Abstract
Forests play a crucial role in carbon cycling, contributing significantly to global carbon cycling and climate change mitigation, but their capture strength is sensitive to the climatic zone in which they operate and its adjoining environmental stressors. This research investigated the carbon dynamics of a typical deciduous forest, the Daniel Boone National Forest (DBNF), in the Mixed-Humid climate of Kentucky, USA, employing the Eddy Covariance technique to quantify temporal CO2 exchanges from 2016 to 2020 and to assess its controlling biometeorological factors. The study revealed that the DBNF functioned as a carbon sink, sequestering −1515 g C m−2 in the study period, with a mean annual Net Ecosystem Exchange (NEE) of −303 g C m−2yr−1. It exhibited distinct seasonal and daily patterns influenced by ambient sunlight and air temperature. Winter months had the lowest rate of CO2 uptake (0.0699 g C m−2 h−1), while summer was the most productive (−0.214 g C m−2 h−1). Diurnally, carbon uptake peaked past midday and remained a sink overnight, albeit negligibly so. Light and temperature response curves revealed their controlling effect on the DBNF trees’ photosynthesis and respiration. Furthermore, clear seasonality patterns were observed in the control of environmental variables. The DBNF is a carbon sink consistent with other North American deciduous forests.
1. Introduction
Forests, occupying 33.2% of the United States land area, remove an estimated 800 MT of Carbon dioxide (CO2) annually [,,]. This CO2 is absorbed from the atmosphere into the forests’ biomasses through photosynthesis, demonstrating their crucial role in controlling global warming and climate change in the United States. The significance of forests and climate interaction has sparked a sustained interest in comprehending and measuring carbon cycling and ecological processes that hold regional importance, especially at fine scales. Due to varying climatic conditions and unrepresentative and inadequate long-term data at the ecosystem scale, significant variations and uncertainties are expected when the interaction is measured in the context of exchange rates of CO2 in forests. To better study this, there is a need for improved CO2 flux monitoring of differing climatic zones at various time scales, as suggested by several studies [,,,], which will be critical in achieving a comprehensive scientific understanding.
CO2 flux is actively driven by the extent of ecosystem photosynthesis and respiration processes, which in turn are influenced by biophysical factors. In the literature, many biophysical variables have been established in their control of these processes. These include photosynthetically active radiation (PAR) [], air temperature [,], soil temperature [], and soil moisture, which is responsible for increased photosynthesis; however, when it is denatured, it leads to low carbon uptake [,]. Studies [,,,] have revealed that light, a key component of the photosynthetic process, increases the amount of carbon produced up to the saturation point. Other factors include salinity, which controls the physiological development of trees by modifying the production of carbon through water loss, CO2 concentration, conductance of stomatal pores, and expansion of leaf surfaces [].
Nevertheless, an aggregating factor—the prevailing climate—exerts a greater control on the level of carbon productivity of ecosystems operating within it. The length, mixture, and variability of these climatic influences, based on their daily, annual, and seasonal patterns, have a unique influence on the plant phenology and overall forest carbon exchange potential [,,,]. Several studies have established the responses of vegetation phenology to differing climates and have successfully linked the responses to their carbon exchange [,,]. Changes in climate and the prevailing climate, such as earlier spring starts, warming temperatures, and altered precipitation, may affect leaf emergence, flowering, leaf senescence, and other plant-ecological cycles critical to their survival [,].
The Mixed-Humid climatic zone of Kentucky, USA, has unique ecological characteristics and holds immense potential for carbon sequestration. However, the influence of its patterns and controlling influence on ecosystem productivity processes is largely quantitatively understudied. Kentucky has a significant forest coverage (48.8%, 12.4 million acres) and experiences ample precipitation year-round, with high humidity and infrequent frost but a cold winter. The state is humid subtropical and located in a Mixed-Humid transition zone [,]. It is characterized by a mix of the northern cool season influenced by the frigid winter winds from the Canadian plains and the southern warm season, making it a unique ecological zone. The deciduous forests in this zone experience cold winter temperatures, which begin in October, marking leaf shedding the onset of acclimation as the trees try to conserve limited nutrients and soil moisture [], which affect the extent of photosynthesis and respiration. This is then followed by spring months with higher precipitation and the hot summer months of Kentucky [,]. The cumulative effect of these changes on the forest causes significant variations in their annual productivity [,], and the joint understanding of this alongside the stressors highlights the resilient nature of the deciduous forests in Kentucky. The prevailing climatic conditions there exert substantial control over the CO2 exchange rate and magnitude of carbon exchanged in North American forests [,,,]. For instance, with increased spring temperatures, forests in North America have shown an early onset of CO2 uptake [,] and increased NEE and GPP [,].
This study, therefore, employed the eddy covariance (EC) method to measure how a deciduous forest exchanges CO2. While similar studies have been conducted in and around the United States [,,,,,], none have been conducted in the Mixed-Humid climatic zone of Kentucky. This study examined the net ecosystem exchange (NEE) of CO2 in the Daniel Boone National Forest of Kentucky from 2016 to 2020 across temporal scales (daily, monthly, and annually) to establish its carbon status as a sink/source. It also evaluated coinciding meteorological data to determine the degree of predictability of these factors on ecosystem exchange variables.
2. Materials and Methods
This study was conducted in the Daniel Boone National Forest (DNBF) of Kentucky (Figure 1a), a federal forest established in 1937, contained within the 8498.4 km2 proclamation boundary, all originating from the Cumberland Plateau of the Appalachians. Covering an expansive 2865.2 km2, the DNBF boasts a diverse array of deciduous and evergreen tree species, including American beech (Fagus grandifolia), sugar maple (Acer saccharum), white pine (Pinus strobus), hemlock (Tsuga canadensis), various oak species (Quercus sp.), and hickory (Carya ovata) []. The prevailing wind at the site is southeasterly at 3.6–5.7 m s−1 (Figure 1d), and the annual mean temperature throughout the study period (2016–2020) was 13.68 °C with a mean annual precipitation of 1394 mm.

