Prediction of Heat-Treated Wood Adhesive Strength Using BP Neural Networks Optimized by Four Novel Metaheuristic Algorithms
Abstract
1. Introduction
2. Materials and Methods
2.1. Data Collection and Preprocessing
2.2. The Principle of BP Neural Network
2.3. Meta-Heuristic Algorithms
2.3.1. Hippopotamus Optimization Algorithm (HO)
2.3.2. Parrot Optimization (PO)
2.3.3. Osprey Optimization Algorithm (OOA)
2.3.4. GOOSE Algorithm (GO)
2.4. Model Construction
2.5. Performance Assessment Measures
3. Results and Discussion
3.1. Model Prediction Results
3.2. Comparison with Previous Research Results
3.3. Performance Analysis in CEC Tests
4. Important Feature Visualization
5. Conclusions
- A predictive model for wood adhesive strength was developed using Python 3.9, employing four metaheuristic optimization algorithms based on BP neural networks for model search: Hippopotamus Optimization (HO), Parrot Optimization (PO), Osprey Optimization (OOA), and Goose Optimization (GO). Four prediction models were established: HO-BP, PO-BP, OOA-BP, and GO-BP. These models are designed to predict the adhesive strength of wood after heat treatment. Currently, the primary methods for measuring the adhesive strength of wood include shear strength tests, tensile strength tests, and bending strength tests. These testing procedures are often complex and require stringent sample size specifications. Furthermore, these methods can be time-consuming and may not fully reflect the bonding effectiveness between different types of wood and adhesives. As a result, while existing testing methods hold certain practical value, they also present inherent limitations. Therefore, the development of an accurate and effective model for estimating wood adhesive strength, alongside the advancement of more precise and efficient measurement techniques, is of paramount importance.
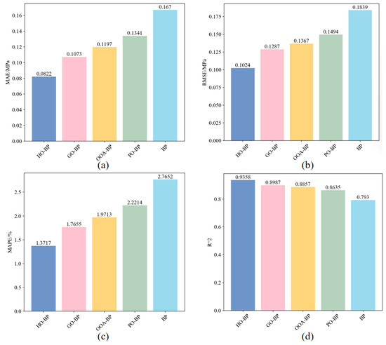
- The HO-BP model outperforms the others, demonstrating the lowest values for MAE, RMSE, and MAPE, as well as the highest R2. It is shown that it minimizes the prediction error and achieves high accuracy. This model can be employed for predicting the adhesive strength of heat-treated wood, offering distinct advantages and demonstrating robust generalization capabilities. Compared to the other three algorithms, the HO-BP model is more robust in terms of its reliability, generalizability, and ability to surpass local optima. However, when prediction models aim for higher accuracy, they often face trade-offs or limitations that warrant further investigation.
- An examination of the significance of five variables for predicting the bond strength of heat-treated wood was performed with XGBoost. The results revealed that cutting speed had the greatest impact on bond strength prediction, succeeded by treatment time, feed speed, and abrasive particle size. Interestingly, the treatment temperature was found to have the least effect on the predictions. These findings provide valuable insights into the factors influencing the bond strength of heat-treated wood.
- The research mainly focuses on specific wood types and adhesive systems. In the future, it is necessary to explore other wood species or adhesive systems to expand the applicability of the model. Different woods have significant differences in physical and chemical properties. The inclusion of new wood species may pose new challenges to the model’s performance, while exploring diversified adhesive systems will help further optimize the bonding effect and make the model more suitable for actual industrial needs, such as in furniture manufacturing, building materials, and other fields.
- On one hand, computational complexity, overfitting risk, and parameter tuning sensitivity need addressing. Computational complexity may impede large-scale data processing efficiency, overfitting weakens generalization, and parameter tuning sensitivity impacts stability. Future research should adopt refined optimization strategies to balance costs and performance, reduce overfitting, and enhance robustness. On the other hand, current research overlooks some external variables and potential data biases, restricting model generalizability. For example, environmental factors like humidity and temperature changes can impact wood bonding strength but are not fully considered. Future efforts should uncover these hidden factors, reduce biases, and boost model reliability in real scenarios.
- The statistical analysis of the research results is relatively weak, and only the existing data are presented, so the reliability of the evidence needs to be strengthened. Future research can implement statistical tests such as t-tests and analysis of variance to confirm the significance of performance improvements, providing a more solid theoretical basis for the advantages of the model and making the research conclusions more convincing.
