability (5.77 cm);
- Significant drop in heel strikes (80.59%) and rise in toe strikes (19.41%);
- Increased stride length variability (0.24 cm).
These changes indicate a high level of biomechanical adaptation, as participants relied more on forefoot engagement, wider steps, and slower, controlled motion to maintain stability across obstructed, unpredictable terrain.
Hypothesis Validation:
Primary Hypothesis: Increased Step Variability with Terrain Complexity. The results strongly support the first hypothesis. Key observations include:
- Step width, step length, and foot placement patterns varied significantly with terrain type.
- Participants showed greater step width and foot strike variability on forest trails and forest environments than on solid surfaces.
- On solid ground, gait was consistent, with near-total reliance on heel strikes.
- On forest trails, step width and cadence increased moderately to accommodate irregular ground.
- In forest environments, participants exhibited:
- ○
- Larger step width adjustments;
- ○
- More frequent toe strikes;
- ○
- Increased stride asymmetry;
- ○
- Decreased cadence indicating more cautious movement strategies.
These findings confirm that softer, more uneven surfaces require complex neuromuscular adaptations to maintain balance, leading to higher step variability and changes in foot strike mechanics.
Secondary Hypothesis: Higher fall risk indicated by gait adaptations. The second hypothesis is also validated by the data. Notable outcomes include the following:
- The shift from heel-strike dominance on solid surfaces to increased toe engagement in forest environments reflects an adaptive response aimed at preventing slips on unstable ground.
- Participants spent more time in foot–ground contact in forest environments, signaling cautious behavior to reduce missteps.
- Gait became more irregular, with wider steps and more variable cadence, hallmarks of reduced coordination and increased neuromuscular demand.
- These changes suggest that walking on forest terrain increases fall risk, especially under conditions of fatigue or impaired balance.
Overall, the findings confirm that terrain complexity significantly influences gait mechanics, supporting both hypotheses. The need for greater biomechanical control, dynamic stability, and postural adaptation in forest environments highlights the importance of terrain-aware gait assessment in fields like occupational safety, rehabilitation, and outdoor mobility research.
4.2. Study Insights and Future Directions
Human locomotion is inherently adaptive, shaped by continuous interactions between the individual and their environment. The findings of this study reinforce the central idea that terrain plays a significant role in modulating gait mechanics. As participants moved from stable to more complex surface types of solid ground, forest trails, and forest environments, a clear progression in gait adaptation emerged, underscoring the dynamic nature of locomotor control [9,22,31,34].
The most consistent and efficient gait patterns were observed on solid surfaces, where participants demonstrated stable movement with minimal variability. This aligns with existing literature suggesting that flat, hard surfaces facilitate biomechanically optimal walking patterns, including high cadence, consistent stride lengths, and dominant heel strikes [17]. These conditions demand minimal compensatory adjustments and offer a reference baseline for evaluating deviations on more complex terrain. In contrast, walking on forest trails, especially in forest environments, triggered substantial changes in gait behavior. Notably, participants adopted wider steps, reduced walking speeds, and increased foot–ground contact time—responses that can be interpreted as compensatory mechanisms aimed at preserving balance. These findings support previous studies highlighting that step width and ground contact duration increase with surface instability, contributing to lateral stability and fall prevention [35,36]. The reduction in cadence and reliance on more frequent toe strikes in forest environments further illustrates how terrain irregularity alters the fundamental rhythm and sequencing of gait. While slower movement may initially appear inefficient, in biomechanical terms it reflects a cautious strategy designed to minimize destabilizing forces and maximize ground reaction control. Similar adaptations have been observed in other studies investigating gait on sand, gravel, and grass [12,37]. Interestingly, the shift in foot strike pattern from a dominant heel strike on solid surfaces to more mixed heel–toe contact in forest conditions highlights the body’s attempt to dynamically engage different parts of the foot to increase ground adaptability. This pattern suggests a redistribution of force and postural control to navigate unpredictable surfaces, a finding echoed in work by Gates et al. [13] on rocky terrains, where proprioceptive feedback plays a critical role in modifying gait in real-time.
Beyond observable gait parameters, this study indirectly touches on deeper neuromechanical processes involved in adaptive locomotion [38]. The increased gait variability and step asymmetry in complex terrain likely reflect both feedforward and feedback control systems at work. Feedforward mechanisms may allow for pre-planned postural adjustments based on expected surface properties, while sensory feedback (visual, tactile, and proprioceptive) facilitates reactive corrections in response to unexpected ground changes [39].
