Forest Aboveground Biomass Estimation Using High-Resolution Imagery and Integrated Machine Learning
Abstract
1. Introduction
2. Materials and Methods
2.1. Study Area
2.2. Data Collection and Preprocessing
2.2.1. Field Survey Data
2.2.2. Remote Sensing Data
2.3. Feature Extraction and Selection
2.4. Machine Learning Modeling
2.4.1. Random Forest
2.4.2. Gradient Boosting Tree
2.4.3. Extreme Gradient Boosting
2.4.4. Stacking Ensemble Learning
2.5. Model Validation and Evaluation
3. Results
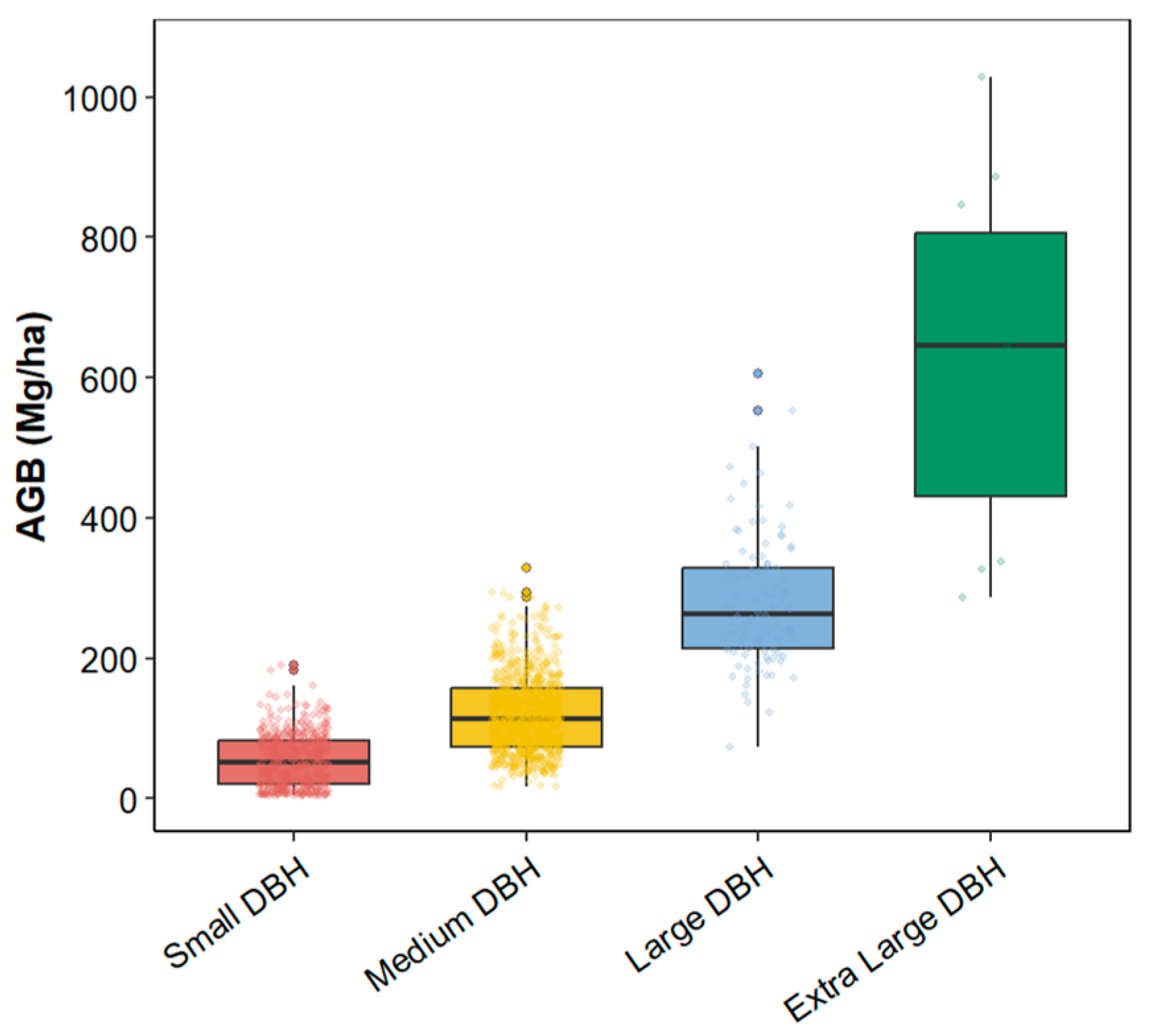
3.1. Sample Data Characteristics
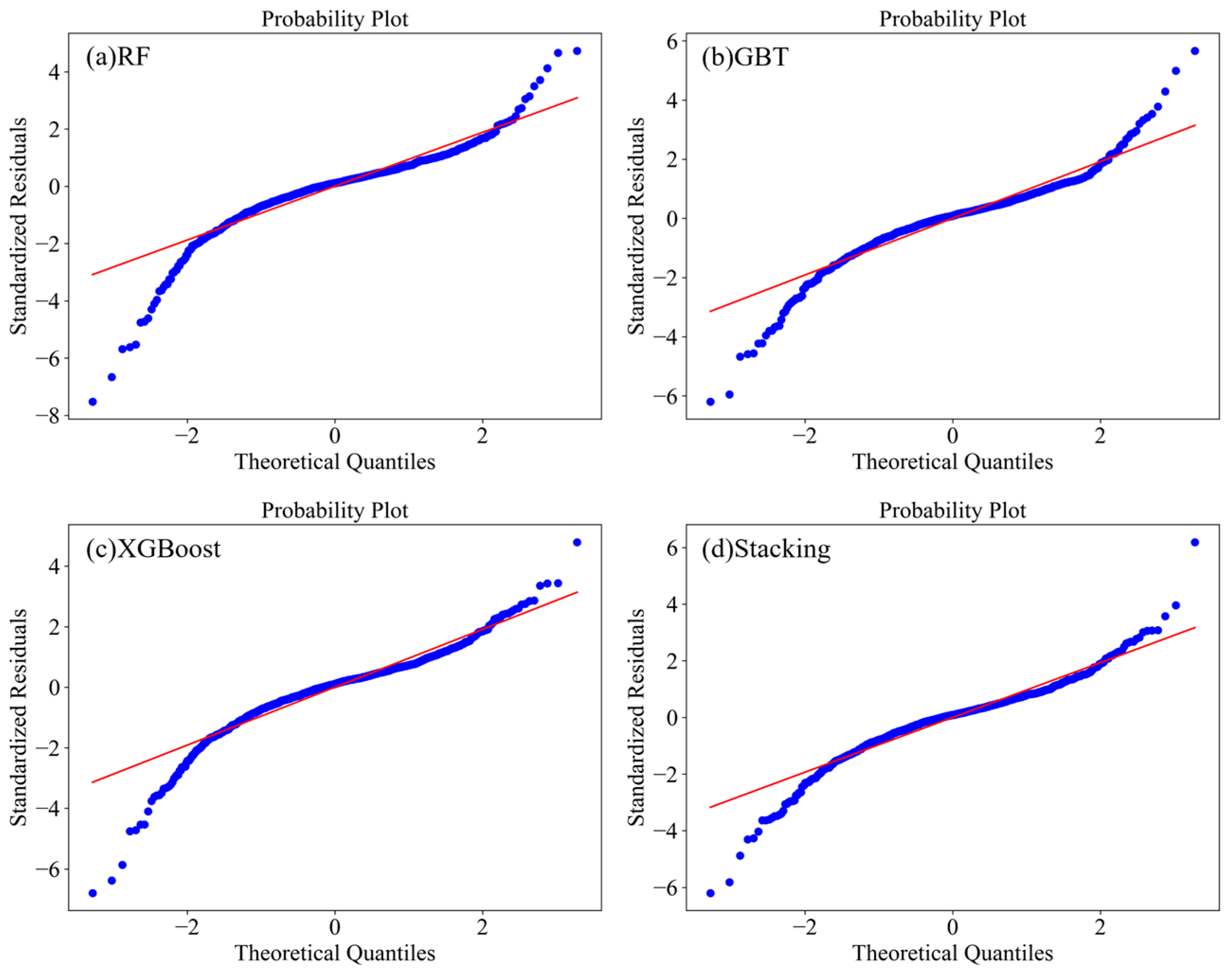
3.2. Model Performance Comparison
3.3. Model Performance Analysis
3.4. Feature Importance Analysis
4. Discussion
4.1. Benefits of Ensemble Learning in Forest AGB Estimation
4.2. Feature Importance and Underlying Mechanisms
4.3. Spatial Distribution Patterns and Application Prospects
5. Conclusions
Supplementary Materials
Author Contributions
Funding
Data Availability Statement
Acknowledgments
Conflicts of Interest
Abbreviations
| AGB | Aboveground biomass |
| NDVI | Normalized Difference Vegetation Index |
| EVI | Enhanced Vegetation Index |
