Lower Contents of Soil Organic Matter, Macro-Nutrients, and Trace Metal Elements in the Longleaf Pine Forests Restored from the Mixed Pine and Hardwood Forests
Abstract
1. Introduction
2. Material and Methods
2.1. Study Area
2.2. Treatments
2.3. Soil Sample Analysis
2.4. Litter Production
2.5. Statistical Methods
3. Results
3.1. Comparison of the Contents of Soil Organic Matter and Nutrients in LPFs and MPHF
3.2. Correlations Among Soil Organic Matter, Macro-Nutrients, and Trace Metal Elements at the Treatment Level
3.3. Correlations Among the Contents in Soil Organic Matter, Macro-Nutrients, and Trace Metal Elements Across All Samples
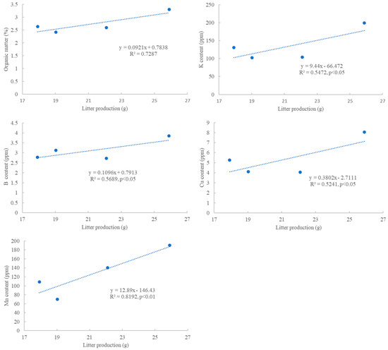
3.4. Comparison of Litter Production Between LPFs and MPHF
4. Discussion
5. Conclusions
Funding
Data Availability Statement
Acknowledgments
Conflicts of Interest
References
- Hodges, A.W. The naval stores industry. In The Longleaf Pine Ecosystem: Ecology, Silviculture, and Restoration; Jose, S., Jokela, E.J., Miller, D.L., Eds.; Springer: New York, NY, USA, 2006; pp. 43–48. [Google Scholar]
- Jose, S.; Jokela, E.J.; Miller, D.L. The Longleaf Pine Ecosystem: An overview. In The Longleaf Pine Ecosystem: Ecology, Silviculture, and Restoration; Jose, S., Jokela, E.J., Miller, D.L., Eds.; Springer: New York, NY, USA, 2006; pp. 3–8. [Google Scholar]
- Frost, C.C. History and future of the longleaf pine ecosystem. In The Longleaf Pine Ecosystem: Ecology, Silviculture, and Restoration; Jose, S., Jokela, E.J., Miller, D.L., Eds.; Springer: New York, NY, USA, 2006; pp. 9–42. [Google Scholar]
- Outcalt, K.W.; Sheffield, R.M. The Longleaf Pine Forest: Trends and Current Conditions; Resource Bulletin SRS-9; USDA Forest Service, Southern Research Station: Asheville, NC, USA, 1996. [Google Scholar]
- Platt, W.J.; Carr, S.M.; Reilly, M.; Fahr, J. Pine savanna overstorey influences on ground-cover biodiversity. Appl. Veg. Sci. 2016, 9, 37–50. [Google Scholar] [CrossRef]
- Rother, M.T.; Huffman, J.M.; Guiterman, C.H.; Robertson, K.M.; Jones, N. A history of recurrent, low-severity fire without fire exclusion in southeastern pine savannas, USA. For. Ecol. Manag. 2020, 475, 118406. [Google Scholar] [CrossRef]
- USDA Natural Resource Conservation Service (NRCS). Longleaf Pine Ecosystem Restoration; FY20-24 Implementation Strategy; USDA: Washington, DC, USA, 2020. [Google Scholar]
- Guldin, J.M. Restoration of native fire-adapted southern pine-dominated forest ecosystems: Diversifying the tools in the silvicultural toolbox. For. Sci. 2019, 65, 508–518. [Google Scholar] [CrossRef]
- Guo, L.B.; Gifford, R.M. Soil carbon stocks and land use change: A meta analysis. Glob. Chang. Biol. 2002, 8, 345–360. [Google Scholar] [CrossRef]
- de Blécourt, M.; Brumme, R.; Xu, J.; Corre, M.D.; Veldkamp, E. Soil carbon stocks decrease following conversion of secondary forests to rubber (Hevea brasiliensis) plantations. PLoS ONE 2013, 8, e69357. [Google Scholar] [CrossRef]
