Next Article in Journal
Detection of Vegetation Proximity to Power Lines: Critical Review and Research Roadmap
Next Article in Special Issue
Analysis of Spatiotemporal Changes in NDVI-Derived Vegetation Index and Its Influencing Factors in Kunming City (2000 to 2020)
Previous Article in Journal
Parameter Optimization for Robust Urban Tree Crown Delineation: Enhancing Accuracy in Raster-Based Segmentation
 
 
Font Type:
Arial Georgia Verdana
Font Size:
Aa Aa Aa
Line Spacing:
Column Width:
Background:
Article

Genome-Wide Identification and Analysis of the AP2/ERF Gene Family in Rhododendron hainanense and Its Response to Waterlogging Treatment

1
Key Laboratory of Ministry of Education for Genetics and Germplasm Innovation of Tropical Special Treesand Ornamental Plants, Hainan Biological Key Laboratory for Germplasm Resources of Tropical Special Ornamental Plants, College of Tropical Agriculture and Forestry, Hainan University, Haikou 570228, China
2
School of Agricultural and Forestry, Hainan University, Haikou 570228, China
3
Hainan Institute of National Park, Haikou 570203, China
*
Author to whom correspondence should be addressed.
Forests 2025, 16(11), 1657; https://doi.org/10.3390/f16111657
Submission received: 21 September 2025 / Revised: 20 October 2025 / Accepted: 23 October 2025 / Published: 30 October 2025
(This article belongs to the Special Issue Abiotic and Biotic Stress Responses in Trees Species—2nd Edition)

Abstract

Rhododendron hainanense Merr. is a tropical flowering shrub valued for its strong orna-mental and medicinal properties; however, its horticultural application is limited by its susceptibility to waterlogging disasters. The AP2/ERF transcription factor family plays crucial roles in plant growth, development, and responses to biotic and abiotic stresses; however, its regulatory mechanism in response to waterlogging stress remains unclear. This study conducted a genome-wide analysis of the AP2/ERF transcription factor family in R. hainanense, identifying 142 RhAP2/ERFs genes distributed across 13 chromosomes and classified into five subfamilies. Conserved motif analysis confirmed the characteristic AP2 domain structure. Gene duplication events revealed 16 segmental duplication pairs, indicating a potential role in adaptive evolution. Cis-element and protein interaction analyses suggested involvement in abiotic stress responses. Transcriptome and qRT-PCR results under waterlogging stress showed significant up-regulation of RhERF9 and RhERF95, with RhERF9 expression increasing 130-fold after 3 days, implying a positive regulatory role for the RhERF9 protein in early waterlogging response. Tissue-specific expression highlighted RhERF9’s strong induction in roots, associated with aerenchyma formation and hypoxia adaptation. The identified candidate AP2/ERF genes in R. hainanense play important roles in abiotic stress resistance and lay a foundation for future applications in breeding and horticulture.