Author Contributions
Funding
Data Availability Statement
Conflicts of Interest
Appendix A
| Treatment Temperature/° | Treatment Time/h | Feed Rate/m/min | Cutting Speed/m/s | Particle Size | Adhesion Strength/MPa |
|---|---|---|---|---|---|
| 190 | 2 | 16 | 4 | 100–150 | 5.54 |
| 210 | 2 | 16 | 4 | 100–150 | 5.96 |
| 190 | 2 | 16 | 6 | 100–150 | 5.94 |
| 210 | 2 | 16 | 6 | 100–150 | 5.64 |
| 190 | 2 | 20 | 4 | 100–150 | 7.26 |
| 210 | 2 | 20 | 4 | 100–150 | 6.83 |
| 190 | 2 | 20 | 6 | 100–150 | 6.17 |
| 210 | 2 | 20 | 6 | 100–150 | 5.48 |
| 190 | 4 | 16 | 4 | 100–150 | 5.02 |
| 210 | 4 | 16 | 4 | 100–150 | 5.04 |
| 190 | 4 | 16 | 6 | 100–150 | 5.93 |
| 210 | 4 | 16 | 6 | 100–150 | 6.17 |
| 190 | 4 | 20 | 4 | 100–150 | 5.86 |
| 210 | 4 | 20 | 4 | 100–150 | 6.17 |
| 190 | 4 | 20 | 6 | 100–150 | 5.99 |
| 210 | 4 | 20 | 6 | 100–150 | 6.05 |
| 180 | 3 | 18 | 5 | 100–150 | 6.45 |
| 220 | 3 | 18 | 5 | 100–150 | 6.15 |
| 200 | 3 | 18 | 3 | 100–150 | 6.34 |
| 200 | 3 | 18 | 7 | 100–150 | 6.11 |
| 200 | 3 | 14 | 5 | 100–150 | 4.95 |
| 200 | 3 | 22 | 5 | 100–150 | 6.15 |
| 200 | 1 | 18 | 5 | 100–150 | 5.71 |
| 200 | 5 | 18 | 5 | 100–150 | 5.17 |
| 200 | 3 | 18 | 5 | 100–150 | 5.75 |
| 200 | 3 | 18 | 5 | 100–150 | 5.59 |
| 200 | 3 | 18 | 5 | 100–150 | 5.94 |
| 200 | 3 | 18 | 5 | 100–150 | 6 |
| 200 | 3 | 18 | 5 | 100–150 | 6.04 |
| 200 | 3 | 18 | 5 | 100–150 | 5.96 |
| 200 | 3 | 18 | 5 | 100–150 | 6.15 |
| 190 | 2 | 16 | 4 | 100–150 | 6.18 |
| 210 | 2 | 16 | 4 | 100–150 | 5.76 |
| 190 | 2 | 16 | 6 | 100–150 | 5.68 |
| 210 | 2 | 16 | 6 | 100–150 | 5.95 |
| 190 | 2 | 20 | 4 | 100–150 | 7.56 |
| 210 | 2 | 20 | 4 | 100–150 | 7.09 |
| 190 | 2 | 20 | 6 | 100–150 | 6 |
| 210 | 2 | 20 | 6 | 100–150 | 5.78 |
| 190 | 4 | 16 | 4 | 100–150 | 4.38 |
| 210 | 4 | 16 | 4 | 100–150 | 5.14 |
| 190 | 4 | 16 | 6 | 100–150 | 6.23 |
| 210 | 4 | 16 | 6 | 100–150 | 5.79 |
| 190 | 4 | 20 | 4 | 100–150 | 6.11 |
| 210 | 4 | 20 | 4 | 100–150 | 5.95 |
| 190 | 4 | 20 | 6 | 100–150 | 5.96 |
| 210 | 4 | 20 | 6 | 100–150 | 5.82 |
| 180 | 3 | 18 | 5 | 100–150 | 6.89 |
| 220 | 3 | 18 | 5 | 100–150 | 5.84 |
| 200 | 3 | 18 | 3 | 100–150 | 5.65 |
| 200 | 3 | 18 | 7 | 100–150 | 6.04 |
| 200 | 3 | 14 | 5 | 100–150 | 5.77 |
| 200 | 3 | 22 | 5 | 100–150 | 6.48 |
| 200 | 1 | 18 | 5 | 100–150 | 5.94 |
| 200 | 5 | 18 | 5 | 100–150 | 4.56 |
| 200 | 3 | 18 | 5 | 100–150 | 5.94 |
| 200 | 3 | 18 | 5 | 100–150 | 5.56 |
| 200 | 3 | 18 | 5 | 100–150 | 5.99 |
| 200 | 3 | 18 | 5 | 100–150 | 6.08 |
| 200 | 3 | 18 | 5 | 100–150 | 6.16 |
| 200 | 3 | 18 | 5 | 100–150 | 5.64 |
| 200 | 3 | 18 | 5 | 100–150 | 6.11 |
| 190 | 2 | 16 | 4 | 100–150 | 6.04 |
| 210 | 2 | 16 | 4 | 100–150 | 5.58 |
| 190 | 2 | 16 | 6 | 100–150 | 6.05 |
| 210 | 2 | 16 | 6 | 100–150 | 5.79 |
| 190 | 2 | 20 | 4 | 100–150 | 7.09 |
| 210 | 2 | 20 | 4 | 100–150 | 6.78 |
| 190 | 2 | 20 | 6 | 100–150 | 5.79 |
| 210 | 2 | 20 | 6 | 100–150 | 5.31 |
| 190 | 4 | 16 | 4 | 100–150 | 4.97 |
| 210 | 4 | 16 | 4 | 100–150 | 5.06 |
| 190 | 4 | 16 | 6 | 100–150 | 5.84 |
| 210 | 4 | 16 | 6 | 100–150 | 6.01 |
| 190 | 4 | 16 | 4 | 100–120 | 6.67 |
| 210 | 2 | 16 | 4 | 100–120 | 6.41 |
| 190 | 2 | 16 | 6 | 100–120 | 6.05 |
| 210 | 2 | 16 | 6 | 100–120 | 5.62 |
| 190 | 2 | 20 | 4 | 100–120 | 7.01 |
| 210 | 2 | 20 | 4 | 100–120 | 6.91 |
