Inconsistent Variations in Components of Functional Stability Under Heterogeneous Conditions: A Case Study from the Maolan Karst Forest Ecosystems in Guizhou Province, Southwest of China
Abstract
1. Introduction
2. Materials and Methods
2.1. Study Area and FDPs Establishment
2.2. PFTs Collections and Measurements
2.3. Environment Factors Obtained and Determination
2.4. Data Analysis
2.4.1. The Functional Space Based on PFTs
2.4.2. FEs and Indicating Functional Stability
2.4.3. Species α-Diversity Indices
2.4.4. The Biotic/Abiotic Factors Determining Functional Stability
3. Results
3.1. Variation in Functional Space Among Successional Stages in Degraded Karst Forests
3.2. Variations in Functional Stability Among Successional Stages in Degraded Karst Forests
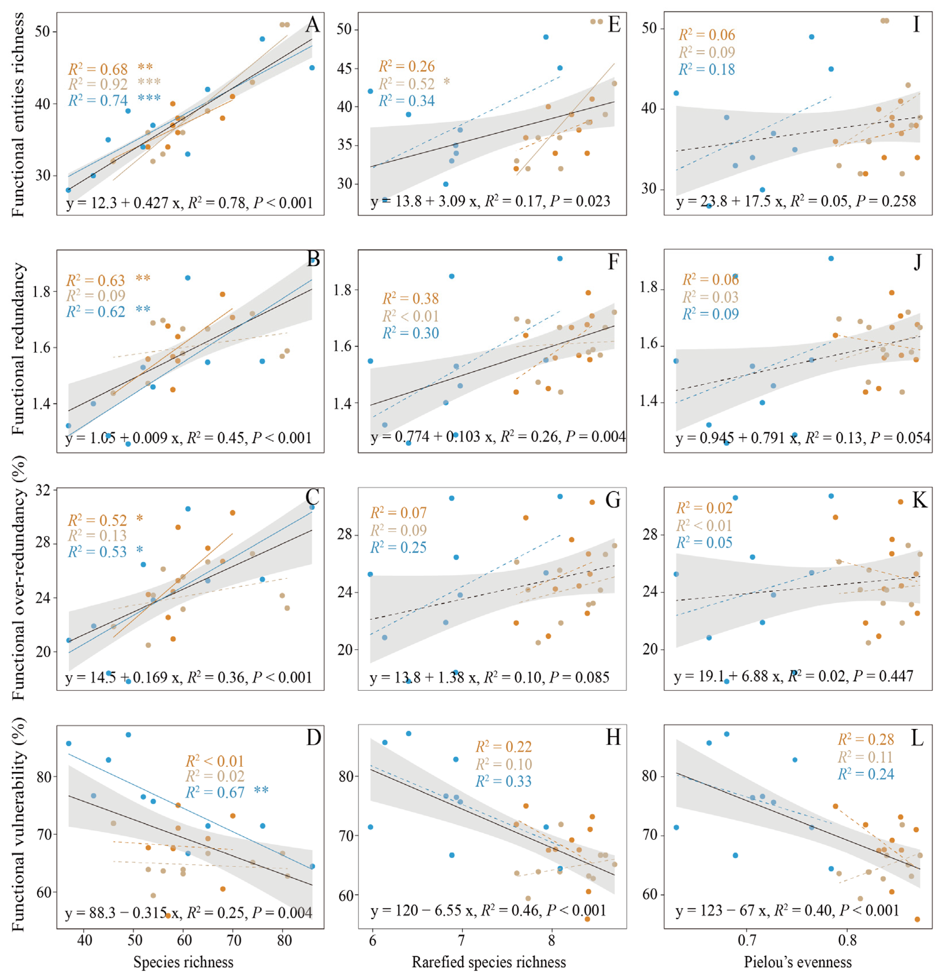
3.3. Relationships Between Species Diversity and FEs Along Successional Pathway
3.4. The Influence of Environmental Factors on Functional Stability
4. Discussion
4.1. Variations in PFTs and Indicating Functional Space Among Successional Stages in Degraded Karst Forests
4.2. Changes in Functional Stability Along the Successional Pathway in Degraded Karst Forests
4.3. Determining Factors Driving Functional Stability in Degraded Karst Forests
5. Conclusions
Supplementary Materials
Author Contributions
Funding
Data Availability Statement
Acknowledgments
Conflicts of Interest
References
- Gonzalez-Maya, J.F.; Víquez-R, L.R.; Arias-Alzate, A.; Belant, J.L.; Ceballos, G. Spatial patterns of species richness and functional diversity in Costa Rican terrestrial mammals: Implications for conservation. Divers. Distrib. 2016, 22, 43–56. [Google Scholar] [CrossRef]
- Pennekamp, F.; Pontarp, M.; Tabi, A.; Altermatt, F.; Alther, R.; Choffat, Y.; Fronhofer, E.A.; Ganesanandamoorthy, P.; Garnier, A.; Griffiths, J.I.; et al. Biodiversity increases and decreases ecosystem stability. Nature 2018, 563, 109–112. [Google Scholar] [CrossRef]
- White, L.; O’Connor, N.E.; Yang, Q.; Emmerson, M.C.; Donohue, I. Individual species provide multifaceted contributions to the stability of ecosystems. Nat. Ecol. Evol. 2020, 4, 1594–1601. [Google Scholar] [CrossRef]
- de Bello, F.; Lavorel, S.; Hallett, L.M.; Valencia, E.; Garnier, E.; Roscher, C.; Conti, L.; Galland, T.; Goberna, M.; Májeková, M.; et al. Functional trait effects on ecosystem stability: Assembling the jigsaw puzzle. Trends Ecol. Evol. 2021, 36, 822–836. [Google Scholar] [CrossRef]
- Biggs, C.R.; Yeager, L.A.; Bolser, D.G.; Bonsell, C.; Dichiera, A.M.; Hou, Z.; Keyser, S.R.; Khursigara, A.J.; Lu, K.; Muth, A.F.; et al. Does functional redundancy affect ecological stability and resilience? A review and meta-analysis. Ecosphere 2020, 11, e03184. [Google Scholar] [CrossRef]
- Díaz, S.; Cabido, M. Vive la différence: Plant functional diversity matters to ecosystem processes. Trends Ecol. Evol. 2001, 16, 646–655. [Google Scholar] [CrossRef]
- Moro, A.V.I.; Borghetti, F.; Galetto, L.; Cellini, J.M.; Bravo, S.J. The influence of seed functional traits and anthropogenic disturbances on persistence and size of the soil seed bank from dry subtropical forest species. For. Ecol. Manage. 2024, 551, 121524. [Google Scholar] [CrossRef]
- Han, X.; Huang, J.; Yao, J.; Xu, Y.; Ding, Y.; Zang, R. Effects of logging on the ecological strategy spectrum of a tropical montane rain forest. Ecol. Indic. 2021, 128, 107812. [Google Scholar] [CrossRef]
- Craven, D.; Eisenhauer, N.; Pearse, W.D.; Hautier, Y.; Isbell, F.; Roscher, C.; Bahn, M.; Beierkuhnlein, C.; Bönisch, G.; Buchmann, N.; et al. Multiple facets of biodiversity drive the diversity–stability relationship. Nat. Ecol. Evol. 2018, 2, 1579–1587. [Google Scholar] [CrossRef]