Figure 1.
(a) Map of Kentucky showing Daniel Boone National Forest and the Peabody flux site, Clay County, Kentucky (37°8′17.16″ N, 83°34′46.82″ W); (b) Peabody Flux tower showing the instruments mounted; (c) Flux tower footprint estimate of the site (+) at a measurement height of 26.43 m, displacement height of 8.04 m, and a roughness length of 1.8 m, with contour lines from 10 to 90% (red lines), in 10% steps; and (d) Windrose showing the predominant wind speed and direction coming into the flux tower.
The eddy flux system used for this research was installed on the 30.48 m self-supporting Pea Body Communication tower (Figure 1b) within the DBNF used by the Forest Service near the Redbirds neighborhood, Clay County, Kentucky (37°08′17.16″ N, 83°34′46.82″ W, 743 m above sea level) (Figure 1a). The flux system instrumented on the tower comprised a 3-dimensional sonic anemometer (Gill Wind Master Pro), an open-path infrared gas analyzer (Licor 7200, LICOR, Lincoln, NE, USA) for CO2 analysis, a net radiator, a humidity sensor, a rain gauge, and CO2 and biomet data loggers for data collection (Figure 1b). The gas analyzer was oriented to achieve maximum CO2 fetch from the forest within a catchment area of 5.76 km. Following Kljun et al. [], footprint analysis showed that ~90% of fluxes are attributable to vegetation within ~600 m of the flux sensor (Figure 1c). Vegetation cover within the catchment area is mostly deciduous (84.24%), followed by mixed forest (2.03%), pasture/hay (2.55%), shrub (2.55%), and grassland/herbaceous (1.28%). The primary height class of trees within the footprint ranged from 13 to 30 m (99.65%) []. The tower footprint is characteristic of the entire DBNF forest [].
The flux tower operates based on measuring the exchange of CO2 using the eddy covariance method. This method is crucial for understanding the role of local ecosystems in global carbon dynamics [,]. It is governed by the following equation:
where w is vertical wind speed, c = trace gas concentration, overbar denotes mean, and ′ indicates the instantaneous turbulence. It works by averaging the product of two variables, which is equivalent to the product of the averages of the means () and the product of the averages of the fluctuating components () (Equation (1)).
The prevailing wind at the site is southeasterly at 3.6–5.7 m s−1 (Figure 1c). The annual mean temperature throughout the study period (2016–2020) was 13.68 °C with a mean annual precipitation of 1394 mm.
To calculate daily, seasonal, and annual integrated magnitudes of NEE, it is essential to address gaps in the data series. Missing NEE values were addressed based on the duration of the gap, generating values. In instances where daytime 30-min data was absent, the daytime net ecosystem exchange (NEE day) was modeled using an empirically determined light response curve employing a Michelis–Menten rectangular hyperbola (Equation (2)) [,,].
where Pmax is the maximum ecosystem CO2 uptake rate (μmol CO2 m−2s−1) at saturated light intensity, RE is the daytime ecosystem respiration (μmol m−2 s−1), is photosynthetic photon flux density PPFD (μmol m−2s−1), and is the apparent quantum efficiency (μmol CO2 m−2s−1PPFD−1).
During the night, carbon uptake is negligible in the absence of light; therefore, NEE at night time is assumed to be equivalent to night time ecosystem respiration RE. Moreover, we assume that the total ecosystem RE at night results from a combination of both heterotrophic and autotrophic sources [,,]. Then, the missing nighttime RE values were filled using a respiration model derived from Lloyd and Taylor (1994) [] (Equation (3)).
Here, a0 and a1 (both in °C) represent empirical coefficients fitted for each growing season. a0 signifies the intercept of RE soil respiration when Ts is 0 °C, indicating the base respiration rate at 0 °C. Meanwhile, a1 reflects the sensitivity of RE across a range of temperatures.
The fitted model is specified below:
where and are coefficients, T is temperature.
Q10 is the factor by which the rate of respiration (reaction) increases for every 10 °C increase in temperature.
In both day and night conditions, when data gaps were less than one hour, the 30-min averages of the preceding and following time steps were averaged (i.e., interpolation) and used to fill the missing values. Under these assumptions, daytime RE is temperature-dependent, and the nighttime RE vs. Ts relationship can extend to daytime conditions (i.e., nighttime NEE (NEEnight) = RE). Ultimately, Gross Primary Productivity (GPP) was computed by subtracting NEE from RE (GPP = RE − NEE). The gap-filled data was then utilized to segregate NEE into its components and calculate seasonal and annual integrated values of NEE, RE, and GPP [,].
Before gap-filling was completed, low-quality data was removed from the necessary EddyPro® (v.7.0.9) output file. The decision was made to remove all values for CO2 flux, LE, and H, whose quality flag was a “1” or a “2”, to ensure that only the highest quality data was included. Due to the biological exchange capacity of forests in a humid/tropical climate and to ensure that values observed are representative of target vegetation in the zone, empirical decisions were made to remove and gap-fill CO2 flux values beyond ±40 μmol/m−2s−1 [,,]. These removed values were considered above the established threshold [,] for temperate deciduous forests, and are largely suspected to be due to instrument and/or measurement error []. Also, values for LE beyond 0 to 700 wm−2, and for H beyond −100 to 700 wm−2, were filtered out as apparent outliers. This followed findings from energy balance studies [,,] in similar ecosystems, which showed that LE and H fluxes in humid tropical and temperate forests rarely exceed these ranges. The REddyProc software (v.1.3.2) fills gaps in both eddy covariance data and inputted meteorological (biomet) data using similar methods to Falge et al. (2001) [], with the addition of considerations of co-variation of fluxes with meteorological variables as well as the temporal autocorrelation of fluxes [].
Flux calculations with insufficient turbulence are indicated by low friction velocity (u*). Minimum friction velocity u* is estimated using a method described in []. These are removed and also filled using the methods above. Data partitioning into Gross Primary Productivity (GPP) and ecosystem respiration (Re) was also done by REddyProc using daytime and nighttime estimation methods by Reichstein, 2005 [] and Lasslop, 2010 [], respectively.
3. Results
3.1. Weather and Climate
The average annual air temperature of the study site is 13.68 °C and is peculiar to the temperate climate of Kentucky, with the year 2017 having the highest recorded air temperature (13.81 ± 7.1 °C) (Figure 2a). The highest rainfall was recorded in the year 2018, with a total precipitation of 1552 mm. On a monthly basis, as shown in Figure 2b, average air temperature followed seasonal patterns, with the lowest temperature range recorded in January (2.2 ± 1.9 °C) characteristic of winter months and July being the hottest month on average (23.9 ± 20.5 °C).

Figure 2.
(a) Annual average air temperature (Tair, °C) and precipitation “mm”; (b) Monthly average air temperature (°C) and average and total precipitation “mm” at the Daniel Boone National Forest average from 2016 to 2021.
3.2. Ecosystem Carbon Dioxide Fluxes
The Net Ecosystem Exchange (NEE) of CO2 over the study period of 5 years ranged from −1.670 to 1.730 g C m−2 h−1 at the DBNF, with a mean annual NEE of −0.038 g C m−2 h−1 and −0.927 g C m−2dy−1. Ecosystem Respiration (RE) ranged from 0.00 to 0.886 g C m−2 h−1 with a mean daily rate of 4.205 g C m−2dy−1. Gross Primary Productivity (GPP) annual mean was 0.214 g C m−2 h−1 and 5.132 g C m−2dy−1.
The daily NEE rate for winter was 0.069 g C m−2 h−1, −0.023 g C m−2 h−1 in spring, 0.034 g C m−2 h−1 in fall, and highest in summer (−0.214 g C m−2 h−1). For gross primary productivity rate, summer also has the highest (0.511 g C m−2 h−1), followed by spring (0.188 g C m−2 h−1), then fall (0.141 g C m−2 h−1), while the lowest rate is observed in winter (−0.012 g C m−2 h−1). The ecosystem respiration rate was the highest in summer (0.297 g C m−2 h−1), followed by fall (0.175 g C m−2 h−1), spring (0.165 g C m−2 h−1), and the lowest rate was also recorded in winter (0.056 g C m−2 h−1).
Kruskal–Walis One-Way ANOVA revealed that there are significant seasonal differences among the four seasons in the average daily CO2 exchanges for NEE, RE, and GPP at p < 0.001 with moderate effect sizes (Table 1). The Dwass–Steel–Critchlow–Fligner pairwise comparisons revealed that apart from spring–fall RE and GPP insignificant comparisons, all seasons’ comparisons were significantly different in terms of the distribution of NEE, RE, and GPP at p < 0.05.

Table 1.
Non-parametric Kruskal–Wallis test for seasonal differences among four distinct seasons at the Daniel Boone National Forest over the study period.
3.3. Cumulative Ecosystem Exchange
Over the five-year period (2016–2020), the forest biome’s annual carbon dynamics, as revealed by Gross Primary Productivity (GPP), Respiration Expenditure (RE), and Net Ecosystem Exchange (NEE), provide invaluable insights into its role as a carbon sink. The detailed observations, spanning a full year in most cases, showed unique patterns in carbon flux. In 2016 (DOY 1-366), a complete year of observations showcased high carbon sequestration, establishing the forest as an extremely high carbon sink with a GPP of 1756 gCm−2yr−1, an RE of 1353 gCm−2yr−1, and a resulting NEE of −403 gCm−2yr−1 (Table 2). Subsequent years, including 2017 (DOY 1-365) and 2019 (DOY 1-365), maintained consistent carbon sink characteristics, with 2019 standing out as the most productive in photosynthetic carbon production. Despite fewer observation days in 2020 (DOY 1-256, 338–366), the forest sustained its sink status, highlighting its resilience. On average, the forest upheld its role as a carbon sink, with a mean GPP of 1677 gCm−2yr−1, a mean RE of 1374 gCm−2yr−1, and a mean NEE of –303 gCm−2yr−1. Cumulative totals over the five years underscore the consistent carbon sink nature of the forest biome, and the calculated standard deviation and standard error metrics enhance our understanding of the reliability of these measurements.

