Effect of Wet–Dry Cycles on the Shear Behavior of Compressed Wood Nails Compared to Steel Nails
Abstract
1. Introduction
2. Materials and Methods
2.1. Materials
2.2. Specimen Configuration
2.3. Wet–Dry Cycles
2.4. Single Shear Capacity Tests
3. Results and Discussion
3.1. Destruction Mode
3.2. Shear Bearing Capacity
3.3. Stiffness
4. Conclusions
- (1)
- Compressed beech nail connections predominantly failed via brittle fastener fracture at the timber interface, with minimal intact withdrawal. In contrast, the failure of steel nails involved ductile nail withdrawal accompanied by bending deformation and wood fiber tear-out at the substrate interfaces.
- (2)
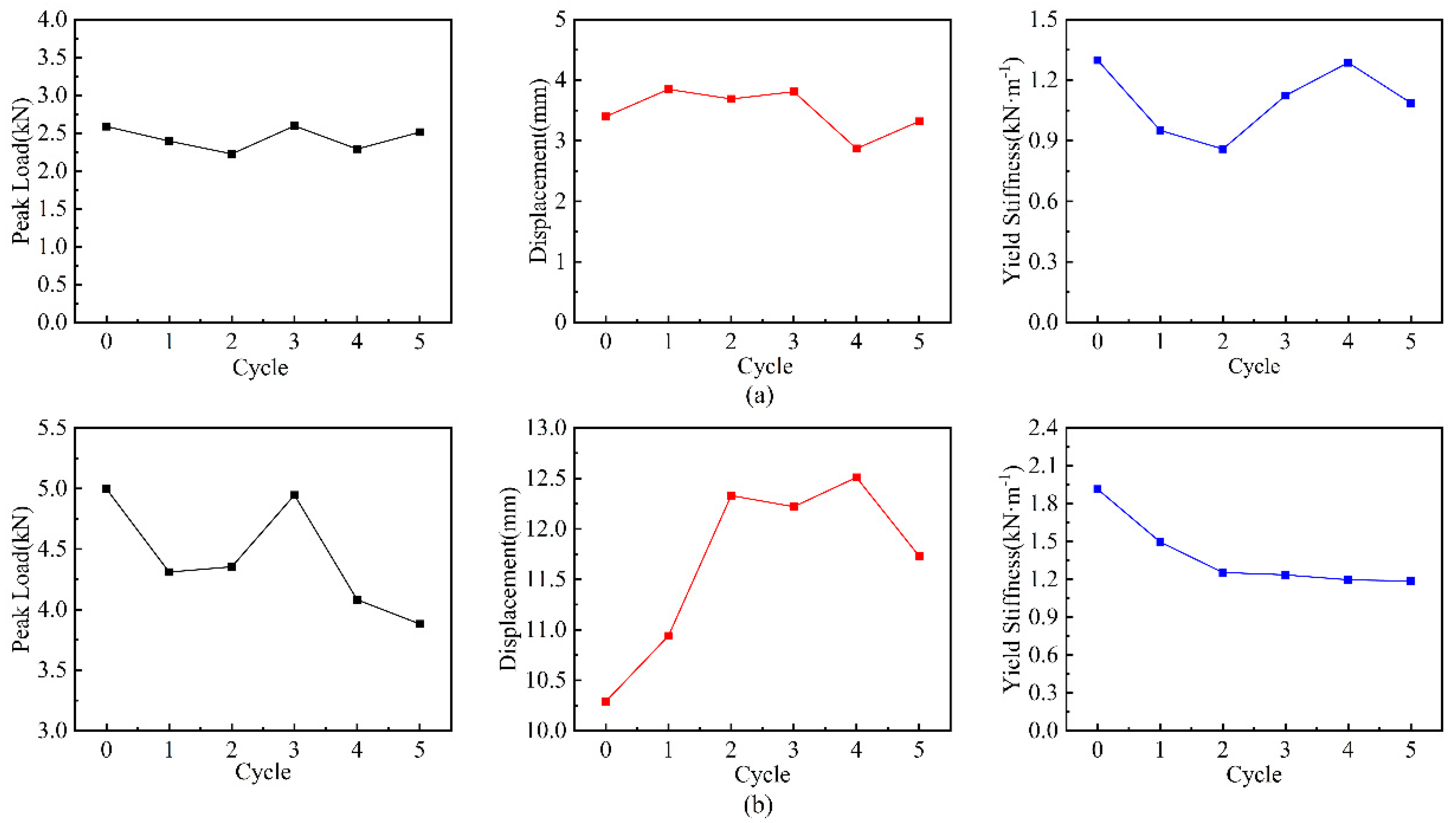
- Compared to the wood nails, the untreated samples (0 cycles) demonstrated significant performance disparities: The steel connections presented nearly double the ultimate load (4996 vs. 2588 N) and a 1.5-fold greater yield stiffness (1915 vs. 1299 N/mm). After cycling, the steel connections experienced a 22.3% load capacity loss and 38.02% stiffness degradation, whereas the wood nail systems maintained stable performance with only a 2.8% reduction, confirming the superior hygrothermal durability of the lignocellulosic fasteners.