1. Introduction

With the increasing frequency of extreme weather events, waterlogging disasters have intensified globally, posing serious challenges to the production and application of landscape plants. A more in-depth understanding of plant response mechanisms to waterlogging stress is highly important for enhancing stress resistance and facilitating genetic improvement in horticultural species. R. hainanense, an endemic species in China, is primarily distributed in the mountainous areas of southwestern Hainan Province, such as Limu Mountain, Diaoluo Mountain, and Jianfeng Ridge. R. hainanense typically grows along streams at elevations between 200 and 800 m [1] and is listed as a provincially protected plant in Hainan. This species is a low evergreen shrub, characterized by bright flower colors and dense flower clusters. R. hainanense also shows strong heat-tolerance and wide adaptability and is distributed at a lower altitude. Its flowering period coincides with the New Year and the Spring Festival, so it has high ornamental value. In addition, R. hainanense is well suited for use in landscape applications such as shaped bonsai, flower beds, group plantings, and specialized gardens [2]. Furthermore, the species holds significant economic potential beyond horticulture, with prospects for development in botanical and traditional applications, which further supports its commercial value. Despite its significant ornamental, horticultural, medicinal, and economic potential, wild R. hainanense predominantly grows in shady and humid environments, rendering it highly susceptible to waterlogging stress, which constitutes a major constraint to its domestication [3]. Studies have shown that the AP2/ERF gene family is large and plays important roles in regulating gene expression during abiotic stresses [4], particularly in response to waterlogging or flooding [5,6]. Therefore, research into the waterlogging tolerance mechanisms of plants is especially important.
AP2/ERF family belongs to one of the most conserved and important TF families in the plant kingdom [7]. Transcription factor families engage in quite a lot of different activities in controlling biology and physiology, including responses to abiotic strain, growth and development, and plant formation [8]. AP2/ERF TFs have important roles in plant growth and development and are grouped into five subfamilies based on amino acid sequence similarities and conserved domains: AP2, ERF, DREB, RAV, and Soloist. The AP2 subfamily, like the ERF and DREB subfamilies, have two defining AP2 domains. The RAV subfamily has a B3 domain, together with an AP2 domain. And the ERF family is divided into two subcategories, containing the DREB subfamily with the group B1-B6 and the ERF subfamily with the group A1-A6 [7,8,9]. Also, different subfamilies also have different forms of structures. AP2 subfamily members control flowering time and floral organ development [10,11]. Members of the ERF and DREB subfamilies were mainly associated with responses to abiotic stress such as cold and waterlogging [12,13], while members of the RAV subfamily were mainly associated with the regulation of plant hormones such as ethylene and brassinosteroids [14]. In contrast, the Soloist subfamily appears distinct, warranting further investigation to elucidate its functional role. The AP2/ERF family, meanwhile, has been extensively studied across diverse plant species, including strawberry (Fragaria × ananassa), peach (Prunus persica), grape (Vitis vinifera), kiwifruit (Actinidia valvata), and various citrus (Citrus spp.) [14,15,16,17].
In ERF proteins, the 14th and 19th amino acid residue of the AP2 domain are Alanine and Aspartic acid, respectively, but in the DREB protein, Valine and Glutamic Acid, respectively, occupy the 14th and 19th position. The ERF family can also be classified into twelve groups [18], which are shown to enhance plant waterlogging tolerance, in particular, group VII [7]. In Arabidopsis thaliana, five ERF-VII members (HRE1, HRE2, RAP2.2, RAP2.3, and RAP2.12) are regarded as the major regulators for waterlogging and hypoxia tolerance [19]. Two rice ERF-VII, SNORKEL1 and SNORKEL2, are involved in the escape strategy away from flooding and are transcriptionally activated under submergence in an ethylene-dependent manner [6]. Another rice ERF-VII gene, SUB1A, uses a quiescent survival strategy to limit growth and increase fermentative capacity [5]. Also, overexpression of ZmEREB180, which belongs to the Group V ethylene-responsive factor gene family in zeamaies, increases survival after an extended period of waterlogging, increases adventitious root formation, and regulates for antioxidants [19]. TaERFVII.1 is a member of the ERF family in wheat (Triticum aestivum), and it has been confirmed to improve waterlogging tolerance without affecting yield [20].
Despite the limited knowledge of the AP2/ERF gene family in R. hainanense, this study performs a comprehensive, genome-wide identification and characterization of its members using bioinformatics approaches. These were employed together with RNA sequencing (RNA-seq) to screen for key waterlogged AP2/ERF genes. The purpose of this study is to provide a more detailed understanding about AP2/ERF family functions and to form the basis for later studies of R. hainanense waterlogging-tolerant gene functions.