Table 2.
Gross Primary Productivity (GPP), Ecosystem Respiration (RE), and Net Ecosystem Exchange (NEE) (gCm−2yr−1) distribution by year.
Daily sums of RE, GPP, and NEE were plotted by calendar year (Figure 3). Aside from the missing values that occurred as a result of machine failure, inclement weather, and unfilled data, all the years under consideration showed expected patterns. The daily values for GPP, NEE, and RE showed a minimal difference, revolving around 0 in the winter months, peaking in the summer, and decreasing towards the end of the year. The forest is a carbon source in the winter months as NEE is above GPP but changes to a sink as the year progresses, with the highest carbon sequestration occurring in the summer days. Both GPP and RE move in the same direction in all the years under consideration. The cumulative GPP, NEE, and RE values were 1677 g C m−2 yr−1, −303 g C m−2 yr−1, and 1374 g C m−2 yr−1, respectively (Figure 4a). Although the GPP curve was higher than RE, both cumulatively kept increasing throughout the study period. The NEE followed a similar but negative trend, indicating that as the year goes by, the DBNF gains more carbon from the atmosphere than it loses, hence being a net carbon sink. It is also noteworthy that the fluctuating nature of the curves represents the seasonality of the observations of these critical CO2 exchange variables. Figure 4b shows the variability and central tendency of observed fluxes. The range for GPP was widest followed by RE, with NEE showing the tightest dispersion. Also, the median GPP was higher than that of RE, which shows that the DBNF was more productive as the negative median NEE confirms this. The non-zero and non-positive upper whisker line of NEE confirmed that the site was never a carbon source in any of the years under study.

Figure 3.
(a) Daily average of air temperature (°C), (b) Photosynthetic Photon Flux Density (PPFD, µmol m−2s−1), (c) Evapotranspiration (mm day−1), (d) Gross Primary Productivity (GPP, g C m−2s−1), (e) Ecosystem Respiration (RE, g C m−2s−1), and (f) Net Ecosystem Exchange (NEE, (g C m−2s−1).

Figure 4.
(a) Cumulative GPP, RE, and NEE (g C m−2 yr−1) aggregated over five years of observations (2016–2020); (b) Box and Whisker plot showing the dispersion of all annual cumulative fluxes of GPP, RE, and NEE (g C m−2) with average (+).
3.4. Seasonal Distribution of Gross Primary Productivity (GPP), Ecosystem Respiration (RE), and Net Ecosystem Exchange (NEE)
Examining the year’s carbon dynamics reveals distinctive variations in Net Ecosystem Exchange (NEE), Ecosystem Respiration (RE), and Gross Primary Productivity (GPP) monthly, as shown in Figure 5. From January to April, DBNF consistently had carbon source NEE rates (0.024 to 0.034 g C m−2 month−1).

Figure 5.
Monthly rate of Gross Primary Productivity (GPP, g C m−2 h−1), Ecosystem Respiration (RE, g C m−2 h−1), and Net Ecosystem Exchange (NEE, g C m−2 h−1) for all the years under study.
In January, the ecosystem experiences minimal RE (0.025 g C m−2 month−1), highlighting a period of low carbon use, while GPP is also at a low rate (0.001 g C m−2 month−1). February sees an uptick in RE (0.034 g C m−2 month−1) and GPP (0.009 g C m−2 month−1), setting the stage for higher carbon exchange. March presents a unique scenario as GPP rate becomes slightly negative (−0.004 g C m−2 month−1) and RE reduces (0.030 g C m−2 month−1), representing an 11.8% fall. As spring progresses, April becomes noteworthy, having higher RE (0.079 g C m−2 month−1) and GPP (0.049 g C m−2 month−1), signifying higher metabolic activity and carbon assimilation. May marks a shift, with NEE becoming negative, indicating a carbon sink period despite high RE and GPP values.
In the summer months, June is a significant carbon sink period, with the highest NEE rate (−0.127 g C m−2 month−1), accompanied by RE (0.132 g C m−2 month−1), showcasing substantial metabolic activity. July is a crucial period for the DBNF with the highest RE rate (0.174 g C m−2 month−1), GPP (0.287 g C m−2 month−1), and, consequently, NEE (−0.113 g C m−2 month−1), indicating the peak of summer carbon dynamics. August sustains high RE and GPP values, maintaining the carbon sink status. September witnesses a decrease in NEE (−0.031 g C m−2 month−1), indicating a reduced carbon assimilation rate. October signifies a shift towards a carbon source period, with RE (0.106 g C m−2 month−1) and NEE (0.033 g C m−2 month−1) remaining relatively high. November sees a further carbon loss with a positive NEE rate (0.052 g C m−2 month−1). December records the lowest RE rate (0.027 g C m−2 month−1), GPP (−0.025 g C m−2 month−1), and NEE (0.052 g C m−2 month−1), marking the least active period in carbon exchange. The variability of the monthly and total values of these exchanges reveals how sensitive they are to seasonal stressors.
3.5. Diurnal Pattern of Gross Primary Productivity (GPP), Ecosystem Respiration (RE), and Net Ecosystem Exchange (NEE)
The diurnal pattern of ecosystem exchange at the Daniel Boone National Forest, as reflected in Figure 6, reveals the dynamic diurnal carbon dynamics over 30-min intervals. The average rate at which carbon is fixed into plant biomass is −0.019 g C m−2 30-min−1. In the early morning, from 12:00 a.m. to 6:30 a.m., positive Net Ecosystem Exchange (NEE) values indicate a carbon source, with the forest losing more carbon than it sequesters. Particularly at 6:30 a.m., the forest experiences a substantial loss, as respiration surpasses photosynthetic gain. Notably, the morning period from 7:00 a.m. to 9:00 a.m. witnesses the lowest carbon production fixation into tree biomass, emphasizing a phase of minimal growth.

Figure 6.
Diurnal rate of Gross Primary Productivity (GPP), Ecosystem Respiration (RE), and Net Ecosystem Exchange (NEE). Unit represented as g C m−2h−1.
As the day progresses, a significant shift occurs at 11:00 a.m., where the NEE rate becomes negative, signifying the forest is acting as a carbon sink. This transition continues until 3:00 a.m., with the highest rate of carbon sequestration observed at 3:00 p.m. (−0.151 g C m−2 30-min−1), marking the most productive period of the day. Ecosystem respiration peaks around 7:30 p.m. (0.097 g C m−2 30-min−1) and dominates the rest of the night, indicating increased carbon use, which is essential for maintaining structural balance and system functions.
This diurnal pattern, though showing the characteristic U-shape, offers crucial insights into the intricate balance between carbon sequestration and release, and a comprehensive understanding of the forest’s diurnal carbon exchange dynamics.
3.6. Environmental Control of Carbon Dioxide Exchange
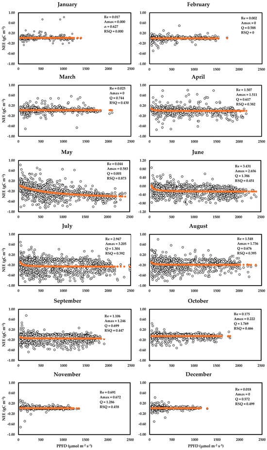
3.6.1. Monthly Light Response Curves (Michelis–Menten Curves)
The Michaelis–Menten (light response) model was used to assess the response of Net Ecosystem Exchange (NEE) to light intensity (PPFD) for a typical year in the study period. 2016 was selected because it had a complete dataset, with average temperature and precipitation typical for the area under study. The maximum photosynthetic rate at saturated light (Amax) was lowest in the winter months and peaked in the growing season, with July (3.205 g C m−2 s−1) being the highest (Table 3). The Amax pattern also coincided with the apparent quantum efficiency (∝) distribution and the amount of carbon expended for respiration. The months with high ∝ and Amax showed a clear link with the amount of photosynthetically active light, with mean PPDD highest at those months. In particular, June had the highest PPFD (986.26 µMol/m2), the highest RE rate (3.431 gC m−2s−1) (Figure 7), and the highest quantum efficiency (1.386), and also high total NEE (−175.644 gCm−2). This indicates that the seasonal availability of light and its intensity variability influences the amount of carbon uptake and carbon usage for the forest ecosystem.