- Hautier, Y.; Tilman, D.; Isbell, F.; Seabloom, E.W.; Borer, E.T.; Reich, P.B. Anthropogenic environmental changes affect ecosystem stability via biodiversity. Science 2015, 348, 336–340. [Google Scholar] [CrossRef]
- Isbell, F.; Gonzalez, A.; Loreau, M.; Cowles, J.; Díaz, S.; Hector, A.; Mace, G.M.; Wardle, D.A.; O’Connor, M.I.; Duffy, J.E.; et al. Linking the influence and dependence of people on biodiversity across scales. Nature 2017, 546, 65–72. [Google Scholar] [CrossRef] [PubMed]
- Wang, Z.; Huang, W.; Guan, X. Ecosystem Resilience Trends and Its Influencing Factors in China’s Three-River Headwater Region: A Comprehensive Analysis Using CSD Indicators (1982–2023). Land 2024, 13, 1224. [Google Scholar] [CrossRef]
- Bihn, J.H.; Gebauer, G.; Brandl, R. Loss of functional diversity of ant assemblages in secondary tropical forests. Ecology 2010, 91, 782–792. [Google Scholar] [CrossRef] [PubMed]
- Proios, K.; Michailidou, D.-E.; Lazarina, M.; Tsianou, M.; Kallimanis, A. Climate and Land Use Changes Impact the Future of European Amphibian Functional Diversity. Land 2024, 13, 1206. [Google Scholar] [CrossRef]
- Giordani, P.; Malaspina, P.; Benesperi, R.; Incerti, G.; Nascimbene, J. Functional over-redundancy and vulnerability of lichen communities decouple across spatial scales and environmental severity. Sci. Total Environ. 2019, 666, 22–30. [Google Scholar] [CrossRef]
- van der Sande, M.T.; Poorter, L.; Derroire, G.; do Espirito Santo, M.M.; Lohbeck, M.; Müller, S.C.; Bhaskar, R.; van Breugel, M.; Dupuy-Rada, J.M.; Durán, S.M.; et al. Tropical forest succession increases tree taxonomic and functional richness but decreases evenness. Glob. Ecol. Biogeogr. 2024, 33, e13856. [Google Scholar] [CrossRef]
- Rojas-Botero, S.; Solorza-Bejarano, J.; Kollmann, J.; Teixeira, L.H. Nucleation increases understory species and functional diversity in early tropical forest restoration. Ecol. Eng. 2020, 158, 106031. [Google Scholar] [CrossRef]
- Aguirre-Gutierrez, J.; Berenguer, E.; Oliveras Menor, I.; Bauman, D.; Corral-Rivas, J.J.; Nava-Miranda, M.G.; Both, S.; Ndong, J.E.; Ondo, F.E.; Bengone, N.N.s.; et al. Functional susceptibility of tropical forests to climate change. Nat. Ecol. Evol. 2022, 6, 878–889. [Google Scholar] [CrossRef]
- Pillar, V.D.; Blanco, C.C.; Müller, S.C.; Sosinski, E.E.; Joner, F.; Duarte, L.D.S. Functional redundancy and stability in plant communities. J. Veg. Sci. 2013, 24, 963–974. [Google Scholar] [CrossRef]
- Zhang, S.; Zang, R.; Sheil, D. Rare and common species contribute disproportionately to the functional variation within tropical forests. J. Environ. Manage. 2022, 304, 114332. [Google Scholar] [CrossRef] [PubMed]
- Mouillot, D.; Villéger, S.; Parravicini, V.; Kulbicki, M.; Arias-González, J.E.; Bender, M.; Chabanet, P.; Floeter, S.R.; Friedlander, A.; Vigliola, L.; et al. Functional over-redundancy and high functional vulnerability in global fish faunas on tropical reefs. Proc. Natl. Acad. Sci. USA 2014, 111, 13757–13762. [Google Scholar] [CrossRef] [PubMed]
- Zhang, S.; Zang, R. Tropical forests are vulnerable in terms of functional redundancy. Biol. Conserv. 2021, 262, 109326. [Google Scholar] [CrossRef]
- Gillison, A.N. Vegetation Functional Types and Traits at Multiple Scales; Springer International Publishing: Cham, Switzerland, 2016; pp. 53–97. ISBN 978-3-319-21452-8. [Google Scholar]
- McDowell, N.G.; Allen, C.D.; Anderson-Teixeira, K.; Aukema, B.H.; Bond-Lamberty, B.; Chini, L.; Clark, J.S.; Dietze, M.; Grossiord, C.; Hanbury-Brown, A.; et al. Pervasive shifts in forest dynamics in a changing world. Science 2020, 368, eaaz9463. [Google Scholar] [CrossRef]
