Abstract
Among the most concerning threats impacting global forest ecosystems is the pinewood nematode (Bursaphelenchus xylophilus (Steiner and Buhrer, 1934) Nickle, 1970), the causal agent of pine wilt disease. In Europe, effective management of this pest requires comprehensive regulatory and monitoring strategies, including the annual collection of thousands of wood samples from symptomatic trees and their surroundings, inspection of wood packaging materials like pallets, and the trapping of the insect vector, Monochamus spp., through national networks. Insects and wood samples are sent to official laboratories, where the latter are sometimes incubated at 25 °C for 15 days, aiming to maximize the probability of the detection of the nematode. This study expected to elucidate the effect of the wood incubation process on the detection of B. xylophilus by analyzing wood samples from pallets and green wood obtained from pine stands, both harbouring nematodes in adult and juvenile stages. Additionally, the investigation sought to assess how the presence of fungi, which serve as a food source for the nematodes, enables B. xylophilus to persist in treated pallet wood that is colonized by these fungi. The results indicated that the incubation period is unnecessary for detecting B. xylophilus in pallets, except when the wood is heavily colonized by fungi providing suitable nutrition for the nematodes, although such occurrences are expected to be rare. Furthermore, this study found no significant differences in population growth between the two stages of the nematode’s life cycle. This suggests that second-stage juveniles present in wood samples, despite not undergoing sexual differentiation, do not hinder the reproductive capacity of B. xylophilus. The risk of a potential infestation in treated pallet wood is unlikely if the treatment has been performed correctly, and the incubation does not contribute to increasing the probability of detecting the PWN. Conversely, for samples obtained from trees, the incubation period significantly enhances nematode detection.
1. Introduction
Bursaphelenchus xylophilus (Steiner & Buhrer) Nickle, the pinewood nematode (PWN), is a species native to North America and has become an invasive pest in Asia, spreading to Europe and causing pine wilt disease (PWD), one of the most serious threats to coniferous forests [1]. The spread of PWD poses a major environmental risk, especially across Asia and Europe, leading to the degradation of habitats, loss of biodiversity, and significant disruptions in forest ecosystems [2].
The disease is complex and involves a tripartite interaction: the nematode (B. xylophilus), its insect vector (Monochamus spp.), and the host pine tree [3]. In this dynamic, fungi also play a crucial role, supporting the nematode’s survival by colonizing weakened trees [4,5]. The nematode enters the tree through wounds caused by the insect vector and migrates to the resin canals, where it feeds on parenchymal cells [6]. This feeding activity severely disrupts the tree’s water transport system, ultimately resulting in tree mortality [7]. Different pine species show varying resistance, largely due to anatomical differences in their resin canals. In Europe, studies have shown that Pinus pinaster Ait. is particularly susceptible due to its resin canal density, allowing the nematode to move more easily through its tissues [8,9,10]. The nematode’s vector, Monochamus spp., locates its hosts by detecting volatile organic compounds emitted by stressed trees, making P. sylvestris and P. pinaster primary hosts for disease transmission, although the PWN has been detected in other species in Europe, such as P. nigra [11] and P. radiata [12].
The disease manifests with characteristic symptoms, including needle chlorosis, followed by browning, without premature needle shedding [13]. The rapid death of infected trees exacerbates the forest’s vulnerability to further infestation and degradation (Figure 1).
Figure 1.
Maritime pines, Pinus pinaster Ait., with symptoms of pine wilt disease caused by the pinewood nematode in Tróia (38°29′28″ N, 8°54′11″ O), Portugal.
Bursaphelenchus xylophilus was first described in Japan in 1970 [14]. It is now widespread in Asia and North America and has been detected in Europe, particularly in Portugal [11,13,15,16] and Spain [12,17], in different pine species. Unique among plant-parasitic nematodes, B. xylophilus has both a phytophagous and an obligatory mycophagous phase [3]. This allows it to survive even after the host tree dies by feeding on fungi that colonize decaying wood. The nematode goes through six developmental stages, including a dispersal juvenile stage (JIV) adapted for transportation by its insect vector [8,18,19].
In Europe, the longhorn beetle M. galloprovincialis (Olivier, 1975) is the primary known vector of B. xylophilus. The beetle colonizes weakened pine trees, particularly those already stressed by biotic or abiotic factors. This vector relationship creates a feedback loop where the nematode weakens the tree, providing ideal conditions for beetle reproduction [20]. The nematode moves into the tracheae and other beetle body parts in its dispersal juvenile stage, which is then transmitted to healthy trees when the adult beetle feeds or lays eggs [21,22,23]. In its mycophagous phase, B. xylophilus feeds on fungal species, mostly blue stain fungi such as Ophiostoma ips (Rumbold) Nannfeldt [5]. These fungi colonize the wood of weakened or dead trees, providing a food source for the nematode. In the laboratory, B. xylophilus is often cultured on Botrytis cinerea Persoon to study its life cycle [24], although this fungus is typically not present in adult trees under natural conditions.