- van Straatena, O.; Correa, M.D.; Wolfa, K.; Tchienkouab, M.; Cuellarc, E.; Matthewsd, R.B.; Veldkampa, E. Conversion of lowland tropical forests to tree cash crop plantations loses up to one-half of stored soil organic carbon. Proc. Natl. Acad. Sci. USA 2015, 112, 9956–9960. [Google Scholar] [CrossRef]
- Powers, J.S.; Corre, M.D.; Twine, T.E.; Veldkamp, E. Geographic bias of field observations of soil carbon stocks with tropical land-use changes precludes spatial extrapolation. Proc. Natl. Acad. Sci. USA 2011, 108, 6318–6322. [Google Scholar] [CrossRef]
- Chen, X.; Li, B.-L. Change in soil carbon and nutrient storage after human disturbance of a primary Korean pine forest in Northeast China. For. Ecol. Manag. 2003, 186, 197–206. [Google Scholar] [CrossRef]
- Chen, X.; Xiao, P.; Niu, J.; Chen, X. Evaluating soil and nutrients (C, N, and P) loss in Chinese Torreya plantations. Environ. Pollut. 2020, 263, 114403. [Google Scholar] [CrossRef]
- Trumbore, S.E. Potential responses of soil organic carbon to global environmental change. Proc. Natl. Acad. Sci. USA 1997, 94, 8284–8291. [Google Scholar] [CrossRef]
- Marín-Spiotta, E.; Sharma, S. Carbon storage in successional and plantation forest soils: A tropical analysis. Glob. Ecol. Biogeogr. 2013, 22, 105–117. [Google Scholar] [CrossRef]
- Sollins, P.; Homann, P.; Caldwell, B.A. Stabilization and destabilization of soil organic matter: Mechanisms and controls. Geoderma 1996, 74, 65–105. [Google Scholar] [CrossRef]
- Verchot, L.V.; Dutaur, L.; Shepherd, K.D.; Albrecht, A. Organic matter stabilization in soil aggregates: Understanding the biogeochemical mechanisms that determine the fate of carbon inputs in soils. Geoderma 2011, 161, 182–193. [Google Scholar] [CrossRef]
- Stendahl, J.; Berg, B.; Lindahl, B.D. Manganese availability is negatively associated with carbon storage in northern coniferous forest humus layers. Sci. Rep. 2017, 7, 15487. [Google Scholar] [CrossRef]
- Zhang, Y.; Hobbie, S.E.; William, H.; Schlesinger, W.H.; Berg, B.; Sun, T.; Zhu, J. Exchangeable manganese regulates carbon storage in the humus layer of the boreal forest. Proc. Natl. Acad. Sci. USA 2024, 121, e2318382121. [Google Scholar] [CrossRef]
- Hofrichter, M. Review: Lignin conversion by manganese peroxidase (MnP). Enzyme Microb. Technol. 2002, 30, 454–466. [Google Scholar] [CrossRef]
- Sinsabaugh, R.L. Phenol oxidase, peroxidase and organic matter dynamics of soil. Soil Biol. Biochem. 2010, 42, 391–404. [Google Scholar] [CrossRef]
- Butnor, J.R.; Samuelson, L.J.; Johnsen, K.H.; Anderson, P.H.; González Benecke, C.A.; Boot, C.; Cotrufo, M.F.; Heckman, K.A.; Jackson, J.A.; Stokes, T.A.; et al. Vertical distribution and persistence of soil organic carbon in fire-adapted longleaf pine forests. For. Ecol. Manag. 2017, 390, 15–26. [Google Scholar] [CrossRef]