2. Materials and Methods

2.1. Identification of the RhAP2/ERF Family Members R. hainanense

This research was based on whole genome of R. hainanense obtained from our previous work to identify the AP2/ERF gene family. The workflow was as follows: The structural data and the matching HMM profile (PF00847) of the AP2/ERF domain were obtained from the Pfam database. The HMM profile was then utilized to search into the proteomics database of R. hainanense with a very strict e-value cutoff of <1 × 10−20 [21], to find potential AP2/ERF family members. The Markov Model for Alignment Analysis was used to verify the result. The protein sequences of the AP2/ERF family in the model plant Arabidopsis thaliana were obtained for comparison from TAIR database (https://www.arabidopsis.org/index.jsp, accessed on 20 September 2024.). Then we used these A. thaliana AP2/ERF sequences as a reference and performed a blast through TBtools, using the R. hainanense protein dataset to obtain a preliminary set of candidate proteins. Putative AP2/ERF genes were defined by a sequence shared by two species. To find the final candidates for the RhAP2/ERF gene family, the AP2/ERF protein conserved domains were further analyzed by NCBI CDD (https://www.ncbi.nlm.nih.gov/cdd, accessed on 30 September 2024). TBtools was used to predict the molecular weight, pI, instability index, aliphatic index, and GRAVY value for the AP2/ERF transcription factor in R. hainanense [22]. In addition, the online tool ProtParam (https://web.expasy.org/protparam, accessed on 10 October 2024/) and the subcellular localization prediction server Cell-PLoc 2.0 (http://www.csbio.sjtu.edu.cn/bioinf/Cell-PLoc-2/, accessed on 15 October 2024) were used to analyze the physicochemical properties of the RhAP2/ERF protein sequences [23].

2.2. Analysis of Gene Structure and Conserved Motifs

The exon–intron structure of AP2/ERF genes was visualized using TBtools (version 2.119) [24]. Conserve motifs in the RhAP2/ERF of R. hainanense were obtained by using MEME suite (https://meme-suite.org, accessed on 15 October 2024), with a motif of 10. To obtain the distribution of the motifs, we applied TBtools [25].

2.3. Phylogenetic Analysis

A phylogenetic analysis was performed using the protein sequences of the identified RhAP2/ERFs from R. hainanense and their homologs (AtAP2/ERFs) from A. thaliana. The phylogenetic tree was constructed with the neighbor-joining (NJ) method in MEGA5 software, based on 1000 bootstrap replicates [26]. Next, we used the iTol software (https://itol.embl.de/) to visualize the spawned tree.

2.4. Chromosomal Localization and Cis-Acting Element Analysis

Gene locations were obtained from the GFF file. Then, the chromosomal positions of all AP2/ERF members were mapped and visualized with the mapping function of TBtools [27]. As for the cis-active element prediction, 2000 bp upstream of the start codon sequence of each R. hainanense AP2/ERF gene was sent to PlantCARE (http://bioinformatics.psb.ugent.be/webtools/plantcare/html/, accessed on 15 October 2024). PlantCARE then sorted and simplified their results for further analysis.

2.5. Synteny Analysis

Gene duplication events were analyzed using MCScanX on TBtools (v2.119) [27]. Collinear gene pairs were defined according to requirements that alignments should cover at least 75% of the longer gene and should have at least 75% sequence identity. Synteny analysis was performed within the genome of R. hainanense and among R. hainanense, Arabidopsis thaliana, and Rhododendron simsii. Homology comparisons were made by performing a BLASTp search of the 142 RhAP2/ERF protein sequences against the AP2/ERF protein sets for the rest of the species with an E-value < 1 × 10−10. After outputting the resulting files and the annotated simplified GFF file in GFF, it was fed into MCScanX to find duplications under default conditions. The nonsynonymous (Ka) and synonymous (Ks) substitution rates for the duplicated gene pairs in the RhAP2/ERF family were calculated using the Ka/Ks calculator (v1.0).

2.6. Protein Structure Visualization and Protein Interaction Network Analysis

The protein sequences translated from the RhAP2/ERF genes were used to predict and analyze the three-dimensional conformational structures of the RhAP2/ERF proteins using the AlphaFold2 method (https://colabfold.mmseqs.com, accessed on 15 October 2024). The predicted models were subsequently subjected to visual inspection and evaluation [28]. All the RhAP2/ERF protein sequences were submitted to the STRING database (https://cn.string-db.org, accessed on 15 October 2024). Direct orthologous sequences from Arabidopsis thaliana were selected as the reference for BLAST (version 11.5) alignment. A protein interaction network was then constructed using the highest-confidence interaction pairs.