Table 3.
Monthly curve fit parameters for light response curve (2016). Amax is the maximum ecosystem C uptake rate (g C m−2 s−1) at saturated light intensity, Re is the daytime ecosystem respiration (g m−2 s−1), PPFD is photosynthetic photon flux density PPFD (μmol m−2 s−1), and ∝ is the apparent quantum efficiency (g C m−2 s−1 PPFD−1).

Figure 7.
Light response curve and curve parameters for all months in 2016 at the Daniel Boone National Forest.
3.6.2. Monthly Temperature Response Curves for the Year 2016
The dependence and reaction response of respiration on air temperature was assessed following the exponential temperature-response curve of the Lloyd and Taylor [] approach. The fitted model is specified below.
where and are coefficients and T is temperature.
Q10 is the factor by which the rate of respiration (reaction) increases for every 10 °C increase in temperature.
The fitted parameters of the temperature response curves for respiration in the study area for the year 2016 (Equation (6)) are shown in Table 4 and Figure 8. The intercept variable (), which indicates the respiration rate at 0 °C, showed that for all the months, respiration occurred even at low temperatures. The improves as the season shifts towards the middle of the year. The slope parameters () followed a similar pattern as . The monthly temperature coefficients (Q10) shown in Equation (7) demonstrate that respiration rates almost doubled (1.65 ± 0.29) with every 10 °C increase.

Table 4.
Monthly curve-fit parameters for temperature response curves for 2016.

Figure 8.
Temperature response curves and curve parameters for all months in 2016 at the Daniel Boone National Forest.
The annual Q10 analysis also revealed a similar pattern, with the temperature coefficient averaging 2.1 ± 0.12 (Table 5). This means that, on average annually, the forest respiration rate doubles every 10-degree temperature increase.

Table 5.
Curve fit parameters for temperature response curve for all years.
3.6.3. Correlational Analysis
Pearson correlation analysis for the ecosystem exchange variables revealed that latent heat (LE) and evapotranspiration (ET) had the strongest negative correlation to NEE (−58% and −48% respectively), with the same (LE, 61%, ET, 48%) being true for GPP, but positively correlated (Table 6). However, air temperature (Tair, 60%) had the highest positive correlation to RE. All significant variables for NEE, RE, and GPP were significant at the 1% level.

Table 6.
Pearson correlation between GPP, RE, and NEE. Blue and red color gradients show the intensity of positive and negative correlations, respectively.
3.6.4. Seasonal Regression (Four Seasons)
In the winter months, correlation analysis showed—see Table 7(a)—that Net Ecosystem Exchange (NEE) has weak negative correlations with photosynthetic photon flux density and specific heat, while the relationship is positive but weak with latent heat, vapor density, and air temperature. A moderately significant and positive correlation was witnessed between Ecosystem Respiration (RE) and Tair (49%), while the rest were weak: VPD (24%), PPFD (9%), ET (3%), and LE (2%). For Gross Primary Production (GPP), a significantly weak negative correlation was observed with ET (−26%) and LE (−19%), while Tair (6%) had a significantly positive but weak correlation with GPP. All significant variables for NEE, RE, and GPP were significant at the 1% level.

Table 7.
(a–d) Pearson correlation between flux variables and biomet variables for (a) winter months (December, January, and February); (b) spring months (March-May); and (c) summer months (June–August); and (d) fall months (September–November) for the study period.
For the spring months, NEE negatively correlates with LE (−51%), ET (−38%), PPFD (−29%), Tair (−21%), and H (−20%) (Table 7(b)). However, the reverse is the case for RE and GPP. For RE, Tair (57%) has a moderate correlation, followed by LE (35%), then ET (27%), and then VPD (22%). GPP was moderately correlated with LE (55%), ET (42%), Tair (36%), and PPFD (31%).
In the summer months, correlation analysis revealed that NEE has statistically significant negative correlations with all the biomet variables, with moderate relationships witnessed for latent heat (LE, −67%), evapotranspiration (ET, −59%), PPFD (−43%), and specific heat (H, −58%) (Table 7(c)). For RE, all of the correlations are positive and significant, but weak, with the highest being Tair (23%). Likewise, GPP positively and significantly correlate with all the included biomet variables, with the highest being LE (65%), indicating a strong correlation, while ET, H, and PPFD were 58%, 57%, and 45%), respectively.
As shown in Table 7(d), correlation analysis revealed that NEE has statistically significant negative correlations with all the biomet variables (LE, −47%, ET, −41%, PPFD, 37%, VPD, −30%, Tair, −28%, and H, −24%), though mostly moderately so. For RE, Tair (45%) had the highest significance and was positively correlated. All biomet variables were positive and significant for GPP, with the highest being LE (49%), followed by Tair (44%), ET (42%), PPFD (39%), and VPD (30%).
4. Discussion
4.1. Ecosystem Scale Exchanges
Annually, the study site was a carbon sink throughout all the years studied, with a mean annual NEE of −303 gCm−2yr−1. The year 2016 had an average air temperature of 13.74 °C, the third highest in the study period, and with the least precipitation, 1261.22 mm, had the highest amount of carbon (−403 gCm−2yr−1) sequestered. The driest year (2017) had the second highest amount of carbon sequestered (−364 gCm−2yr−1). This indicates that the optimum temperature and moderate precipitation of the higher latitude region may be the driver of carbon sequestration of deciduous forests in the region. This aligns with the positions of other studies of the region [,,], which observed variations from −142 to −364 gCm−2yr−1, with the exception of a study carried out at a cold (−3.2 °C) boreal forest in Canada, which was a carbon source (7 gCm−2yr−1). This confirms that different forests have different NEE rates.
The year 2018 (the wettest year) had the lowest carbon sequestered (−144 gCm−2yr−1). A plausible reason for this may be that the year had more cloud cover due to higher precipitation than other years. This would decrease the amount of ambient light penetrating the forest ecosystem and therefore light use efficiency, leading to lower photosynthetic productivity [,].
Further investigation of the literature across several regions also indicates that carbon sequestration potential is greatly modulated by the age of the forest, with very young forests—0 to 20 years—having higher NEE [] compared to mature forests like that of this study (20–100 years), while old growth forests—above 100 years—have the lowest NEE rates [,]. Young forests’ trees’ rate of photosynthesis exceeds that of respiration comparatively, and therefore, more carbon is converted into energy and stored, hence resulting in higher carbon sequestration. However, as the forest grows, the NEE rate declines as the balance of gross photosynthetic productivity (GPP) to carbon respiratory use tilts to support more ecosystem respiration to support the tree structure. Also, respiration increases because of forest disturbances as the tree grows []. Therefore, the old growth trees expend more carbon to maintain their stands and store less carbon. Likewise, the extent of the interannual variability in NEE at similar colder regions can be influenced by forest management. Actively managed sites, as in a study in Iceland and Denmark [], demonstrate that managed deciduous broadleaf trees can be a consistent carbon sink (−100 to −150 gCm−2yr−1), even at low temperatures (Table 8). Another reason for witnessing this annual NEE status is the seasonal pattern of forest carbon sequestration. In our study, a clear seasonal pattern of air temperature was observed. In the frigid winter months, ambient temperature and sunlight are low; hence, photosynthetic conversion is limited. Most deciduous trees in the area enter a dormancy period in this season by shedding their leaves to prevent water loss and using stored-up carbohydrates as an energy source [,,]. The mean RE (117.62 g C m−2 season−1) was higher than the GPP (−25.76 g C m−2 season−1), leading to more carbon loss. During this period, more of the carbon stored in the previous season is expended. As the year progresses towards spring and summer seasons, the NEE rate also improves, peaking in summer (−468.16 g C m−2 season−1), where GPP is almost twice the ecosystem respiration on average. It is important to point out that within the summer months, NEE reached its peak (−0.254 g C m−2 h−1) in June (21.9 °C), before the hottest month, July (23.9 °C). This shows the level of heat stress the trees can withstand, as trees shut down at above-threshold temperatures, affecting both photosynthesis and carbon sequestration []. As temperature increases beyond an optimum point, cellular respiration increases, reducing carbon sequestration potential. However, as seen at the study site, the plant closes its stomata when air temperature becomes excessive [,,] to conserve water for plant use, which invariably limits its CO2 absorption and, eventually, causes GPP to start to decline (July). As summer temperatures dwindle, so too does the photosynthetic rate.