As B. xylophilus is considered a quarantine organism within the EU, stringent measures and several national action plans have been implemented to monitor and prevent its spread [25]. Ports of entry are critical locations for the inspection and mitigation of non-indigenous organisms and border agencies and National Plant Protection Organizations (NPPO) facilitate the flow of trade and are responsible for enforcement activities. Also, round wood is often piled and stored at processing facilities, and organisms attracted to recently cut trees may enter these trunks and logs, thus creating the wood packaging material (WPM) chain. For all these reasons, sawn wood intended for use in WPM for international trade must undergo treatments to kill organisms that remain in or on the wood used. International Standards for Phytosanitary Measures (ISPMs) are guidelines and recommendations produced by the secretariat of the International Plant Protection Convention (IPPC). The standards are designed to achieve international harmonization of phytosanitary measures to facilitate world trade. ISPM No. 15 describes acceptable procedures for treating and labelling WPM as having been treated to reduce the risks of live quarantine organisms being present [26]. Thus, WPM must be treated according to ISPM 15 [27] and be marked to indicate it has been subjected to an approved phytosanitary treatment [28]. WPM with commodities imported from third countries or other EU member states is inspected, and, when signs of pests’ activity are detected, the wood is sampled for laboratory analysis to confirm the efficiency of the heat treatment (HT) procedure, the most commonly used method under ISPM 15 for eliminating forestry pests. Although only a small proportion of WPM is inspected (approx. 2%), the implementation of ISPM 15 has been responsible for a 36%–52% reduction in infested WPM intercepted at U.S. ports [29]
The European Food Safety Authority (EFSA) outlines the necessary procedures for wood sampling, recommending prior incubation to increase the likelihood of detecting B. xylophilus through population growth [30]. Incubation at 25 °C for about 15 days in the lab, which is optimal for B. xylophilus growth [31], will allow for egg hatching and population increase, enhancing detection chances [32]. However, this incubation process delays the analysis, creating logistical and financial challenges for perishable goods at ports.
This study aimed to investigate two key aspects: (i) Incubation impact: To assess how the incubation of wood samples affects the detection of B. xylophilus. The research analyzed infested wood from both treated pallets and pine trees, examining the effect of nematode density and life stage (juvenile or adult) on its reproduction and detection. (ii) Influence of fungi: To evaluate how the presence of fungi in treated wood (subjected to heat treatment (HT) and drying) affects the persistence of nematodes and the ability to detect them, especially in scenarios where the wood becomes rehydrated.
2. Materials and Methods
2.1. Effect of Wood Sample Incubation on PWN Numbers
A suspension of B. xylophilus (reference isolate Bx013.003 from the Nematology collection of INIAV) was prepared by culturing the nematodes on the mycelial mat of a non-sporulating strain of B. cinerea in 90 mm Petri dishes with PDA Difco® (Becton, Dickinson and Company, Sparks, MD, USA) medium. The cultures were incubated in the dark at 25 ± 1 °C for 7 days. After incubation, the contents of the plates were subjected to extraction using the tray method [33] for 24 h, followed by collection of nematodes using a 20 µm sieve. In the resulting pure suspension of B. xylophilus, adult pairs and second-stage juveniles (J2) were selected for further testing.
Pallet Wood (Heat-treated)
Heat-treated Pinus sp. pallet wood was cut into cubes (10 cm on each side) and autoclaved twice, subsequently maintaining a certain level of moisture, as occurs in pallets treated with HT. The experimental design consisted of cubes inoculated with 2, 10, or 30 nematodes, with 5 replicates per treatment. The inoculation of nematodes involved placing the randomly handpicked nematodes in Eppendorf tubes with 500 µL of sterile distilled water then using a Pasteur pipette to transfer the suspension into 2 cm deep holes drilled into the wood cubes. The holes were then sealed with the resulting sawdust.
Green Wood
In parallel, green P. pinaster branches were also collected at Tróia forest, 150 km from Lisbon, from 12-year-old trees and cut into cylinders similar in size (approximately 10–15 cm diameter and 10 cm long) to the pallet wood cubes. After autoclaving, which maintained a certain level of humidity in the wood pieces, the same inoculation method was applied, resulting in different experimental conditions described in Table 1.
Table 1.
Bursaphelenchus xylophilus inoculation modalities. For each modality, 5 replicates were prepared.
After inoculation, the 30 cubes/cylinders for each group were kept in the incubation room at 25 °C for 15 days (T15). At the end of this period, the cubes were cut into 1 cm3 cubes using an electric saw and extracted for 48 h using the tray method.
The suspension from each sample was observed under a Leica MZ6 stereomicroscope (Wetzlar, Germany), and the number of nematodes was counted using a Hawksley counting chamber (England). The wood was discarded, and the sieves were disinfected with 96% ethanol and washed between samples to avoid cross-contamination.
The remaining cubes/cylinders were kept in the incubation room at 25 °C for 15 days (T15). At the end of this period, the cubes were also cut, and the nematode extraction process was carried out as previously described.
2.2. Influence of Incubation of Wood on PWN Reproduction in the Presence of Fungi and Moisture
To address the second objective of this study, treated pallet wood samples were tested for nematode persistence in the presence of fungi and moisture.
Wood samples were collected from P. pinaster logs (from Tróia pine stand), as wood chips, using a low-speed drill, and each sample weighed 60 g. The samples were autoclaved twice, followed by drying at 80 °C, ensuring moisture content below 20%. For fungal preparation, 90 mm Petri dishes with PDA Difco® medium were used to culture B. cinerea. After approximately one week, each wood chip container was inoculated with half of the mycelial mat from each plate.
Two nematode densities were tested: low (10 nematodes) and high (50 nematodes). Nematodes were randomly handpicked and placed in two suspensions with 10 nematodes/mL and 50 nematodes/mL. Each replicate consisted of 20 samples of 60 g wood (600 g total per assay). The preparation involved weighing the wood chips and placing them into jars. Samples were then moistened by spraying sterilized dH2O until visibly wet on the surface. The fungal inoculum was introduced in half of the jars by scraping the Petri dishes, and the nematode suspension (1 mL, calibrated to 10 or 50 nematodes/mL) was added to each jar (Figure 2). This experiment was repeated three times.
