You are currently viewing a new version of our website. To view the old version click .
Forests
  • Article
  • Open Access

23 January 2025

Analysis of the Changes in the Mechanical Properties of Branches of Salix Energy Plants After Shearing

and
1
Department of Hydraulic and Sanitary Engineering, Poznan University of Life Sciences, 60-637 Poznan, Poland
2
Department of Construction and Geoengineering, Poznan University of Life Sciences, 60-637 Poznan, Poland
*
Author to whom correspondence should be addressed.
This article belongs to the Section Wood Science and Forest Products

Abstract

As a result of the energy crisis due, among other things, to climate change, most developed countries have taken steps with the main aim—among other things—of increasing the use of green energy sources that do not rely on fuels (including primarily liquid fuels) but use renewable energies. Plant biomass is a versatile substrate that can be used in many areas of the economy and production, but also for the production of various types of fuel. These range from rapeseed oil used as a component of biodiesel or maize starch for ethanol production to typically cellulosic plants such as energy willow, which can be used for direct combustion. The floodplain is home to this type of vegetation. It is characterized by great diversity in terms of geometric dimensions and mechanical and morphological properties. In addition, the location (easy access to water and sunlight) influences its potential energy value. Vegetation, thanks to favorable conditions, can achieve large weight gains in a relatively short period of time. Therefore, its properties should be carefully recognized in order to make more efficient use of energy and operating equipment used during harvesting. This paper presents an analysis of the changes in the elasticity of willow branches over a period of 16 days following harvesting. The changes were analyzed for branches taken from three different shrubs at three different plant height levels during the post-growth period. Based on the measurements carried out, the elastic modulus E of the shoots was estimated. The average modulus of elasticity ranged from about 4500 two days after cutting to about 5500 MPa 16 days after cutting and showed high variability, reaching even CV = 37%, both within a given shrub and depending on the measurement date. The results presented here indicate a high natural variability of mechanical parameters even within the same plant.