| 190 | 2 | 20 | 6 | 100–120 | 5.17 |
| 210 | 2 | 20 | 6 | 100–120 | 4.74 |
| 190 | 4 | 16 | 4 | 100–120 | 6.33 |
| 210 | 4 | 16 | 4 | 100–120 | 5.84 |
| 190 | 4 | 16 | 6 | 100–120 | 6.76 |
| 210 | 4 | 16 | 6 | 100–120 | 6.49 |
| 190 | 4 | 20 | 4 | 100–120 | 6.24 |
| 210 | 4 | 20 | 4 | 100–120 | 6.29 |
| 190 | 4 | 20 | 6 | 100–120 | 5.57 |
| 210 | 4 | 20 | 6 | 100–120 | 5.26 |
| 180 | 3 | 18 | 5 | 100–120 | 6.62 |
| 220 | 3 | 18 | 5 | 100–120 | 6.29 |
| 200 | 3 | 18 | 3 | 100–120 | 7.1 |
| 200 | 3 | 18 | 7 | 100–120 | 5.44 |
| 200 | 3 | 14 | 5 | 100–120 | 6.45 |
| 200 | 3 | 22 | 5 | 100–120 | 5.97 |
| 200 | 1 | 18 | 5 | 100–120 | 5.64 |
| 200 | 5 | 18 | 5 | 100–120 | 5.44 |
| 200 | 3 | 18 | 5 | 100–120 | 6.45 |
| 200 | 3 | 18 | 5 | 100–120 | 6.22 |
| 200 | 3 | 18 | 5 | 100–120 | 5.97 |
| 200 | 3 | 18 | 5 | 100–120 | 6.37 |
| 200 | 3 | 18 | 5 | 100–120 | 6.25 |
| 200 | 3 | 18 | 5 | 100–120 | 6.7 |
| 200 | 3 | 18 | 5 | 100–120 | 6.33 |
| 190 | 2 | 16 | 4 | 100–120 | 6.81 |
| 210 | 2 | 16 | 4 | 100–120 | 6.85 |
| 190 | 2 | 16 | 6 | 100–120 | 6.83 |
| 210 | 2 | 16 | 6 | 100–120 | 6.36 |
| 190 | 2 | 20 | 4 | 100–120 | 7.08 |
| 210 | 2 | 20 | 4 | 100–120 | 7.1 |
| 190 | 2 | 20 | 6 | 100–120 | 5.43 |
| 210 | 2 | 20 | 6 | 100–120 | 4.95 |
| 190 | 4 | 16 | 4 | 100–120 | 6.15 |
| 210 | 4 | 16 | 4 | 100–120 | 5.93 |
| 190 | 4 | 16 | 6 | 100–120 | 6.74 |
| 210 | 4 | 16 | 6 | 100–120 | 6.63 |
| 190 | 4 | 20 | 4 | 100–120 | 6.67 |
| 210 | 4 | 20 | 4 | 100–120 | 6.42 |
| 190 | 4 | 20 | 6 | 100–120 | 5.48 |
| 210 | 4 | 20 | 6 | 100–120 | 4.94 |
| 180 | 3 | 18 | 5 | 100–120 | 6.52 |
| 220 | 3 | 18 | 5 | 100–120 | 6.22 |
| 200 | 3 | 18 | 3 | 100–120 | 7.26 |
| 200 | 3 | 18 | 7 | 100–120 | 5.8 |
| 200 | 3 | 14 | 5 | 100–120 | 6.84 |
| 200 | 3 | 22 | 5 | 100–120 | 5.84 |
| 200 | 1 | 18 | 5 | 100–120 | 5.96 |
| 200 | 5 | 18 | 5 | 100–120 | 5.48 |
| 200 | 3 | 18 | 5 | 100–120 | 5.95 |
| 200 | 3 | 18 | 5 | 100–120 | 6.42 |
| 200 | 3 | 18 | 5 | 100–120 | 6.41 |
| 200 | 3 | 18 | 5 | 100–120 | 6.64 |
| 200 | 3 | 18 | 5 | 100–120 | 6.55 |
| 200 | 3 | 18 | 5 | 100–120 | 6.34 |
| 200 | 3 | 18 | 5 | 100–120 | 6.36 |
| 190 | 2 | 16 | 4 | 100–120 | 6.89 |
| 210 | 2 | 16 | 4 | 100–120 | 6.76 |
| 190 | 2 | 16 | 6 | 100–120 | 6.31 |
| 210 | 2 | 16 | 6 | 100–120 | 6.12 |
| 190 | 2 | 20 | 4 | 100–120 | 7.73 |
| 210 | 2 | 20 | 4 | 100–120 | 7.06 |
| 190 | 2 | 20 | 6 | 100–120 | 5.74 |
| 210 | 2 | 20 | 6 | 100–120 | 4.95 |
| 190 | 4 | 16 | 4 | 100–120 | 5.63 |
| 210 | 4 | 16 | 4 | 100–120 | 5.93 |
| 190 | 4 | 16 | 6 | 100–120 | 6.81 |
| 210 | 4 | 16 | 6 | 100–120 | 6.7 |
| 190 | 4 | 20 | 4 | 100–120 | 5.86 |
| 210 | 4 | 20 | 4 | 100–150 | 6.14 |
| 190 | 4 | 20 | 6 | 100–150 | 5.82 |
| 210 | 4 | 20 | 6 | 100–150 | 5.39 |
| 210 | 3 | 18 | 5 | 100–150 | 6.28 |
| 190 | 3 | 18 | 5 | 100–150 | 6.3 |
| 210 | 3 | 18 | 3 | 100–150 | 6.13 |
| 180 | 3 | 18 | 7 | 100–150 | 6.07 |
| 220 | 3 | 14 | 5 | 100–150 | 5.71 |
| 200 | 3 | 22 | 5 | 100–150 | 6.67 |
| 200 | 1 | 18 | 5 | 100–150 | 5.74 |
| 200 | 5 | 18 | 5 | 100–150 | 5.06 |
| 200 | 3 | 18 | 5 | 100–150 | 6.05 |
| 200 | 3 | 18 | 5 | 100–150 | 6.06 |
| 200 | 3 | 18 | 5 | 100–150 | 5.68 |
| 200 | 3 | 18 | 5 | 100–150 | 6.06 |
| 200 | 3 | 18 | 5 | 100–150 | 6.02 |
| 200 | 3 | 18 | 5 | 100–150 | 5.82 |
| 200 | 3 | 18 | 5 | 100–150 | 6.13 |