2.7. Plant Stress Treatment and Expression Profiling of R. hainanense AP2/ERF Genes

Experimental plant materials were obtained from the Danzhou Agriculture Experimental Station of Hainan University. Uniformly growing two-year-old cuttings were cho-sen and cultivated in a greenhouse. The waterlogging treatment was implemented by placing the pots in water-filled containers and maintaining a constant water level 2–3 cm above the soil surface, thereby submerging the root system while keeping the aerial parts exposed. The water was stagnant to allow for rapid oxygen depletion in the rhizosphere, creating a pronounced hypoxic stress. A pot was treated for waterlogging treatment. Both Ck and Tr groups were taken at 0, 3, 5, 7, 10, 15, and 20 days of waterlogging. There are three biological replications for each point. Following treatment, all root tissues were frozen on liquid nitrogen and were stored at −80 °C before DNA and RNA extraction and sequencing. Total RNA of R. hainanense were extracted with an RNAprep Pure Plant Kit (TIANGEN, Beijing, China). RNA concentration was measured by using a NanoDrop ND-2000 spectrophotometer (Thermo Fisher Scientific, Waltham, MA USA). RNA was reverse-transcribed into cDNA using same amount of RNA using HiScript III RT SuperMix (Vazyme, Nanjing, China). A subset of candidate genes were picked for RNA-seq validation The quantitative real-time PCR (qRT-PCR) was carried out on Applied Biosystems QuantStudio 3 & 5 systems (Thermo Fisher scientific, USA). The reaction was conducted with the SuperReal PreMix Plus (SYBR Green) kit (TIANGEN) using the following protocol: initial denaturation at 95 °C for 1 min, followed by 40 repeated cycles of 95 °C for 30 s, 60 °C for 30 s, and a final melting curve analysis consisting of 95 °C for 30 s, 60 °C for 30 s, and 95 °C for 30 s. We used Primer Premier (version 5.00) for specific primer design. The primer list and the RNA concentration and volume are shown in Supplementary File S1. The 18S rRNA gene was set as the internal reference. Relative expression levels of target genes were calculated using the 2−ΔΔCT method. All the experiments had three technical replicates and the means of the results from each experiment were used. TBtools was used to visualize the transcriptomic gene expression.

2.8. Tissue-Specific Expression of R. hainanense ERF

The plant materials used were obtained from the Danzhou Agricultural Experimental Station of Hainan University. Two-year-old cuttings of uniform growth vigor were grown in a greenhouse and subjected to pot-based waterlogging. The plants from both the control (Ck) and waterlogged (Tr) groups were harvested at 0 and 3 days; each group consists of three biological replicates. After the treatment, many kinds of tissues were sampled, including new and old roots, new and old leaves, and new and old stems. They were immediately frozen with liquid nitrogen and stored in −80 °C. Then, we were able to obtain the RNA and carry out sequencing. The all-experiment procedures for RNA extraction, cDNA synthesis, and qRT-PCR analysis were carried out as mentioned in Section 2.7.