Table 8.
Comparison of the annual NEE, RE, and GPP of deciduous forests worldwide.
Diurnal exchange patterns can also explain carbon dynamics. On a diurnal basis, the DBNF sequesters carbon towards noon as respiration was more than photosynthesis in the early hours of the day, causing carbon release. In the absence of sunlight, respiration dominates, with an average rate of 0.172 g C m−2 h−1, which extends into the early morning. However, as light intensity increases, photosynthesis dominates, and carbon uptake picks up [,].
4.2. Controlling Variables
The curve fitting of the Michelis–Menten light response curves and the temperature-response curve confirmed the light and air temperature’s limitation on the extent of ecosystem processes, as critically acclaimed in the literature. This study’s findings revealed that light largely influenced the extent of NEE through gross productivity. This is true because photosynthesis occurs in the presence of light. It has been established that in the study area, this governs the year-round carbon productivity, although it is variable. The winter months had the lowest photosynthetic rates compared to the highly productive summer months. Also, light use efficiency for the deciduous forest was poor in the winter, as opposed to higher efficiencies in other months, except for May.
While we did not quantitatively assess the impact of cloud cover on photosynthesis in this study, the observed pattern in May 2016 aligns with established knowledge that cloud cover diffuses incoming shortwave radiation from reaching the trees, which is essential for photosynthesis [,]. We suspect excessive cloud cover due to higher precipitation in May of 2016 (217.97 mm) could have been responsible for the lower efficiency recorded. We acknowledge that the specific contribution of cloud cover to the observed patterns was not the focus of this study. Future studies should be directed at disentangling the effects of cloud cover, precipitation, and other climatic variables on ecosystem carbon exchange in mixed-humid/humid tropical climates like Kentucky to provide a more comprehensive understanding of these dynamics. However, canopy photosynthesis improved (−169.581 gCm−2) as more water was available in the soil for growth. This finding supports the argument [] that moisture in the soil improves photosynthesis.
The curve fitting of the 2016 temperature response curves revealed the great influence air temperature has on respiration. Year-round respiration was non-zero, showing that metabolic processes occur all the time at the study area, even during the cold winter months, although at a lower rate. When examined, an exponential relationship was inferred from the response in terms of respiration to the temperature increase. The temperature sensitivity showed that respiration doubles with every 10-degree temperature increase for the deciduous trees of the Daniel Boone National Forest.
Correlational analysis revealed similar established patterns for light (PPFD) and air temperature (Tair) and their effect on NEE, RE, and PPFD. The correlations of other variables were examined, but biological significance cannot be inferred since their correlations are minimal and significant.
5. Conclusions
The study site has consistently been a carbon sink, with the highest amount of carbon sequestered in 2016, a year characterized by an average air temperature of 13.74 °C and the highest growing season precipitation of the studied years. This is because the total precipitation in the growing season 2016 (May–June, 666.72 mm) was higher than for the other years studied. This suggests that the higher latitude region’s optimum temperature and moderate precipitation may drive carbon sequestration in deciduous forests. However, the wettest year, 2018, had the lowest carbon sequestration, likely due to increased cloud cover reducing ambient light and photosynthetic productivity.
Seasonal patterns further impact carbon sequestration, with lower photosynthetic conversion in the chilly winter months and peak NEE rates in the summer, particularly in June, before the onset of heat stress. This demonstrates the resilience of trees in withstanding above-threshold temperatures, which affect photosynthesis and carbon sequestration.
Consistent with other climatic zones, the extent of NEE and GPP is driven by light (photosynthetically active radiation), while air temperature mainly influences ecosystem respiration. Seasonality exists in the extent of their influence, while other factors like precipitation and air dryness may account for variations not accounted for by these variables
This study, therefore, concludes that the study site at the Daniel Boone National Forest, which is mostly deciduous, is a carbon sink with a distinct seasonal and daily pattern highly influenced by ambient sunlight, air temperature, precipitation, and cloud cover. Being an aging forest, carefully planned management practices would help maintain this carbon status for longer.
Author Contributions
Conceptualization, M.G. and B.G.; methodology, M.G. and I.F.; software, I.F.; validation, I.F. and M.G.; formal analysis, I.F.; investigation, I.F. and M.G.; resources, M.G.; data curation, I.F. and M.G.; writing—original draft preparation, I.F.; writing—review and editing, I.F., M.G., B.G., A.C. and J.B.; visualization, I.F.; supervision, M.G.; project administration, M.G.; funding acquisition, M.G. and B.G. All authors have read and agreed to the published version of the manuscript.
Funding
This research was supported by the intramural research program of the U.S. Department of Agriculture, National Institute of Food and Agriculture, Evans-Allen Project #7005721.
Data Availability Statement
Data would be provided upon request.
Acknowledgments
The authors would like to thank the management of Daniel Boone National Forest for allowing us to install and observe carbon dioxide exchange at the site. We also appreciate all the students and staff of the Kentucky State University (KYSU) Soil Health Group and the entire KYSU for their support during the course of this project.
Conflicts of Interest
The authors declare no conflicts of interest.
Abbreviations
The following abbreviations are used in this manuscript:
NEE | Net Ecosystem Exchange |
GPP | Gross Primary Productivity |
RE | Ecosystem Respiration |
References
- Haight, R.G.; Bluffstone, R.; Kline, J.D.; Coulston, J.W.; Wear, D.N.; Zook, K. Estimating the Present Value of Carbon Sequestration in U.S. Forests, 2015–2050, for Evaluating Federal Climate Change Mitigation Policies. Agric. Resour. Econ. Rev. 2019, 49, 150–177. [Google Scholar] [CrossRef]