- Sui, X.; Zhang, R.; Frey, B.; Yang, L.; Liu, Y.; Ni, H.; Li, M. Soil physicochemical properties drive the variation in soil microbial communities along a forest successional series in a degraded wetland in northeastern China. Ecol. Evol. 2021, 11, 2194–2208. [Google Scholar] [CrossRef] [PubMed]
- Parmentier, T.; Bonte, D.; De Laender, F. A successional shift enhances stability in ant symbiont communities. Commun. Biol. 2024, 7, 645. [Google Scholar] [CrossRef] [PubMed]
- Chazdon, R.L. Beyond Deforestation: Restoring Forests and Ecosystem Services on Degraded Lands. Science 2008, 320, 1458–1460. [Google Scholar] [CrossRef]
- Fetzer, I.; Johst, K.; Schäwe, R.; Banitz, T.; Harms, H.; Chatzinotas, A. The extent of functional redundancy changes as species’ roles shift in different environments. Proc. Natl. Acad. Sci. USA 2015, 112, 14888–14893. [Google Scholar] [CrossRef]
- Teixidó, N.; Gambi, M.C.; Parravacini, V.; Kroeker, K.; Micheli, F.; Villéger, S.; Ballesteros, E. Functional biodiversity loss along natural CO2 gradients. Nat. Commun. 2018, 9, 5149. [Google Scholar] [CrossRef] [PubMed]
- Bruno, D.; Gutiérrez-Cánovas, C.; Sánchez-Fernández, D.; Velasco, J.; Nilsson, C. Impacts of environmental filters on functional redundancy in riparian vegetation. J. Appl. Ecol. 2016, 53, 846–855. [Google Scholar] [CrossRef]
- Huang, C.; Xu, Y.; Zang, R. Variation Patterns of Functional Trait Moments Along Geographical Gradients and Their Environmental Determinants in the Subtropical Evergreen Broadleaved Forests. Front. Plant Sci. 2021, 12, 686965. [Google Scholar] [CrossRef] [PubMed]
- Huang, C.; Xu, Y.; Zang, R. Low functional redundancy revealed high vulnerability of the subtropical evergreen broadleaved forests to environmental change. Sci. Total Environ. 2024, 935, 173307. [Google Scholar] [CrossRef]
- Chen, X.; Zhang, D.; Liang, G.; Qiu, Q.; Liu, J.; Zhou, G.; Liu, S.; Chu, G.; Yan, J. Effects of precipitation on soil organic carbon fractions in three subtropical forests in southern China. J. Plant Ecol. 2015, 9, 10–19. [Google Scholar] [CrossRef]
- Li, M.; Luo, G.; Li, Y.; Qin, Y.; Huang, J.; Liao, J. Effects of landscape patterns and their changes on ecosystem health under different topographic gradients: A case study of the Miaoling Mountains in southern China. Ecol. Indic. 2023, 154, 110796. [Google Scholar] [CrossRef]
- Zhang, S.; Zang, R.; Huang, Y.; Ding, Y.; Huang, J.; Lu, X.; Liu, W.; Long, W.; Zhang, J.; Jiang, Y. Diversity maintenance mechanism changes with vegetation type and the community size in a tropical nature reserve. Ecosphere 2016, 7, e01526. [Google Scholar] [CrossRef]
- Micó, E.; Ramilo, P.; Thorn, S.; Müller, J.; Galante, E.; Carmona, C.P. Contrasting functional structure of saproxylic beetle assemblages associated to different microhabitats. Sci. Rep. 2020, 10, 1520. [Google Scholar] [CrossRef]
- Robinson, B.; Barnes, D.; Grange, L.; Morley, S. The Extremes of Disturbance Reduce Functional Redundancy: Functional Trait Assessment of the Shallow Antarctic Benthos. Front. Mar. Sci. 2022, 8, 797112. [Google Scholar] [CrossRef]
- Jiang, Z.; Lian, Y.; Qin, X. Rocky desertification in Southwest China: Impacts, causes, and restoration. Earth-Sci. Rev. 2014, 132, 1–12. [Google Scholar] [CrossRef]
- Tang, M.; Liu, J.; Hou, W.; Stubbendieck, R.M.; Xiong, H.; Jin, J.; Gong, J.; Cheng, C.; Tang, X.; Liu, Y.; et al. Structural variability in the bulk soil, rhizosphere, and root endophyte fungal communities of Themeda japonica plants under different grades of karst rocky desertification. Plant Soil 2022, 475, 105–122. [Google Scholar] [CrossRef]