1. Introduction

Climate change has created an urgent need for immediate and effective action to tackle the global climate crisis and halt rising temperatures. One such step could be to reduce carbon emissions from all economic activities.
Therefore, it is necessary to look for sources of energy generation with low CO2 emissions, other (besides conventional) than the currently used fossil fuels. Such a solution could be the generation of energy from renewable sources, examples of which include biomass, clean hydrogen (and its derivatives), and hydrocarbons with 100% carbon capture and storage [1].
A report by the International Renewable Energy Agency [1] indicates that biomass will be the source of 60% of the world’s energy by 2030. In the European Union alone, the percentage of energy derived from biomass wood products has accounted for almost 50% of green energy produced in recent years.
According to the World Bioenergy Association [2], biomass accounts for 69% of the total primary energy supply from all renewable sources, and also accounts for 96% of renewable heat generation [2]. The use of biomass for energy supports the reduction of carbon emissions and is in line with the strategy adopted by the European Union [3]. Biomass has already gained the attention of the fuel market in the context of controlling greenhouse gas emissions. Another of its applications could be the production of renewable energy, which forces the development of field energy plants. In this regard, it becomes important to recognize their mechanical properties, since most lignocellulosic materials require cutting, shredding or grinding before their use for energy purposes. This is also important in the operation of machinery used to process raw materials.
Research involving the evaluation of physical and chemical parameters depending on the cultivation of energy willow (Salix viminalis L.) was carried out by [4], among others. They found, based on statistical analyses, no significant differences between the biomass from energy willow grown naturally and that fertilized with active substances. Similar conclusions were also reached in the study by González-García et al. [5], who observed that willow production without the application of mineral nitrogen was more energy efficient than fertilized willow production.
The widespread occurrence and spread of willow are related to, among other things, the ability of willow seeds to be easily distributed by the wind. Willow seeds are small (less than 2 mm long and weighing milligrams), and are therefore easily carried downwind and distributed over areas up to 0.8 km [6]. Willow is a pioneer species and is often among the dominant vegetation in peripheral habitats, such as peatland communities, moist forests, tundra, mountain tree lines, coastlines, riverbanks, and vacant or degraded land [7]. However, attention should be paid to the degree of water salinity, as it is estimated that 20% of all cultivated and 33% of irrigated agricultural land is affected by high salinity [8]. According to Mirck and Zalesny [9], root zone salinity can cause a 50% harvest reduction in willows and poplars.
The energy plants have the advantage of high calorific value (oscillating in the range of 15–19 MJ/kg) and high yield (annual yield of 7–15 tons of dry wood mass per hectare). It is also resistant to diseases and weather conditions and has low requirements for the fertility of the soil on which it is grown. However, reduced water availability can affect the loss of stem biomass production by 26%–37% and result in a higher root-to-stem ratio [10]. In two recent studies [11,12], the impact of weed pressure on the yield performance of willow in a short rotation was investigated. The authors suggest that weed pressure on the willow crop can result in a significant reduction in shoot biomass. In another study [13], the authors observed a significant reduction in the shoot weight of willow plants due to the presence of weeds, with reductions reaching 93.4%, 94.0%, and 96.1% at the three study sites. The authors [11] suggest that the efficacy of a high-yielding willow crop is more dependent on the implementation of appropriate weeding techniques during the establishment phase than on the selection of an optimal cultivar.
An assessment of the gross caloric value of willow biomass was conducted in another study [14]. They conducted their research on an established willow crop. They estimated the calorific value from 15.2 to 20.1 GJ/t dry weight. The study was conducted on 22 willow varieties, with particular consideration given to the frequency of harvesting and the variable density of the plants grown. Willow varieties harvested in a two-year cycle showed higher energy efficiency (329.3 GJ/ha/year) than those harvested in a one-year cycle (286.4 GJ/ha/year). The two-year cycle harvested in the third year after planting showed higher energy efficiency (379.5 GJ/ha/year) than the two-year cycle harvested in the sixth year after planting (279.15 GJ/ha/year). Dragusanu et al. [15] observed that fast-growing species, including those cultivated for the production of combustible woody biomass, have been the subject of significant advancement in recent years. The researchers observed that energy willow exhibits excellent calorific properties, with a calorific value of 20.7 MJ/kg and an energy density of 18.0 × 103 MJ/m3 [16,17]. Additionally, its shear strength is 0.86 N/mm2. Moreover, a study conducted by Dragusanu et al. [15] demonstrated that willow is regarded as one of the most calorific deciduous species, with an improved calorific value of 0.73 MJ/kg following torrefaction. Additionally, the ash content was minimal, at 0.59%. The researchers also observed a favorable impact on the sequestration of carbon dioxide from the atmosphere and the release of oxygen, which was another beneficial attribute from an environmental standpoint.
The initial slower biomass growth does not determine plant yields. Dudits et al. [18] found that extending the harvest cycle of energy willow improved the performance of SRWC wood as an energy feedstock. They observed an increase in cellulose, lignin and carbon content, a higher calorific value, and a decrease in nitrogen, sulfur, ash, and moisture content. The cultivation of energy willow in the SRWC system has an impact on the economic viability of the project, with the potential to recover up to 72%–78% of the initial investment [19]. Pacaldo et al. [20] noted that fast-growing plants such as willow bushes are a good source of biomass for the production of bioenergy, biofuels, and bioproducts in the Northeastern and Midwestern United States and Europe [21,22]. Additionally, in Sweden [23], perennial willow bushes (Salix spp.) have been found to be an attractive option for obtaining bioenergy, as their production requires less energy [24] and has less of a negative environmental impact [25,26,27]. The environmental and economic sustainability of energy willow and its key properties can be improved through improved breeding techniques and appropriate harvesting and handling practices [28]. The main objective of such treatments is to increase biomass yield and energy production [14]. Willow cultivation can be based on the high biodiversity of the genus Salix, which contains 330–500 species [29].
The development of willow in successive years of growing in bush form is another advantage of willow, in the context of perennial cultivation and reducing cultivation costs [30,31].
Among the most popular energy plants are energy willow, spur willow, honeysuckle willow, and shrub willow; these are, at the same time, the most popular species growing on floodplains.
Willow plants are also known for their bioremediation potential. Willow has been proven to effectively take up nutrients and heavy metals [26,32,33,34], and can therefore be used to treat waste from various sources [35], among them municipal, sewage sludge, or distillery wastewater [36]. Willow is also valued in land reclamation and environmental protection, particularly in phytoremediation processes, where it helps to clean soil and contaminated water [37]. Yermakov et al. [38] observed that energy willow plays a dual role in the restoration of highly degraded land, including landfills, former chemical plants, and soils with high erosion, salinity, or sand content. In addition to its role in restoring the production cycle of these lands, energy willow produces significant biomass, which is approximately 35 t/year/ha of wet biomass, increases to 60 t/ha/year following specific irrigation and fertilization treatments [39]. This biomass is available throughout the year.
The willow (Salix viminalis L.) is also a material that is employed in the furniture industry for the manufacture of panels [40].
Willow’s multifunctionality and adaptability, along with its rapid-rotation cultivation process, also make it an ideal feedstock for use in an integrated biorefinery to produce a range of bio-based materials, including pharmaceuticals and biocomposites, fuels, energy, and fertilizers [41].
The multifunctionality of willow has been corroborated by numerous researchers. Wilkinsoni [42] and Amichev et al. [43] have observed that willow grown using a short harvest cycle can be regarded as a renewable and environmentally friendly energy source. Furthermore, it plays a role in the remediation of soil areas degraded by heavy metals [39,44,45] or provides an element in wastewater recycling [46].
Furthermore, the impact of energy willow by-products, such as bark, on soil quality has been investigated. A study was conducted by Vlăsceanu et al. [47] in which the main macronutrients (N, P, and K) and pH of soils with energy willow cultivation and soils located in the Slobozia Mare nature reserve in the Republic of Moldova were compared on the basis of five samples. The results of the analysis indicated that the soil quality in the energy willow plantation area was comparable to that of the soil considered to be one of the most ecologically sound in Eastern Europe.
In obtaining willow as an energy plant, it is necessary to take into account the difficult mechanization of harvesting involving the use of special machinery and the high moisture content of biomass harvested in autumn and winter, which translates into transportation costs and reduced calorific value. Therefore, it becomes useful to carry out research to identify the period in which the plant loses its elasticity and, as a result of reduced moisture content, becomes a more favorable material for biomass production and is also cheaper to transport.
A mechanical characterization of shrub willow to study the influence of key factors: harvest season, moisture content, and variety was carried out in [48]. The results presented by the authors of [48] show that samples with low moisture content have significantly higher shear modulus G values (average = 0.34 GPa) and modulus of toughness values (average = 12.84 kPa). The researchers indicated that the mechanical properties are similar for different willow varieties. However, the values of ultimate strain (0.11), modulus of toughness (16.09 kPa), and degree of ductility (0.031) are significantly higher for samples taken in the post-growing season compared to those taken in the growing season. Chahal et al. [48] noted that the component polysaccharides of the primary cell walls and the middle lamella (cellulose, hemicellulose, and pectin) behave differently depending on moisture content. In addition, drying plant tissues can lead to shrinkage, which increases the density of the materials [49]. These processes can contribute to changes in shear modulus values with moisture content.
Beismann et al. [50] noted that the brittleness of twig bases defined in the literature correlates neither with Young’s modulus nor with the growth deformations that were measured for white willow, brittle, and lofty species. They proposed a parameter of relative roughness that clearly classifies brittle and non-brittle species. For their analysis, they used the ANOVA test.
Jiao et al. [51], based on their research, developed a technical and economic model for integrated debarking/harvesting of shrub willow. The study found that the fraction of clean woody material recovered during shrub willow harvesting averaged 72% during the post-growth period, compared to 66% during the growing season.
This paper presents the results of a study of elasticity modulus as a mechanical property of willow Salix as an example of an energy plant. The scope of this study was to collect branches from two shrubs during the post-emergence period. To provide an age cross-section of the plants under study, the branches were taken at three different levels. Following collection, the branches were inventoried by measuring the diameters of both ends and the length and weight of the branches. The branches were then loaded with weights, with the total weight gradually increasing, and branch deflection was measured. The branch measurements were carried out in the laboratory between the 8th and 24th of March, with an initial frequency of two days between measurements, and the final measurement taken five days after the previous one.

