Effects of Stand Structure on Aboveground Biomass in Mixed Moso Bamboo Forests in Tianbaoyan National Nature Reserve, Fujian, China
Abstract
1. Introduction
2. Materials and Methods
2.1. Study Area and Plots
2.2. Quantification of the Variables Used in the Analyses
2.2.1. Quantification of Aboveground Biomass
2.2.2. Quantification of Stand Structure Indicators
2.3. Statistical Analyses
3. Results
3.1. Characteristics of Stand Structure and Stand AGB in Mixed Moso Bamboo Forests
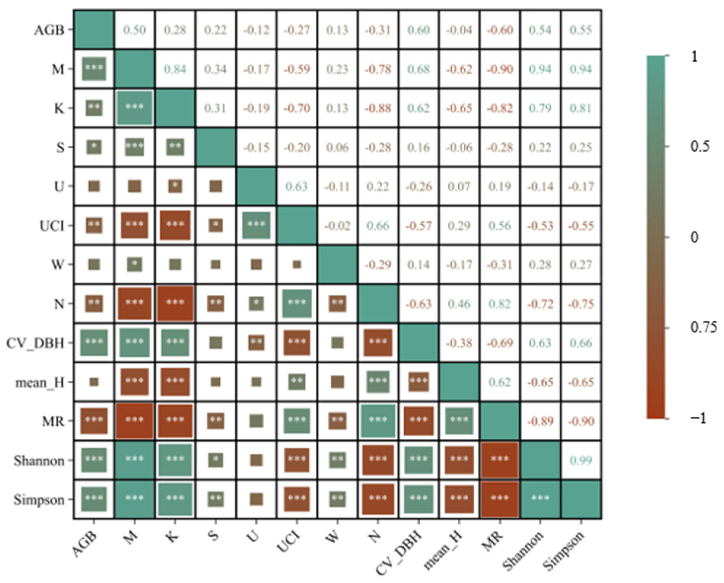
3.2. Screening of Stand Structure Affecting Stand AGB in Mixed Moso Bamboo Forests
3.3. Key Structural Factors Influencing Biomass in Mixed Moso Bamboo Stands
3.3.1. Conceptual Modeling of Structural Equations on the Structure and Biomass in Mixed Moso Bamboo Forests
3.3.2. Structural and Biomass Structural Equation Modeling in Mixed Moso Bamboo Forests
4. Discussion
4.1. Influence of Stand Spatial Structure on AGB in Forest Stands
4.2. Influence of Stand Non-Spatial Structure on AGB in Forest Stands
4.3. Implications for Multifunctional Forest Management in Mixed Moso Bamboo Stands
5. Conclusions
Author Contributions
Funding
Data Availability Statement
Conflicts of Interest
Abbreviations
| AGB | Aboveground biomass |
| M | Mingling index |
| K | Openness |
| S | Layer index |
| U | Size ratio |
| UCI | Competition index based on intersection angle |
| W | Uniform angle index |
| N | Density |
| CV_DBH | Tree size variation |
| Mean_H | Mean tree height |
| MR | Moso bamboo mixing ratio |
References
- Xu, L.; Shi, Y.; Zhou, G.; Xu, X.; Liu, E.; Zhou, Y.; Zhang, F.; Li, C.; Fang, H.; Chen, L. Structural development and carbon dynamics of Moso bamboo forests in Zhejiang Province, China. For. Ecol. Manag. 2018, 409, 479–488. [Google Scholar] [CrossRef]
- Jiang, Z. Bamboo and Rattan in the World; Liaoning Science and Technology Press: Shenyang, China, 2002; pp. 23–68. [Google Scholar]
- Ouyang, M.; Eziz, A.; Xiao, S.; Fang, W.; Cai, Q.; Ma, S.; Zhu, J.; Yang, Q.; Hu, J.; Tang, Z. Effects of bamboo invasion on forest structures and diameter–height allometries. For. Ecosyst. 2025, 12, 100256. [Google Scholar] [CrossRef]
- Xu, Q.; Liang, C.; Chen, J. Rapid bamboo invasion (expansion) and its effects on biodiversity and soil processes+. Glob. Ecol. Conserv. 2020, 21, e00787. [Google Scholar] [CrossRef]
- Fan, Y. Effects of Site Factors and Stand Structure on Biomass of Moso Bamboo Forest. Master’s Thesis, Zhejiang Agriculture and Forestry University, Hangzhou, China, 2020. [Google Scholar]
- Xu, Y. Research on Community Structure and Carbon Accumulation of Moso Bamboo Forest. Ph.D. Thesis, Zhejiang University, Hangzhou, China, 2011. [Google Scholar]
- Lima, R.A.; Rother, D.C.; Muler, A.E.; Lepsch, I.F.; Rodrigues, R.R. Bamboo overabundance alters forest structure and dynamics in the Atlantic Forest hotspot. Biol. Conserv. 2012, 147, 32–39. [Google Scholar] [CrossRef]
- Buongiorno, J.; Dahir, S.; Lu, H.-C.; Lin, C.-R. Tree size diversity and economic returns in uneven-aged forest stands. For. Sci. 1994, 40, 83–103. [Google Scholar] [CrossRef]