- Liang, Y.; Pan, F.; Jiang, Z.; Li, Q.; Pu, J.; Liu, K. Accumulation in nutrient acquisition strategies of arbuscular mycorrhizal fungi and plant roots in poor and heterogeneous soils of karst shrub ecosystems. BMC Plant Biol. 2022, 22, 188. [Google Scholar] [CrossRef] [PubMed]
- Leung, J.Y.S. Habitat heterogeneity affects ecological functions of macrobenthic communities in a mangrove: Implication for the impact of restoration and afforestation. Glob. Ecol. Conserv. 2015, 4, 423–433. [Google Scholar] [CrossRef]
- IUSS Working Group WRB. World Reference Base for Soil Resources. International Soil Classification System for Naming Soils and Creating Legends for Soil Maps, 4th ed.; International Union of Soil Sciences (IUSS): Vienna, Austria, 2022; ISBN 979-8-9862451-1-9. [Google Scholar]
- Dai, Y.; Chen, D.; Zang, L.; Zhang, G.; Liu, Q.; He, Y.; Ding, F.; Wang, S.; Zhou, C.; Yang, Y.; et al. Natural restoration of degraded karst vegetation shifts soil microbial phosphorus acquisition strategies. Plant Soil 2023, 490, 201–215. [Google Scholar] [CrossRef]
- Fang, J.; Guo, K.; Wang, G.; Tang, Z.; Xie, Z.; Shen, Z.; Wang, R.; Qiang, S.; Liang, C.; Da, L.; et al. Vegetation classification system and classification of vegetation types used for the compilation of vegetation of China. Chin. J. Plant Ecol 2020, 44, 96–110. [Google Scholar] [CrossRef]
- Yang, Z.; Wu, Y.; Chen, S.; Sui, M.; Zhang, G.; Liu, Q.; Chen, D.; He, Y.; Zang, L. Does the universal adaptive strategy theory apply to natural regeneration in heterogeneous subtropical karst forests? Ecol. Indic. 2024, 165, 112168. [Google Scholar] [CrossRef]
- Condit, R. Tropical Forest Census Plots Methods and Results from Barro Colorado Island, Panama and a Comparison with Other Plots; Springer Science & Business Media: New York, NY, USA, 1998; ISBN 978-01-2183-940-6. [Google Scholar]
- Pérez-Harguindeguy, N.; Diaz, S.; Garnier, E.; Lavorel, S.; Poorter, H.; Jaureguiberry, P.; Bret-Harte, M.S.; Cornwell, W.K.; Craine, J.; Gurvich, D.; et al. New handbook for standardise measurement of plant functional traits worldwide. Aust. J. Bot. 2013, 61, 167–234. [Google Scholar] [CrossRef]
- Katabuchi, M. LeafArea: An R package for rapid digital image analysis of leaf area. Ecol. Res. 2015, 30, 1073–1077. [Google Scholar] [CrossRef]
- Long, F.; Zhou, G.; Zu, L.; Zang, L.; Chen, D.; Zhang, G.; Sui, M.; He, Y.; Liu, Q. Multi-Trophic Species Diversity Contributes to the Restoration of Soil Multifunctionality in Degraded Karst Forests through Cascading Effects. Forests 2024, 15, 559. [Google Scholar] [CrossRef]
- Bao, S.D. Analysis Method of Soil Agricultural Chemistry; China Agricultural Science and Technology Press: Beijing, China, 2007; ISBN 978-71-0906-644-1. [Google Scholar]
- Cambardella, C.A.; Elliott, E.T. Particulate soil organic-matter changes across a grassland cultivation sequence. Soil Sci. Soc. Am. J. 1992, 56, 777–783. [Google Scholar] [CrossRef]
- Janzen, H.H.; Campbell, C.A.; Brandt, S.A.; Lafond, G.P.; Townley-Smith, L. Light-Fraction Organic Matter in Soils from Long-Term Crop Rotations. Soil Sci. Soc. Am. J. 1992, 56, 1799–1806. [Google Scholar] [CrossRef]
- Han, F.; Ren, L.; Zhang, X.C. Effect of biochar on the soil nutrients about different grasslands in the Loess Plateau. Catena 2016, 137, 554–562. [Google Scholar] [CrossRef]
- Zhou, G.; Long, F.; Zu, L.; Jarvie, S.; Peng, Y.; Zang, L.; Chen, D.; Zhang, G.; Sui, M.; He, Y.; et al. Stand spatial structure and microbial diversity are key drivers of soil multifunctionality during secondary succession in degraded karst forests. Sci. Total Environ. 2024, 937, 173504. [Google Scholar] [CrossRef]