| CatBoost | Categorical Boosting |
| SVM | Support Vector Machine |
| LightGBM | Light Gradient Boosting Machine |
| CNN | Convolutional Neural Network |
| R2 | Coefficient of determination |
| RMSE | Root mean squared error |
| MAE | Mean absolute error |
| SHAP | SHapley Additive Explanations |
| DBH | Diameter at breast height (measured at 1.3 m) |
| FLAASH | Fast Line-of-sight Atmospheric Analysis of Spectral Hypercubes |
| NIR | Near-infrared |
| GLCM | Gray Level Co-occurrence Matrix |
| RTK-GNSS | Real-Time Kinematic—Global Navigation Satellite System |
| JL-1 | Jilin-1 (high-resolution satellite) |
| ntree | Number of trees (in a random forest) |
| maxdepth | Maximum tree depth |
| GLI | Green Leaf Index |
| EXG | Excess Green Index |
| GRVI | Green-Red Vegetation Index |
| VARI | Visible Atmospherically Resistant Index |
| GBT | Gradient Boosting Tree |
| RF | Random Forest |
| XGBoost | Extreme Gradient Boosting |
| GF-7 | Gaofen-7 |
References
- Li, Y.; Li, M.; Li, C.; Liu, Z. Forest Aboveground Biomass Estimation Using Landsat 8 and Sentinel-1A Data with Machine Learning Algorithms. Sci. Rep. 2020, 10, 9952. [Google Scholar] [CrossRef] [PubMed]