Figure 2.
Inoculation of wood chip samples: (a) scraping of the fungus Botrytis cinerea with a scalpel; (b) fungus on moistened wood chips; (c) introduction of 1 mL of Bursaphelenchus xylophilus suspension into the previous assembly.
The samples were incubated at 25 °C for 15 days. Afterward, they were subjected to extraction as described before, for 48 h, and the number of nematodes was counted.
2.3. Data Analysis
The results of each experiment were statistically analyzed to determine significant differences between the evaluated parameters. Statistica 64, version 12 [34], was used to conduct the variance analysis (ANOVA), employing significance and least significant difference (LSD) tests to establish homogeneous groups with a confidence level of 95% (α = 0.05).
3. Results
3.1. Effect of Wood Sample Incubation on PWN Numbers
Two life stages (adult pairs and J2) were tested at three different nematode density levels (2, 10, and 30 nematodes), using two types of wood samples (pallet wood and green wood) and evaluated after 15 days of incubation. The results reveal a highly significant discrepancy between nematode numbers found after incubation in pallet wood when inoculated with adults, (F(2, 24) = 231.2265; p < 0.0001) or juveniles (F(2, 24) = 7710.5; p < 0.0001) (Figure 3). The differences were not statistically different after incubation when two adult nematodes were inoculated, although no live nematodes were found in any replicate.
Figure 3.
Number of Bursaphelenchus xylophilus observed in pallet wood samples inoculated with adults (A) and juvenile nematodes (B) after a 15-day incubation period. Letters near each vertical bar of standard errors represent LSD post hoc homogeneous groups after factorial ANOVA. T0 and T15 refer to lack of incubation and incubation for 15 days, respectively.
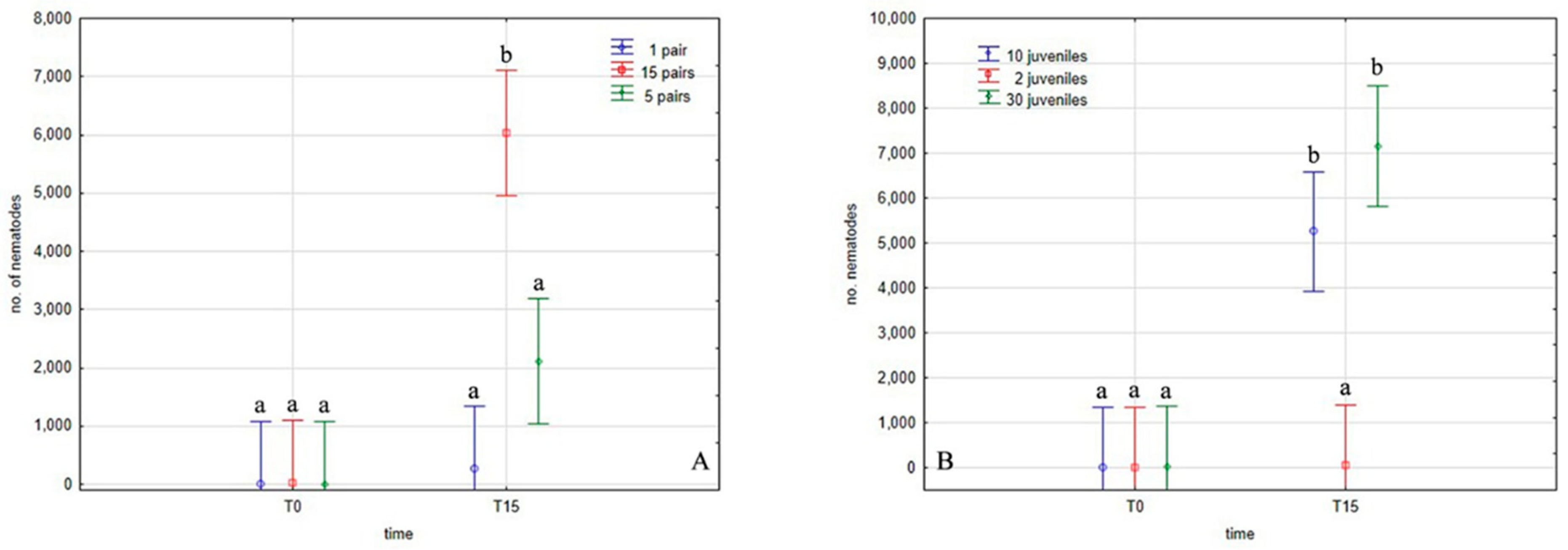
Regarding the results obtained after incubation of the green wood inoculated samples, the numbers of nematodes increased over 100 times, with the exception of the inoculation of two juveniles, where only 50 nematodes were found, on average.
The inoculation of 30 individuals was the main contribution to the statistical differences found after incubation with 6033 adult nematodes (F(2, 24) = 3.7105; p= 0.0394) and 7154 juveniles (F(2, 24) = 3.7313; p= 0.0388) recovered, on average (Figure 4).
Figure 4.
Number of Bursaphelenchus xylophilus observed in green wood samples inoculated with adults (A) and juvenile nematodes (B) after a 15-day incubation period. Letters near each vertical bar of standard errors represent LSD post hoc homogeneous groups after factorial ANOVA. T0 and T15 refer to lack of incubation and incubation for 15 days, respectively. The results indicate that the wood type and the inoculation density significantly influenced nematode reproduction. All the nematodes in pallets died after the incubation period, with exception of 1 single nematode recovered from one out of five samples inoculated with 10 juveniles and another with 30 juveniles.