2. Materials and Methods

The study of the deflection of elastic vegetation was carried out according to the methodology proposed by the authors of [52] and Mikolajczak, assuming that willow branches have the shape of a truncated cone. Analyses were performed according to the scheme in Figure 1 [52].
Figure 1. Deflection arrow measurement scheme.
Research material was collected during the post-vegetation period (Figure 2) from three willow shrubs located in the floodplain of the Warta River below the Lech Bridge in Poznań. Each time, 5 branches were taken from three height levels (lower from 0 to 50 cm, middle from 50 to 100 cm and upper above 100 cm) from each of the three shrubs, yielding a total of 45 branches. The rationale behind the choice of three levels is confirmed by [53], a study on density and length variation in six willow trees growing under two different habitat conditions in Argentina. The researchers noted that the highest density values were generally found at a height of 1.30 m.
Figure 2. Photographs of willow bushes No. 2 and 3, from which the test material was taken.
For each branch, two diameters were measured, one at each end of the branch, using an electronic caliper with a measuring range of 150 mm and a measurement accuracy of 0.02 mm.
The developed test stand (Figure 1) was used to determine the deflection measurement of the loaded twig. The tested twig was rigidly fixed in a tripod, and then weights were loaded on the end of the twig and the deflection arrow of the branch was measured. The deflection was measured with a pin gauge of accuracy 0.1 mm. First, the position of the willow branch at level 0 (unloaded) was determined, and then the weights were installed, always starting with a weight of 1.0 g. In the next step, each twig was loaded with successive weights, each weighing 5.0 g. Each time, the value of the deflection arrow was read from the scale. The test was terminated when it became impossible to read from the centimeter scale the value of the deflection arrow. The measurement cycle included all branches taken from the floodplain during the post-vegetation period and lasted from March 8th to 24th at the beginning at 2 day intervals, and the last measurement was carried out after 5 days. The deflection arrow values were given as average values from a sample of all branches, with the value for each branch being the average of successive samples at different loads. In addition, the weight loss of individual twigs with time, i.e., between 08.03 and 24.03, was also estimated. Weight measurements were made using a RADWAG WLC 3/A2/C/2 (manufacture RADWAG Electronic Scales, Radom, Poland) electronic balance with a reading accuracy of 0.01 g.
The dependence of harvesting time on the mechanical parameters of different plant species has been studied by many researchers. Chahal et al. [54] noted that harvesting time had a significant effect on the bark strength of shrub willow. They concluded that this was due to seasonal changes in the morphology of the cambium layer. Additionally, they noted that moisture content affects the mechanical properties of shrub willow. Based on a regression model, they proved that moisture content has a negative correlation with the strength of wood-bark bonding.
The value of the branch’s modulus of elasticity was determined using the formula as for a cantilever beam with a truncated cone section [52,55]:
E = 64 3 P l 3 π   ω   D 3 d
where
P—force caused by load [N],
l—arm of force action [m],
w—deflection arrow size [m],
D, d—larger and smaller diameter of the rod (branch) [m].

3. Results and Discussion

3.1. Diameters

For each branch taken, the diameters at both ends (thicker end, Sd, and thinner end, Sg) were measured. Branches were taken at three heights: d from 0 to 50 cm, s 50 to 100 cm and g above 100 cm from the ground level. At each level, 5 branches were taken. Branches were taken from 3 shrubs, and a total of 45 twigs were taken. Summaries of diameter measurements are shown in
Statistics were calculated together for diameters Sd and Sg for individual bushes (Table 1 and Figure 3). The bushes showed an average variation in branch diameters, with the coefficient of variation, CV = S D x ¯ , at levels around 41%–45%, and these values were similar for individual shrubs. The standard deviation, SD, ranged from 1.6 to about 1.67 mm. The largest scatter of measured diameters was observed for shrub K1, for which the mean diameter was 4.075 mm, SD = 1.67, median 4.07, and min = 1.43, while max = 7.03. The mean diameters for K2 and K3 were 3.76 and 3.66, respectively (SD for K2 was 1.6, SD for K3 was 1.65). The average diameter for all branches (including Sd and Sg) was 3.83 mm.
Table 1. Summary of the results of a series of measurements of shrub branch diameters.
Figure 3. Summary of shrub diameter measurements.
An analysis of the distribution of diameters of twigs taken from individual bushes was also performed using the Shapiro–Wilk test. Twig diameters for bush K1 were characterized by a normal distribution: the p-value equals 0.103 > α = 0.05, which means that the difference between the data sample and the normal distribution is not large enough to be statistically significant. On the other hand, the distribution of branch diameters for the K2 and K3 shrubs was not characterized by a normal distribution; the p-values were 0.001211 and 0.0006334, which is less then α = 0.05, respectively. The difference between the K2 and K3 data samples and the normal distribution is large enough to be statistically significant.
The distributions of diameters between the different bushes were also compared. Since the diameters for the K2 and K3 bushes were not characterized by normal distributions, the non-parametric Kurskal–Wallis test was applied. The test showed that there was a non-significant difference in the dependent variable between the different groups, χ2(2) = 0.99, p = 0.610, with a mean score of 49.23 for K1, 44.52 for K2, and 42.75 for K3. Therefore, it can be assumed that the difference between the mean ranks of all groups is not large enough to be statistically significant.
Each twig was analyzed assuming that willow branches have the shape of a truncated cone characterized by two diameters: Sd at its thicker end and Sg at its thinner end. The branch’s thicker end was embedded in the measuring device and loads in the form of weights were installed at the other end. The modulus of elasticity depends, among other things, on the diameters of the branches. The ratio wi = (SdSg)/L was analyzed as a coefficient describing the slenderness and limpness of the analyzed branches. Summary statistics are presented in Table 2 and Figure 4. wi ratios for individual bushes were characterized by a normal distribution, obtaining p-value values of 0.6735, 0.8448, and 0.7627 in the Shapir–Wilk test for bushes K1, K2 and K3, respectively. The mean value of coefficient of variation wi was at a similar level for all shrubs, ranging from 0.0036 for K1 to 0.0039 for K2 and K3. The coefficient of variation, CV, was at 15.4% for K2, 20.5% for K3, and 30.7% for K1, indicating low variability wi for shrubs K2 and K3 and average variability for shrub K1. This means about twice as much variability in the wi of the twigs of shrub K1 than that of shrub K2.
Table 2. Summary of descriptive statistics for the wi indicator.
Figure 4. Summary of shrubs’ wi measurements.