3. Results

3.1. Identification and Physicochemical Characterization of the R. hainanense ERF Gene Family

Our research group sequenced the whole genome of R. hainanense. We first performed an alignment of the whole R. hainanense genome onto the HMM for the plant AP2/ERF domain (PF00847), with an extremely stringent E-value cut-off <1 × 10−20, and the protein sequences of the AtAP2/ERF family genes were searched from the Arabidopsis thaliana database and used as a query sequence to do Blast alignment against the full set of R. hainanense protein sequences. We regarded the genes at the intersection of the results from the two alignment approaches as candidate genes for the R. hainanense AP2/ERF gene family. To check the integrity of candidate R. hainanense proteins, the corresponding AP2/ERF conserved domain was checked by the NCBI-CDD and SMART databases. After thorough screening, 142 AP2/ERFs gene family members dispersed among 13 chromosomes were discovered; these genes were named RhERF1 to RhERF142 with respect to the order of genomic position.
We conducted bioinformatics analysis on the physicochemical properties of the analyzed RhAP2/ERF proteins (in Supplementary File S2). In the results we can see a lot of diversity within the physiological members of the RhAP2/ERF family. Predicted properties show that in case of RhAP2/ERFs, amino acid length varies from 83 to 2143 aa, avg 292 aa. Their molecular weights were in the range of 9.12–241.11 kDa, with an average of 32.25, and their pH range was 4.13–11.74, with the average of 6.84. Out of these proteins, there were 54 RhAP2/ERF proteins with a pI > 7, which showed their basic character, and 88 RhAP2/ERF proteins were acidic, showing pI < 7. The instability index was 52.76 on average (range: 26.82~102.19). The number of proteins with an instability index larger than 40 was 125. These proteins are unstable proteins. Only 17 RhAP2/ERFs had an instability index lower than 40, which made them stable, showing that there were many unstable RhAP2/ERFs. The liphatic index was averaged at 62.26 (32.16–81.12), with a grand average hydropathicity (GRAVY) of −0.661 (−1.237–−0.039). All 142 RhAP2/ERFs have negative GRAVY values, which means that all the proteins are hydrophilic. Of all 90 RhAP2/ERFs, 90 RhAP2/ERFs were predicted to be in the nucleus, 45 in both the cytoplasm and the nucleus, 4 in the cytoplasm, 1 in both the chloroplast and the nucleus, 1 in both the chloroplast and the cytoplasm, and 1 in the cell membrane. The dominant nuclear localization agrees with the AP2/ERFs being transcription factors that operate within the nucleus to regulate the genes.

3.2. Analysis of Gene Structure and Conserved Motifs in the R. hainanense ERF Family

Furthermore, we studied the phylogenetic relationship and structural characteristics of AP2/ERF in R. hainanense by analyzing its gene structures and conserved motifs (Figure 1): there is an AP2 in each gene. From the analysis we can see that there is a big variation in the number of motifs that are present in AP2/ERF genes—motif 1–motif 10. In particular, the AP2 subfamily had seven motifs (motifs 1, 2, 3, 4, 5, 6, and 8), members of this subfamily contained motifs (1, 2, 3, 4, and 5), the ERF subfamily had seven motifs (motif 1, 2, 3, 4, 7, 9, and 10), and the DREB subfamily had six motifs (motif 1, 2, 3, 4, 6, and 10). The Soloist subfamily contained only one motif, and the RAV subfamily contained 1, 2, and 3. Interestingly, the Soloist and RAV subfamilies shared motif 1, which may correspond to the AP2 domain.

3.3. Phylogenetic Analysis of the R. hainanense ERF Family

To elucidate the evolutionary relationships within the AP2/ERF gene family of R. hainanense, a phylogenetic tree was generated using the full-length protein sequences of these genes from both R. hainanense (RhAP2/ERFs) and Arabidopsis thaliana (AtAP2/ERFs) (Figure 2). Following the established classification system for A. thaliana, the RhAP2/ERF genes were grouped into five subfamilies: RhAP2, RhERF, RhDREB, RhRAV, and RhSoloist. The RhERF subfamily, comprising 76 members, was the most extensive and was further divided into six subgroups (B1–B6). Subgroup B3 constituted the largest group with 31 genes, whereas B2 was the smallest, containing only four members. The RhDREB subfamily included 43 genes distributed across six subgroups (A1–A6), of which A4 was the largest (15 members) and A3 the smallest (1 member). Additionally, the RhAP2 subfamily contained 15 members. Collectively, the ERF, DREB, and AP2 subfamilies represented 95.7% of all RhAP2/ERF genes. The remaining members belonged to the Soloist and RAV subfamilies, with two and four genes, respectively.