- Radtke, P.; Walker, D.; Frank, J.; Weiskittel, A.; DeYoung, C.; MacFarlane, D.; Domke, G.; Woodall, C.; Coulston, J.; Westfall, J. Improved Accuracy of Aboveground Biomass and Carbon Estimates for Live Trees in Forests of the Eastern United States. Forestry 2017, 90, 32–46. [Google Scholar] [CrossRef]
- Zhou, J.; Zan, M.; Zhai, L.; Yang, S.; Xue, C.; Li, R.; Wang, X. Remote Sensing Estimation of Aboveground Biomass of Different Forest Types in Xinjiang Based on Machine Learning. Sci. Rep. 2025, 15, 6187. [Google Scholar] [CrossRef]
- Kumar, L.; Sinha, P.; Taylor, S.; Alqurashi, A.F. Review of the Use of Remote Sensing for Biomass Estimation to Support Renewable Energy Generation. J. Appl. Remote Sens. 2015, 9, 097696. [Google Scholar] [CrossRef]
- Song, J.; Liu, X.; Adingo, S.; Guo, Y.; Li, Q. A Comparative Analysis of Remote Sensing Estimation of Aboveground Biomass in Boreal Forests Using Machine Learning Modeling and Environmental Data.|EBSCOhost. Available online: https://openurl.ebsco.com/contentitem/doi:10.3390%2Fsu16167232?sid=ebsco:plink:crawler&id=ebsco:doi:10.3390%2Fsu16167232 (accessed on 2 August 2025).