Incubation in forest-derived samples (green wood) increased nematode populations significantly in all treatments, with a higher effect when numbers above ten specimens were initially present.
3.2. Influence of Incubation of Wood on PWN Reproduction in the Presence of Fungi and Moisture
The second assay aimed to evaluate the effect of incubation on the PWN number in moistened wood samples colonized by fungi. From the evaluated variables, only the presence/absence of B. cinerea produced statistically significant differences in the PWN populations (F(1 36) = 26.1716; p < 0.0001). In the absence of the fungus, the nematode population reached over 22,000, on average, representing a growth of 740-fold after incubation. When B. cinerea was added, the nematode population after incubation achieved around 69,000 individuals, on average, a population growth of 2300 times the initial inoculation. The data suggest that fungal presence tripled B. xylophilus reproduction, although it is not strictly necessary for nematode breeding, since the PWN reproduced very well in moist conditions alone (Figure 5).
Figure 5.
Number of Bursaphelenchus xylophilus counted after a 15-day incubation period in moistened wood samples in the presence or absence of Botrytis cinerea (Bc). Letters near each vertical bar of standard errors represent LSD post hoc homogeneous groups after factorial ANOVA. T0 and T15 refer to lack of incubation and incubation for 15 days, respectively.
4. Discussion
Based on the statistics of the detection of quarantine pests in WPM coming with consignments from abroad, it can be concluded that the application of the phytosanitary treatments recommended by ISPM No. 15 does not eliminate the need for additional verification by NPPO staff to ensure compliance with the requirements of the international standard and to check for the presence of harmful organisms [35]. Wood samples collected by inspectors from pallets or green wood coming from standing trees for the detection of B. xylophilus follow European standard protocols, with a recommended incubation period of 15 days at 25 °C before processing [30,32]. In this study, we assessed the effect of incubation on the detection of B. xylophilus in two types of wood samples typically received by laboratories (pallet wood and green wood), using different inoculum densities (2, 10, and 30 nematodes) and two distinct life stages of the PWN (J2 and paired adult nematodes).
Our results revealed significant differences in the population increase in B. xylophilus between pallet wood and green wood. Despite starting with the same number of nematodes, after incubation of pallet wood, all nematodes died, whereas, in green wood, there was a substantial increase in the PWN population, exceeding 7000 nematodes after an initial inoculation of 30 individuals. Consequently, under the tested conditions, the incubation process did not enhance the detection of B. xylophilus in pallet wood, though it clearly facilitated detection in green wood. This outcome supports the fact that the PWN requires moisture for movement and survival [36]. The present result is consistent with concerns regarding phytosanitary risks: the requirement is strict, with a zero-tolerance policy, for samples from standing trees. Therefore, the requisite to incubate these samples makes sense—nematodes may not be evenly distributed throughout the tree, and only a few specimens may be collected during sampling. It is important to note that the primary issue regarding pallets is the presence of insects, which indicates that the HT prescribed in ISPM 15 was due to undertreatment, insufficient treatment level, fraud, or other causes. Audits by the European Union concluded that non-treatment and fraudulent ISPM 15 marks were the biggest risks related to wood packaging material; however, when full compliance with ISPM 15 was achieved, it proved to be effective [37].
If live nematodes are detected, whether they are PWNs or not—except for free-living nematodes such as bacterial feeders originating from external environmental contamination before WPM packing [28]—along with the presence of active insects, it is highly likely that the wood material has not been properly treated and should be subjected to embargo, as is required for WPM with insect infestations.
With respect to the inoculum densities, no differences were observed in nematode numbers in pallet wood across different inoculation levels, while in green wood, the final nematode population reflected the initial inoculum densities. Specifically, the number of PWNs counted after incubation with 2 nematodes (1 pair or 2 J2) was lower than in samples with 10 nematodes (5 pairs or 10 J2), and this number was further exceeded in samples inoculated with 30 nematodes (15 pairs or 30 J2). This suggests that a minimum number of nematodes is necessary for successful mating and reproduction. In view of these results, a wood sample must include several collection points to increase the detection probability when nematode populations are low, considering they cluster in the tree, or alternative ways of sampling [38].
Comparing the two life stages of B. xylophilus, the nematodes were able to complete their life cycle when either reproductive adults or J2 were introduced. No significant differences were observed between these scenarios, as both stages fundamentally require moisture to progress through their life cycle. Thus, this development was only observed in green wood collected from standing trees.