- (3)
- Cyclic exposure induced minimal displacement (2.4% decrease) and load capacity (2.8% reduction) variations in the wood nails, reflecting exceptional dimensional stability. Conversely, the steel connections exhibited substantial displacement (14.0% increase) and load (22.3% decrease) fluctuations, necessitating moisture-proof measures to mitigate corrosion-induced performance decay.
Author Contributions
Funding
Data Availability Statement
Acknowledgments
Conflicts of Interest
References
- Pramreiter, M.; Nenning, T.; Malzl, L.; Konnerth, J. A plea for the efficient use of wood in construction. Nat. Rev. Mater. 2023, 8, 217–218. [Google Scholar] [CrossRef]
- Lestari, L.; Ikaputra, I. Toward Sustainable Construction Using Wood Material: A Review of Indicator-based Sustainability Assessments. Int. J. Eng. Appl. Sci. 2024, 4, 77–90. [Google Scholar] [CrossRef]
- Kamperidou, V. The Biological Durability of Thermally- and Chemically-Modified Black Pine and Poplar Wood Against Basidiomycetes and Mold Action. Forests 2019, 10, 1111. [Google Scholar] [CrossRef]
- Ottenhaus, L.; Li, M.; Smith, T.J.; Quenneville, P. Ductility of dowelled and nailed CLT and LVL connections under monotonic and cyclic loading. In Proceedings of the Australian Earthquake Engineering Society 2016 Conference, Melbourne, Australia, 25–27 November 2016. [Google Scholar]
- Chung, P.P.; Wang, J.; Durandet, Y. Deposition processes and properties of coatings on steel fasteners—A review. Friction 2019, 7, 389–416. [Google Scholar] [CrossRef]
- Zelinka, S.L.; Rammer, D.R. Modelling the effect of nail corrosion on the lateral strength of joints. For. Prod. J. 2012, 62, 160–166. [Google Scholar]
- BECK Fastener Group. LIGNOLOC® Wooden Nails; BECK Fastener Group: Mauerkirchen, Austria, 2023. [Google Scholar]
- Korte, H.; Koch, G.; Krause, K.C.; Koddenberg, T.; Siemers, S. Wood nails to fix softwoods: Characterization of structural deformation and lignin modification. Eur. J. Wood Wood Prod. 2018, 76, 979–988. [Google Scholar] [CrossRef]
- Wang, F.; Wang, Y.; Duo, Y.; Zhou, B.; Que, Z. The Influence of Wood Nail Diagonal Connection on SPF Connection Performance. J. Build. Technol. 2021, 52, 294–296. [Google Scholar]
- Wang, S.; Wang, F.; Kong, F.; Ma, P.; Chen, Z.; Que, Z. Influence of repeated wetting and drying on withdrawal capacity of wooden nails and metal nails. Constr. Build. Mater. 2023, 409, 133991. [Google Scholar] [CrossRef]
- Yermán, L.; Ottenhaus, L.M.; Montoya, C.; Morrell, J. Effect of repeated wetting and drying on withdrawal capacity and corrosion of nails in treated and untreated timber. Constr. Build. Mater. 2021, 284, 122878. [Google Scholar] [CrossRef]
- Que, Z.L.; Yang, L.; Wang, F.B.; Xu, Y.; Pan, B.; Wang, Y.B. The effect of salinity on the nail-holding power of dimension lumber. J. Southwest Forest. Univ. 2014, 34, 100–103. [Google Scholar] [CrossRef]
- Kang, S.M.; Morrell, J.J.; Smith, D. Effect of incising and preservative treatment on nail-holding capacity of douglas-fir and hem-fir lumber. For. Prod. J. 1999, 49, 43–45. [Google Scholar]
- GB/T 50005-2017; Standard for Design of Steel Structures. China Architecture & Building Press: Beijing, China, 2017.
- GB/T 50329-2012; Standard Test Methods for Wooden Structures. China Architecture & Building Press: Beijing, China, 2012.
- Japan 2 × 4 Home Builders Association. Structural Design Guidelines for Wood Frame Construction; Japan 2 × 4 Home Builders Association: Tokyo, Japan, 2002; pp. 213–241. (In Japanese) [Google Scholar]
- Xue, Y.Y.; Zhu, X.D.; Zhang, X.W.; Qi, P.F.; Li, J.J.; Liu-hao-ran, Z.H.U.; Yao, L.H. Single Shear Performance of Components Connected by Beech-self-Tapping-Screw Composite Dowels. Chin. J. Wood Sci. Technol. 2022, 36, 68–74. [Google Scholar]
- EN 1995-1-1; Eurocode 5—Design of Timber Structures-Part1.1: General Rules and Rules for Buildings. European Committee for Standardization: Brussels, Belgium, 2006.