- Carmona, C.P.; Pavanetto, N.; Puglielli, G. funspace: An R package to build, analyse and plot functional trait spaces. Divers. Distrib. 2024, 30, e13820. [Google Scholar] [CrossRef]
- Magneville, C.; Loiseau, N.; Albouy, C.; Casajus, N.; Claverie, T.; Escalas, A.; Leprieur, F.; Maire, E.; Mouillot, D.; Villéger, S. mFD: An R package to compute and illustrate the multiple facets of functional diversity. Ecography 2022, 2022. [Google Scholar] [CrossRef]
- Dixon, P. VEGAN, a package of R functions for community ecology. J. Veg. Sci. 2003, 14, 927–930. [Google Scholar] [CrossRef]
- Wijewardene, L.; Wu, N.; Qu, Y.; Guo, K.; Messyasz, B.; Lorenz, S.; Riis, T.; Ulrich, U.; Fohrer, N. Influences of pesticides, nutrients, and local environmental variables on phytoplankton communities in lentic small water bodies in a German lowland agricultural area. Sci. Total Environ. 2021, 780, 146481. [Google Scholar] [CrossRef] [PubMed]
- Barton, K. MuMIn: Multi-Model Inference. R package version 1.47.1. 2022. Available online: https://CRAN.R-project.org/package=MuMIn (accessed on 6 February 2025).
- Lai, J.; Zou, Y.; Zhang, J.; Peres-Neto, P.R. Generalizing hierarchical and variation partitioning in multiple regression and canonical analyses using the rdacca.hp R package. Methods Ecol. Evol. 2022, 13, 782–788. [Google Scholar] [CrossRef]
- Team, R.C. R: A Language and Environment for Statistical Computing; R Foundation for Statistical Computing: Vienna, Austria, 2023. [Google Scholar]
- Wright, I.J.; Dong, N.; Maire, V.; Prentice, I.C.; Westoby, M.; Díaz, S.; Gallagher, R.V.; Jacobs, B.F.; Kooyman, R.; Law, E.A.; et al. Global climatic drivers of leaf size. Science 2017, 357, 917–921. [Google Scholar] [CrossRef] [PubMed]
- Liu, M.; Wang, Z.; Li, S.; Lü, X.; Wang, X.; Han, X. Changes in specific leaf area of dominant plants in temperate grasslands along a 2500-km transect in northern China. Sci. Rep. 2017, 7, 10780. [Google Scholar] [CrossRef]
- Muscarella, R.; Uriarte, M.; Aide, T.M.; Erickson, D.L.; Forero-Montaña, J.; Kress, W.J.; Swenson, N.G.; Zimmerman, J.K. Functional convergence and phylogenetic divergence during secondary succession of subtropical wet forests in Puerto Rico. J. Veg. Sci. 2016, 27, 283–294. [Google Scholar] [CrossRef]
- Shiono, T.; Kusumoto, B.; Maeshiro, R.; Fujii, S.; Götzenberger, L.; de Bello, F.; Kubota, Y. Climatic drivers of trait assembly in woody plants in Japan. J. Biogeogr. 2015, 42, 1176–1186. [Google Scholar] [CrossRef]
- Wang, S.; Chen, D.; Liu, Q.; Zang, L.; Zhang, G.; Sui, M.; Dai, Y.; Zhou, C.; Li, Y.; Yang, Y.; et al. Dominant influence of plants on soil microbial carbon cycling functions during natural restoration of degraded karst vegetation. J. Environ. Manage. 2023, 345, 118889. [Google Scholar] [CrossRef]
- Zhou, L.; Shalom, A.-D.D.; Wu, P.; Li, S.; Jia, Y.; Ma, X. Litterfall production and nutrient return in different-aged Chinese fir (Cunninghamia lanceolata) plantations in South China. J. For. Res. 2015, 26, 79–89. [Google Scholar] [CrossRef]
- Dudenhöffer, J.-H.; Luecke, N.C.; Crawford, K.M. Changes in precipitation patterns can destabilize plant species coexistence via changes in plant–soil feedback. Nat. Ecol. Evol. 2022, 6, 546–554. [Google Scholar] [CrossRef]
- Zemunik, G.; Turner, B.L.; Lambers, H.; Laliberté, E. Diversity of plant nutrient-acquisition strategies increases during long-term ecosystem development. Nat. Plants 2015, 1, 15050. [Google Scholar] [CrossRef]