- USDA. The USDA Forest Service Forest Inventory & Analysis Program Supplies Annual Updates of Forest Resources in Each State Based on an Inventory Conducted by the FIA Program in Cooperation with State Forestry Agencies. Available online: https://research.fs.usda.gov/programs/fia#data-and-tools (accessed on 24 April 2024).
- Hoover, K.; Riddle, A.A. U.S. Forest Carbon Data: In Brief. 2023. Congressional Research Service. Available online: https://sgp.fas.org/crs/misc/R46313.pdf (accessed on 10 March 2025).
- Birdsey, R.; Pregitzer, K.; Lucier, A. Forest Carbon Management in the United States. J. Environ. Qual. 2006, 35, 1461–1469. [Google Scholar] [CrossRef]
- Bonan, G.B. Forests and Climate Change: Forcings, Feedbacks, and the Climate Benefits of Forests. Science 2008, 320, 1444–1449. [Google Scholar] [CrossRef]
- Gebremedhin, M.T.; Loescher, H.W.; Tsegaye, T.D. Carbon Balance of No-till Soybean with Winter Wheat Cover Crop in the Southeastern United States. Agron. J. 2012, 104, 1321–1335. [Google Scholar] [CrossRef]
- Gilmanov, T.G.; Baker, J.M.; Bernacchi, C.J.; Billesbach, D.P.; Burba, G.G.; Castro, S.; Chen, J.; Eugster, W.; Fischer, M.L.; Gamon, J.A.; et al. Productivity and Carbon Dioxide Exchange of Leguminous Crops: Estimates from Flux Tower Measurements. Agron. J. 2014, 106, 545–559. [Google Scholar] [CrossRef]
- Yu, G.R.; Zhang, L.M.; Sun, X.M.; Fu, Y.L.; Wen, X.F.; Wang, Q.F.; Li, S.G.; Ren, C.Y.; Song, X.; Liu, Y.F.; et al. Environmental Controls over Carbon Exchange of Three Forest Ecosystems in Eastern China. Glob. change Biol. 2008, 14, 2555–2571. [Google Scholar] [CrossRef]
- Gilmanov, T.G.; Soussana, J.F.; Aires, L.; Allard, V.; Ammann, C.; Balzarolo, M.; Barcza, Z.; Bernhofer, C.; Campbell, C.L.; Cernusca, A.; et al. Partitioning European Grassland Net Ecosystem CO2 Exchange into Gross Primary Productivity and Ecosystem Respiration Using Light Response Function Analysis. Agric. Ecosyst. Environ. 2007, 121, 93–120. [Google Scholar] [CrossRef]
- Niu, Y.Y.; Li, Y.Q.; Wang, X.Y.; Gong, X.W.; Luo, Y.Q.; Tian, D.Y. Characteristics of Annual Variation in Net Carbon Dioxide Flux in a Sandy Grassland Ecosystem during Dry Years. Acta Prataculturae Sin. 2018, 27, 215. [Google Scholar] [CrossRef]
- Mendes, K.R.; Campos, S.; da Silva, L.L.; Mutti, P.R.; Ferreira, R.R.; Medeiros, S.S.; Perez-Marin, A.M.; Marques, T.V.; Ramos, T.M.; de Lima Vieira, M.M.; et al. Seasonal Variation in Net Ecosystem CO2 Exchange of a Brazilian Seasonally Dry Tropical Forest. Sci. Rep. 2020, 10, 9454. [Google Scholar] [CrossRef]
- Nandy, P.; Ghose, M. Photosynthesis and Water-Use Characteristics in Indian Mangroves. J. Plant Biol. 2005, 48, 245–252. [Google Scholar] [CrossRef]
- Barr, A.; Black, T.A.; McCaughey, H. Climatic and Phenological Controls of the Carbon and Energy Balances of Three Contrasting Boreal Forest Ecosystems in Western Canada. In Phenology of Ecosystem Processes: Applications in Global Change Research; Springer: Berlin/Heidelberg, Germany, 2009. [Google Scholar] [CrossRef]
- Luxmoore, R.J.; Wullschleger, S.D.; Hanson, P.J. Forest Responses to CO2 Enrichment and Climate Warming. Water Air Soil. Pollut. 1993, 70, 309–323. [Google Scholar] [CrossRef]
- Liu, J.; Lai; Derrick, Y.F. Subtropical Mangrove Wetland Is a Stronger Carbon Dioxide Sink in the Dry than Wet Seasons. Agric. For. Meteorol. 2019, 278, 107644. [Google Scholar] [CrossRef]
- Rodda, S.R.; Thumaty, K.C.; Fararoda, R.; Jha, C.S.; Dadhwal, V.K. Unique Characteristics of Ecosystem CO2 Exchange in Sundarban Mangrove Forest and Their Relationship with Environmental Factors. Estuar. Coast. Shelf Sci. 2022, 267, 107764. [Google Scholar] [CrossRef]
- Wang, X.; Chen, J.M.; Ju, W.; Zhang, Y. Seasonal Variations in Leaf Maximum Photosynthetic Capacity and Its Dependence on Climate Factors Across Global FLUXNET Sites. J. Geophys. Res. Biogeosci. 2022, 127, e2021JG006709. [Google Scholar] [CrossRef]
- Raihan, A. A Review of Forest’s Contribution to Mitigating Climate Change. In Proceedings of the International Conference on Forests and Climate Change, Brussels, Belgium, 4–5 February 2020; 2024. [Google Scholar]
- Li, X.; Du, H.; Zhou, G.; Mao, F.; Zhu, D.; Zhang, M.; Xu, Y.; Zhou, L.; Huang, Z. Spatiotemporal Patterns of Remotely Sensed Phenology and Their Response to Climate Change and Topography in Subtropical Bamboo Forests during 2001-2017: A Case Study in Zhejiang Province, China. GIsci. Remote Sens. 2023, 60, 2163575. [Google Scholar] [CrossRef]
- Psistaki, K.; Tsantopoulos, G.; Paschalidou, A.K. An Overview of the Role of Forests in Climate Change Mitigation. Sustainability 2024, 16, 6089. [Google Scholar] [CrossRef]
- Richardson, A.D.; Keenan, T.F.; Migliavacca, M.; Ryu, Y.; Sonnentag, O.; Toomey, M. Climate Change, Phenology, and Phenological Control of Vegetation Feedbacks to the Climate System. Agric. For. Meteorol. 2013, 169, 156–173. [Google Scholar] [CrossRef]
- Keenan, T.F.; Gray, J.; Friedl, M.A.; Toomey, M.; Bohrer, G.; Hollinger, D.Y.; Munger, J.W.; O’Keefe, J.; Schmid, H.P.; Wing, I.S.; et al. Net Carbon Uptake Has Increased through Warming-Induced Changes in Temperate Forest Phenology. Nat. Clim. change 2014, 4, 598–604. [Google Scholar] [CrossRef]
- Piao, S.; Liu, Q.; Chen, A.; Janssens, I.A.; Fu, Y.; Dai, J.; Liu, L.; Lian, X.; Shen, M.; Zhu, X. Plant Phenology and Global Climate Change: Current Progresses and Challenges. Glob. change Biol. 2019, 25, 1922–1940. [Google Scholar] [CrossRef]
- Geosciences LibreTexts. 7.5.4: Humid Subtropical Climate—Geosciences LibreTexts. Available online: https://geo.libretexts.org/Courses/Kansas_State_University/Physical_Geography%3A_our_Beautiful_World/07%3A_Climate_Systems/7.05%3A_Midlatitude_and_Subtropical_Climates/7.5.04%3A_Humid_Subtropical_Climate (accessed on 23 December 2024).
- Antonopoulos, C.; Gilbride, T.; Margiotta, E.; Cragin, M.; Kaltreider, C. Guide to Determining Climate Zone by County: Building America and IECC 2021 Updates (No. PNNL-33270). Available online: https://www.osti.gov/servlets/purl/1893981/ (accessed on 8 January 2025).
- Hicks, D.J.; Chabot, B.F. Deciduous Forest. In Physiological Ecology of North American Plant Communities; Springer: Dordrecht, The Netherlands, 1985; pp. 257–277. [Google Scholar] [CrossRef]
- Busgen, M.; Munch, F.; Thomson, T. The Structure and Life of Forest Trees. Soil Sci. 1930, 29, 159. [Google Scholar] [CrossRef]
- Hari, P.; Kulmala, L.; Havimo, M. Introduction to Physical, Physiological and Causal Forest Ecology. In Physical and Physiological Forest Ecology; Springer: Dordrecht, The Netherlands, 2012. [Google Scholar] [CrossRef]