| 200 | 4 | 20 | 4 | 100–120 | 6 |
| 200 | 4 | 20 | 4 | 100–120 | 6.12 |
| 200 | 4 | 20 | 6 | 100–120 | 5.2 |
| 190 | 4 | 20 | 6 | 100–120 | 5.21 |
| 210 | 3 | 18 | 5 | 100–120 | 6.38 |
| 190 | 3 | 18 | 5 | 100–120 | 6.38 |
| 210 | 3 | 18 | 3 | 100–120 | 6.85 |
| 180 | 3 | 18 | 7 | 100–120 | 5.75 |
| 220 | 3 | 14 | 5 | 100–120 | 6.35 |
| 200 | 3 | 22 | 5 | 100–120 | 5.76 |
| 200 | 1 | 18 | 5 | 100–120 | 5.77 |
| 200 | 5 | 18 | 5 | 100–120 | 5.73 |
| 200 | 3 | 18 | 5 | 100–120 | 6.25 |
| 200 | 3 | 18 | 5 | 100–120 | 6.34 |
| 200 | 3 | 18 | 5 | 100–120 | 6.32 |
| 200 | 3 | 18 | 5 | 100–120 | 6.33 |
| 200 | 3 | 18 | 5 | 100–120 | 6.64 |
| 200 | 3 | 18 | 5 | 100–120 | 6.33 |
| 200 | 3 | 18 | 5 | 100–120 | 6.52 |
| Number of Hidden Layer Neurons | Activate Functions | Average Score | First-Fold Score | Second-Fold Score | Third-Fold Score | Fourth-Fold Score | Fifth-Fold Score |
|---|---|---|---|---|---|---|---|
| 4 | tansig-purelin | 0.1716 | 0.1324 | 0.1847 | 0.1601 | 0.1687 | 0.2122 |
| tansig-sigmod | 0.1945 | 0.1632 | 0.2271 | 0.2219 | 0.1580 | 0.2020 | |
| sigmod-purelin | 0.1650 | 0.1688 | 0.1284 | 0.2063 | 0.1984 | 0.1231 | |
| sigmod-sigmod | 0.1715 | 0.1629 | 0.1913 | 0.1634 | 0.1487 | 0.1912 | |
| relu-purelin | 0.1601 | 0.1601 | 0.1347 | 0.1608 | 0.1377 | 0.2073 | |
| relu-sigmod | 0.1780 | 0.1625 | 0.2032 | 0.2144 | 0.1545 | 0.1554 | |
| 5 | tansig-purelin | 0.0742 | 0.0737 | 0.0884 | 0.0630 | 0.0714 | 0.0748 |
| tansig-sigmod | 0.0770 | 0.0660 | 0.0883 | 0.0717 | 0.0726 | 0.0865 | |
| sigmod-purelin | 0.0674 | 0.0534 | 0.0650 | 0.0574 | 0.0851 | 0.0760 | |
| sigmod-sigmod | 0.0820 | 0.0883 | 0.0825 | 0.0718 | 0.0837 | 0.0838 | |
| relu-purelin | 0.0763 | 0.0732 | 0.0763 | 0.0642 | 0.0877 | 0.0801 | |
| relu-sigmod | 0.0691 | 0.0535 | 0.0573 | 0.0589 | 0.0896 | 0.0859 | |
| 6 | tansig-purelin | 0.0457 | 0.0495 | 0.0455 | 0.0415 | 0.0520 | 0.0400 |
| tansig-sigmod | 0.0515 | 0.0453 | 0.0420 | 0.0553 | 0.0574 | 0.0577 | |
| sigmod-purelin | 0.0478 | 0.0534 | 0.0493 | 0.0420 | 0.0529 | 0.0411 | |
| sigmod-sigmod | 0.0501 | 0.0534 | 0.0517 | 0.0593 | 0.0427 | 0.0433 | |
| relu-purelin | 0.0525 | 0.0565 | 0.0555 | 0.0598 | 0.0429 | 0.0479 | |
| relu-sigmod | 0.0481 | 0.0502 | 0.0429 | 0.0551 | 0.0455 | 0.0469 | |
| 7 | tansig-purelin | 0.0445 | 0.0469 | 0.0478 | 0.0506 | 0.0438 | 0.0336 |
| tansig-sigmod | 0.0441 | 0.0341 | 0.0457 | 0.0410 | 0.0493 | 0.0505 | |
| sigmod-purelin | 0.0509 | 0.0463 | 0.0557 | 0.0510 | 0.0457 | 0.0557 | |
| sigmod-sigmod | 0.0403 | 0.0380 | 0.0413 | 0.0576 | 0.0340 | 0.0306 | |
| relu-purelin | 0.0498 | 0.0598 | 0.0588 | 0.0532 | 0.0328 | 0.0444 | |
| relu-sigmod | 0.0430 | 0.0410 | 0.0412 | 0.0344 | 0.0581 | 0.0405 | |
| 8 | tansig-purelin | 0.0502 | 0.0427 | 0.0571 | 0.0506 | 0.0557 | 0.0447 |
| tansig-sigmod | 0.0431 | 0.0415 | 0.0442 | 0.0440 | 0.0372 | 0.0485 | |
| sigmod-purelin | 0.0490 | 0.0383 | 0.0475 | 0.0476 | 0.0548 | 0.0570 | |
| sigmod-sigmod | 0.0406 | 0.0342 | 0.0516 | 0.0347 | 0.0334 | 0.0492 | |
| relu-purelin | 0.0480 | 0.0449 | 0.0568 | 0.0571 | 0.0460 | 0.0350 | |
| relu-sigmod | 0.0426 | 0.0510 | 0.0532 | 0.0420 | 0.0326 | 0.0344 | |
| 9 | tansig-purelin | 0.0287 | 0.0303 | 0.0255 | 0.0350 | 0.0291 | 0.0238 |
| tansig-sigmod | 0.0241 | 0.0239 | 0.0249 | 0.0226 | 0.0207 | 0.0285 | |