- Ali, A. Forest stand structure and functioning: Current knowledge and future challenges. Ecol. Indic. 2019, 98, 665–677. [Google Scholar] [CrossRef]
- Naeem, S. Ecosystem consequences of biodiversity loss: The evolution of a paradigm. Ecology 2002, 83, 1537–1552. [Google Scholar] [CrossRef]
- Tilman, D. The ecological consequences of changes in biodiversity: A search for general principles. Ecology 1999, 80, 1455–1474. [Google Scholar] [CrossRef]
- Tilman, D.; Knops, J.; Wedin, D.; Reich, P.; Ritchie, M.; Siemann, E. The Influence of Functional Diversity and Composition on Ecosystem Processes. Science 1997, 277, 1300–1302. [Google Scholar] [CrossRef]
- Shigeo, Y.; Michel, L. Does complementary resource use enhance ecosystem functioning? A model of light competition in plant communities. Ecol. Lett. 2007, 10, 54–62. [Google Scholar] [CrossRef]
- Zhang, Y.; Chen, H.Y. Individual size inequality links forest diversity and above-ground biomass. J. Ecol. 2015, 103, 1245–1252. [Google Scholar] [CrossRef]
- Ali, A.; Yan, E.-R.; Chen, H.Y.; Chang, S.X.; Zhao, Y.-T.; Yang, X.-D.; Xu, M.-S. Stand structural diversity rather than species diversity enhances aboveground carbon storage in secondary subtropical forests in Eastern China. Biogeosciences 2016, 13, 4627–4635. [Google Scholar] [CrossRef]
- Wang, W.; Lei, X.; Ma, Z.; Kneeshaw, D.D.; Peng, C. Positive relationship between aboveground carbon stocks and structural diversity in spruce-dominated forest stands in New Brunswick, Canada. For. Sci. 2011, 57, 506–515. [Google Scholar] [CrossRef]
- Ali, A.; Lohbeck, M.; Yan, E.-R. Forest strata-dependent functional evenness explains whole-community aboveground biomass through opposing mechanisms. For. Ecol. Manag. 2018, 424, 439–447. [Google Scholar] [CrossRef]
- Schwinning, S.; Weiner, J. Mechanisms determining the degree of size asymmetry in competition among plants. Oecologia 1998, 113, 447–455. [Google Scholar] [CrossRef] [PubMed]
- Potvin, C.; Dutilleul, P. Neighborhood effects and size-asymmetric competition in a tree plantation varying in diversity. Ecology 2009, 90, 321–327. [Google Scholar] [CrossRef] [PubMed]
- Chen, H.; Hong, W.; Lan, B.; Zheng, Y.; He, D. Study on biomass and productivity of Phyllostachys Heterocycla CV.Pubescens forest in the north of Fujian. Sci. Silvae Sin. 1998, 34, 60–64. [Google Scholar] [CrossRef]
- Lin, K. Research and analysis on biomass allometric equations of subtropical broad-leaved forest. J. Cent. South Univ. For. Technol. 2017, 37, 115–120, 126. [Google Scholar] [CrossRef]
- Liu, E. Carbon Storage of Typical Plantations in South Sub-Tropical Area; Chinese Academy of Forestry: Beijing, China, 2012. [Google Scholar]
- Ding, Z. Biomass and growth models of four major tree species in subtropical evergreen broad-leaved forest in Anhui Chinese Full Text. J. Anhui Agric. Univ. 2014, 41, 859–865. [Google Scholar] [CrossRef]
- Yu, C.; Hong, W.; Wu, C.; Qi, X. Distribution Characters of Schima superba Aboveground Biomass and Its Produdtivity. Chin. J. Appl. Environ. Biol. 2009, 15, 318–322. [Google Scholar] [CrossRef]