- USDA Forest Service. Final Environmental Impact Statement, Forest Health and Restoration Project, National Forests in Alabama, Bankhead National Forest; Management Bull. R8-MB 110B; Department of Agriculture Forest Service: Atlanta, GA, USA, 2003; 353p. [Google Scholar]
- Ranatunga, T.D.; He, Z.; Bhat, K.N.; Zhong, J. Solid-state 13C nuclear magnetic resonance spectroscopic characterization of soil organic matter fractions in a forest ecosystem subjected to prescribed burning and thinning. Pedosphere 2017, 27, 901–911. [Google Scholar] [CrossRef]
- Noble, M.M.; Dillon, W.; Mhila, M. Initial response of soil nutrient pools to prescribed burning and thinning in a managed forest ecosystems of northern Alabama. Soil Sci. Soc. Am. J. 2009, 73, 285–292. [Google Scholar] [CrossRef]
- Sikora, F.J.; Moore, K.P. Soil Test Methods From the Southeastern United States; Southern Extension and Research Activity Information Exchange Group-6 (SERA-IEG-6); Southern Cooperative Series Bulletin No. 419; University of Georgia: Clemson, SC, USA, 2014. [Google Scholar]
- Damgaard, C. A Critique of the Space-for-Time Substitution Practice in Community Ecology. Trends Ecol. Evol. 2019, 34, 416–421. [Google Scholar] [CrossRef] [PubMed]
- Varner, J.M.; Gordon, D.R.; Putz, E.; Hiers, J.K. Restoring fire to long-unburned Pinus palustris ecosystems: Novel fire effects and consequences for long unburned ecosystems. Restor. Ecol. 2005, 13, 536–544. [Google Scholar] [CrossRef]
- Boyer, W.D. Pinus palustris Mill. Zn Silvics of North America. Vol. 1. Conifers; Burns, R.M., Honkala, B.H., Eds.; USDA Handbook: Washington, DC, USA, 1990; Volume 654, pp. 405–412. [Google Scholar]
- Chen, X.; Willis, J.L. Interactions of Biosphere and Atmosphere within Longleaf Pine Restoration Areas. Atmosphere 2022, 13, 1733. [Google Scholar] [CrossRef]
- Dunson, C.P.; Oswald, B.P.; Farrish, K.W. Comparing the Effects of Prescribed Burning on Soil Chemical Properties in East Texas Forests with Longleaf and Other Southern Pines in the Overstory. Forests 2023, 14, 1912. [Google Scholar] [CrossRef]
- Neary, D.G.; Overby, T.; Haase, S.M. Effects of Fire Interval Restoration on Carbon and Nitrogen in Sedimentary- and Volcanic-Derived Soils of the Mogollon Rim, Arizona. In Proceedings of the Fire, Fuel Treatments, and Ecological Restoration (RMRS-P-29), Fort Collins, CO, USA, 16–18 April 2003; pp. 105–115. [Google Scholar]
- USDA Natural Resources Conservation Service. Soil nitrogen. In Soil Quality Kit-Guide for Educators; USDA Natural Resources Conservation Service: Washington, DC, USA, 2014. [Google Scholar]
- McKee, W.H., Jr. Changes in Soil Fertility Following Aboveground Biomass, Forest Floor Mass, and Nitrogen and Prescribed Burning on Coastal Plain Pine Sites; Research Paper RE-234; USDA Forest Service: Asheville, NC, USA, 1982; 23p. [Google Scholar]