| sigmod-purelin | 0.0228 | 0.0262 | 0.0177 | 0.0166 | 0.0261 | 0.0277 | |
| sigmod-sigmod | 0.0228 | 0.0208 | 0.0227 | 0.0181 | 0.0197 | 0.0325 | |
| relu-purelin | 0.0234 | 0.0234 | 0.0181 | 0.0160 | 0.0285 | 0.0311 | |
| relu-sigmod | 0.0282 | 0.0322 | 0.0260 | 0.0298 | 0.0330 | 0.0198 | |
| 10 | tansig-purelin | 0.0365 | 0.0453 | 0.0388 | 0.0317 | 0.0232 | 0.0436 |
| tansig-sigmod | 0.0356 | 0.0331 | 0.0328 | 0.0285 | 0.0422 | 0.0413 | |
| sigmod-purelin | 0.0329 | 0.0218 | 0.0327 | 0.0458 | 0.0405 | 0.0236 | |
| sigmod-sigmod | 0.0388 | 0.0486 | 0.0439 | 0.0491 | 0.0275 | 0.0250 | |
| relu-purelin | 0.0385 | 0.0493 | 0.0347 | 0.0425 | 0.0262 | 0.0396 | |
| relu-sigmod | 0.0352 | 0.0452 | 0.0415 | 0.0246 | 0.0395 | 0.0251 | |
| 11 | tansig-purelin | 0.0336 | 0.0446 | 0.0299 | 0.0446 | 0.0242 | 0.0246 |
| tansig-sigmod | 0.0357 | 0.0390 | 0.0474 | 0.0362 | 0.0246 | 0.0314 | |
| sigmod-purelin | 0.0347 | 0.0278 | 0.0305 | 0.0339 | 0.0438 | 0.0373 | |
| sigmod-sigmod | 0.0368 | 0.0448 | 0.0326 | 0.0322 | 0.0346 | 0.0398 | |
| relu-purelin | 0.0357 | 0.0450 | 0.0334 | 0.0323 | 0.0430 | 0.0248 | |
| relu-sigmod | 0.0335 | 0.0344 | 0.0292 | 0.0300 | 0.0362 | 0.0380 | |
| 12 | tansig-purelin | 0.0340 | 0.0243 | 0.0421 | 0.0288 | 0.0443 | 0.0305 |
| tansig-sigmod | 0.0342 | 0.0279 | 0.0457 | 0.0344 | 0.0220 | 0.0412 | |
| sigmod-purelin | 0.0344 | 0.0204 | 0.0459 | 0.0469 | 0.0380 | 0.0206 | |
| sigmod-sigmod | 0.0339 | 0.0451 | 0.0212 | 0.0371 | 0.0278 | 0.0382 | |
| relu-purelin | 0.0404 | 0.0281 | 0.0496 | 0.0411 | 0.0332 | 0.0498 | |
| relu-sigmod | 0.0271 | 0.0254 | 0.0333 | 0.0268 | 0.0297 | 0.0201 | |
| 13 | tansig-purelin | 0.0387 | 0.0305 | 0.0421 | 0.0390 | 0.0390 | 0.0429 |
| tansig-sigmod | 0.0283 | 0.0352 | 0.0265 | 0.0256 | 0.0264 | 0.0279 | |
| sigmod-purelin | 0.0391 | 0.0466 | 0.0407 | 0.0376 | 0.0319 | 0.0385 | |
| sigmod-sigmod | 0.0362 | 0.0347 | 0.0383 | 0.0239 | 0.0424 | 0.0420 | |
| relu-purelin | 0.0333 | 0.0358 | 0.0356 | 0.0293 | 0.0370 | 0.0288 | |
| relu-sigmod | 0.0372 | 0.0301 | 0.0431 | 0.0261 | 0.0470 | 0.0397 |
References
- Mirski, R.; Dziurka, D.; Chuda-Kowalska, M.; Wieruszewski, M.; Kawalerczyk, J.; Trociński, A. The Usefulness of Pine Timber (Pinus sylvestris L.) for the Production of Structural Elements. Part I: Evaluation of the Quality of the Pine Timber in the Bending Test. Materials 2020, 13, 3957. [Google Scholar] [CrossRef] [PubMed]
- Arriaga, F.; Wang, X.; Íñiguez-González, G.; Llana, D.F.; Esteban, M.; Niemz, P. Mechanical Properties of Wood: A Review. Forests 2023, 14, 1202. [Google Scholar] [CrossRef]
- Borůvka, V.; Šedivka, P.; Novák, D.; Holeček, T.; Turek, J. Haptic and Aesthetic Properties of Heat-Treated Modified Birch Wood. Forests 2021, 12, 1081. [Google Scholar] [CrossRef]
- Jirouš-Rajković, V.; Miklečić, J. Heat-Treated Wood as a Substrate for Coatings, Weathering of Heat-Treated Wood, and Coating Performance on Heat-Treated Wood. Adv. Mater. Sci. Eng. 2019, 1, 8621486. [Google Scholar]
- Ma, Z.L.; Li, J.N.; Lei, Y.F.; Yang, Q.; Zhang, B.J. Study on Bonding Capacity of the Rubber Wood. J. Northwest For. Coll. 2011, 26, 138–140. [Google Scholar]
- Gurleyen, L.; Ayata, U.; Esteves, B.; Gurleyen, T.; Cakicier, N. Effects of Thermal Modification of Oak Wood Upon Selected Properties of Coating Systems. Bioresources 2019, 14, 1838–1849. [Google Scholar] [CrossRef]