- Yang, Q.; Su, Y.; Hu, T.; Jin, S.; Liu, X.; Niu, C.; Liu, Z.; Kelly, M.; Wei, J.; Guo, Q. Allometry-Based Estimation of Forest Aboveground Biomass Combining LiDAR Canopy Height Attributes and Optical Spectral Indexes. For. Ecosyst. 2022, 9, 100059. [Google Scholar] [CrossRef]
- Dupuy, S.; Lainé, G.; Tassin, J.; Sarrailh, J.-M. Characterization of the Horizontal Structure of the Tropical Forest Canopy Using Object-Based LiDAR and Multispectral Image Analysis. Int. J. Appl. Earth Obs. Geoinf. 2013, 25, 76–86. [Google Scholar] [CrossRef]
- Sa, R.; Fan, W. Estimation of Forest Parameters in Boreal Artificial Coniferous Forests Using Landsat 8 and Sentinel-2A. Remote Sens. 2023, 15, 3605. [Google Scholar] [CrossRef]
- Thinley, J.; Pickering, C.; Ndehedehe, C. Comparing LiDAR-Generated above-Ground Biomass with Field Data in an Old-Growth Native Urban Forest in Australia. Sustain. Horiz. 2025, 15, 100147. [Google Scholar] [CrossRef]
- Breiman, L. Random Forests. Mach. Learn. 2001, 45, 5–32. [Google Scholar] [CrossRef]
- Cortes, C.; Vapnik, V. Support-Vector Networks. Mach. Learn. 1995, 20, 273–297. [Google Scholar] [CrossRef]
- Friedman, J.H. Greedy Function Approximation: A Gradient Boosting Machine. Ann. Stat. 2001, 29, 1189–1232. [Google Scholar] [CrossRef]
- Chen, T.; Guestrin, C. XGBoost: A Scalable Tree Boosting System. In Proceedings of the 22nd ACM SIGKDD International Conference on Knowledge Discovery and Data Mining, ACM, San Francisco, CA, USA, 13–17 August 2016; pp. 785–794. [Google Scholar]
- Zhang, X.; Shen, H.; Huang, T.; Wu, Y.; Guo, B.; Liu, Z.; Luo, H.; Tang, J.; Zhou, H.; Wang, L.; et al. Improved Random Forest Algorithms for Increasing the Accuracy of Forest Aboveground Biomass Estimation Using Sentinel-2 Imagery. Ecol. Indic. 2024, 159, 111752. [Google Scholar] [CrossRef]
- Wu, Y.; Ke, Y.; Chen, Z.; Liang, S.; Zhao, H.; Hong, H. Application of Alternating Decision Tree with AdaBoost and Bagging Ensembles for Landslide Susceptibility Mapping. CATENA 2020, 187, 104396. [Google Scholar] [CrossRef]
- Tian, X.; Li, J.; Zhang, F.; Zhang, H.; Jiang, M. Forest Aboveground Biomass Estimation Using Multisource Remote Sensing Data and Deep Learning Algorithms: A Case Study over Hangzhou Area in China. Remote Sens. 2024, 16, 1074. [Google Scholar] [CrossRef]
- Zhang, T.; Lin, H.; Long, J.; Zhang, M.; Liu, Z. Analyzing the Saturation of Growing Stem Volume Based on ZY-3 Stereo and Multispectral Images in Planted Coniferous Forest. IEEE J. Sel. Top. Appl. Earth Obs. Remote Sens. 2022, 15, 50–61. [Google Scholar] [CrossRef]
- Huang, L.; Huang, Z.; Zhou, W.; Wu, S.; Li, X.; Mao, F.; Song, M.; Zhao, Y.; Lv, L.; Yu, J.; et al. Landsat-Based Spatiotemporal Estimation of Subtropical Forest Aboveground Carbon Storage Using Machine Learning Algorithms with Hyperparameter Tuning. Front. Plant Sci. 2024, 15, 1421567. [Google Scholar] [CrossRef] [PubMed]
- Zheng, M.; Wen, Q.; Xu, F.; Wu, D. Regional Forest Carbon Stock Estimation Based on Multi-Source Data and Machine Learning Algorithms—ProQuest. Available online: https://www.proquest.com/openview/0c0ece1c0bb798af30296e7e5e6f7d91/1?pq-origsite=gscholar&cbl=2032398 (accessed on 29 October 2025).