- Meyers, T.P. A Comparison of Summertime Water and CO2 Fluxes over Rangeland for Well Watered and Drought Conditions. Agric. For. Meteorol. 2001, 106, 205–214. [Google Scholar] [CrossRef]
- Flanagan, L.B.; Wever, L.A.; Carlson, P.J. Seasonal and Interannual Variation in Carbon Dioxide Exchange and Carbon Balance in a Northern Temperate Grassland. Glob. change Biol. 2002, 8, 599–615. [Google Scholar] [CrossRef]
- Law, B.E.; Falge, E.; Gu, L.; Baldocchi, D.D.; Bakwin, P.; Berbigier, P.; Davis, K.; Dolman, A.J.; Falk, M.; Fuentes, J.D.; et al. Environmental Controls over Carbon Dioxide and Water Vapor Exchange of Terrestrial Vegetation. Agric. For. Meteorol. 2002, 113, 97–120. [Google Scholar] [CrossRef]
- Arain, M.A.; Black, T.A.; Barr, A.G.; Griffis, T.J.; Morgenstern, K.; Nesic, Z. Year-Round Observations of the Energy and Water Vapour Fluxes above a Boreal Black Spruce Forest. Hydrol. Process 2003, 17, 3581–3600. [Google Scholar] [CrossRef]
- Tanja, S.; Berninger, F.; Vesala, T.; Markkanen, T.; Hari, P.; Mäkelä, A.; Ilvesniemi, H.; Hänninen, H.; Nikinmaa, E.; Huttula, T.; et al. Air Temperature Triggers the Recovery of Evergreen Boreal Forest Photosynthesis in Spring. Glob. change Biol. 2003, 9, 1410–1426. [Google Scholar] [CrossRef]
- Angert, A.; Biraud, S.; Bonfils, C.; Henning, C.C.; Buermann, W.; Pinzon, J.; Tucker, C.J.; Fung, I. Drier Summers Cancel out the CO2 Uptake Enhancement Induced by Warmer Springs. Proc. Natl. Acad. Sci. USA 2005, 102, 10823–10827. [Google Scholar] [CrossRef]
- Barford, C.C.; Wofsy, S.C.; Munger, J.W.; Goulden, M.L.; Pyle, H.E.; Urbanski, S.P.; Hutyra, L.; Saleska, S.R.; Fitzjarrald, D.; Moore, K. Factors Controlling Long- and Short-Term Sequestration of Atmospheric CO2 in a Mid-Latitude Forest. Science 2001, 294, 1688–1691. [Google Scholar] [CrossRef]
- Curtis, P.S.; Hanson, P.J.; Bolstad, P.; Barford, C.; Randolph, J.C.; Schmid, H.P.; Wilson, K.B. Biometric and Eddy-Covariance Based Estimates of Annual Carbon Storage in Five Eastern North American Deciduous Forests. Agric. For. Meteorol. 2002, 113, 3–19. [Google Scholar] [CrossRef]
- Dunn, A.L.; Barford, C.C.; Wofsy, S.C.; Goulden, M.L.; Daube, B.C. A Long-Term Record of Carbon Exchange in a Boreal Black Spruce Forest: Means, Responses to Interannual Variability, and Decadal Trends. Glob. change Biol. 2007, 13, 577–590. [Google Scholar] [CrossRef]
- Rodda, S.R.; Thumaty, K.C.; Praveen, M.S.S.; Jha, C.S.; Dadhwal, V.K. Multi-Year Eddy Covariance Measurements of Net Ecosystem Exchange in Tropical Dry Deciduous Forest of India. Agric. For. Meteorol. 2021, 301–302, 108351. [Google Scholar] [CrossRef]
- Teklemariam, T.; Staebler, R.M.; Barr, A.G. Eight Years of Carbon Dioxide Exchange above a Mixed Forest at Borden, Ontario. Agric. For. Meteorol. 2009, 149, 2040–2053. [Google Scholar] [CrossRef]
- Urbanski, S.; Barford, C.; Wofsy, S.; Kucharik, C.; Pyle, E.; Budney, J.; McKain, K.; Fitzjarrald, D.; Czikowsky, M.; Munger, J.W. Factors Controlling CO2 Exchange on Timescales from Hourly to Decadal at Harvard Forest. J. Geophys. Res. Biogeosci. 2007, 112. [Google Scholar] [CrossRef]
- RedRiverGorge.com. Hiking Trails Red River | Flora & Fauna. (n.d.). Red River Gorge. Retrieved February 6, 2023.
- Kljun, N.; Calanca, P.; Rotach, M.W.; Schmid, H.P. A Simple Two-Dimensional Parameterisation for Flux Footprint Prediction (FFP). Geosci. Model. Dev. 2015, 8, 3695–3713. [Google Scholar] [CrossRef]
- USGS. LANDFIRE Map Viewer: LANDFIRE 2020 Biophysical Settings (BPS) CONUS. Available online: https://www.landfire.gov/viewer/ (accessed on 9 March 2025).
- Schimel, D.; Melillo, J.; Tian, H.; McGuire, A.D.; Kicklighter, D.; Kittel, T.; Rosenbloom, N.; Running, S.; Thornton, P.; Ojima, D.; et al. Contribution of Increasing CO2 and Climate to Carbon Storage by Ecosystems in the United States. Science 2000, 287, 2004–2006. [Google Scholar] [CrossRef]
- Wofsy, S.C.; Goulden, M.L.; Munger, J.W.; Fan, S.-M.; Bakwin, P.S.; Daube, B.C.; Bassow, S.L.; Bazzaz, F.A. Net Exchange of CO2 in a Mid-Latitude Forest. Science 1993, 260, 1314–1317. [Google Scholar] [PubMed]
- Thornley, J.H.; Johnson, I.R. Plant and Crop Modelling; Clarendon: Oxford, UK, 1990. [Google Scholar]
- Ruimy, A.; Jarvis, P.G.; Baldocchi, D.D.; Saugier, B. CO2 Fluxes over Plant Canopies and Solar Radiation: A Review. Adv. Ecol. Res. 1995, 26, 1–68. [Google Scholar] [CrossRef]
- Falge, E.; Baldocchi, D.; Olson, R.; Anthoni, P.; Aubinet, M.; Bernhofer, C.; Burba, G.; Ceulemans, R.; Clement, R.; Dolman, H.; et al. Gap Filling Strategies for Defensible Annual Sums of Net Ecosystem Exchange. Agric. For. Meteorol. 2001, 107, 43–69. [Google Scholar] [CrossRef]
- Lloyd, J.; Taylor, J.A. On the Temperature Dependence of Soil Respiration. Funct. Ecol. 1994, 8, 315. [Google Scholar] [CrossRef]
- Falge, E.; Baldocchi, D.; Tenhunen, J.; Aubinet, M.; Bakwin, P.; Berbigier, P.; Bernhofer, C.; Burba, G.; Clement, R.; Davis, K.J.; et al. Seasonality of Ecosystem Respiration and Gross Primary Production as Derived from FLUXNET Measurements. Agric. For. Meteorol. 2002, 113, 53–74. [Google Scholar] [CrossRef]
- Moffat, A.M.; Papale, D.; Reichstein, M.; Hollinger, D.Y.; Richardson, A.D.; Barr, A.G.; Beckstein, C.; Braswell, B.H.; Churkina, G.; Desai, A.R.; et al. Comprehensive Comparison of Gap-Filling Techniques for Eddy Covariance Net Carbon Fluxes. Agric. For. Meteorol. 2007, 147, 209–232. [Google Scholar] [CrossRef]
- Baldocchi, D. Assessing the Eddy Covariance Technique for Evaluating Carbon Dioxide Exchange Rates of Ecosystems: Past, Present and Future. Glob. change Biol. 2003, 9, 479–492. [Google Scholar]
- Baldocchi, D. “Breathing” of the Terrestrial Biosphere: Lessons Learned from a Global Network of Carbon Dioxide Flux Measurement Systems. Aust. J. Bot. 2008, 56, 1–26. [Google Scholar] [CrossRef]
- Papale, D.; Reichstein, M.; Aubinet, M.; Canfora, E.; Bernhofer, C.; Kutsch, W.; Longdoz, B.; Rambal, S.; Valentini, R.; Vesala, T.; et al. Towards a Standardized Processing of Net Ecosystem Exchange Measured with Eddy Covariance Technique: Algorithms and Uncertainty Estimation. Biogeosciences 2006, 3, 571–583. [Google Scholar] [CrossRef]
- Wilson, K.; Goldstein, A.; Falge, E.; Aubinet, M.; Baldocchi, D.; Berbigier, P.; Bernhofer, C.; Ceulemans, R.; Dolman, H.; Field, C.; et al. Energy Balance Closure at FLUXNET Sites. Agric. For. Meteorol. 2002, 113, 223–243. [Google Scholar] [CrossRef]