- Hazir, E.; Ozcan, T.; Koç, K.H. Prediction of Adhesion Strength Using Extreme Learning Machine and Support Vector Regression Optimized with Genetic Algorithm. Arab. J. Sci. Eng. 2020, 45, 6985–7004. [Google Scholar] [CrossRef]
- Herrera, R.; Muszy´nska, M.; Krystofiak, T.; Labidi, J. Comparative evaluation of different thermally modified wood samples finishing with UV-curable and waterborne coatings. Appl. Surf. Sci. 2015, 357, 1444–1453. [Google Scholar] [CrossRef]
- Moghadamzadeh, H.; Rahimi, H.; Asadollahzadeh, M.; Hemmati, A.R. Surface treatment of wood polymer composites for adhesive bonding. Int. J. Adhes. Adhes. 2011, 31, 816–821. [Google Scholar] [CrossRef]
- Dilik, T.; Erdinler, S.; HazJr, E.; Koç, H.; Hiziroglu, S. Adhesion Strength of Wood Based Composites Coated with Cellulosic and Polyurethane Paints. Adv. Mater. Sci. Eng. 2015, 2015, 745675. [Google Scholar] [CrossRef]
- Li, W.Z.; Liu, C.H.; Wang, X.Z.; Van Acker, J.; Mei, C.T.; Van den Bulcke, J.; Van Acker, J. Understanding the impact of wood type and moisture on the bonding strength of glued wood. Wood Mater. Sci. Eng. 2023, 18, 303–313. [Google Scholar] [CrossRef]
- Gurr, J.; Barbu, M.C.; Frühwald, A.; Chaowana, P. The bond strength development of coconut wood in relation to its density variations. J. Adhes. 2022, 98, 1520–1533. [Google Scholar] [CrossRef]
- Chen, S.; Wang, J.P.; Liu, Y.X.; Chen, Z.J.; Lei, Y.F.; Yan, L. The relationship between color and mechanical properties of heat-treated wood predicted based on support vector machines model. Holzforschung 2023, 76, 994–1002. [Google Scholar] [CrossRef]
- Guan, X.M.; Li, W.F.; Huang, Q.L.; Huang, J.Y. Intelligent color matching model for wood dyeing using Genetic Algorithm and Extreme learning machine. J. Intell. Fuzzy Syst. 2022, 42, 4907–4917. [Google Scholar] [CrossRef]
- Rahimi, S.; Avramidis, S. Predicting moisture content in kiln dried timbers using machine learning. Eur. J. Wood Wood Prod. 2022, 80, 681–692. [Google Scholar] [CrossRef]
- Ye, J.Y.; Yang, Z.X.; Li, Z.L. Quadratic hyper—Surface kernel—Free least squares support vector regression. Intell. Data Anal. 2021, 25, 265–281. [Google Scholar] [CrossRef]
- Zhang, Y.O.; Dai, Y.W.; Wu, Q.B. A Novel Regularization Paradigm for the Extreme Learning Machine. Neural Process. Lett. 2023, 55, 7009–7033. [Google Scholar] [CrossRef]
- Ergün, H.; Ergün, M.E. Modeling Xanthan Gum Foam’s Material Properties Using Machine Learning Methods. Polymers 2024, 16, 740. [Google Scholar] [CrossRef]
- Wang, Q.H.; Wang, W.; He, Y.; Li, M. Prediction of Physical and Mechanical Properties of Heat-Treated Wood Based on the Improved Beluga Whale Optimisation Back Propagation (IBWO-BP) Neural Network. Forests 2024, 15, 687. [Google Scholar] [CrossRef]
- Hu, J.H.; Huang, Y.L.; Zhang, J.; Wang, Q.H.; Zhou, X.L.; Ma, J.W. Wall thickness prediction of steel pipe during tension reduction based on double hidden layer BP neural network optimized by sparrow search algorithm. J. Plast. Eng. 2022, 29, 145–151. [Google Scholar]
- Chai, H.J.; Chen, X.M.; Cai, Y.C.; Zhao, J.Y. Artificial Neural Network Modeling for Predicting Wood Moisture Content in High Frequency Vacuum Drying Process. Forests 2019, 10, 16. [Google Scholar] [CrossRef]