- Hiebl, B.; Alessi, N.; Calvia, G.; Bricca, A.; Bonari, G.; Zangari, G.; Dorigo, W.; Zerbe, S.; Rutzinger, M. Advancing Forest Mapping: Pretraining Strategies and Deep-Ensemble Based Uncertainty for Predicting Evergreen Broad-Leaved Cover from Sentinel-2 Time Series. Int. J. Appl. Earth Obs. Geoinf. 2025, 142, 104734. [Google Scholar] [CrossRef]
- Lundberg, S.M.; Lee, S.-I. A Unified Approach to Interpreting Model Predictions. In Advances in Neural Information Processing Systems; Curran Associates, Inc.: Nice, France, 2017; Volume 30. [Google Scholar]
- Tang, J.; Liu, Y.; Li, L.; Liu, Y.; Wu, Y.; Xu, H.; Ou, G. Enhancing Aboveground Biomass Estimation for Three Pinus Forests in Yunnan, SW China, Using Landsat 8. Remote Sens. 2022, 14, 4589. [Google Scholar] [CrossRef]
- Ni, W.; Li, Z.; Wang, Q.; Zhang, Z.; Liu, Q.; Pang, Y.; He, Y.; Li, Z.; Sun, G. Forest Height Extraction Using GF-7 Very High-Resolution Stereoscopic Imagery and Google Earth Multi-Temporal Historical Imagery. J. Remote Sens. 2024, 4, 0158. [Google Scholar] [CrossRef]
- Matthew, M.W.; Adler-Golden, S.M.; Berk, A.; Felde, G.; Anderson, G.P.; Gorodetzky, D.; Paswaters, S.; Shippert, M. Atmospheric Correction of Spectral Imagery: Evaluation of the FLAASH Algorithm with AVIRIS Data. In Proceedings of the Applied Imagery Pattern Recognition Workshop, 2002. Proceedings, Washington, DC, USA, 16–18 October 2002; pp. 157–163. [Google Scholar]
- Haralick, R.M.; Shanmugam, K.; Dinstein, I. Textural Features for Image Classification. IEEE Trans. Syst. Man Cybern. 1973, SMC-3, 610–621. [Google Scholar] [CrossRef]
- Liu, J.; Zhu, Y.; Song, L.; Su, X.; Li, J.; Zheng, J.; Zhu, X.; Ren, L.; Wang, W.; Li, X. Optimizing Window Size and Directional Parameters of GLCM Texture Features for Estimating Rice AGB Based on UAVs Multispectral Imagery. Front. Plant Sci. 2023, 14, 1284235. [Google Scholar] [CrossRef] [PubMed]
- Zhou, J.; Yan Guo, R.; Sun, M.; Di, T.T.; Wang, S.; Zhai, J.; Zhao, Z. The Effects of GLCM Parameters on LAI Estimation Using Texture Values from Quickbird Satellite Imagery. Sci. Rep. 2017, 7, 7366. [Google Scholar] [CrossRef]
- Chen, C.; Yuan, X.; Gan, S.; Luo, W.; Bi, R.; Li, R.; Gao, S. A New Vegetation Index Based on UAV for Extracting Plateau Vegetation Information. Int. J. Appl. Earth Obs. Geoinf. 2024, 128, 103668. [Google Scholar] [CrossRef]
- Yue, J.; Yang, G.; Tian, Q.; Feng, H.; Xu, K.; Zhou, C. Estimate of Winter-Wheat above-Ground Biomass Based on UAV Ultrahigh-Ground-Resolution Image Textures and Vegetation Indices. ISPRS J. Photogramm. Remote Sens. 2019, 150, 226–244. [Google Scholar] [CrossRef]
- Zhou, R.; Yang, C.; Li, E.; Cai, X.; Wang, X. Aboveground Biomass Estimation of Wetland Vegetation at the Species Level Using Unoccupied Aerial Vehicle RGB Imagery. Front. Plant Sci. 2023, 14, 1181887. [Google Scholar] [CrossRef]
- Woebbecke, D.M. Plant Species Identification, Size, and Enumeration Using Machine Vision Techniques on Near-Binary Images. Available online: https://www.spiedigitallibrary.org/conference-proceedings-of-spie/1836/0000/Plant-species-identification-size-and-enumeration-using-machine-vision-techniques/10.1117/12.144030.short (accessed on 20 September 2025).
- Louhaichi, M.L.; Borman, M.M.; Johnson, D.E. Spatially Located Platform and Aerial Photography for Documentation of Grazing Impacts on Wheat: Geocarto International: Vol 16, No 1. Available online: https://www.tandfonline.com/doi/abs/10.1080/10106040108542184 (accessed on 20 September 2025).