3.2. Weight

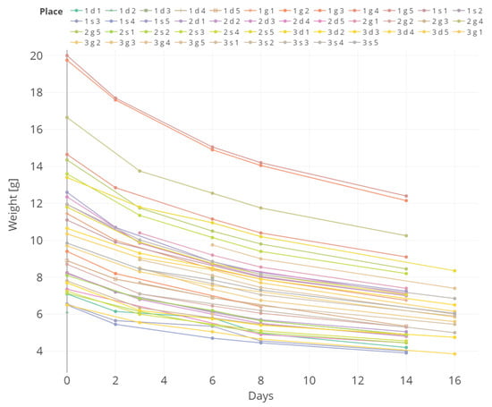
The change in the weight of the twigs over time was analyzed (Figure 5). A noticeable loss of weight occurred in the first few days, then the process slowly stabilized. Figure 6 summarizes the average changes in twig weight from one day to the next. The highest percentage loss of average weight was recorded in the first few days. The loss of weight (average) after 14 days reached about 40% (min = 36.9%, max = 44.2%, SD = 1.77), to reach about 40.5% (min = 37.7%, max = 44.65%, SD = 2.01) after 16 days. The spread of weights also decreased compared to the period after 6 days, for which the range was 14.7%. This may indicate the stabilization of water evaporation from the branches and the end of the intensive drying period (under natural conditions, not mechanically or thermally assisted). The hygroscopic equilibrium of the wood was achieved.
Figure 5. Change in weight over time. Code n1 d/s/g n2; n1—bush number; d/s/g—sampling site designation (d—bottom, s—middle, g—top), n2—branch number from bush n1.
Figure 6. Percentage weight loss of branches over time.

3.3. Deflections and Moduli of Elasticity

Deflection values were analyzed as a function of the applied load. Figure 7 summarizes the deflection arrow values averaged for all branches over time depending on the applied load. It can be seen that, after the first 2 days, the deflection arrow values for the given loads slightly increased by about 13%, 6%, and 4%, respectively, for the 6 g, 11 g, and 16 g loads (relative to the initial deflection). Then, at the same loads, the average values of the deflection arrow decreased with time and the wilting of the twigs finally reached 95.5%–90% of the original deflection for the 11 g and 16 g loads. Only for the 6 g load did the value of the deflection arrow after 16 days remain even higher by about 5% than at the beginning of the test (which, however, corresponds to 93% over the maximum deflection after 2 days). The higher the load applied, the more noticeable the differences in the time of the mean deflection arrow became.
Figure 7. Mean deflections over time for loads 6, 11, and 16 g.
The moduli of elasticity for each shrub, calculated and summarized in Table 3 based on Equation (1), are the average values from a sample of all twigs of a given shrub, after discarding deflection outliers. Meanwhile, the values for each twig were also averaged from a sample of all twigs at different loads.
Table 3. Descriptive statistic for modulus of elasticity for shrubs.
The notches surrounding the median in Figure 8 show 95% confidence intervals for the medians, and the distance of median +/− 1.57 × IQR/n0.5.
Figure 8. Average modules of elasticity for shrubs.
The mean value of the modulus of elasticity on the first day of measurements was at 5200 MPa (Figure 9). Subsequently, a decrease in modulus of about 13.5% to about 4500 MPa was observed over the first two days. This was related to the process of twig wilting and increased deflection during this period (Figure 7). Subsequently, a steadily increasing average modulus of elasticity can be observed over time, reaching about 5500 MPa on day 16, which is 5.5% higher than the values obtained on the first days. The CV coefficient of variation of the elastic modulus remained at 33%–37% throughout the period, indicating a high natural variability of the parameters, even among samples taken within the same plant.
Figure 9. Changes in the values of average elasticity moduli with time.
According to the literature, the values of moduli of elasticity for branches in their natural/vegetated state are at a similar level of about 4100–4500 MPa [52]. The authors also point out the high variability (CV factor) of the samples, even at 52%.
Vilkovský et al. [56] conducted studies of wood/bark adhesion in the longitudinal and tangential anatomical directions during the post-vegetation and vegetation periods on three selected wood species (oak, beech, and spruce). The results show a significant effect of wood species and anatomical direction, as well as vegetation period. All wood species had higher shear strength values in the longitudinal direction compared to the tangential direction. The highest average values in the longitudinal direction were measured in the post-vegetation period for sessile oak (0.49 MPa) and beech (0.48 MPa). The lowest value of shear strength in the longitudinal direction was measured for spruce (0.36 MPa). During the growing season, the highest average shear strength values in the longitudinal direction were also measured for beech (0.46 MPa) and oak (0.39 MPa). The lowest value of shear strength in the longitudinal direction was similarly measured for spruce (0.26 MPa).
Hofsteller et al. [57] noted that moisture content affects the wood–bark interface at the microscale level and alters the mechanical properties of willow. This is the result of the different properties of polysaccharides (cellulose, hemicellulose, and pectin).
Butler et al. [58] analyzed the effect of wind on tree stems of 39 species in tropical Australia. The study found correlations between the material properties of stem tissue, such as Young’s modulus and modulus of rupture, and shoot safety and reconfiguration in response to wind speed.
Sutili et al. [59] analyzed changes in the modulus of elasticity as a function of branch diameter for different plant species. For Salix Rubens, the values of moduli of elasticity were 4940 MPa for diameters of 10–20 mm and 4562 MPa for diameters of 20–30 mm.
Vargas et al. [60] conducted experiments that, among other things, analyzed the value of moduli of elasticity (MOE) for 4 willow species from different locations. For Salix vinimalis, the average MOE (modulus of elasticity) was 4132 MPa, while for Salix purpurea, it was 4310 MPa. It was also found that the modulus values were characterized by no significant difference between locations of the same species.
ANOVA analysis was also performed for individual series of average elasticity modulus over time. The test indicated that there was no statistical basis for rejecting the null hypothesis H0: μ1 = … = μk about the equality of the averages for each group. The difference between the averages of all groups is not large enough to be statistically significant.
Principal Component Analysis (PCA) was applied to a dataset comprising five variables with the objective of exploring its structure and reducing the number of dimensions. The analysis revealed that the first two principal components (PC1 and PC2) captured approximately 76% of the total variance in the data, with PC1 contributing 43.12% and PC2 contributing 32.91% (Figure 10).
Figure 10. Biplot for PCA and cluster analysis.
It was observed that both wi and the modulus of elasticity had a positive contribution to PC1 and PC2. Sg has a distinct effect on PC2.
The PCA demonstrates that, in the reduced space, there is a strong correlation between the larger diameter Sd and the branch mass, as well as between the elastic modulus and the wi index. Additionally, a negative correlation is observed between the modulus of elasticity and the smaller diameter Sg. The PCA was also complemented by a cluster analysis using the k-mens method for the PCA data (Figure 10). The highest values of modulus are found in cluster 2. Modulus and wi have the lowest values in cluster 3. Cluster 2 has the highest normalized values for most of the characteristics. The PCA also indicates a significant degree of data dispersion in the reduced two-dimensional space. This finding confirms the previous observation that the data have high natural variability in the parameters.