- Wu, Y.; Yang, Z.; Chen, S.; Chen, L.; Sui, M.; Zhang, G.; Liu, Q.; Chen, D.; He, Y.; Zang, L. Drivers of β-diversity and its component-dependence along the natural restoration in an extremely heterogeneous forest ecosystem. Catena 2024, 243, 108224. [Google Scholar] [CrossRef]
- Goh, K.M.; González-Siso, M.-I.; Sani, R.K. Genomics of extreme environments: Unveiling the secrets of survival. Sci. Rep. 2023, 13, 21441. [Google Scholar] [CrossRef] [PubMed]
- Monge-González, M.L.; Guerrero-Ramírez, N.; Krömer, T.; Kreft, H.; Craven, D. Functional diversity and redundancy of tropical forests shift with elevation and forest-use intensity. J. Appl. Ecol. 2021, 58, 1827–1837. [Google Scholar] [CrossRef]
- Winfree, R.; Fox, J.W.; Williams, N.M.; Reilly, J.R.; Cariveau, D.P. Abundance of common species, not species richness, drives delivery of a real-world ecosystem service. Ecol. Lett. 2015, 18, 626–635. [Google Scholar] [CrossRef]
- Lohbeck, M.; Bongers, F.; Martinez-Ramos, M.; Poorter, L. The importance of biodiversity and dominance for multiple ecosystem functions in a human-modified tropical landscape. Ecology 2016, 97, 2772–2779. [Google Scholar] [CrossRef]
- van der Sande, M.T.; Arets, E.J.M.M.; Peña-Claros, M.; de Avila, A.L.; Roopsind, A.; Mazzei, L.; Ascarrunz, N.; Finegan, B.; Alarcón, A.; Cáceres-Siani, Y.; et al. Old-growth Neotropical forests are shifting in species and trait composition. Ecol. Monogr. 2016, 86, 228–243. [Google Scholar] [CrossRef]
- Bátori, Z.; Valkó, O.; Vojtkó, A.; Tölgyesi, C.; Farkas, T.; Frei, K.; Hábenczyus, A.A.; Tóth, Á.; Li, G.; Rádai, Z.; et al. Environmental heterogeneity increases the conservation value of small natural features in karst landscapes. Sci. Total Environ. 2023, 872, 162120. [Google Scholar] [CrossRef] [PubMed]
- Leitão, R.P.; Zuanon, J.; Villéger, S.; Williams, S.E.; Baraloto, C.; Fortunel, C.; Mendonça, F.P.; Mouillot, D. Rare species contribute disproportionately to the functional structure of species assemblages. Proc. R. Soc. B-Biol. Sci. 2016, 283, 20160084. [Google Scholar] [CrossRef] [PubMed]
- Violle, C.; Navas, M.L.; Vile, D.; Kazakou, E.; Fortunel, C.; Hummel, I.; Garnier, E. Let the concept of trait be functional! Oikos 2007, 116, 882–892. [Google Scholar] [CrossRef]
- Carmona, C.P.; Tamme, R.; Pärtel, M.; de Bello, F.; Brosse, S.; Capdevila, P.; González, M.R.; González-Suárez, M.; Salguero-Gómez, R.; Vásquez-Valderrama, M.; et al. Erosion of global functional diversity across the tree of life. Sci. Adv. 2021, 7, eabf2675. [Google Scholar] [CrossRef] [PubMed]
- Wen, D.; Yang, L.; Ni, K.; Xu, X.; Yu, L.; Elrys, A.S.; Meng, L.; Zhou, J.; Zhu, T.; Müller, C. Topography-driven differences in soil N transformation constrain N availability in karst ecosystems. Sci. Total Environ. 2024, 908, 168363. [Google Scholar] [CrossRef] [PubMed]
- Wieczynski, D.J.; Boyle, B.; Buzzard, V.; Duran, S.M.; Henderson, A.N.; Hulshof, C.M.; Kerkhoff, A.J.; McCarthy, M.C.; Michaletz, S.T.; Swenson, N.G.; et al. Climate shapes and shifts functional biodiversity in forests worldwide. Proc. Natl. Acad. Sci. USA 2019, 116, 587–592. [Google Scholar] [CrossRef]
- Moreno-García, P.; Baiser, B. Assessing functional redundancy in Eurasian small mammal assemblages across multiple traits and biogeographic extents. Ecography 2021, 44, 320–333. [Google Scholar] [CrossRef]
- van Klink, R.; Lepš, J.; Vermeulen, R.; de Bello, F. Functional differences stabilize beetle communities by weakening interspecific temporal synchrony. Ecology 2019, 100, e02748. [Google Scholar] [CrossRef]