- Tucker, C.J. Red and Photographic Infrared Linear Combinations for Monitoring Vegetation. Remote Sens. Environ. 1979, 8, 127–150. [Google Scholar] [CrossRef]
- Gitelson, A.A.; Kaufman, Y.J.; Stark, R.; Rundquist, D. Novel Algorithms for Remote Estimation of Vegetation Fraction. Remote Sens. Environ. 2002, 80, 76–87. [Google Scholar] [CrossRef]
- Liaw, A.; Wiener, M. Classification and Regression by randomForest. R News 2002, 2, 18–22. [Google Scholar]
- Singh, C. Remote Sensing-Based Biomass Estimation of Dry Deciduous Tropical Forest Using Machine Learning and Ensemble Analysis. J. Environ. Manag. 2022, 308, 114639. [Google Scholar] [CrossRef] [PubMed]
- Wolpert, D.H. Stacked Generalization. Neural Netw. 1992, 5, 241–259. [Google Scholar] [CrossRef]
- Hoerl, A.E.; Kennard, R.W. Ridge Regression: Biased Estimation for Nonorthogonal Problems. Technometrics 1970, 12, 55–67. [Google Scholar] [CrossRef]
- Zhang, Y.; Ma, J.; Liang, S.; Li, X.; Liu, J. A Stacking Ensemble Algorithm for Improving the Biases of Forest Aboveground Biomass Estimations from Multiple Remotely Sensed Datasets. GIScience Remote Sens. 2022, 59, 234–249. [Google Scholar] [CrossRef]
- Zeng, P.; Zhang, W.; Li, Y.; Shi, J.; Wang, Z. Forest Total and Component Above-Ground Biomass (AGB) Estimation through C- and L-Band Polarimetric SAR Data. Forests 2022, 13, 442. [Google Scholar] [CrossRef]
- Wai, P.; Su, H.; Li, M. Estimating Aboveground Biomass of Two Different Forest Types in Myanmar from Sentinel-2 Data with Machine Learning and Geostatistical Algorithms. Remote Sens. 2022, 14, 2146. [Google Scholar] [CrossRef]
- Mohammed, K.; Kpienbaareh, D.; Wang, J.; Goldblum, D.; Luginaah, I.; Lupafya, E.; Dakishoni, L. Synthesizing Local Capacities, Multi-Source Remote Sensing and Meta-Learning to Optimize Forest Carbon Assessment in Data-Poor Regions. Remote Sens. 2025, 17, 289. [Google Scholar] [CrossRef]
- Zhang, Y.; Liu, J.; Li, W.; Liang, S. A Proposed Ensemble Feature Selection Method for Estimating Forest Aboveground Biomass from Multiple Satellite Data. Remote Sens. 2023, 15, 1096. [Google Scholar] [CrossRef]
- Xue, J.; Su, B. Significant Remote Sensing Vegetation Indices: A Review of Developments and Applications—Xue—2017—Journal of Sensors—Wiley Online Library. Available online: https://onlinelibrary.wiley.com/doi/full/10.1155/2017/1353691 (accessed on 3 August 2025).
- Zhang, X.; Zhang, F.; Qi, Y.; Deng, L.; Wang, X.; Yang, S. New Research Methods for Vegetation Information Extraction Based on Visible Light Remote Sensing Images from an Unmanned Aerial Vehicle (UAV). Int. J. Appl. Earth Obs. Geoinf. 2019, 78, 215–226. [Google Scholar] [CrossRef]
- Jiang, Y.; Zhang, L.; Yan, M.; Qi, J.; Fu, T.; Fan, S.; Chen, B. High-Resolution Mangrove Forests Classification with Machine Learning Using Worldview and UAV Hyperspectral Data. Remote Sens. 2021, 13, 1529. [Google Scholar] [CrossRef]
- Xu, A.; Wang, F.; Li, L. Vegetation Information Extraction in Karst Area Based on UAV Remote Sensing in Visible Light Band—ScienceDirect. Available online: https://www.sciencedirect.com/science/article/abs/pii/S0030402622016138 (accessed on 3 August 2025).