4. Conclusions

By 2019, the share of renewable energy sources in total primary energy in Poland was 16%. In the same year, the share of biomass in renewable energy sources was approximately 3.2% [4].
The distribution of the willow (Salix) species is extensive, encompassing a vast range of habitats across the globe. Salix vinimalis is most frequently observed in habitats adjacent to waterways and in areas with high moisture content, such as along riverbanks and streams. Furthermore, it is frequently employed as an energy source in renewable energy production systems. In regions with moderate climates, shrub willows are being developed as SRWCs (short-rotation woody crops, short cropping season, 3-year harvest rotation) due to their potential for high biomass production over short periods of time, ease of vegetative propagation, broad genetic base, and ability to re-sprout after multiple harvests. The energy, environmental and economic performance of willow biomass production and conversion to electricity is evaluated using life cycle modeling methods [21,22]. The net energy ratio (electricity generated/lifecycle fossil fuel consumed) for willow ranges from 10 to 13 for direct combustion and gasification processes.
Accurate biological and mechanical analysis of willow is important for the agricultural and economic success of a renewable energy system. The flexibility of the branches will be important during water flow because it will allow the plant to flex under the pressure of flowing water. Similarly, in the case of wind impact. In the context of an energy application, flexibility determines the ease of post-processing, such as chopping. A measure of elasticity is the modulus of elasticity, which is an important parameter in assessing the mechanical strength of willow to various loads, such as wind, snow, and own weight. Therefore, changes in the modulus of elasticity of willow branches over a period of several days after they were cut were analyzed. Analyses were carried out after the growing season for branches without foliage. An average variation CV in the diameters of about 45% of the branches was found. During the analyzed period, branch deflections under increasing load and weights were measured. Analyses were conducted over a period of 16 days. The average weight loss of branches after 16 days was found to be about 40.5%. It was also reported that the deflection arrow for a given load decreased over the test period by up to 10% from the initial values. This translated into an increase in the average values of the modulus of elasticity, which rose from a value of 4500 MPa after the first two days to 5500 MPa, an increase of about 12%.
It is important to note the high variability in both diameters and elastic moduli within the same bush, as well as across the entire sample set. This is evidenced by the high coefficient of variation (CV) rates observed in the change in average diameter between measurement periods, as well as in the elastic moduli, which reached up to almost 37% within a given measurement series.
An increasing trend was observed in the moduli of elasticity with respect to both time and the process of drying of the branches. However, the ANOVA analysis conducted for the moduli of elasticity indicated that the change in the average moduli was not statistically significant over the considered period. This is associated with high modulus variability, with SD reaching up to 1930 MPa and a CV of 37%. However, it should be noted that the p-value statistic = 0.0776 is very close to rejecting the working hypothesis of equality of means.
The recognition of mechanical properties can facilitate the optimization of harvesting methods and timing.

Author Contributions

Conceptualization, N.W.; methodology, N.W. and Z.W.; validation, N.W. and Z.W.; formal analysis, N.W. and Z.W.; investigation, N.W. and Z.W.; data curation, N.W.; writing—original draft preparation, N.W. and Z.W.; writing—review and editing, N.W. and Z.W.; visualization, Z.W. All authors have read and agreed to the published version of the manuscript.

Funding

This research received no external funding.

Data Availability Statement

Data are contained within the article.

Conflicts of Interest

The authors declare no conflicts of interest.