- NFGA. Stumpage Biomass Modelling and Carbon Measurement Parameters for Major Tree Species; Standard Press of China: Beijing, China, 2024. [Google Scholar]
- Li, G. Aboveground Biomass of Three Secondary Evergreen Forests at the Xiaokeng of Nanling Mountain, Southern China; Chinese Academy of Forestry: Beijing, China, 2011. [Google Scholar]
- Liu, J. Modeling Study of Generic Allometric Biomass Equations for Common Tree Species in China; Zhejiang Normal University: Jinhua, China, 2021. [Google Scholar]
- Liu, J.; Ni, J. Comparison of general allometric equations of biomass estimation for major tree species types in China. Quat. Sci. 2021, 41, 1169–1180. [Google Scholar]
- Ma, Y.; Zhang, X.; Jiang, R.; Jiang, M.; Ju, J. Effects of Stand Structural Characteristics, Diversity, and Stability on Carbon Storage Across Different Densities in Natural Forests: A Case Study in the Xiaolong Mountains, China. Forests 2025, 16, 71. [Google Scholar] [CrossRef]
- Ullah, F.; Gilani, H.; Sanaei, A.; Hussain, K.; Ali, A. Stand structure determines aboveground biomass across temperate forest types and species mixture along a local-scale elevational gradient. For. Ecol. Manag. 2021, 486, 118984. [Google Scholar] [CrossRef]
- Hui, G.; Hu, Y. Measuring Species Spatial Isolation in Mixed Forests. Sci. Silvae Sin. 2001, 14, 23–27. [Google Scholar]
- Luo, Y.; Chen, Q.; Zhang, P. The spatial pattern of coniferous forest in XinglongShan mountain and its strategies in using sun light energy. Acta Ecol. Sin. 1984, 4, 10–20. [Google Scholar]
- Lv, Y.; Zang, H.; Wan, X.; Deng, Z.; Li, J. Storey Structure Study of Cyclobalanopsis myrsinaefolia Mixed Stand Based on Storey Index. For. Grassl. Resour. Res. 2012, 3, 81–84. [Google Scholar] [CrossRef]
- Hui, G.; Gadow, K.V.; Albert, M. A New Parameter for Stand Spatial Structure Neighbourhood Comparison. Sci. Silvae Sin. 1999, 12, 4–9. [Google Scholar]
- Hui, G.; Hu, Y.; Zhao, Z.; Yuan, S.; Liu, W. A Forest Competition Index Based on Intersection Angle. Sci. Silvae Sin. 2013, 49, 68–73. [Google Scholar] [CrossRef]
- Hui, G. The neighbourhood pattern—A new structure parameter for describing distribution of forest tree position. Sci. Silvae Sin. 1999, 35, 37–42. [Google Scholar]
- Li, J.; Li, X.Y.; Cao, J.; Tan, L.Z.; Zhao, X.H. Community structure and dynamics of secondary coniferous and broad-leaved mixed forest in Changbai Mountains. Acta Ecol. Sin. 2020, 40, 1195–1206. [Google Scholar] [CrossRef]
- Singh, M.; Singh, M.P. Assessment of plant diversity indices of gomati riparian corridors in district Jaunpur, India. Ecoprint Int. J. Ecol. 2014, 20, 71–76. [Google Scholar] [CrossRef]
- Jung, S.; Park, J. Consistent partial least squares path modeling via regularization. Front. Psychol. 2018, 9, 174. [Google Scholar] [CrossRef] [PubMed]
- Liu, M. Spatial Structure Characteristics and Their Influence on Productivity of Typical Natural Forest in Lingkong Mountain, Shanxi Province; Beijing Forestry of University: Beijing, China, 2021. [Google Scholar]
- Zhao, M. Effect of Stand Density on Structure, Functions, and Community Stability of Robinia pseudoacacia Plantations; Northwest A&F University: Xi’an, China, 2024. [Google Scholar]