- Nguyen, T.H.V.; Nguyen, T.T.; Ji, X.D.; Guo, M.H. Predicting Color Change in Wood During Heat Treatment Using an Artificial Neural Network Model. Bioresources 2018, 13, 6250–6264. [Google Scholar] [CrossRef]
- Yang, H.; Cheng, W.L.; Han, G.P. Wood Modification at High Temperature and Pressurized Steam: A Relational Model of Mechanical Properties Based on a Neural Network. BioResources 2015, 10, 5758–5776. [Google Scholar] [CrossRef]
- Zeng, G.S.; Hu, C.; Zou, S.M.; Zhang, L.; Sun, G. BP neural network model for predicting the mechanical performance of a foamed wood-Fiber reinforced thermoplastic starch composite. Polym. Compos. 2019, 40, 3923–3928. [Google Scholar] [CrossRef]
- Wan, Z.H.; Yang, H.; Xu, J.P.; Mu, H.B.; Qi, D.W. BACNN: Multi-scale feature fusion-based bilinear attention convolutional neural network for wood NIR classification. J. For. Res. 2024, 35, 4. [Google Scholar] [CrossRef]
- Rajwar, K.; Deep, K.; Das, S. An exhaustive review of the metaheuristic algorithms for search and optimization: Taxonomy, applications, and open challenges. Artif. Intell. Rev. 2023, 56, 13187–13257. [Google Scholar] [CrossRef]
- Katoch, S.; Chauhan, S.S.; Kumar, V. A review on genetic algorithm: Past, present, and future. Multimed. Tools Appl. 2021, 80, 8091–8126. [Google Scholar] [CrossRef]
- Zhang, Y.D.; Wang, S.H.; Ji, G.L. A Comprehensive Survey on Particle Swarm Optimization Algorithm and Its Applications. Math. Probl. Eng. 2015, 931256, 8091–8126. [Google Scholar] [CrossRef]
- Al-Betar, M.A.; Awadallah, M.A.; Braik, M.S.; Makhadmeh, S.; Doush, I.A. Elk herd optimizer: A novel nature-inspired metaheuristic algorithm. Artif. Intell. Rev. 2024, 57, 48. [Google Scholar] [CrossRef]
- Amiri, M.H.; Hashjin, N.M.; Montazeri, M.; Mirjalili, S.; Khodadadi, N. Hippopotamus optimization algorithm: A novel nature-inspired optimization algorithm. Sci. Rep. 2024, 14, 5032. [Google Scholar] [CrossRef]
- Lian, J.B.; Hui, G.H.; Ma, L.; Zhu, T.; Wu, X.C.; Heidari, A.A.; Chen, Y.; Chen, H.L. Parrot optimizer: Algorithm and applications to medical problems. Comput. Biol. Med. 2024, 172, 108064. [Google Scholar] [CrossRef] [PubMed]
- Alqahtani, A.H.; Fahmy, H.M.; Hasanien, H.M.; Tostado-Véliz, M.; Alkuhayli, A.; Jurado, F. Parameters estimation and sensitivity analysis of lithium-ion battery model uncertainty based on osprey optimization algorithm. Energy 2024, 304, 132204. [Google Scholar] [CrossRef]
- Xiao, L.C.; Chen, J.H.; He, X.Y.; Zhang, X.Q.; Luo, W. Whole—Transcriptome sequencing revealed the ceRNA regulatory network during the proliferation and differentiation of goose myoblast. Poult. Sci. 2024, 103, 104173. [Google Scholar] [CrossRef] [PubMed]
- Mohammed, A.A.; Abu Doush, I.; Al-Betar, M.A.; Malik, S.B. Chapter 19—Metaheuristics for optimizing weights in neural networks. Compr. Metaheuristics 2023, 19, 359–377. [Google Scholar]
- Wang, Y.K.; Sun, X.S.; Wen, T.; Wang, L.Q. Step-Like displacement prediction of reservoir landslides based on a metaheuristic—Optimized KELM: A comparative study. Bull. Eng. Geol. Environ. 2024, 83, 322. [Google Scholar] [CrossRef]
- Urkude, N.; Hora, M.S.; Utkarsh. Enhancing machine learning models with metaheuristic Optimization techniques for accurate prediction of PSC in FRP—Reinforced concrete slabs. Mech. Adv. Mater. Struct. 2024, 1–17. [Google Scholar] [CrossRef]