- de la Riva, E.G.; Marañón, T.; Violle, C.; Villar, R.; Pérez-Ramos, I.M. Biogeochemical and Ecomorphological Niche Segregation of Mediterranean Woody Species along a Local Gradient. Front. Plant Sci. 2017, 8, 1242. [Google Scholar] [CrossRef]
- Mason, N.W.H.; Richardson, S.J.; Peltzer, D.A.; de Bello, F.; Wardle, D.A.; Allen, R.B. Changes in coexistence mechanisms along a long-term soil chronosequence revealed by functional trait diversity. J. Ecol. 2012, 100, 678–689. [Google Scholar] [CrossRef]
- Yan, Z.; Tian, D.; Han, W.; Tang, Z.; Fang, J. An assessment on the uncertainty of the nitrogen to phosphorus ratio as a threshold for nutrient limitation in plants. Ann. Bot. 2017, 120, 937–942. [Google Scholar] [CrossRef] [PubMed]
- Sutton, L.; Mueter, F.J.; Bluhm, B.A.; Iken, K. Environmental Filtering Influences Functional Community Assembly of Epibenthic Communities. Front. Mar. Sci. 2021, 8, 736917. [Google Scholar] [CrossRef]
- Pu, X.; Jin, G. Conspecific and phylogenetic density-dependent survival differs across life stages in two temperate old-growth forests in Northeast China. For. Ecol. Manage. 2018, 424, 95–104. [Google Scholar] [CrossRef]





| The Climax Community Stage | ||
|---|---|---|
| Plot | Latitude | Longitude |
| Plot 1 | N 25°13′35.4214″ | E 107°55′32.5716″ |
| Plot 2 | N 25°13′46.0541″ | E 107°55′24.886″ |
| Plot 3 | N 25°13′57.5589″ | E 107°55′31.1625″ |
| Plot 4 | N 25°14′03.1122″ | E 107°55′31.6448″ |
| Plot 5 | N 25°14′06.9275″ | E 107°55′47.8362″ |
| Plot 6 | N 25°14′06.9104″ | E 107°55′37.0975″ |
| Plot 7 | N 25°11′57.85″ | E 107°55′00.5513″ |
| Plot 8 | N 25°11′59.0881″ | E 107°54′49.8178″ |
| Plot 9 | N 25°11′57.6824″ | E 107°54′44.1513″ |
| Plot 10 | N 25°11′58.6284″ | E 107°54′41.3917″ |
| The Later Successional Stage | ||
| Plot 1 | N 25°13′19.3901″ | E 107°55′38.6261″ |
| Plot 2 | N 25°13′30.3059″ | E 107°55′33.9436″ |
| Plot 3 | N 25°13′44.0249″ | E 107°55′23.4246″ |
| Plot 4 | N 25°13′44.3711″ | E 107°55′19.9305″ |
| Plot 5 | N 25°12′20.2604″ | E 107°54′53.083″ |
| Plot 6 | N 25°12′25.5062″ | E 107°54′57.4744″ |
| Plot 7 | N 25°12′25.7197″ | E 107°55′02.6021″ |
| Plot 8 | N 25°12′26.8994″ | E 107°55′10.1498″ |
| Plot 9 | N 25°12′25.1896″ | E 107°55′12.6783″ |
| Plot 10 | N 25°12′23.2695″ | E 107°55′10.9622″ |
| The Early Successional Stage | ||
| Plot 1 | N 25°14′37.0986″ | E 107°54′49.5986″ |
| Plot 2 | N 25°14′50.5256″ | E 107°54′57.8418″ |
| Plot 3 | N 25°14′55.6338″ | E 107°55′03.5412″ |
| Plot 4 | N 25°14′49.9546″ | E 107°55′04.8662″ |
| Plot 5 | N 25°15′00.1051″ | E 107°54′52.9726″ |
| Plot 6 | N 25°14′58.412″ | E 107°54′50.1893″ |
| Plot 7 | N 25°15′00.9103″ | E 107°54′51.9192″ |
| Plot 8 | N 25°14′30.8336″ | E 107°55′16.819″ |
| Plot 9 | N 25°14′36.1918″ | E 107°55′28.2332″ |
| Plot 10 | N 25°14′35.1714″ | E 107°55′21.322″ |
| Traits | Major Functional Relevance | Classification Criteria |
|---|---|---|
| Specific leaf area (SLA, cm2/g) | Light interception efficiency | 1. ≤125.6 cm2/g 2. 125.6–198.1 cm2/g 3. >198.1–546.9 cm2/g |
| Leaf dry matter content (LDMC, g/g) | Leaf defense | 1. ≤0.5 g/g 2. >0.5 g/g |
| Leaf thickness (LT, mm) | Leaf acclimatization | 1. ≤0.14 mm 2. 0.14–0.20 mm 3. >0.20 mm |
| Leaf carbon concentration (LCC, mg/g) | Growth capacity | 1. ≤407.5 mg/g 2. 407.5–458.6 mg/g 3. >458.6 mg/g |
| Leaf nitrogen concentration (LNC, mg/g) | Photosynthetic capacity | 1. ≤17.9 mg/g 2. 17.9–29.2 mg/g 3. >29.2 mg/g |
| Leaf phosphorus concentration (LPC, mg/g) | Growth and photosynthetic capacity | 1. ≤1.6 mg/g 2. >1.6 mg/g |
| Stages | The Climax Community Stage | The Later Successional Stage | The Early Successional Stage | ||||||
|---|---|---|---|---|---|---|---|---|---|