Lastly, this study explored the possibility of reinfestation by the PWN in treated wood and the effect of incubation on its detection, either by colonization by suitable fungi for nematode feeding or by introducing favourable conditions for their survival. The experiment assessed how the presence of B. cinerea in pallet wood promotes B. xylophilus growth. It also tested the introduction of moisture to enhance PWN reproduction in pallet wood. Two distinct inoculum densities (10 and 50 nematodes, standing for low and high inoculum density) were included in the experiments. Overall, nematode population growth was observed in all scenarios, with the lowest growth occurring in the absence of fungi. Conversely, the presence of fungi and moisture led to a substantial increase in the PWN population. Thus, the presence of B. cinerea led to an increment in nematode population density, though it was not strictly necessary for reinfestation and subsequent population increases in B. xylophilus. It is important to note, however, that pallets rarely contain fungi suitable for the feeding of the PWN, as the dry wood fibres do not support the mycelial development of these fungi, particularly blue stain fungi (Ophiostoma s.l) [39], which are known for their preference for wood with higher moisture content and greener conditions [40]. The viability of their fungal propagules is lost at humidity levels below 95% [41] and temperatures above 30 °C [42]. In contrast, the darkening of pallets during transit, even those marked with the HT symbol, is generally due to colonization by ubiquitous moulds on plant and wood materials [43], particularly oligotrophic species adapted to grow in environments with low nutrient availability, such as Trichoderma [44,45,46] and Penicillium [47,48], among other genera [49]. However, these fungi are generally not regarded as a suitable food source for the nematode [22]. These species are expected to occur, given that the lifespan of pallets is estimated to be between seven and eight years [26]. It can therefore be concluded that a recently assembled pallet made from wood infested by the PWN may also harbour blue stain fungi. If it has not been treated, or if it was improperly treated, these fungi may continue to develop for some time while the pallet is in transit, as long as it remains moist, along with the PWN, representing a natural incubation. In such cases, the nematode population is likely to be significant, and there is no need to further incubate samples from these pallets. If the pallet is old and the wood is dry, blue stain fungi will likely die off, and the PWN populations will also decline due to a lack of both suitable food and moisture [50]. In this case, additional incubation will also have limited utility. Also, during transoceanic transport of wood chips, the temperature at the bottom of the ship’s cargo holds easily reaches 35°C, a suitable temperature for PWN reproduction, effectively acting as an incubator during 17–19-day trips [51,52,53]. In any case, it should always be considered that official laboratories possess the necessary expertise to ensure that the detection threshold for B. xylophilus is as low as a single individual. It is important to note that HT is a lifetime process, and, when properly applied, it ensures that a pallet remains pest-free. The reinfestation of pallets in circulation will occur very rarely, if at all [49], and has only been observed under very specific laboratory conditions [54]. Finally, it should be noted that the critical point in WPM inspection lies in sampling, as it is impossible to sample 100% of the material. This always presents some risk, which the incubation of samples is unlikely to fully mitigate, and, in this context, incubation may represent a disproportionate measure relative to the risk, as it requires a minimum 2-week hold on the consignment. In this regard, it is recommended that sampling be performed on untainted wood (i.e., free from soil, standing water, etc.) and that the initial layer be removed before drilling with a low-speed drill. Furthermore, the best strategy is to inspect the wood in circulation with the HT mark as much as possible.
5. Conclusions
This study concluded that the incubation process for pallet wood samples is not favourable for detecting the PWN. Excluding this step from the routine laboratory procedure will expedite sample analysis, which is often urgent, and reduce the waiting time for consignments entering ports. The only exception could be green wood pallets that are visibly and heavily colonized by fungi as this sign may indicate the presence of B. xylophilus. Additionally, although outside the scope of this study, it is known that pallets with visible holes and/or galleries and sawdust, indicative of insect presence, should also undergo incubation due to the risk of PWN infestation, even in low numbers [28]. In any case, a pallet providing favourable conditions for the PWN to thrive will harbour all its life stages, from egg to mobile stages. Even without incubation, detection can be achieved if the analysis is conducted by experts.
In conclusion, the risk of detecting the PWN must therefore be weighed against the waiting period imposed by the incubation process of pallet wood, which results in shipments being held at entry ports, or the challenges of ensuring the traceability of the pallet during transit. Conversely, for woody material from standing trees, the incubation step should continue to be followed, as it promotes nematode multiplication, thereby facilitating detection within the framework of a zero-tolerance policy for PWN presence.
Author Contributions
Conceptualization, M.L.I. and L.B.; methodology, M.L.I., A.P.R. and L.B.; software, J.B. and L.B.; validation, M.L.I., J.B., A.P.R., A.F., D.P. and L.B.; formal analysis, M.L.I., J.B., and L.B.; resources, M.L.I., A.P.R., A.F., D.P. and L.B.; data curation, M.L.I. and A.P.R.; writing—original draft preparation, M.L.I. and J.B.; writing—review and editing, M.L.I., J.B., A.P.R., A.F., D.P. and L.B.; visualization, M.L.I., J.B., A.P.R., A.F., D.P. and L.B.; supervision, M.L.I., A.P.R. and L.B.; project administration, M.L.I.; funding acquisition, M.L.I. All authors have read and agreed to the published version of the manuscript.
Funding
This research was supported in part by GREEN-IT “BioResources 4 Sustainability” https://doi.org/10.54499/UIDB/04551/2020.
Data Availability Statement
Data are contained within the article.
Acknowledgments
The authors extend their sincere gratitude to Margarida Fontes and Nídia Laureano for their technical assistance and valuable contributions to parts of the practical work, as well as for the shared enthusiasm and passion for pinewood nematode research over the years. We are also thankful to José Cotta and Francisco Martins for their willingness and support with the “woody tasks”. APRamos was financially supported by the FCT—Fundação para a Ciência e a Tecnologia (Portugal) unit LEAF (UIDB/04129/2020 and UIDP/04129/2020).
Conflicts of Interest
The authors declare no conflicts of interest.