- Li, N.; Wang, W. Prediction of Mechanical Properties of Thermally ModifiedWood Based on TSSA-BPModel. Forests 2022, 13, 160. [Google Scholar] [CrossRef]
- Wang, Y.; Wang, W.; Chen, Y. Carnivorous Plant Algorithm and BP to Predict Optimum Bonding Strength of Heat-T reated Woods. Forests 2023, 14, 51. [Google Scholar] [CrossRef]
- Khan, M.; Ullah, Z.; Mašek, O.; Naqvi, S.R.; Khan MN, A. Artificial neural networks for the prediction of biochar yield: A comparative study of metaheuristic algorithms. Bioresour. Technol. 2022, 355, 127215. [Google Scholar] [CrossRef]
- He, Y.; Wang, W.; Cao, Y.; Wang, Q.H.; Li, M. Prediction of Bonding Strength of Heat-Treated Wood Based on an Improved Harris Hawk Algorithm Optimized BP Neural Network Model (IHHO-BP). Forests 2024, 15, 1365. [Google Scholar] [CrossRef]






| Model | MAE/MPa | RMSE/MPa | MAPE/% | R2 |
|---|---|---|---|---|
| HO-BP | 0.0822 | 0.1024 | 1.1317 | 0.9358 |
| GO-BP | 0.1073 | 0.1287 | 1.7655 | 0.8978 |
| OOA-BP | 0.1197 | 0.1367 | 1.9713 | 0.8857 |
| PO-BP | 0.1341 | 0.1494 | 2.2214 | 0.8635 |
| BP | 0.1670 | 0.1839 | 2.7652 | 0.7930 |
| Model | MAE/MPa | RMSE/MPa | MAPE/% | R2 |
|---|---|---|---|---|
| LR | 0.2754 | 0.3553 | 4.7247 | 0.2545 |
| ELM | 0.2085 | 0.2658 | 3.3458 | 0.5975 |
| SVR | 0.1742 | 0.2015 | 2.7752 | 0.7394 |
| GA-SVR | 0.1448 | 0.1765 | 2.5741 | 0.8148 |
| CPA-BP | 0.1279 | 0.1382 | 2.0524 | 0.8935 |
| HO-BP | 0.0822 | 0.1024 | 1.1317 | 0.9358 |
| Function | Formula | Dim | Search Range | Best Value |
|---|---|---|---|---|
| F1 | 10/20 | [−100, 100] | 300 | |
| F3 | 10/20 | [−100, 100] | 600 | |
| F7 | 10/20 | [−100, 100] | 2000 | |
| F9 | 10/20 | [−100, 100] | 2300 |
Disclaimer/Publisher’s Note: The statements, opinions and data contained in all publications are solely those of the individual author(s) and contributor(s) and not of MDPI and/or the editor(s). MDPI and/or the editor(s) disclaim responsibility for any injury to people or property resulting from any ideas, methods, instructions or products referred to in the content. |
© 2025 by the authors. Licensee MDPI, Basel, Switzerland. This article is an open access article distributed under the terms and conditions of the Creative Commons Attribution (CC BY) license (https://creativecommons.org/licenses/by/4.0/).
Share and Cite
Cao, Y.; Wang, W.; He, Y. Prediction of Heat-Treated Wood Adhesive Strength Using BP Neural Networks Optimized by Four Novel Metaheuristic Algorithms. Forests 2025, 16, 291. https://doi.org/10.3390/f16020291
Cao Y, Wang W, He Y. Prediction of Heat-Treated Wood Adhesive Strength Using BP Neural Networks Optimized by Four Novel Metaheuristic Algorithms. Forests. 2025; 16(2):291. https://doi.org/10.3390/f16020291
Chicago/Turabian StyleCao, Ying, Wei Wang, and Yan He. 2025. "Prediction of Heat-Treated Wood Adhesive Strength Using BP Neural Networks Optimized by Four Novel Metaheuristic Algorithms" Forests 16, no. 2: 291. https://doi.org/10.3390/f16020291
APA StyleCao, Y., Wang, W., & He, Y. (2025). Prediction of Heat-Treated Wood Adhesive Strength Using BP Neural Networks Optimized by Four Novel Metaheuristic Algorithms. Forests, 16(2), 291. https://doi.org/10.3390/f16020291