| Index | PC1 | PC2 | Explained | PC1 | PC2 | Explained | PC1 | PC2 | Explained |
| SLA | 0.777 | 0.016 | 0.793 | 0.767 | 0.018 | 0.785 | 0.760 | 0.002 | 0.762 |
| LDMC | 0.397 | 0.256 | 0.653 | 0.284 | 0.233 | 0.517 | 0.194 | 0.495 | 0.689 |
| LT | 0.344 | 0.368 | 0.711 | 0.390 | 0.295 | 0.685 | 0.594 | 0.142 | 0.736 |
| LCC | 0.205 | 0.419 | 0.624 | 0.033 | 0.565 | 0.597 | 0.097 | 0.500 | 0.597 |
| LNC | 0.606 | 0.036 | 0.642 | 0.614 | 0.003 | 0.617 | 0.663 | 0.028 | 0.691 |
| LPC | 0.552 | 0.000 | 0.552 | 0.334 | 0.034 | 0.368 | 0.316 | 0.059 | 0.375 |
| Response Variations | Variations | Parameter Estimates | Standardize Error | t-Value | p Value |
|---|---|---|---|---|---|
| Functional entity | Pfc | 0.6181 | 0.2449 | 2.5241 | * |
| Eca | 1.0674 | 0.4280 | 2.4937 | * | |
| Lfoc | 0.5954 | 0.1931 | 3.0838 | ** | |
| Poc | 0.9018 | 0.4948 | 1.8226 | 0.0808 | |
| Soc | −2.4594 | 0.7498 | −3.2801 | ** | |
| Functional redundancy | Ele | 0.2743 | 0.1372 | 1.9991 | 0.0575 |
| Pfc | 0.5063 | 0.2189 | 2.3135 | * | |
| Eca | −1.8868 | 0.3397 | −5.5535 | *** | |
| AK | 0.4065 | 0.1565 | 2.5978 | * | |
| pH | 1.9234 | 0.3307 | 5.8170 | *** | |
| TK | −0.6632 | 0.2138 | −3.1024 | ** | |
| Functional over-redundancy | pH | 1.8899 | 0.4497 | 4.2026 | *** |
| Poc | 0.6596 | 0.2662 | 2.4780 | * | |
| TP | −1.0425 | 0.3941 | −2.6456 | * | |
| Eca | −1.5966 | 0.3792 | −4.2104 | *** | |
| Functional vulnerability | Eca | 1.2767 | 0.2829 | 4.5122 | *** |
| AK | −0.3241 | 0.1361 | −2.3808 | ** | |
| pH | −2.1272 | 0.2726 | −7.8045 | *** | |
| TK | 0.5337 | 0.1822 | 2.9291 | ** |
Disclaimer/Publisher’s Note: The statements, opinions and data contained in all publications are solely those of the individual author(s) and contributor(s) and not of MDPI and/or the editor(s). MDPI and/or the editor(s) disclaim responsibility for any injury to people or property resulting from any ideas, methods, instructions or products referred to in the content. |
© 2025 by the authors. Licensee MDPI, Basel, Switzerland. This article is an open access article distributed under the terms and conditions of the Creative Commons Attribution (CC BY) license (https://creativecommons.org/licenses/by/4.0/).
Share and Cite
Li, Y.; Meng, L.; Chen, L.; Sui, M.; Zhang, G.; Liu, Q.; Chen, D.; Ding, F.; Zang, L. Inconsistent Variations in Components of Functional Stability Under Heterogeneous Conditions: A Case Study from the Maolan Karst Forest Ecosystems in Guizhou Province, Southwest of China. Forests 2025, 16, 304. https://doi.org/10.3390/f16020304
Li Y, Meng L, Chen L, Sui M, Zhang G, Liu Q, Chen D, Ding F, Zang L. Inconsistent Variations in Components of Functional Stability Under Heterogeneous Conditions: A Case Study from the Maolan Karst Forest Ecosystems in Guizhou Province, Southwest of China. Forests. 2025; 16(2):304. https://doi.org/10.3390/f16020304
Chicago/Turabian StyleLi, Yong, Longchenxi Meng, Luyao Chen, Mingzhen Sui, Guangqi Zhang, Qingfu Liu, Danmei Chen, Fangjun Ding, and Lipeng Zang. 2025. "Inconsistent Variations in Components of Functional Stability Under Heterogeneous Conditions: A Case Study from the Maolan Karst Forest Ecosystems in Guizhou Province, Southwest of China" Forests 16, no. 2: 304. https://doi.org/10.3390/f16020304
APA StyleLi, Y., Meng, L., Chen, L., Sui, M., Zhang, G., Liu, Q., Chen, D., Ding, F., & Zang, L. (2025). Inconsistent Variations in Components of Functional Stability Under Heterogeneous Conditions: A Case Study from the Maolan Karst Forest Ecosystems in Guizhou Province, Southwest of China. Forests, 16(2), 304. https://doi.org/10.3390/f16020304