References
- Futai, K. Pine Wilt in Japan: From First Incidence to the Present. In Pine Wilt Disease; Zhao, B.G., Futai, K., Sutherland, J.R., Takeuchi, Y., Eds.; Springer: Tokyo, Japan, 2008; pp. 5–12. [Google Scholar]
- Back, M.A.; Bonifácio, L.; Inácio, M.L.; Mota, M.; Boa, E. Pine wilt disease: A global threat to forestry. Plant Pathol. 2024, 73, 1026–1041. [Google Scholar] [CrossRef]
- Futai, K. Pine Wood Nematode, Bursaphelenchus xylophilus. Annu. Rev. Phytopathol. 2013, 51, 61–83. [Google Scholar] [CrossRef] [PubMed]
- Vicente, C.S.L.; Soares, M.; Faria, J.M.S.; Ramos, A.P.; Inácio, M.L. Insights into the role of fungi in pine wilt disease. J. Fungi 2021, 7, 780. [Google Scholar] [CrossRef] [PubMed]
- Vicente, C.S.L.; Soares, M.; Faria, J.M.S.; Espada, M.; Mota, M.; Nóbrega, F.; Ramos, A.P.; Inácio, M.L. Fungal Communities of the Pine Wilt Disease Complex: Studying the Interaction of Ophiostomatales with Bursaphelenchus xylophilus. Front. Plant Sci. 2022, 13, 908308. [Google Scholar] [CrossRef] [PubMed]
- Mamiya, Y. Scanning electron microscopy of pine seedling wood tissue sections inoculated with the pinewood nematode Bursaphelenchus xylophilus previously prepared for light microscopy. J. Nematol. 2012, 44, 255–259. [Google Scholar] [PubMed]
- Espada, M.; Silva, A.C.; Akker, S.E.V.D.; Cock, P.J.A.; Mota, M.; Jones, J.T. Identification and characterization of parasitism genes from the pinewood nematode Bursaphelenchus xylophilus reveals a multilayered detoxification strategy. Mol. Plant Pathol. 2016, 17, 286–295. [Google Scholar] [CrossRef]
- Mota, M.; Vieira, P.C. Pine wilt disease in Portugal. In Pine Wilt Disease; Zhao, B.G., Futai, K., Sutherland, J.R., Takeuchi, Y., Eds.; Springer: Tokyo, Japan, 2008; pp. 33–38. [Google Scholar]
- Franco, A.R.; Santos, C.; Roriz, M.; Rodrigues, R.; Lima, M.R.M.; Vasconcelos, M.W. Study of symptoms and gene expression in four Pinus species after pinewood nematode infection. Plant Genet. Resour. Characterisation Util. 2011, 9, 272–275. [Google Scholar] [CrossRef]
- Nunes da Silva, M.; Solla, A.; Sampedro, L.; Zas, R.; Vasconcelos, M.W. Susceptibility to the pinewood nematode (PWN) of four pine species involved in potential range expansion across Europe. Tree Physiol. 2015, 35, 987–999. [Google Scholar] [CrossRef]
- Inácio, M.L.; Nóbrega, F.; Vieira, P.; Bonifácio, L.; Naves, P.; Sousa, E.; Mota, M. First detection of Bursaphelenchus xylophilus associated with Pinus nigra in Portugal and in Europe. For. Pathol. 2015, 45, 235–238. [Google Scholar] [CrossRef]
- Zamora, P.; Rodríguez, V.; Renedo, F.; Sanz-Ros, A.; Domínguez, J.; Pérez-Escolar, G.; Miranda, J.; Álvarez, B.; González-Casas, A.; Mayor, E.; et al. First Report of Bursaphelenchus xylophilus Causing Pine Wilt Disease on Pinus radiata in Spain. Plant Dis. 2015, 99, 1449. [Google Scholar] [CrossRef]
- Mota, M.; Bonifácio, L.; Bravo, M.A.; Naves, P.; Penas, A.C.; Pires, J.; Sousa, E.; Vieira, P. Discovery of pine wood nematode in Portugal and in Europe. In The Pinewood Nematode, Bursaphelenchus xylophilus; Mota, M., Vieira, P., Eds.; Brill: Leiden, The Netherlands, 2004; pp. 1–5. [Google Scholar]
- Nickle, W.R.; Golden, A.M.; Mamiya, Y.; Wergin, W.P. On the Taxonomy and Morphology of the Pine Wood Nematode, Bursaphelenchus xylophilus (Steiner &Buhrer 1934) Nickle 1970. J. Nematol. 1981, 13, 385–392. [Google Scholar] [PubMed]
- Fonseca, L.; Cardoso, J.M.S.; Lopes, A.; Pestana, M.; Abreu, F.; Nunes, N.; Mota, M.; Abrantes, I. The pinewood nematode, Bursaphelenchus xylophilus, in Madeira Island. Helminthologia 2012, 49, 96–103. [Google Scholar] [CrossRef]
- Fonseca, L.; Silva, H.; Cardoso, J.M.S.; Esteves, I.; Maleita, C.; Lopes, S.; Abrantes, I. Bursaphelenchus xylophilus in Pinus sylvestris—The First Report in Europe. Forests 2024, 15, 1556. [Google Scholar] [CrossRef]
- Abelleira, A.; Picoaga, A.; Mansilla, J.; Aguin, O. Detection of Bursaphelenchus xylophilus, Causal Agent of Pine Wilt Disease on Pinus pinaster in Northwestern Spain. Am. Phytopathol. Soc. 2011, 95, 776. [Google Scholar] [CrossRef]
- Kondo, E.; Ishibashi, N. Ultrastructural Differences between the Propagative and Dispersal Forms in Pine Wood Nematode, Bursaphelenchus lignicolus, with Reference to the Survival. Chem. Pharm. Bull. 1994, 17, 1460–1462. [Google Scholar] [CrossRef]