While these adaptations enhance stability, they also come at a physiological cost. Increased variability and asymmetry, especially in step width and pelvic motion, can signal early neuromuscular fatigue or reduced coordination [9,34,40]. This has practical implications for forestry workers and individuals operating in natural terrains for extended periods. Prolonged exposure to unstable environments may not only increase fall risk but could also contribute to overuse injuries due to continuous compensatory loading.
The results also reveal a significant insight regarding foot–ground interaction as a marker of postural control. Longer contact time, while beneficial for balance, may increase the risk of slipping, especially on wet or loose surfaces. This trade-off between stability and agility becomes particularly relevant in real-world applications, such as outdoor work, rehabilitation planning, or designing mobility aids for natural environments.
Importantly, our findings confirm both primary and secondary hypotheses. Step variability and altered gait dynamics increased with terrain complexity, while associated changes reduced cadence, increased reliance on forefoot contact, and greater gait asymmetry reflect elevated neuromechanical demands and, potentially, a higher risk of slips, trips, and falls. These changes are not merely artifacts of surface differences but are indicative of deeper adaptive strategies employed by the locomotor system under environmental constraints.
However, this study is not without limitations. Gait was assessed under relatively low working/body load intensity and short durations of the experiments. During this study, other parameters such as bigger participant age variability, weather or environmental conditions, type of footwear, and the impact of fatigue and higher physical demands, which are typical in forestry or outdoor work, were not evaluated. From this point of view, we are supposed to integrate more real-world activities and working tasks for future studies to provoke higher levels of body/muscle activation and consider long-term movement under repeated terrain exposure. This would provide a more complete picture of terrain-induced gait adaptation and its implications for injury prevention and movement efficiency.
Overall, the findings contribute to a growing body of evidence emphasizing the importance of contextual gait analysis. Gait should not be evaluated in isolation or solely within laboratory environments; real-world terrain presents unique challenges that fundamentally alter human movement. By understanding how individuals respond to such variability, we can inform safety guidelines and enhance the risk of slips, trips, and fall prevention strategies, also with the use of machine learning or artificial intelligence (AI) tools [41].
5. Conclusions
This study demonstrated that walking across different natural terrains, particularly in forest environments, significantly alters key gait parameters and challenges locomotor stability. Compared to solid and trail surfaces, forest terrain—characterized by soft ground, roots, and irregular obstacles—led to shorter and wider steps, reduced cadence and speed, increased stance time, and a higher frequency of toe strikes. These changes indicate adaptive responses aimed at maintaining balance and avoiding falls but also reflect higher biomechanical demands and reduced walking efficiency.
The results confirm that natural, uneven surfaces disrupt gait regularity and require compensatory strategies that could be physically taxing over time. These findings have important implications for occupational safety in forestry, outdoor recreation, and the design of footwear, assistive devices, or training programs tailored to terrain-specific demands. Moreover, the use of wearable Inertial Measurement Unit (IMU) technology proved effective for capturing gait behavior in real outdoor conditions, highlighting its value for future field-based biomechanical research. The implications of this research extend to several applied domains, including occupational safety in forestry, outdoor mobility research, and biomechanical modeling. A deeper understanding of terrain-specific gait responses can inform the design of assistive devices, ergonomic interventions, and safety protocols for physically demanding professions.
While this study captured important gait adaptations, it was limited by its focus on short-term data collection and low-intensity activities. Future research should incorporate a broader range of real-world tasks, evaluate additional biomechanical variables such as muscle activation and joint loading, and consider long-term adaptation effects. Overall, this study highlights the need to consider the impact of the surface when assessing gait performance and estimates that real-world terrain variability should be integrated into fall risk assessments, rehabilitation planning, and ergonomic interventions for environments with irregular ground conditions.
Further exploration of neuromuscular responses in realistic environmental settings may provide deeper insight into how the human body adapts to physical demands and diverse working conditions. Examining these responses across different terrains, environments, and workload conditions over time can reveal the mechanisms underlying adaptive motor strategies.
Ultimately, understanding how individuals modify their gait in response to challenging surfaces will support advancements in mobility safety, fall prevention, and the design of targeted interventions to enhance movement in both natural and occupational contexts.