- Jung, M.; Reichstein, M.; Margolis, H.A.; Cescatti, A.; Richardson, A.D.; Arain, M.A.; Arneth, A.; Bernhofer, C.; Bonal, D.; Chen, J.; et al. Global Patterns of Land-Atmosphere Fluxes of Carbon Dioxide, Latent Heat, and Sensible Heat Derived from Eddy Covariance, Satellite, and Meteorological Observations. J. Geophys. Res. Biogeosci. 2011, 116, G3. [Google Scholar] [CrossRef]
- Foken, T.; Leuning, R.; Oncley, S.R.; Mauder, M.; Aubinet, M. Corrections and Data Quality Control. In Eddy Covariance; Springer: Dordrecht, The Netherlands, 2012. [Google Scholar] [CrossRef]
- Reichstein, M.; Falge, E.; Baldocchi, D.; Papale, D.; Aubinet, M.; Berbigier, P.; Bernhofer, C.; Buchmann, N.; Gilmanov, T.; Granier, A.; et al. On the Separation of Net Ecosystem Exchange into Assimilation and Ecosystem Respiration: Review and Improved Algorithm. Glob. change Biol. 2005, 11, 1424–1439. [Google Scholar] [CrossRef]
- Lasslop, G.; Reichstein, M.; Papale, D.; Richardson, A.; Arneth, A.; Barr, A.; Stoy, P.; Wohlfahrt, G. Separation of Net Ecosystem Exchange into Assimilation and Respiration Using a Light Response Curve Approach: Critical Issues and Global Evaluation. Glob. change Biol. 2010, 16, 187–208. [Google Scholar] [CrossRef]
- Knohl, A.; Baldocchi, D.D. Effects of Diffuse Radiation on Canopy Gas Exchange Processes in a Forest Ecosystem. J. Geophys. Res. Biogeosci. 2008, 113, G2. [Google Scholar] [CrossRef]
- Clement, R.J.; Jarvis, P.G.; Moncrieff, J.B. Carbon Dioxide Exchange of a Sitka Spruce Plantation in Scotland over Five Years. Agric. For. Meteorol. 2012, 153, 106–123. [Google Scholar] [CrossRef]
- Harmon, M.E.; Bond-Lamberty, B.; Tang, J.; Vargas, R. Heterotrophic Respiration in Disturbed Forests: A Review with Examples from North America. J. Geophys. Res. Biogeosci. 2011, 116, G4. [Google Scholar] [CrossRef]
- Valentini, R.; Matteucci, G.; Dolman, A.J.; Schulze, E.D.; Rebmann, C.J.; Moors, E.J.; Granier, A.; Gross, P.; Jensen, N.O.; Pilegaard, K.; et al. Respiration as the Main determinant of Carbon Balance in European Forests. Nature 2000, 404, 861–865. [Google Scholar] [PubMed]
- Nilsson, O. Winter Dormancy in Trees. Curr. Biol. 2022, 32, R630–R634. [Google Scholar] [CrossRef]
- Fadón, E.; Fernandez, E.; Behn, H.; Luedeling, E. A Conceptual Framework for Winter Dormancy in Deciduous Trees. Agronomy 2020, 10, 241. [Google Scholar] [CrossRef]
- Allona, I.; Ramos, A.; Ibáñez, C.; Contreras, A.; Casado, R.; Aragoncillo, C. Review. Molecular Control of Winter Dormancy Establishment in Trees. Span. J. Agric. Res. 2008, 6, 201–210. [Google Scholar] [CrossRef]
- Hirata, R.; Hirano, T.; Saigusa, N.; Fujinuma, Y.; Inukai, K.; Kitamori, Y.; Takahashi, Y.; Yamamoto, S. Seasonal and Interannual Variations in Carbon Dioxide Exchange of a Temperate Larch Forest. Agric. For. Meteorol. 2007, 147, 110–124. [Google Scholar] [CrossRef]
- Law, R.D.; Crafts-Brandner, S.J. Inhibition and Acclimation of Photosynthesis to Heat Stress Is Closely Correlated with Activation of Ribulose-1,5-Bisphosphate Carboxylase/Oxygenase. Plant Physiol. 1999, 120, 173–182. [Google Scholar] [CrossRef]
- Haldimann, P.; Feller, U. Inhibition of Photosynthesis by High Temperature in Oak (Quercus pubescens L.) Leaves Grown under Natural Conditions Closely Correlates with a Reversible Heat-Dependent Reduction of the Activation State of Ribulose-1,5-Bisphosphate Carboxylase/Oxygenase. Plant Cell Environ. 2004, 27, 1169–1183. [Google Scholar] [CrossRef]
- Familusi, I.; Gebremedhin, M.; Ries, I.; Brown, J.; Gyawali, B. The Productivity and Carbon Exchange of an Intensively Managed Pasture in Central Kentucky. Atmosphere 2024, 15, 348. [Google Scholar] [CrossRef]
- Thomas, M.V.; Malhi, Y.; Fenn, K.M.; Fisher, J.B.; Morecroft, M.D.; Lloyd, C.R.; Taylor, M.E.; McNeil, D.D. Carbon Dioxide Fluxes over an Ancient Broadleaved Deciduous Woodland in Southern England. Biogeosciences 2011, 8, 1595–1613. [Google Scholar] [CrossRef]
- Wilkinson, M.; Eaton, E.L.; Broadmeadow, M.S.J.; Morison, J.I.L. Inter-Annual Variation of Carbon Uptake by a Plantation Oak Woodland in South-Eastern England. Biogeosciences 2012, 9, 5373–5389. [Google Scholar] [CrossRef]
- Pilegaard, K.; Mikkelsen, T.N.; Beier, C.; Jensen, N.O.; Ambus, P.; Ro-Poulsen, H. Field Measurements of Atmosphere-Biosphere Interactions in a Danish Beech Forest. Boreal Environ. Res. 2003, 8, 315. [Google Scholar]
- Nakai, Y.; Kitamura, K.; Suzuki, S.; Abe, S. Year-Long Carbon Dioxide Exchange above a Broadleaf Deciduous Forest in Sapporo, Northern Japan. Tellus B Chem. Phys. Meteorol. 2003, 55, 305–312. [Google Scholar] [CrossRef]
- Shibata, H.; Hiura, T.; Tanaka, Y.; Takagi, K.; Koike, T. Carbon Cycling and Budget in a Forested Basin of Southwestern Hokkaido, Northern Japan. Ecol. Res. 2005, 20, 325–331. [Google Scholar] [CrossRef]
- Saigusa, N.; Yamamoto, S.; Murayama, S.; Kondo, H.; Nishimura, N. Gross Primary Production and Net Ecosystem Exchange of a Cool-Temperate Deciduous Forest Estimated by the Eddy Covariance Method. Agric. For. Meteorol. 2002, 112, 203–215. [Google Scholar] [CrossRef]
- Yasuda, Y.; Watanabe, T.; Ohtani, Y.; Okano, M.; Nakayama, K. Seasonal Variation of CO2 Flux over a Broadleaf Deciduous Forest. J. Jpn. Soc. Hydrol. Water Resour. 1998, 11, 575–585. [Google Scholar] [CrossRef][Green Version]
- Saigusa, N.; Yamamoto, S.; Murayama, S.; Kondo, H. Inter-Annual Variability of Carbon Budget Components in an AsiaFlux Forest Site Estimated by Long-Term Flux Measurements. Agric. For. Meteorol. 2005, 134, 4–16. [Google Scholar] [CrossRef]
- Yang, Y.; Li, P.; Ding, J.; Zhao, X.; Ma, W.; Ji, C.; Fang, J. Increased Topsoil Carbon Stock across China’s Forests. Glob. change Biol. 2014, 20, 2687–2696. [Google Scholar] [CrossRef]
- Durand, M.; Murchie, E.H.; Lindfors, A.V.; Urban, O.; Aphalo, P.J.; Robson, T.M. Diffuse Solar Radiation and Canopy Photosynthesis in a Changing Environment. Agric. For. Meteorol. 2021, 311, 108684. [Google Scholar] [CrossRef]
- Liu, L.; Gudmundsson, L.; Hauser, M.; Qin, D.; Li, S.; Seneviratne, S.I. Soil Moisture Dominates Dryness Stress on Ecosystem Production Globally. Nat. Commun. 2020, 11, 4892. [Google Scholar] [CrossRef]
Disclaimer/Publisher’s Note: The statements, opinions and data contained in all publications are solely those of the individual author(s) and contributor(s) and not of MDPI and/or the editor(s). MDPI and/or the editor(s) disclaim responsibility for any injury to people or property resulting from any ideas, methods, instructions or products referred to in the content. |
© 2025 by the authors. Licensee MDPI, Basel, Switzerland. This article is an open access article distributed under the terms and conditions of the Creative Commons Attribution (CC BY) license (https://creativecommons.org/licenses/by/4.0/).