- Steege, H.T.; Pitman, N.C.A.; Amaral, I.L.d.; Coelho, L.d.S.; Matos, F.D.d.A.; Filho, D.d.A.L.; Salomão, R.P.; Wittmann, F.; Castilho, C.V. Mapping density, diversity and species-richness of the Amazon tree flora. Commun. Biol. 2023, 6, 1130. [Google Scholar] [CrossRef]
- Li, X.; Yang, Z.; He, H.; Qiu, Z.; Zhu, G. Study on the Influence of Stand Structure on Stand Growth of Oak Natural Forest in Hunan Province Based on Structural Equation Model. For. Grassl. Resour. Res. 2022, 4, 164–171. [Google Scholar] [CrossRef]
- Zhou, Y. Study on the Effect of Mixed Proportion on the Interspecific Relationship of Bamboo-Broadleaf Mixed Forest. Ph.D. Thesis, Chinese Academy of Forestry, Beijing, China, 2017. [Google Scholar]
- Li, R.; Werger, M.; De Kroon, H.; During, H.; Zhong, Z. Interactions between shoot age structure, nutrient availability and physiological integration in the giant bamboo Phyllostachys pubescens. Plant Biol. 2000, 2, 437–446. [Google Scholar] [CrossRef]
- Haonan, Z. Study on the Spatial Distribution Pattern and Competitive Relationship of Dominant Tree Species in Chishui Subtropical Forest. Ph.D. Thesis, Nanjing Forestry University, Nanjing, China, 2019. [Google Scholar]
- Gao, W.; Liang, M.; Xiang, W.; Fu, L.; Guo, H.; He, X.; Sharma, R.P.; Chen, Z.; Li, Y.; Zhou, M. Development stage-dependent effects of biodiversity on aboveground biomass of temperate forests. Ecography 2025, 2025, e07414. [Google Scholar] [CrossRef]
- Liu, J.; Yang, Q.P.; Song, Q.N.; Yu, D.K.; Yang, G.Y.; Qi, H.Y.; Shi, J.M. Strategy of fine root expansion of Phyllostachys pubescens population into evergreen broad- leaved forest. Chin. J. Plant Ecol. 2013, 37, 230–238. [Google Scholar] [CrossRef]
- Xiaoxia, Z. The impact of Phyllostachys Edulis Expansion on the Tree Growth, the Short-Term Effects After Bamboo Removal and Water Physiology Mechanisms. Ph.D. Thesis, Jiangxi Agricultural University, Nanchang, China, 2024. [Google Scholar]
- Shumao, R. Stand Structure and Carbon Storage Characteristics of Moso Bamboo in the Process of Expansion to Coniferous and Broad-Leaved Forest. Master’s Thesis, Zhejiang Agriculture and Forestry University, Hangzhou, China, 2022. [Google Scholar]
- Scurlock, J.M.; Dayton, D.C.; Hames, B. Bamboo: An overlooked biomass resource? Biomass Bioenergy 2000, 19, 229–244. [Google Scholar] [CrossRef]
- Song, X.; Peng, C.; Zhou, G.; Gu, H.; Li, Q.; Zhang, C. Dynamic allocation and transfer of non-structural carbohydrates, a possible mechanism for the explosive growth of Moso bamboo (Phyllostachys heterocycla). Sci. Rep. 2016, 6, 25908. [Google Scholar] [CrossRef]
- Zhou, G.; Jiang, P.; Xu, Q. Carbon fixing and transition in the ecosystem of bamboo stands. Bot. Rev. 2011, 77, 262–270. [Google Scholar] [CrossRef]
- Liese, W.; Weiner, G. Ageing of bamboo culms. A review. Wood Sci. Technol. 1996, 30, 77–89. [Google Scholar] [CrossRef]
- Ojha, S.K.; Dimov, L.D. Linking hypothesized causal factors to aboveground biomass growth in forests of Alabama and the eastern United States. For. Syst. 2017, 26, e016. [Google Scholar] [CrossRef]