Author Contributions
M.R.: writing—review and editing; writing—original draft; validation; methodology; investigation; formal analysis; measurement and gait data analysis; data curation; and conceptualization. E.A.P.: supervision; writing—review and editing; writing—formal analysis; and conceptualization. J.Š.: data methodology; formal analysis; and data curation. All authors have read and agreed to the published version of the manuscript.
Funding
This work was supported by the Department of Engineering, Faculty of Forestry and Wood Technology Mendel University in Brno, Czech Republic.
Institutional Review Board Statement
In this study, we fully followed all legal and ethical requirements related to the Czech and EU laws and the ethical standards of MENDELU. We also fully followed the GDPR and ethical standards and rules that are set by the MENDELU, including all GDPR and informed consent statement paperwork, participant signatures, individual data coverage protection, and data storage protection. The rules for our group of subjects and study structure did not require detailed ethical declarations for each step. This study was also conducted following the Declaration of Helsinki.
Informed Consent Statement
Informed consent was obtained from all subjects involved in this study.
Data Availability Statement
The datasets presented in this article are not readily available because the data are part of an ongoing study. Requests to access the datasets should be directed to the corresponding author.
Acknowledgments
The authors acknowledge the Hsef s.r.o. company for their technical support, processing, and data analysis and also the PREMEDIS Foundation and the Czech Ergonomic Association for their support.
Conflicts of Interest
The authors declare no conflicts of interest.
References
- US National Safety Council. Occupational Safety Highlights. 2022. Available online: https://injuryfacts.nsc.org/work/work-overview/work-safety-introduction/ (accessed on 10 September 2024).
- Guide to Good Practice in Contract Labour in Forestry; Food and Agriculture Organization of the United Nations: Rome, Italy, 2011; ISBN 978-92-5-106877-9.
- Tsioras, P.A.; Rottensteiner, C.; Stampfer, K.; Tamparopoulos, A.E. Slip, Trip and Fall Accidents in a Large Forest Enterprise; CRC Press: Boca Raton, FL, USA, 2013; ISBN 9780429227714. [Google Scholar]
- Jankovský, M.; Allman, M.; Allmanová, Z. What are the occupational risks in forestry? Results of a long-term study in Slovakia. Int. J. Environ. Res. Public Health 2019, 16, 4931. [Google Scholar] [CrossRef] [PubMed]
- Allman, M.; Dudakova, Z.; Jankovsky, M. Occupational accidents in Slovak Military Forests and Estates: Incidence, timing, and trends over 10 years. Front. Public Health 2024, 12, 1369948. [Google Scholar] [CrossRef]
- Okuda, M.; Kawamoto, Y.; Tado, H.; Fujita, Y.; Inomata, Y. Energy Expenditure Estimation for Forestry Workers Moving on Flat and Inclined Ground. Forests 2023, 14, 1038. [Google Scholar] [CrossRef]
- Rhee, K.Y.; Choe, S.W.; Kim, Y.S.; Koo, K.H. The trend of occupational injuries in Korea from 2001 to 2010. Saf. Health Work 2013, 4, 63–70. [Google Scholar] [CrossRef]
- Landekić, M.; Bačić, M.; Bakarić, M.; Šporčić, M.; Pandur, Z. Working Posture and the Center of Mass Assessment While Starting a Chainsaw: A Case Study among Forestry Workers in Croatia. Forests 2023, 14, 395. [Google Scholar] [CrossRef]
- Hawkins, K.A.; Clark, D.J.; Balasubramanian, C.K.; Fox, E.J. Walking on uneven terrain in healthy adults and the implications for people after stroke. NeuroRehabilitation 2017, 41, 765–774. [Google Scholar] [CrossRef] [PubMed] [PubMed Central]