References

  1. ISBN 978-92-9260-537-7; Renewable Energy Statistics 2023. International Renewable Energy Agency: Abu Dhabi, United Arab Emirates, 2023.
  2. World Bioenergy Association. Annual Report 2023; World Bioenergy Association: Stockholm, Sweden, 2023. [Google Scholar]
  3. Słupska, M.; Dyjakon, A.; Stopa, R. Determination of Strength Properties of Energy Plants on the Example of Miscanthus × giganteus, Rosa multiflora and Salix viminalis. Energies 2019, 12, 3660. [Google Scholar] [CrossRef]
  4. Roman, K.; Roman, M.; Szadkowska, D.; Szadkowski, J.; Grzegorzewska, E. Evaluation of Physical and Chemical Parameters According to Energetic Willow (Salix viminalis L.) Cultivation. Energies 2021, 14, 2968. [Google Scholar] [CrossRef]
  5. González-García, S.; Mola-Yudego, B.; Dimitriou, I.; Aronsson, P.; Murphy, R. Environmental Assessment of Energy Production Based on Long Term Commercial Willow Plantations in Sweden. Sci. Total Environ. 2012, 421, 210–219. [Google Scholar] [CrossRef]
  6. Tiebel, K.; Leinemann, L.; Hosius, B.; Schlicht, R.; Frischbier, N.; Wagner, S. Seed Dispersal Capacity of Salix caprea L. Assessed by Seed Trapping and Parentage Analysis. Eur. J. For. Res 2019, 138, 495–511. [Google Scholar] [CrossRef]
  7. Gramlich, S.; Sagmeister, P.; Dullinger, S.; Hadacek, F.; Hoerandl, E. Evolution in Situ: Hybrid Origin and Establishment of Willows (Salix L.) on Alpine Glacier Forefields. Heredity 2016, 116, 531–541. [Google Scholar] [CrossRef]
  8. Shrivastava, P.; Kumar, R. Soil Salinity: A Serious Environmental Issue and Plant Growth Promoting Bacteria as One of the Tools for Its Alleviation. Saudi J. Biol. Sci. 2015, 22, 123–131. [Google Scholar] [CrossRef]
  9. Mirck, J.; Zalesny, R.S. Mini-Review of Knowledge Gaps in Salt Tolerance of Plants Applied to Willows and Poplars. Int. J. Phytoremediation 2015, 17, 640–650. [Google Scholar] [CrossRef]
  10. Martin, P.J.; Stephens, W. Willow Growth in Response to Nutrients and Moisture on a Clay Landfill Cap Soil. I. Growth and Biomass Production. Bioresour. Technol. 2006, 97, 437–448. [Google Scholar] [CrossRef][Green Version]
  11. Albertsson, J.; Verwijst, T.; Hansson, D.; Bertholdsson, N.-O.; Åhman, I. Effects of Competition between Short-Rotation Willow and Weeds on Performance of Different Clones and Associated Weed Flora during the First Harvest Cycle. Biomass Bioenergy 2014, 70, 364–372. [Google Scholar] [CrossRef]
  12. Sage. Weed Competition in Willow Coppice Crops: The Cause and Extent of Yield Losses. Weed Res. 1999, 39, 399–411. [Google Scholar] [CrossRef]
  13. Albertsson, J.; Hansson, D.; Bertholdsson, N.; Åhman, I. Site-related Set-back by Weeds on the Establishment of 12 Biomass Willow Clones. Weed Res. 2014, 54, 398–407. [Google Scholar] [CrossRef]
  14. Kulig, B.; Gacek, E.; Wojciechowski, R.; Oleksy, A.; Kołodziejczyk, M.; Szewczyk, W.; Klimek-Kopyra, A. Biomass Yield and Energy Efficiency of Willow Depending on Cultivar, Harvesting Frequency and Planting Density. Plant Soil Environ. 2019, 65, 377–386. [Google Scholar] [CrossRef]
  15. Dragusanu, V.; Lunguleasa, A.; Spirchez, C.; Scriba, C. Some Properties of Briquettes and Pellets Obtained from the Biomass of Energetic Willow (Salix viminalis L.) in Comparison with Those from Oak (Quercus Robur). Forests 2023, 14, 1134. [Google Scholar] [CrossRef]
  16. Stolarski, M.J.; Krzyżaniak, M.; Warmiński, K.; Załuski, D.; Olba-Zięty, E. Willow Biomass as Energy Feedstock: The Effect of Habitat, Genotype and Harvest Rotation on Thermophysical Properties and Elemental Composition. Energies 2020, 13, 4130. [Google Scholar] [CrossRef]
  17. Bala-Litwiniak, A.; Musiał, D. Computational and Experimental Studies of Selected Types of Biomass Combustion in a Domestic Boiler. Materials 2022, 15, 4826. [Google Scholar] [CrossRef]
  18. Dudits, D.; Cseri, A.; Török, K.; Vankova, R.; Dobrev, P.I.; Sass, L.; Steinbach, G.; Kelemen-Valkony, I.; Zombori, Z.; Ferenc, G. Manifestation of Triploid Heterosis in the Root System after Crossing Diploid and Autotetraploid Energy Willow Plants. Genes 2023, 14, 1929. [Google Scholar] [CrossRef]
  19. Manzone, M.; Balsari, P. Planters Performance during a Very Short Rotation Coppice Planting. Biomass Bioenergy 2014, 67, 188–192. [Google Scholar] [CrossRef]
  20. Pacaldo, R.S.; Volk, T.A.; Briggs, R.D. Greenhouse Gas Potentials of Shrub Willow Biomass Crops Based on Below- and Aboveground Biomass Inventory Along a 19-Year Chronosequence. Bioenergy Res. 2013, 6, 252–262. [Google Scholar] [CrossRef]
  21. Heller, M.C.; Keoleian, G.A.; Volk, T.A. Life Cycle Assessment of a Willow Bioenergy Cropping System. Biomass Bioenergy 2003, 25, 147–165. [Google Scholar] [CrossRef]
  22. Keoleian, G.A.; Volk, T.A. Renewable Energy from Willow Biomass Crops: Life Cycle Energy, Environmental and Economic Performance. Crit. Rev. Plant Sci. 2005, 24, 385–406. [Google Scholar] [CrossRef]