- Zhao, L.; Zhang, S.; Wei, W.; Hao, H.; Zhang, B.; Butcher, R.A.; Sun, J. Chemical signals synchronize the life cycles of a plant-parasitic nematode and its vector beetle. Curr. Biol. 2013, 23, 2038–2043. [Google Scholar] [CrossRef]
- Sousa, E.; Bonifácio, L.; Naves, P.; Vieira, M. Pine wilt disease management. In Pine Wilt Disease in Europe: Biological Interactions and Integrated Management; FNAPF—Federação Nacional das Associações de Proprietários Florestais: Lisbon, Portugal, 2015; pp. 223–295. [Google Scholar]
- Shibata, E. Seasonal fluctuation of the pine wood nematode, Bursaphelenchus xylophilus (Steiner et Buhrer) Nickle (Nematoda: Aphelenchoididae), transmitted to pine by the Japanese pine sawyer, Monochamus alternatus Hope (Coleoptera: Cerambycidae). Appl. Ent. Zool. 1985, 20, 241–245. [Google Scholar] [CrossRef]
- Naves, P.; Camacho, S.; Sousa, E.; Quartau, J.A. Transmission of the pine wood nematode Bursaphelenchus xylophilus through feeding activity of Monochamus galloprovincialis (Col., Cerambycidae). J. Appl. Entomol. 2007, 131, 21–25. [Google Scholar] [CrossRef]
- Naves, P.; Camacho, S.; Sousa, E.; Quartau, J.A. Transmission of the pine wood nematode Bursaphelenchus xylophilus through oviposition activity of Monochamus galloprovincialis (Coleoptera: Cerambycidae). Entomol. Fenn. 2007, 18, 193–198. [Google Scholar] [CrossRef]
- Pimentel, C.S.; Firmino, P.N.; Ayres, M. Comparison of methods to obtain and maintain cultures of the pinewood nematode, Bursaphelenchus xylophilus. J. For. Res. 2020, 25, 101–107. [Google Scholar] [CrossRef]
- ICNF. Plano de Ação Nacional para Controlo do Nemátodo da Madeira do Pinheiro; Instituto da Conservação da Natureza e das Florestas: Lisbon, Portugal, 2018; pp. 1–52. [Google Scholar]
- Eyre, D.; Macarthur, R.; Haack, R.A.; Lu, Y.; Krehan, H. Variation in Inspection Efficacy by Member States of Wood Packaging Material Entering the European Union. J. Econ. Entomol. 2018, 111, 707–715. [Google Scholar] [CrossRef] [PubMed]
- IPPC—Secretariat of the International Plant Protection Convention. ISPM 15: Regulation of Wood Packaging Material in International Trade. 2016. Available online: https://www.ippc.int/en/publications/640/ (accessed on 20 November 2024).
- Greenwood, L.F.; Coyle, D.R.; Guerrero, M.E.; Hernández, G.; MacQuarrie, C.J.K.; Trejo, O.; Noseworthy, M.K. Exploring pest mitigation research and management associated with global wood packaging supply chain: What and where are the weak links? Biol. Invasions 2023, 25, 2395–2421. [Google Scholar] [CrossRef]
- Haack, R.A.; Britton, K.O.; Brockerhoff, E.G.; Cavey, J.F.; Garrett, L.J.; Kimberley, M.; Lowenstein, F.; Nuding, A.; Olson, L.J.; Turner, J.; et al. Effectiveness of the International Phytosanitary Standard ISPM No15 on reducing wood borer infestation rates in wood packaging material entering the United States. PLoS ONE 2014, 9, e96611. [Google Scholar] [CrossRef] [PubMed]
- EFSA. Technical Assistance on the Sampling Statistics to be Applied Pursuant to Commission Implementing Decision 2012/535/EU on Emergency Measures to Prevent the Spread of Bursaphelenchus xylophilus (the Pine Wood Nematode) Within the European Union; Supporting Publications: Parma, Italy, 2012; p. 9. [Google Scholar]
- Tomminen, J.; Halik, S.; Bergdahl, D.R. Incubation Temperature and Time Effects on Life Stages of Bursaphelenchus xylophilus in Wood Chips. J. Nematol. 1991, 23, 477–484. [Google Scholar] [PubMed]
- EPPO. PM 7/4 (4) Bursaphelenchus xylophilus. EPPO Bull. 2023, 53, 156–183. [CrossRef]
- Whitehead, A.G.; Hemming, J.R. A comparison of some quantitative methods of extracting small vermiform nematodes from soil. Ann. Appl. Biol. 1965, 55, 25–38. [Google Scholar] [CrossRef]
- Stat Soft Inc. Statistica 64. Versão 12; Stat Soft Inc.: Tulsa, OK, USA, 2014. [Google Scholar]
- Kulinich, O.; Chalkin, A.; Arbuzova, E.; Kozyreva, N.; Ryss, A. Ways of possible introduction of quarantine forest organisms with wood packaging materials. In Proceedings of the Global Food Forum, Online, 24 June 2021; pp. 70–74. [Google Scholar]
- Dwinell, L.D. Ecology of the Pinewood Nematode in Southern Pine Chip Piles; Forest Service U.S. Department of Agriculture: Washington, DC, USA, 1986. [Google Scholar]
- European Commission. Final Report of an Audit Carried Out in China From 18 to 28 June 2013 in Order to Evaluate the Measures Taken by China to Ensure that Wood Packaging Material Exported to the European Union Meets EU Requirements. European Commission Health and Consumers Directorate-general Directorate F—Food and Veterinary Office Audit Number China; EUR-Lex: Luxembourg, 2013; pp. 2013–6813. [Google Scholar]