- Thies, S.B.; Richardson, J.K.; Ashton-Miller, J.A. Effects of surface irregularity and lighting on step variability during gait: A study in healthy young and older women. Gait Posture 2005, 22, 26–31. [Google Scholar] [CrossRef] [PubMed]
- Kent, J.A.; Sommerfeld, J.H.; Mukherjee, M.; Takahashi, K.Z.; Stergiou, N. Locomotor patterns change over time during walking on an uneven surface. J. Exp. Biol. 2019, 222, jeb202093. [Google Scholar] [CrossRef]
- Voloshina, A.S.; Kuo, A.D.; Daley, M.A.; Ferris, D.P. Biomechanics and energetics of walking on uneven terrain. J. Exp. Biol. 2013, 216, 3963–3970. [Google Scholar] [CrossRef]
- Gates, D.H.; Wilken, J.M.; Scott, S.J.; Sinitski, E.H.; Dingwell, J.B. Kinematic strategies for walking across a destabilizing rock surface. Gait Posture 2012, 35, 36–42. [Google Scholar] [CrossRef]
- Blair, S.; Lake, M.J.; Ding, R.; Sterzing, T. Magnitude and variability of gait characteristics when walking on an irregular surface at different speeds. Hum. Mov. Sci. 2018, 59, 112–120. [Google Scholar] [CrossRef] [PubMed]
- Shaikh, U.Q.; Shahzaib, M.; Shakil, S.; Bhatti, F.A.; Saeed, M.A. Robust and adaptive terrain classification and gait event detection system. Heliyon 2023, 9, e21720. [Google Scholar] [CrossRef] [PubMed]
- Liu, C.; Downey, R.J.; Salminen, J.S.; Rojas, S.A.; Richer, N.; Pliner, E.M.; Hwang, J.; Cruz-Almeida, Y.; Manini, T.M.; Hass, C.J.; et al. Electrical Brain Activity during Human Walking with Parametric Variations in Terrain Unevenness and Walking Speed. Imaging Neurosci. 2023, 2, 551289. [Google Scholar] [CrossRef] [PubMed] [PubMed Central]
- Kowalsky, D.B.; Rebula, J.R.; Ojeda, L.V.; Adamczyk, P.G.; Kuo, A.D. Human walking in the real world: Interactions between terrain type, gait parameters, and energy expenditure. PLoS ONE 2021, 16, e0228682. [Google Scholar] [CrossRef]
- Zhu, C.; Chen, X.; Yi, J. Human Walking Locomotion Data on Solid Ground and Sand. Mendeley Data 2024. Matlab data structure V2. [Google Scholar] [CrossRef]
- Dennerlein, J.T.; Dixon, P.C.; Coppola, S.M.; Li, S.; Hu, B.; Luo, Y. A database of human gait performance on irregular and uneven surfaces collected by wearable sensors. Sci. Data 2020, 7, 219. [Google Scholar] [CrossRef]
- Donelan, J.M.; Kram, R.; Kuo, A.D. Mechanical work for step-to-step transitions is a major determinant of the metabolic cost of human walking. J. Exp. Biol. 2002, 205, 3717–3727. [Google Scholar] [CrossRef] [PubMed]
- Wu, A.R.; Kuo, A.D. Energetic Tradeoffs of Foot-to-Ground Clearance During Swing Phase of Walking; University of Michigan, Ann Arbor, USA USA, 2015. Available online: https://manojsrinivasan.org/dynamic-walking/AbstractsFolder/Wu3_2015_DW.pdf (accessed on 20 April 2025).
- Kuo, A.D. Stabilization of lateral motion in passive dynamic walking. Int. J. Robot. Res. 1999, 18, 917–930. [Google Scholar] [CrossRef]
- Bauby, C.E.; Kuo, A.D. Active control of lateral balance in human walking. J. Biomech. 2000, 33, 1433–1440. [Google Scholar] [CrossRef] [PubMed]
- Bruijn, S.M.; van Dieën, J.H. Control of human gait stability through foot placement. J. R. Soc. Interface 2018, 15, 20170816. [Google Scholar] [CrossRef]
- Holowka, N.B.; Kraft, T.S.; Wallace, I.J.; Gurven, M.; Venkataraman, V.V. Forest terrains influence walking kinematics among indigenous Tsimane of the Bolivian Amazon. Evol. Hum. Sci. 2022, 4, e19. [Google Scholar] [CrossRef] [PubMed]
- Brambilla, C.; Beltrame, G.; Marino, G.; Lanzani, V.; Gatti, R.; Portinaro, N.; Molinari Tosatti, L.; Scano, A. Biomechanical Analysis of Human Gait When Changing Velocity and Carried Loads: Simulation Study with OpenSim. Biology 2024, 13, 321. [Google Scholar] [CrossRef]