3.4. Chromosomal Localization and Cis-Acting Element Analysis of R. hainanense ERF Genes

Chromosomal localization is often a critical factor influencing gene function and evolution. On the basis of the general feature format (GFF) file of the R. hainanense genome, the chromosomal locations of the ERF gene family were extracted and mapped (Figure 3). The results revealed that all 142 RhAP2/ERF genes were distributed across all 13 chromosomes of R. hainanense. The distribution is as follows: RhERF1RhERF9 are located on chromosome 1 (6.34% of the total), RhERF10RhERF22 on chromosome 2 (9.15%), RhERF23RhERF32 on chromosome 3 (7.04%), RhERF33RhERF43 on chromosome 4 (7.74%), RhERF44RhERF53 on chromosome 5 (7.04%), RhERF54RhERF69 on chromosome 6 (11.27%), RhERF70RhERF87 on chromosome 7 (12.68%), RhERF88RhERF90 on chromosome 8 (2.12%), RhERF91RhERF101 on chromosome 9 (7.74%), RhERF102RhERF110 on chromosome 10 (6.34%), RhERF111RhERF117 on chromosome 11 (4.94%), RhERF118RhERF131 on chromosome 12 (9.86%), and RhERF132RhERF142 on chromosome 13 (7.74%).
RhAP2/ERF genes are distributed across all chromosomes. Among them, Chr2, Chr6, Chr7, and Chr12 contain the greatest number of AP2/ERF family members, with 13, 16, 18, and 14 members, respectively. In contrast, Chr8 had the fewest members, with only three. Notably, although Chr1 is the longest chromosome, it does not harbor the greatest number of AP2/ERF members, indicating a lack of significant correlation between chromosome length and the distribution of AP2/ERF genes.
Transcription factors are key to coordinate plants’ response to biotic and abiotic stresses. In living things, cis-regulatory parts change how genes work by making places where different proteins can attach to them [29]. Therefore, it can be concluded that the role of cis-regulatory elements is determined by the specific binding sites for the cis-regulatory element and whether they are interacting with different kinds of functional proteins [30]. We obtained a 2000 bp promoter region of the AP2/ERF gene upstream and conducted the analysis of cis-elements using the online tool PlantCARE (in Supplementary File S3) (Figure 4). AP2/ERF is a very important gene for plant growth and development. And they show great functional differences in response to different psychotropics and environmental stresses as well. We can also observe that there are a large amount of cis-acting elements on the promoter region of AP2/ERF, including the response element of plant hormones, light, stress, biotic stimuli and abiotic stimuli.
Analysis of the RhAP2/ERF promoter sequences identified common core elements, including CAAT-boxes and TATA-boxes, along with various cis-elements associated with environmental stress, hormone signaling, and growth and development. In them, the hormone-responding components (eight types) are ABRE (abscisic acid-responding portion), TGA-part (auxin-responding element), CGTCA-motif (methyl jasmonate-responding component), TGACG-motif (methyl jasmonate-responding element) P-box (gibberellin-responding component), TCA-portion (salicylic acid-responding portion) AUXRR-core (auxin-responding portion), and TATC-box (gibberellin-responding portion). Light-responsive elements (five types) include G-box, I-box, MRE, SP1, and Box II. The stress-responsive (four types) are LTR (low-temperature response element), ARE (anaerobic induction element), MBS (drought response element), and TC-rich repeat (defense and stress response element). The growth and development elements (two sorts) are CAT-box (Meristem-expression related element) and O2-site (Zein metabolism-independent element).

3.5. Synteny Analysis of AP2/ERF Genes

To investigate gene duplication events within the RhAP2/ERF family, MCScanX (v2.119) was used to analyze the 142 members located across all 13 chromosomes (Figure 5). A total of 16 pairs of duplicate gene pairs were identified, namely, RhERF3 & RhERF107, RhERF5 & RhERF105, RhERF6 & RhERF104, RhERF8 & RhERF103, RhERF11 & RhERF82, RhERF50 & RhERF71, RhERF51 & RhERF70, RhERF59 & RhERF98, RhERF65 & RhERF101, RhERF81 & RhERF100, RhERF86 & RhERF101, RhERF118 & RhERF133, RhERF122 & RhERF134, RhERF123 & RhERF135, RhERF127 & RhERF51, and RhERF139 & RhERF94 (in Supplementary File S4). Notably, all duplicated gene pairs belonged to the same subgroup, and chromosomes 1 and 12 presented a relatively high frequency of segmental duplication events. To explore the evolutionary constraints acting on these duplicates, the Ka/Ks Calculator (v1.0) was employed to compute nonsynonymous (Ka) and synonymous (Ks) substitution rates. The Ka/Ks values for all duplicated segments were less than 1, indicating that the RhAP2/ERF genes have evolved under purifying selection, which may act as an important evolutionary force in maintaining functional constraint (Table 1).
A comparative synteny analysis was performed to identify conserved AP2/ERF orthologs in Arabidopsis thaliana and Rhododendron simsii (Figure 6). The results demonstrated that the collinear gene pairs have experienced lineage-specific expansion. Furthermore, the highest level of syntenic conservation was observed in R. simsii, while a comparatively lower degree was found in A. thaliana. Notably, chromosome 7 harbored the most significant concentration of these orthologous genes among all species examined. Overall, the greatest number of syntenic orthologues was identified between A. thaliana, suggesting that AP2/ERF genes are evolutionarily conserved and likely share a common ancestral origin, despite instances of gene duplication or loss. Throughout evolution, R. hainanense and R. simsii, both of which are classified within the genus Rhododendron, exhibited a closer evolutionary relationship, as reflected by their higher syntenic conservation.