  23. Dimitriou, I.; Aronsson, P. Willows for Energy and Phytoremediation in Sweden. Unasylva 2005, 56, 47. [Google Scholar]
  24. Börjesson, P. Produktionsförutsättningar För Biobränslen Inom Svenskt Jordbruk. IMES/EESS Rapp. 2007, 61. Available online: https://portal.research.lu.se/files/5617156/609151.pdf (accessed on 20 January 2025).
  25. Dimitriou, I.; Baum, C.; Baum, S.; Busch, G.; Schulz, U.; Köhn, J.; Lamersdorf, N.; Leinweber, P.; Aronsson, P.; Weih, M. The Impact of Short Rotation Coppice (SRC) Cultivation on the Environment. Landbauforsch. Vti Agric. For. Res. 2009, 59, 159–162. [Google Scholar]
  26. Börjesson, P. Environmental Effects of Energy Crop Cultivation in Sweden—I: Identification and Quantification. Biomass Bioenergy 1999, 16, 137–154. [Google Scholar] [CrossRef]
  27. Nordborg, M.; Cederberg, C.; Berndes, G. Modeling Potential Freshwater Ecotoxicity Impacts Due to Pesticide Use in Biofuel Feedstock Production: The Cases of Maize, Rapeseed, Salix, Soybean, Sugar cane, and Wheat. Environ. Sci. Technol. 2014, 48, 11379–11388. [Google Scholar] [CrossRef]
  28. Hanley, S.J.; Karp, A. Genetic Strategies for Dissecting Complex Traits in Biomass Willows (Salix spp.). Tree Physiol. 2014, 34, 1167–1180. [Google Scholar] [CrossRef]
  29. Isebrands, J.G.; Richardson, J. (Eds.) Poplars and Willows: Trees for Society and the Environment, 1st ed.; CABI: Wallingford, UK, 2014; ISBN 978-1-78064-108-9. [Google Scholar]
  30. Kuzovkina, Y.A.; Volk, T.A. The Characterization of Willow (Salix L.) Varieties for Use in Ecological Engineering Applications: Co-Ordination of Structure, Function and Autecology. Ecol. Eng. 2009, 35, 1178–1189. [Google Scholar] [CrossRef]
  31. Stanturf, J.A.; Oosten, C.V. Operational Poplar and Willow Culture. In Poplars and Willows: Trees for Society and the Environment; Isebrands, J.G., Richardson, J., Eds.; CABI: Wallingford, UK, 2014; pp. 200–257. ISBN 978-1-78064-108-9. [Google Scholar] [CrossRef]
  32. Perttu, K.L. Environmental Justification for Short-Rotation Forestry in Sweden. Biomass Bioenergy 1998, 15, 1–6. [Google Scholar] [CrossRef]
  33. Dimitriou, I.; Baum, C.; Baum, S.; Busch, G.; Schulz, U.; Köhn, J.; Lamersdorf, N.; Leinweber, P.; Aronsson, P.; Weih, M. Quantifying Environmental Effects of Short Rotation Coppice (SRC) on Biodiversity, Soil and Water; IEA Bioenergy Task 43, Report 2011:01; International Energy Agency: Paris, France, 2011; Volume 43, p. 1. Available online: https://www.ieabioenergy.com/wp-content/uploads/2018/01/IEA_Bioenergy_Task43_TR2011-01.pdf (accessed on 20 January 2025).
  34. Klang-Westin, E.; Eriksson, J. Potential of Salix as Phytoextractor for Cd on Moderately Contaminated Soils. Plant Soil 2003, 249, 127–137. [Google Scholar] [CrossRef]
  35. Pučka, I.; Lazdiņa, D. Review about Investigations of Salix spp. in Europe. In Proceedings of the Annual 19th International Scientific Conference Proceedings, Latvia University of Agriculture, Jelgava, Latvia, 15 May 2013; Volume 2, p. 13. [Google Scholar]
  36. Murphy, F.; Devlin, G.; McDonnell, K. Energy Requirements and Environmental Impacts Associated with the Production of Short Rotation Willow (Salix sp.) Chip in Ireland. GCB Bioenergy 2014, 6, 727–739. [Google Scholar] [CrossRef]
  37. Warmbier, K.; Wilczyński, A.; Danecki, L. Properties of One-Layer Experimental Particleboards from Willow (Salix viminalis) and Industrial Wood Particles. Eur. J. Wood Wood Prod. 2013, 15, 1–6. [Google Scholar] [CrossRef][Green Version]
  38. Yermakov, S.; Hutsol, T.; Gerasymchuk, I.; Fedirko, P.; Dubik, V. Study of the Unloading and Selection Process of Energy Willow Cuttings for the Creation a Planting Machine. In Proceedings of the International Scientific and Practical Conference, Rezekne, Latvia, 14–15 June 2023; Volume 3, pp. 271–275. [Google Scholar]
  39. Scriba, C.; Lunguleasa, A.; Spirchez, C.; Ciobanu, V. Influence of INGER and TORDIS Energetic Willow Clones Planted on Contaminated Soil on the Survival Rates, Yields and Calorific Value. Forests 2021, 12, 826. [Google Scholar] [CrossRef]
  40. Żabowski, B.; Wronka, A.; Kowaluk, G. Selected Physical and Mechanical Properties of Particleboards Manufactured from Plantation Willow and Poplar Wood. Materials 2024, 17, 4069. [Google Scholar] [CrossRef] [PubMed]
  41. Baker, P.; Charlton, A.; Johnston, C.; Leahy, J.J.; Lindegaard, K.; Pisano, I.; Prendergast, J.; Preskett, D.; Skinner, C. A Review of Willow (Salix spp.) as an Integrated Biorefinery Feedstock. Ind. Crops Prod. 2022, 189, 115823. [Google Scholar] [CrossRef]
  42. Wilkinson, J.M.; Evans, E.J.; Bilsborrow, P.E.; Wright, C.; Hewison, W.O.; Pilbeam, D.J. Yield of Willow Cultivars at Different Planting Densities in a Commercial Short Rotation Coppice in the North of England. Biomass Bioenergy 2007, 31, 469–474. [Google Scholar] [CrossRef]