- Schoch, P.; Binkley, D. Prescribed burning increased nitrogen availability in a mature loblolly pine stand. For. Ecol. Manag. 1986, 14, 13–22. [Google Scholar] [CrossRef]
- Boyer, W.D.; Miller, J.H. Effect of burning and brush treatments on nutrient and soil physical properties in yoting longleaf pine stands. For. Ecol. Manag. 1994, 70, 311–318. [Google Scholar] [CrossRef]
- Baieta, R.; Vieira, A.M.D.; Vankova, M.; Mihaljevic, M. Effects of forest fires on soil lead elemental contents and isotopic ratios. Geoderma 2022, 414, 115760. [Google Scholar] [CrossRef]
- Dijkstra, F.A. Calcium mineralization in the forest floor and surface soil beneath different tree species in the northeastern US. For. Ecol. Manag. 2003, 175, 185–194. [Google Scholar] [CrossRef]
- Cappuyns, V. Barium (Ba) leaching from soils and certified reference materials. Appl. Geochem. 2018, 88, 68–84. [Google Scholar] [CrossRef]
- Liang, G.; Stark, J.; Waring, G.B. Mineral reactivity determines root effects on soil organic carbon. Nat. Commun. 2023, 14, 4962. [Google Scholar] [CrossRef]
- Dell, B.; Huang, L. Physiological response of plants to low boron. Plant Soil 1997, 193, 103–120. [Google Scholar] [CrossRef]
- Lehto, T.; Ruuhola, T.; Dell, B. Boron in forest trees and forest ecosystems. For. Ecol. Manag. 2010, 260, 2053–2069. [Google Scholar] [CrossRef]
- Sayer, M.A.S.; Eckhardt, L.G.; Carter, E.A. Nutrition challenges of longleaf pine in the Southeast. In Proceedings of the SAF 2009 National Convention, Orlando, FL, USA, 30 September–4 October 2009; Society of American Foresters: Washington, DC, USA, 2009. [Google Scholar]
- Marschner, H. Mineral Nutrition of Higher Plants; Academic Press: Cambridge, MA, USA, 1995; 889p. [Google Scholar]
- Dugger, D.M. Boron in plant metabolism. In Encyclopedia of Plant Physiology; New Ser. vol 15B, Inorganic Plant Nutrition; Lauchli, A., Bieleski, R.L., Eds.; Springer: Berlin/Heidelberg, Germany, 1983; pp. 626–650. [Google Scholar]
- Jia, N.; Li, L.; Guo, H.; Xie, M. Important role of Fe oxides in global soil carbon stabilization and stocks. Nat. Commun. 2024, 15, 10318. [Google Scholar] [CrossRef] [PubMed]
- Wen, Y.; Xiao, J.; Goodman, B.A.; He, X. Effects of organic amendments on the transformation of Fe (oxyhydr) oxides and soil organic carbon storage. Front. Earth Sci. 2019, 7, 257. [Google Scholar] [CrossRef]
- Johnston, J.M.; Crossley, D.A., Jr. Forest ecosystem recovery in the southeast US: Soil ecology as an essential component of ecosystem management. For. Ecol. Manag. 2002, 155, 187–203. [Google Scholar] [CrossRef]
- Mickler, R.A. Southern pine forests of North America. In Impact of Air Pollutants on Southern Pine Forests; Fox, S., Mickler, R.A., Eds.; Springer: New York, NY, USA, 1996; pp. 2–57. [Google Scholar]