- Chen, M.; Hui, G.; Hu, Y.; Zhang, G.; Zhang, G.; Liu, R.; Yang, A.; Zhao, Z.; Wang, H. Impacts of structure-based forest management on forest quality of broadleaved Korean pine forests in northeastern China. J. Beijing For. Univ. 2019, 41, 19–30. [Google Scholar] [CrossRef]









| Species | Models for AGB of Individual Tree |
|---|---|
| Phyllostachys edulis [20] | |
| Castanopsis carlesii [21] | |
| Castanopsis hystrix [22] | |
| Castanopsis eyre [23] | |
| Schima superba [24] | |
| Cunninghamia lanceolate [25] | |
| Triadica cochinchinensis [26] | |
| Broad-leaved evergreen species [27] | |
| Broad-leaved deciduous species [28] | |
| Coniferous species [27] |
| Index Types | Stand Indexes | Formulas and Description |
|---|---|---|
| Spatial structure indicators | Stand mingling index [31] | where vij = 1 if the reference tree i (RTi) is of the same species as the adjacent tree j (ATi), otherwise vij = 0. N is the number of all the reference trees in the stand. |
| Stand openness [32] | where Dij is the horizontal distance between RTi and ATj, amd Hij is the height of ATj. | |
| Stand layer index [33] | where zi is the number of forest layers in the spatial structure unit where RTi is located, sij = 1 when RTi and ATj do not belong to the same forest layer, otherwise sij = 0. | |
| Stand size ratio [34] | where kij is the result of the DBH size comparison between RTi and ATj, kij = 0 when the DBH of RTi is larger than that of ATj, otherwise kij = 1. | |
| Stand competition index based on intersection angle [35] | When the height of ATj, Hj, is greater than the height of RTi, α1 = arctan(Hi/dij) × 180°/π and α2 = arctan((Hj − Hi)/dij) × 180°/π, otherwise α1 = arctan(Hj/dij) × 180°/π and α2 = 0. | |
| Stand uniform angle index [36] | If the jth α angle is smaller than the standard angle α0 (72°), tij = 1, otherwise tij = 0. | |
| Spatial structure indicators | Stand density | where A is the area of the stand, and n is the number of all the trees in the stand. |
| Stand tree size variation [37] | where σ is the standard deviation of stand DBH, and μ is the mean DBH of the stand. | |
| Stand mean tree height | where Hi is the height of the tree i in the stand, and n is the number of all the trees in the stand. | |
| Stand bamboo mixing ratio | where B_BA is the sum of the breast height break area of moso bamboo in the forest stand, and T_BA is the sum of the breast height break area of the other trees in the stand. | |
| Shannon’s index [38] | where pi is the relative frequency of the tree i species in the stand, and s is the total number of tree species in the stand. | |
| Simpson’s index [38] | where pi is the relative frequency of the tree i species in the stand, and s is the total number of tree species in the stand. |
| Index Types | Stand Indexes | Mean | SE | Median | Min | Max | SD | CV (%) |
|---|---|---|---|---|---|---|---|---|
| AGB | AGB (t/ha) | 131.210 | 6.683 | 119.015 | 29.334 | 428.292 | 69.453 | 52.93 |
| Spatial structure indicators | M | 0.365 | 0.028 | 0.316 | 0.000 | 0.882 | 0.286 | 78.57 |