- Bush, E.R.; Mitchard, E.T.A.; Silva, T.S.F.; Dimoto, E.; Dimbonda, P.; Makaga, L.; Abernethy, K. Monitoring Mega-Crown Leaf Turnover from Space. Remote Sens. 2020, 12, 429. [Google Scholar] [CrossRef]
- Ma, R.; Zhang, N.; Zhang, X.; Bai, T.; Yuan, X.; Bao, H.; He, D.; Sun, W.; He, Y. Cotton Verticillium Wilt Monitoring Based on UAV Multispectral-Visible Multi-Source Feature Fusion. Comput. Electron. Agric. 2024, 217, 108628. [Google Scholar] [CrossRef]
- Lu, D.; Chen, Q.; Wang, G.; Liu, L.; Li, G.; Moran, E. A Survey of Remote Sensing-Based Aboveground Biomass Estimation Methods in Forest Ecosystems. Int. J. Digit. Earth 2016, 9, 63–105. [Google Scholar] [CrossRef]
- Iqbal, N.; Mumtaz, R.; Shafi, U.; Zaidi, S.M.H. Gray Level Co-Occurrence Matrix (GLCM) Texture Based Crop Classification Using Low Altitude Remote Sensing Platforms. PeerJ Comput. Sci. 2021, 7, e536. [Google Scholar] [CrossRef]
- Lin, H.; Zhao, W.; Long, J.; Liu, Z.; Yang, P.; Zhang, T.; Ye, Z.; Wang, Q.; Matinfar, H.R. Mapping Forest Growing Stem Volume Using Novel Feature Evaluation Criteria Based on Spectral Saturation in Planted Chinese Fir Forest. Remote Sens. 2023, 15, 402. [Google Scholar] [CrossRef]
- Ma, J.; Li, X.; Jia, B.; Liu, X.; Li, T.; Zhang, W.; Liu, W. Spatial Variation Analysis of Urban Forest Vegetation Carbon Storage and Sequestration in Built-Up Areas of Beijing Based on i-Tree Eco and Kriging. Urban For. Urban Green. 2021, 66, 127413. [Google Scholar] [CrossRef]
- McGarvey, J.C.; Thompson, J.R.; Epstein, H.E.; Shugart, H.H. Carbon Storage in Old-growth Forests of the Mid-atlantic: Toward Better Understanding the Eastern Forest Carbon Sink. Ecology 2015, 96, 311–317. [Google Scholar] [CrossRef]
- Mo, L.; Zohner, C.M.; Reich, P.B.; Liang, J.; de Miguel, S.; Nabuurs, G.-J.; Renner, S.S.; van den Hoogen, J.; Araza, A.; Herold, M.; et al. Integrated Global Assessment of the Natural Forest Carbon Potential. Nature 2023, 624, 92–101. [Google Scholar] [CrossRef]
- Chrysafis, I.; Mallinis, G.; Siachalou, S.; Patias, P. Assessing the Relationships Between Growing Stock Volume and Sentinel-2 Imagery in a Mediterranean Forest Ecosystem. Remote Sens. Lett. 2017, 8, 508–517. [Google Scholar] [CrossRef]
- Forkuor, G.; Zoungrana, J.-B.; Dimobe, K.; Ouattara, B.; Vadrevu, K.P. Above-Ground Biomass Mapping in West African Dryland Forest Using Sentinel-1 and 2 Datasets—A Case Study. Remote Sens. Environ. 2020, 236, 111496. [Google Scholar] [CrossRef]
- Duncanson, L.; Kellner, J.R.; Armston, J.; Dubayah, R.; Minor, D.M.; Hancock, S.; Healey, S.P.; Patterson, P.L.; Saarela, S.; Marselis, S.; et al. Aboveground Biomass Density Models for NASA’s Global Ecosystem Dynamics Investigation (GEDI) Lidar Mission. Remote Sens. Environ. 2022, 270, 112845. [Google Scholar] [CrossRef]
- Persson, H.J.; Huuva, I. Polarimetric Measures in Biomass Change Prediction Using ALOS-2 PALSAR-2 Data. Remote Sens. 2024, 16, 953. [Google Scholar] [CrossRef]
- Kellner, J.R.; Armston, J.; Duncanson, L. Algorithm Theoretical Basis Document for GEDI Footprint Aboveground Biomass Density. Earth Space Sci. 2023, 10, e2022EA002516. [Google Scholar] [CrossRef]