- Roggio, F.; Trovato, B.; Sortino, M.; Vecchio, M.; Musumeci, G. Self-selected speed provides more accurate human gait kinematics and spatiotemporal parameters than overground simulated speed on a treadmill: A cross-sectional study. BMC Sports Sci. Med. Rehabil. 2024, 16, 1–12. [Google Scholar] [CrossRef]
- Nohelová, D.; Bizovska, L.; Vuillerme, N.; Svoboda, Z. Gait Variability and Complexity during Single and Dual-Task Walking on Different Surfaces in Outdoor Environment. Sensors 2021, 21, 4792. [Google Scholar] [CrossRef]
- Bergmann, J.; Mayagoitia, R.; Smith, I. A portable system for collecting anatomical joint angles during stair ascent: A comparison with an optical tracking device. Dyn. Med. 2009, 8, 3. [Google Scholar] [CrossRef] [PubMed] [PubMed Central]
- Schepers, M.; Giuberti, M.; Bellusci, G. Xsens MVN: Consistent Tracking of Human Motion Using Inertial Sensing. Xsens Technol. 2018, 1, 1–8. [Google Scholar] [CrossRef]
- Negi, S.; Sharma, S.; Sharma, N. FSR and IMU sensors-based human gait phase detection and its correlation with EMG signal for different terrain walk. Sens. Rev. 2021, 41, 235–245. [Google Scholar] [CrossRef]
- Xsens/Movella Company. Xsens MVN Gait Report: The Use of Inertial Motion Capture for Cloud Based; Document MVN Gait Report—Whitepaper, Revision A, 12 January 2021. Available online: https://www.movella.com/resources/white-papers/white-papers/mvn-gait (accessed on 1 September 2024).
- Xsens/Movella company. Xsens MVN Gait Report: Gait Report—How to interpret the data Document MVN Gait report. Available online: https://base.movella.com/s/article/Gait-Report-How-to-interpret-data?language=en_US (accessed on 1 September 2024).
- Tsay, J.S.; Kim, H.E.; McDougle, S.D.; Taylor, J.A.; Haith, A.; Avraham, G.; Krakauer, J.W.; Collins, A.G.E.; Ivry, R.B. Fundamental processes in sensorimotor learning: Reasoning, refinement, and retrieval. eLife 2024, 13, e91839. [Google Scholar] [CrossRef] [PubMed] [PubMed Central]
- Zhu, C.; Chen, X.; Yi, J. Biomechanical Comparison of Human Walking Locomotion on Solid Ground and Sand. ASME. J. Biomech. Eng. 2025, 147, 041005. [Google Scholar] [CrossRef]
- Hauser, K. Adaptive Locomotion on Uneven Terrains. In Humanoid Robotics: A Reference; Springer: Dordrecht, The Netherlands, 2017. [Google Scholar] [CrossRef]
- Gates, D.H.; Wilken, J.M.; Scott, S.J.; Sinitski, E.H.; Dingwell, J.B. Gait characteristics of individuals with transtibial amputations walking on a destabilizing rock surface. Gait Posture 2012, 36, 33–39. [Google Scholar] [CrossRef]
- Marigold, D.S.; Patla, A.E. Age-related changes in gait for multi-surface terrain. Gait Posture 2008, 27, 689–696. [Google Scholar] [CrossRef] [PubMed]
- Marigold, D.S.; Patla, A.E. Visual information from the lower visual field is important for walking across multi-surface terrain. Exp. Brain Res. 2008, 188, 23–31. [Google Scholar] [CrossRef] [PubMed]
- Bertram, J. Constrained optimization in human walking: Cost minimization and gait plasticity. J. Exp. Biol. 2005, 208, 979–991. [Google Scholar] [CrossRef] [PubMed]
- Harris, E.J.; Khoo, I.H.; Demircan, E. A Survey of Human Gait-Based Artificial Intelligence Applications. Front. Robot. AI 2022, 8, 749274. [Google Scholar] [CrossRef] [PubMed] [PubMed Central]
Disclaimer/Publisher’s Note: The statements, opinions and data contained in all publications are solely those of the individual author(s) and contributor(s) and not of MDPI and/or the editor(s). MDPI and/or the editor(s) disclaim responsibility for any injury to people or property resulting from any ideas, methods, instructions or products referred to in the content. |
© 2025 by the authors. Licensee MDPI, Basel, Switzerland. This article is an open access article distributed under the terms and conditions of the Creative Commons Attribution (CC BY) license (https://creativecommons.org/licenses/by/4.0/).