- Silva, C.; Branco, J.M.; Ringhofer, A.; Lourenço, P.B.; Schickhofer, G. The influences of moisture content variation, number and width of gaps on the withdrawal resistance of self tapping screws inserted in cross laminated timber. Constr. Build. Mater. 2016, 125, 1205–1215. [Google Scholar] [CrossRef]
- Gao, Q.; Sun, Q.; Xin, H.; Zhang, Y.; Liu, Y. Hygrothermal aging effects on fatigue behavior of web-flange junctions from pultruded I-shaped GFRP Beam. J. Build. Eng. 2025, 100, 111683. [Google Scholar] [CrossRef]
- Gerber, C.; Collado, K.; Morrell, J.J. Impact of moisture cycling on lateral resistance of resin-impregnated compressed beech nails in radiata pine timber. Int. Wood Prod. J. 2021, 12, 147–151. [Google Scholar] [CrossRef]
- Wang, S.; Wang, F.; Ma, P.; Kong, F.; Beck, C.; Siemers, S.; Que, Z. Eco-friendly wooden nails: Bonding mechanisms and withdrawal resistance in sustainable timber connections. J. Clean. Prod. 2025, 486, 144606. [Google Scholar] [CrossRef]







| Material | Dimension (mm) | Density (kg/m3) | Moisture Content (%) |
|---|---|---|---|
| Scots pine | 38 × 140 × 300 | 460 | 14 |
| Compressed beech nail | 4.7 × 50 | 1300 | 5 |
| Galvanized ring steel nail | 3.3 × 50 | 7700 | / |
| Procedure | Comments |
|---|---|
| 1. Sawing lumber | See Table 1 for size. |
| 2. Determination of moisture content | Using small samples and the oven-drying method. |
| 3. Driving nails into the boards | Producing shear specimens; see Figure 2 for the designed dimensions. |
| 4. Performing shear tests | Values corresponding to Cycle 0. |
| 5. Soaking the specimens in water at ambient temperature | Until MC = 60%, determined with gravimetry. |
| 6. Drying the specimens in an oven at 70 °C | Until MC = 12%, determined with gravimetry. |
| 7. Performing shear tests | Values corresponding to Cycle n. |
| 8. Evaluating the failure state | Damage status of the connectors and substrates. |
| Cycle | Yield Stiffness (N/mm) | Yield Load (N) | Maximum Load (N) | Displacement (mm) |
|---|---|---|---|---|
| 0 | ||||
| 1 | ||||
| 2 | ||||
| 3 | ||||
| 4 | ||||
| 5 |
| Cycle | Yield Stiffness (N/mm) | Yield Load (N) | Maximum Load (N) | Displacement (mm) |
|---|---|---|---|---|
| 0 | ||||
| 1 | ||||
| 2 | ||||
| 3 | ||||
| 4 | ||||
| 5 |
| Group | Source of Variance | Sum of Squares of Deviation | df | Mean Square | F-Value | Significance |
|---|---|---|---|---|---|---|
| Steel nails | Between groups | 5,140,900 | 5 | 1,028,180 | 2.5435 | ** |
| Within the group | 9,701,536 | 24 | 404,230.67 | |||
| Beech nails | Between groups | 499,926 | 5 | 99,985.2 | 1.1233 | ** |
| Within the group | 2,136,136 | 24 | 89,005.67 |
Disclaimer/Publisher’s Note: The statements, opinions and data contained in all publications are solely those of the individual author(s) and contributor(s) and not of MDPI and/or the editor(s). MDPI and/or the editor(s) disclaim responsibility for any injury to people or property resulting from any ideas, methods, instructions or products referred to in the content. |
© 2025 by the authors. Licensee MDPI, Basel, Switzerland. This article is an open access article distributed under the terms and conditions of the Creative Commons Attribution (CC BY) license (https://creativecommons.org/licenses/by/4.0/).
Share and Cite
Fan, W.; Zhu, X.; Hu, X.; Liu, H. Effect of Wet–Dry Cycles on the Shear Behavior of Compressed Wood Nails Compared to Steel Nails. Forests 2025, 16, 940. https://doi.org/10.3390/f16060940
Fan W, Zhu X, Hu X, Liu H. Effect of Wet–Dry Cycles on the Shear Behavior of Compressed Wood Nails Compared to Steel Nails. Forests. 2025; 16(6):940. https://doi.org/10.3390/f16060940
Chicago/Turabian StyleFan, Wei, Xinrui Zhu, Xinyu Hu, and Hongguang Liu. 2025. "Effect of Wet–Dry Cycles on the Shear Behavior of Compressed Wood Nails Compared to Steel Nails" Forests 16, no. 6: 940. https://doi.org/10.3390/f16060940
APA StyleFan, W., Zhu, X., Hu, X., & Liu, H. (2025). Effect of Wet–Dry Cycles on the Shear Behavior of Compressed Wood Nails Compared to Steel Nails. Forests, 16(6), 940. https://doi.org/10.3390/f16060940