- Ploton, P.; Mortier, F.; Réjou-Méchain, M.; Barbier, N.; Picard, N.; Rossi, V.; Dormann, C.; Cornu, G.; Viennois, G.; Bayol, N.; et al. Spatial Validation Reveals Poor Predictive Performance of Large-Scale Ecological Mapping Models. Nat. Commun. 2020, 11, 4540. [Google Scholar] [CrossRef]
- Reichstein, M.; Camps-Valls, G.; Stevens, B.; Jung, M.; Denzler, J.; Carvalhais, N. Prabhat Deep Learning and Process Understanding for Data-Driven Earth System Science. Nature 2019, 566, 195–204. [Google Scholar] [CrossRef] [PubMed]
- Li, J.; Hong, D.; Gao, L.; Yao, J.; Zheng, K.; Zhang, B.; Chanussot, J. Deep Learning in Multimodal Remote Sensing Data Fusion: A Comprehensive Review. Int. J. Appl. Earth Obs. Geoinf. 2022, 112, 102926. [Google Scholar] [CrossRef]










| Variables | DBH (cm) | H (m) | AGB (Mg/ha) |
|---|---|---|---|
| MAX | 47.90 | 29.10 | 1028.98 |
| MIN | 5.04 | 2.00 | 6.39 |
| MEAN | 14.43 | 9.99 | 112.95 |
| Standard deviation | 5.77 | 4.43 | 93.95 |
| Standard error | 0.16 | 0.12 | 2.56 |
| Texture Indices | Formula |
|---|---|
| Mean | |
| Homogeneity | |
| Dissimilarity | |
| Entropy | |
| Second Moment | |
| Correlation | |
| Contrast | |
| Variance |
| Index Type | Index Name | Formula | References |
|---|---|---|---|
| Vegetation indices | Excess-green (EXG) | [31] | |
| Vegetation indices | Green Leaf Index (GLI) | [32] | |
| Vegetation indices | Green-Red Vegetation Index (GRVI) | [33] | |
| Visible Atmospherically Resistant Index | Visible Atmospherically Resistant Index (VARI) | [34] |
| Model | R2 (95% CI) | RMSE (95% CI) | MAE (95% CI) |
|---|---|---|---|
| RF | 0.58 (0.54–0.61) | 60.85 (47.28–74.42) | 40.75 (37.48–44.02) |
| GBT | 0.57 (0.47–0.66) | 61.23 (56.13–66.33) | 41.90 (40.27–43.53) |
| XGBoost | 0.59 (0.49–0.68) | 60.12 (48.18–72.06) | 41.38 (38.73–44.03) |
| Stacking | 0.62 (0.49–0.76) | 57.34 (47.14–67.54) | 39.99 (36.79–43.19) |
Disclaimer/Publisher’s Note: The statements, opinions and data contained in all publications are solely those of the individual author(s) and contributor(s) and not of MDPI and/or the editor(s). MDPI and/or the editor(s) disclaim responsibility for any injury to people or property resulting from any ideas, methods, instructions or products referred to in the content. |
© 2025 by the authors. Licensee MDPI, Basel, Switzerland. This article is an open access article distributed under the terms and conditions of the Creative Commons Attribution (CC BY) license (https://creativecommons.org/licenses/by/4.0/).
Share and Cite
Liu, J.; Liu, M.; Shen, T.; Yan, F.; Zhou, Z. Forest Aboveground Biomass Estimation Using High-Resolution Imagery and Integrated Machine Learning. Forests 2025, 16, 1777. https://doi.org/10.3390/f16121777
Liu J, Liu M, Shen T, Yan F, Zhou Z. Forest Aboveground Biomass Estimation Using High-Resolution Imagery and Integrated Machine Learning. Forests. 2025; 16(12):1777. https://doi.org/10.3390/f16121777
Chicago/Turabian StyleLiu, Jiaqi, Maohua Liu, Tao Shen, Fei Yan, and Zeyuan Zhou. 2025. "Forest Aboveground Biomass Estimation Using High-Resolution Imagery and Integrated Machine Learning" Forests 16, no. 12: 1777. https://doi.org/10.3390/f16121777
APA StyleLiu, J., Liu, M., Shen, T., Yan, F., & Zhou, Z. (2025). Forest Aboveground Biomass Estimation Using High-Resolution Imagery and Integrated Machine Learning. Forests, 16(12), 1777. https://doi.org/10.3390/f16121777