- Christensen, N. The effects of fire on nutrient cycles in longleaf pine ecosystems. In Proceedings of the Tall Timbers Fire Ecology Conference. No. 18, The Longleaf Pine Ecosystem: Ecology, Restoration and Management (May 30 -June 2, 1991, Tallahassee, FL); Hermann, S.M., Ed.; Tall Timbers Research Station: Tallahassee, FL, USA, 1993. [Google Scholar]
- Gresham, C. Litterfall patterns in mature loblolly and longleaf pine stands in coastal South Carolina. Forest Sci. 1982, 28, 223–231. [Google Scholar]
- Masuda, C.; Kanno, H.; Masaka, K.; Morikawa, Y.; Suzuki, M.; Tada, C.; Hayashi, S.; Seiwa, K. Hardwood mixtures facilitate leaf litter decomposition and soil nitrogen mineralization in conifer plantations. For. Ecol. Manag. 2022, 507, 120006. [Google Scholar] [CrossRef]









| Stands | Latitude (N) | Longitude (W) |
|---|---|---|
| C1 | 34°04′56.34″ | 87°23′56.29″ |
| C2 | 34°04′10.36″ | 87°22′15.19″ |
| C3 | 34°09′43.63″ | 87°14′32.95″ |
| C4 | 34°10′11.94″ | 87°13′42.05″ |
| E1 | 34°07′40.97″ | 87°21′49.90″ |
| E2 | 34°07′14.93″ | 87°21′01.30″ |
| E3 | 34°06′25.71″ | 87°18′47.19″ |
| E4 | 34°04′39.51″ | 87°18′46.57″ |
| L1 | 34°05′24.55″ | 87°22′44.90″ |
| L2 | 34°05′32.66″ | 87°21′48.24″ |
| L3 | 34°04′16.39″ | 87°19′16.34″ |
| L4 | 34°04′09.12″ | 87°18′24.58″ |
| M1 | 34°04′59.89″ | 87°24′10.55″ |
| M2 | 34°05′45.47″ | 87°23′36.63″ |
| M3 | 34°05′48.35″ | 87°22′11.90″ |
| M4 | 34°05′10.10″ | 87°20′18.94″ |
| Soil Metal Elements | N | Mn | Fe |
|---|---|---|---|
| Ca | Y = 3629.5x + 102.86 | Y = −0.2318x + 291.81 | Y = −0.0034x + 290.03 |
| R2 = 0.2575, p > 0.05 | R2 = 0.3041, p > 0.05 | R2 = 0.8754, p < 0.01 * | |
| K | Y = −1067.7x + 180.87 | Y = 0.7257x + 41.612 | Y = 0.0078x + 71.245 |
| R2 = 0.0048, p > 0.05 | R2 = 0.6559, p < 0.05 * | R2 = 0.9867, p < 0.01 * | |
| Mg | Y = −9621.9x + 595.78 | Y = 0.3568x + 127.66 | Y = −0.0046x + 136.13 |
| R2 = 0.531, p < 0.05 * | R2 = 0.2164, p > 0.05 | R2 = 0.4669, p > 0.05 | |
| P | Y = −3625.9x + 222.29 | Y = 0.2933x + 25.68 | Y= 0.0035x + 34.608 |
| R2 = 0.2363, p > 0.05 | R2 = 0.4581, p < 0.05 * | R2 = 0.8648, p < 0.01 * | |
| Al | Y = −197333x + 13393 | Y = 19.794x + 2204.7 | Y = 0.2245x + 2914.3 |
| R2 = 0.1783, p > 0.05 | R2 = 0.5317, p < 0.05 * | R2 = 0.8947, p < 0.01 * | |
| As | Y = −142.86x + 8.7139 | Y = 0.0132x + 0.7571 | Y = 0.0002x + 1.2124 |
| R2 = 0.2004, p > 0.05 | R2 = 0.5073, p < 0.05 * | R2 = 0.8794, p < 0.01 * | |
| B | Y = 45.095x + 1.1376 | Y = 0.0061x + 2.3437 | Y = 0.000007x + 2.54 |
| R2 = 0.0659, p > 0.05 | R2 = 0.3562, p > 0.05 | R2 = 0.6455, p < 0.05 * | |
| Ba | Y = 7405x − 252.51 | Y = −0.3682x + 119.67 | Y = −0.0041x + 105.55 |
| R2 = 0.4184, p > 0.05 | R2 = 0.3065, p > 0.05 | R2 = 0.4881, p > 0.05 | |
| Cd | Y = −17.003x + 1.1345 | Y = 0.004x − 0.1152 | Y = 0.00004x + 0.0425 |
| R2 = 0.0405, p > 0.05 | R2 = 0.6478, p < 0.05 * | R2 = 0.9951, p < 0.01 * | |