| K | 0.166 | 0.007 | 0.144 | 0.064 | 0.393 | 0.068 | 40.95 | |
| S | 0.283 | 0.009 | 0.280 | 0.044 | 0.533 | 0.092 | 32.351 | |
| U | 0.504 | 0.003 | 0.507 | 0.395 | 0.594 | 0.027 | 5.342 | |
| UCI | 0.315 | 0.003 | 0.316 | 0.228 | 0.380 | 0.030 | 9.645 | |
| W | 0.551 | 0.004 | 0.549 | 0.464 | 0.691 | 0.043 | 7.82 | |
| Non-spatial structure indicators | N (stems/ha) | 2188 | 144.095 | 1900 | 675 | 9150 | 1497.484 | 68.44 |
| CV_DBH | 0.555 | 0.018 | 0.606 | 0.161 | 0.914 | 0.182 | 32.78 | |
| Mean_H (m) | 11.436 | 0.152 | 11.485 | 8.420 | 14.778 | 1.578 | 13.80 | |
| MR | 0.365 | 0.034 | 0.268 | 0.000 | 1.000 | 0.350 | 95.84 | |
| Shannon | 1.174 | 0.087 | 1.117 | 0.000 | 2.672 | 0.900 | 76.65 | |
| Simpson | 0.473 | 0.034 | 0.491 | 0.000 | 0.921 | 0.348 | 73.66 |
| Variables | Unstandardized Coefs | Beta Coefs | p Value | Adj_R2 | RMSE |
|---|---|---|---|---|---|
| Intercept | 1.288 | - | 0.010 | 0.656 | 0.312 |
| M | 1.323 | 0.692 | <0.001 | ||
| K | −2.280 | −0.283 | 0.011 | ||
| N | 0.0001 | 0.367 | <0.001 | ||
| CV_DBH | 2.290 | 0.762 | <0.001 | ||
| mean_H | 0.156 | 0.449 | <0.001 |
| Variables | Direct Impact | Indirect Impact | Total Impact |
|---|---|---|---|
| Stand density | 0.355 | −0.588 | −0.233 |
| Tree diversity | 0.874 | −0.461 | 0.413 |
| Stand mean tree height | 0.652 | 0.124 | 0.776 |
| Stand openness | −0.282 | 0.025 | −0.258 |
| Stand tree size variation | 0.615 | 0 | 0.615 |
Disclaimer/Publisher’s Note: The statements, opinions and data contained in all publications are solely those of the individual author(s) and contributor(s) and not of MDPI and/or the editor(s). MDPI and/or the editor(s) disclaim responsibility for any injury to people or property resulting from any ideas, methods, instructions or products referred to in the content. |
© 2025 by the authors. Licensee MDPI, Basel, Switzerland. This article is an open access article distributed under the terms and conditions of the Creative Commons Attribution (CC BY) license (https://creativecommons.org/licenses/by/4.0/).
Share and Cite
Deng, Z.; Xu, Q.; Fan, S.; Wei, S.; Liu, G.; Li, Z.; Cai, C. Effects of Stand Structure on Aboveground Biomass in Mixed Moso Bamboo Forests in Tianbaoyan National Nature Reserve, Fujian, China. Forests 2025, 16, 905. https://doi.org/10.3390/f16060905
Deng Z, Xu Q, Fan S, Wei S, Liu G, Li Z, Cai C. Effects of Stand Structure on Aboveground Biomass in Mixed Moso Bamboo Forests in Tianbaoyan National Nature Reserve, Fujian, China. Forests. 2025; 16(6):905. https://doi.org/10.3390/f16060905
Chicago/Turabian StyleDeng, Ziyun, Qing Xu, Shaohui Fan, Songpo Wei, Guanglu Liu, Zhiteng Li, and Changtang Cai. 2025. "Effects of Stand Structure on Aboveground Biomass in Mixed Moso Bamboo Forests in Tianbaoyan National Nature Reserve, Fujian, China" Forests 16, no. 6: 905. https://doi.org/10.3390/f16060905
APA StyleDeng, Z., Xu, Q., Fan, S., Wei, S., Liu, G., Li, Z., & Cai, C. (2025). Effects of Stand Structure on Aboveground Biomass in Mixed Moso Bamboo Forests in Tianbaoyan National Nature Reserve, Fujian, China. Forests, 16(6), 905. https://doi.org/10.3390/f16060905