  43. Amichev, B.Y.; Hangs, R.D.; Van Rees, K.C. A Novel Approach to Simulate Growth of Multi-Stem Willow in Bioenergy Production Systems with a Simple Process-Based Model (3PG). Biomass Bioenergy 2011, 35, 473–488. [Google Scholar] [CrossRef]
  44. Mleczek, M.; Rutkowski, P.; Rissmann, I.; Kaczmarek, Z.; Golinski, P.; Szentner, K.; Strażyńska, K.; Stachowiak, A. Biomass Productivity and Phytoremediation Potential of Salix alba and Salix viminalis. Biomass Bioenergy 2010, 34, 1410–1418. [Google Scholar] [CrossRef]
  45. Mleczek, M.; Gąsecka, M.; Waliszewska, B.; Magdziak, Z.; Szostek, M.; Rutkowski, P.; Kaniuczak, J.; Zborowska, M.; Budzyńska, S.; Mleczek, P. Salix viminalis L.-A Highly Effective Plant in Phytoextraction of Elements. Chemosphere 2018, 212, 67–78. [Google Scholar] [CrossRef]
  46. Stelte, W.; Holm, J.K.; Sanadi, A.R.; Barsberg, S.; Ahrenfeldt, J.; Henriksen, U.B. A Study of Bonding and Failure Mechanisms in Fuel Pellets from Different Biomass Resources. Biomass Bioenergy 2011, 35, 910–918. [Google Scholar] [CrossRef]
  47. Vlăsceanu, G.; Nicolae, F.; Petculescu, N.; Nicolae, M. Principles of Circular Economy Applied to Energy Plants in Culture. The Correlation of Soil Quality with the Valuation Potential of Willow by-Products. In Proceedings of the E3S Web of Conferences, Dushanbe, Tajikistan, 11–13 December 2023; Volume 436, p. 04004. [Google Scholar]
  48. Chahal, A.; Ciolkosz, D.; Puri, V.; Jacobson, M.; Liu, J. Mechanical Characteristics of Wood-Bark Interface of Shrub Willow. Ind. Crops Prod. 2021, 162, 113236. [Google Scholar] [CrossRef]
  49. Joardder, M.U.H.; Brown, R.J.; Kumar, C.; Karim, M.A. Effect of Cell Wall Properties on Porosity and Shrinkage of Dried Apple. Int. J. Food Prop. 2015, 18, 2327–2337. [Google Scholar] [CrossRef]
  50. Beismann, H.; Wilhelmi, H.; Baillères, H.; Spatz, H.-C.; Bogenrieder, A.; Speck, T. Brittleness of Twig Bases in the Genus Salix: Fracture Mechanics and Ecological Relevance. J. Exp. Bot. 2000, 51, 617–633. [Google Scholar] [CrossRef] [PubMed]
  51. Jiao, H.; Tang, A.; Ma, C.; Li, Y.; Wang, L.; Li, C. Modelling and Numerical Simulation of a Concentrated Mass-Based Branch Vibration. Sci. Hortic. 2024, 330, 113028. [Google Scholar] [CrossRef]
  52. Tymiński, T.; Rembeza, L.; Kałuża, T. Analysis of Impact of Flexible Vegetation on Hydraulic Conditions of Flow in Vegetated Channels. Part 1: Mechanical Properties of Elastic Plants; Uniwersytet Przyrodniczy we Wrocławiu: Poland, Wrocław, 2008; ISBN 978–83–60574–18–8. (In Polish) [Google Scholar]
  53. Monteoliva, S.; Senisterra, G.; Marlats, R. Variation of Wood Density and Fibre Length in Six Willow Clones (Salix spp.). Iawa J. 2005, 26, 197–202. [Google Scholar] [CrossRef]
  54. Chahal, A.; Ciolkosz, D.; Puri, V.; Liu, J.; Jacobson, M. Factors Affecting Wood-Bark Adhesion for Debarking of Shrub Willow. Biosyst. Eng. 2020, 196, 202–209. [Google Scholar] [CrossRef]
  55. Walczak, N.; Walczak, Z.; Ficner, T. Determination of the Variation of the Geometric and Dynamic Parameters of the Floodplain Vegetation. Water 2022, 14, 1274. [Google Scholar] [CrossRef]
  56. Vilkovskỳ, P.; Vilkovská, T.; Klement, I.; Čunderlík, I. The Analysis Effect of Selected Factors on the Shear Strength of Woodbark at Different Wood Species. Forests 2022, 13, 637. [Google Scholar] [CrossRef]
  57. Hofstetter, K.; Hinterstoisser, B.; Salmén, L. Moisture Uptake in Native Cellulose—the Roles of Different Hydrogen Bonds: A Dynamic FT-IR Study Using Deuterium Exchange. Cellulose 2006, 13, 131–145. [Google Scholar] [CrossRef]
  58. Butler, D.W.; Gleason, S.M.; Davidson, I.; Onoda, Y.; Westoby, M. Safety and Streamlining of Woody Shoots in Wind: An Empirical Study across 39 Species in Tropical Australia. New Phytol. 2012, 193, 137–149. [Google Scholar] [CrossRef]
  59. Sutili, F.J.; Denardi, L.; Durlo, M.A.; Rauch, H.P.; Weissteiner, C. Flexural Behaviour of Selected Riparian Plants under Static Load. Ecol. Eng. 2012, 43, 85–90. [Google Scholar] [CrossRef]
  60. Vargas, C.A.; Nascimento, M.B.; de Muñiz, G.I.B.; Nisgoski, S. Physical and Mechanical Properties of Four Salix Species. Rev. Ciência Da Madeira (Braz. J. Wood Sci.) 2012, 3, 10–12953. [Google Scholar] [CrossRef]
Disclaimer/Publisher’s Note: The statements, opinions and data contained in all publications are solely those of the individual author(s) and contributor(s) and not of MDPI and/or the editor(s). MDPI and/or the editor(s) disclaim responsibility for any injury to people or property resulting from any ideas, methods, instructions or products referred to in the content.

Article Metrics

Citations

Article Access Statistics

Multiple requests from the same IP address are counted as one view.