| Cr | Y = −567.09x + 34.138 | Y = 0.0732x − 0.0845 | Y = 0.0009x + 2.2249 |
| R2 = 0.1073, p > 0.05 | R2 = 0.529, p < 0.05 * | R2 = 0.9755, p < 0.01 * | |
| Cu | Y = −54.838x + 7.7717 | Y = 0.0293x + 1.6378 | Y = 0.0003x + 2.7792 |
| R2 = 0.0075, p > 0.05 | R2 = 0.6296, p < 0.05 * | R2 = 0.9883, p < 0.01 * | |
| Fe | Y = −351921x + 23519 | Y = 89.858x − 3376.2 | |
| R2 = 0.032, p > 0.05 | R2 = 0.6173, p < 0.05 * | ||
| Mn | Y = 4529.5x − 71.743 | Y = 0.0069x + 71.891 | |
| R2 = 0.0692, p > 0.05 | R2 = 0.6173, p < 0.05 * | ||
| Mo | Y = −18.734x + 1.1668 | Y = 0.0005x + 0.2813 | Y = 0.000008x + 0.2817 |
| R2 = 0.6462, p < 0.05 * | R2 = 0.1312, p > 0.05 | R2 = 0.4234, p > 0.05 | |
| Na | Y = −411.27x + 33.787 | Y = 0.0341x + 11.377 | Y = 0.0006x + 11.006 |
| R2 = 0.1045, p > 0.05 | R2 = 0.2131, p > 0.05 | R2 = 0.8187, p < 0.05 * | |
| Ni | Y = −200.21x + 13.302 | Y = 0.0181x + 2.2007 | Y = 0.0002x + 2.8416 |
| R2 = 0.2089, p > 0.05 | R2 = 0.507, p < 0.05 * | R2 = 0.8621, p < 0.01 * | |
| Pb | Y = 719.22x − 19.866 | Y = −0.0181x + 14.04 | Y = −0.0002x + 13.566 |
| R2 = 0.5998, p < 0.05 * | R2 = 0.1131, p > 0.05 | R2 = 0.233, p > 0.05 | |
| Zn | Y = −394.03x + 24.748 | Y = 0.02x + 4.866 | Y = 0.0003x + 5.1184 |
| R2 = 0.3771, p > 0.05 | R2 = 0.2893, p > 0.05 | R2 = 0.7794, p < 0.05 * |
Disclaimer/Publisher’s Note: The statements, opinions and data contained in all publications are solely those of the individual author(s) and contributor(s) and not of MDPI and/or the editor(s). MDPI and/or the editor(s) disclaim responsibility for any injury to people or property resulting from any ideas, methods, instructions or products referred to in the content. |
© 2025 by the author. Licensee MDPI, Basel, Switzerland. This article is an open access article distributed under the terms and conditions of the Creative Commons Attribution (CC BY) license (https://creativecommons.org/licenses/by/4.0/).
Share and Cite
Chen, X. Lower Contents of Soil Organic Matter, Macro-Nutrients, and Trace Metal Elements in the Longleaf Pine Forests Restored from the Mixed Pine and Hardwood Forests. Forests 2025, 16, 241. https://doi.org/10.3390/f16020241
Chen X. Lower Contents of Soil Organic Matter, Macro-Nutrients, and Trace Metal Elements in the Longleaf Pine Forests Restored from the Mixed Pine and Hardwood Forests. Forests. 2025; 16(2):241. https://doi.org/10.3390/f16020241
Chicago/Turabian StyleChen, Xiongwen. 2025. "Lower Contents of Soil Organic Matter, Macro-Nutrients, and Trace Metal Elements in the Longleaf Pine Forests Restored from the Mixed Pine and Hardwood Forests" Forests 16, no. 2: 241. https://doi.org/10.3390/f16020241
APA StyleChen, X. (2025). Lower Contents of Soil Organic Matter, Macro-Nutrients, and Trace Metal Elements in the Longleaf Pine Forests Restored from the Mixed Pine and Hardwood Forests. Forests, 16(2), 241. https://doi.org/10.3390/f16020241