- Robinet, C.; Rafn, A.; Jactel, H.; Kersaudy, E.; Deufc, P.; Clopeau, A.; Hotte, H.; Kleinhentz, M.; Robin, C.; Roux, G.; et al. Improving monitoring and management methods is of the utmost importance in countries at risk of invasion by the pinewood nematode. Ann. For. Sci. 2024, 81, 16. [Google Scholar] [CrossRef]
- Maehara, N.; Futai, K. Population changes of the pinewood nematode, Bursaphelenchus xylophilus (Nematoda: Aphelenchoididae), on fungi growing in pine-branch segments. Appl. Entomol. Zool. 2000, 35, 413–417. [Google Scholar] [CrossRef]
- Gibbs, J.N. The biology of ophiostomatoid fungi causing sapstain in trees and freshly cut logs. In Ceratocystis and Ophiostoma: Taxonomy, Ecology, and Pathogenicity; Wingfield, M.J., Seifert, K.A., Webber, J.F., Eds.; American Phytopathological Society: Saint Paul, MN, USA, 1993; pp. 153–160. [Google Scholar]
- Dowding, P. The dispersal and survival of spores of fungi causing bluestain in pine. Trans. Br. Mycol. Soc. Soc. 1969, 52, 125–137. [Google Scholar] [CrossRef]
- Payne, C.J.; Woodward, S.; Petty, J.A. Fungal spora of softwood timber drying kilns in Scotland. Mater. Und Org. 1998, 32, 109–125. [Google Scholar]
- Uzunovic, A.; Byrne, A.; Gignac, M.; Yang, D.Q. Wood Discolourations and Their Prevention with an Emphasis on Bluestain; FPInnovations Forintek Division: Point-Claire, QC, Canada, 2008; p. 48. [Google Scholar]
- Halik, S.; Bergdahl, D.R. Development of Bursaphelenchus xylophilus Populations in Wood Chips with Different Moisture Contents. J. Nematol. 1990, 22, 113–118. [Google Scholar] [PubMed]
- Gams, W.; Bissett, J. Morphology and identification of Trichoderma. In Trichoderma and Gliocladium: Basic Biology, Taxonomy and Genetics; Kubicek, C.P., Harman, G., Eds.; Taylor & Francis Ltd.: London, UK, 1998; Volume 1, pp. 3–34. [Google Scholar]
- Hopf-Biziks, A.; Schröder, T.; Schütz, S. Long-term survival and non-vector spread of the pinewood nematode, Bursaphelenchus xylophilus, via wood chips. For. Pathol. 2017, 47, e:12340. [Google Scholar] [CrossRef]
- Webster, J.; Weber, R. Introduction to Fungi; Cambridge University Press: Cambridge, UK, 2007; Volume 3, p. 875. [Google Scholar]
- Zahid, M.I.; Grgurinovic, C.A.; Walsh, D.J. Quarantine risks associated with solid wood packaging materials receiving ISPM 15 treatments. Aust. For. 2008, 71, 287–293. [Google Scholar] [CrossRef]
- Naves, P.; Inácio, M.L.; Nóbrega, F.; Sousa, E.; Michielsen, M. Pinewood nematode presence and survival in commercial pallets of different ages. Eur. J. Wood Prod. 2019, 77, 301–309. [Google Scholar] [CrossRef]
- Sousa, E.; Naves, P.; Bonifácio, L.; Henriques, J.; Inacio, M.L.; Evans, H. Survival of Bursaphelenchus xylophilus and Monochamus galloprovincialis in pine branches and wood packaging material. EPPO/EPPO Bull. 2011, 41, 203–207. [Google Scholar] [CrossRef]
- Dwinell, L.D. Pinewood nematode in southern pine chips exported from Georgia. In Pathogenicity of Pinewood Nematode; Wingfield, M.J., Ed.; APS Press: St. Paul, MN, USA, 1987; pp. 50–57. [Google Scholar]
- Dwinell, L.D. Using heat to decontaminate softwood chips, lumber, and logs. In Proceedings of the Importing Wood Products: Pest Risks to Domestic Industries, Portland, OR, USA, 4–6 March 1996; pp. 91–100. [Google Scholar]
- Dwinell, L.D. The pinewood nematode: Regulation and mitigation. Annu. Rev. Phytopathol. 1997, 35, 153–166. [Google Scholar] [CrossRef] [PubMed]
- Sousa, E.; Naves, P.; Bonifácio, L.; Henriques, J.; Inácio, M.L.; Evans, H. Risks of pine wood nematode Bursaphelenchus xylophilus transfer between wood packaging simulating assembled pallets in service. OEPP/EPPO Bull. 2011, 41, 423–431. [Google Scholar] [CrossRef]
Disclaimer/Publisher’s Note: The statements, opinions and data contained in all publications are solely those of the individual author(s) and contributor(s) and not of MDPI and/or the editor(s). MDPI and/or the editor(s) disclaim responsibility for any injury to people or property resulting from any ideas, methods, instructions or products referred to in the content. |
© 2025 by the authors. Licensee MDPI, Basel, Switzerland. This article is an open access article distributed under the terms and conditions of the Creative Commons Attribution (CC BY) license (https://creativecommons.org/licenses/by/4.0/).