3.6. Visualization of AP2/ERF Protein Structures and Interaction Networks

Protein function is determined by its three-dimensional structure, and different structural conformations can lead to distinct functional outcomes [31]. AlphaFold2 was used to predict the structure of AP2/ERF proteins, and confidence (pLDDT) and expected errors were extracted from the model output; among them, the dark blue territory represents high pLDDT, the blue territory represents medium pLDDT, and the gray territory represents low pLDDT. Conserved residues are marked in yellow, and the green territory on the right indicates the credibility of the prediction. The results reveal structural differences between different subfamilies, and closely related subfamilies show similar structures, thus having similar biological functions (Figure 7). For example, ERF B-1, B-2, B-3, B-4, B-5, and B-6, which are members of the ERF subfamily, share highly similar structures. Similarly, DREB A-1, A-2, A-3, A-4, A-5, and A-6, which constitute the DREB subfamily, also exhibited consistent structural features. Notably, the RAV subfamily showed pronounced central symmetry. Three-dimensional modeling of these proteins and structural predictions across subfamilies provide a foundational basis for exploring their functional mechanisms.
To elucidate the functions of the RhAP2/ERF proteins, a protein interaction network was predicted based on their homologous genes in Arabidopsis thaliana (Figure 8). The resulting network consisted of 77 nodes and interactions. Furthermore, the majority of AP2/ERF proteins were predicted to interact with other proteins, suggesting their involvement in complex regulatory mechanisms.
To interpret the functional significance of this protein interaction network, we studied the topological property analysis centered on hub genes and functional modules. The study found that multiple RhAP2/ERF proteins form core hubs with high connectivity, especially the homologous proteins of AtRAP2.2 (AT3G14230), AtRAP2.12 (AT1G53910), and AtERF73/HRE1 (AT1G72360). In Arabidopsis thaliana, these hub genes are recognized as core regulatory factors of hypoxic response, and the core signaling modules formed by them can integrate ethylene and reactive oxygen species signals, thereby activating the anaerobic fermentation pathway and other adaptability genes [13,19]. The core position of these homologous genes in the network strongly indicates that the RhAP2/ERF protein family plays a conserved and crucial role in waterlogging stress of R. hainanense. In addition, the network shows clear functional clustering characteristics. One of the main modules is closely associated with ethylene signaling components, containing homologous proteins of AtERF1 and AtERF2 that are known to regulate ethylene-responsive gene expression, and this module may support the rapid transcription triggered by ethylene accumulation during waterlogging stress. Another part is associated with genes related to osmotic stress and ABA signaling, which may coordinately regulate the maintenance of water balance in hypoxic environments. Prediction results show that there are associations between different subgroups of RhAP2/ERF proteins (such as ERF-VII and DREB members), indicating the existence of a complex signal crosstalk mechanism that can integrate multiple stress signals such as hypoxia, osmosis, and oxidation, and ultimately form a harmonized transcriptional output, thereby enhancing the overall stress resistance of plants to waterlogging stress.

3.7. Analysis of Expression Patterns in R. hainanense Under Waterlogging Stress

3.7.1. Analysis of AP2/ERF Gene Expression Patterns Under Waterlogging Stress

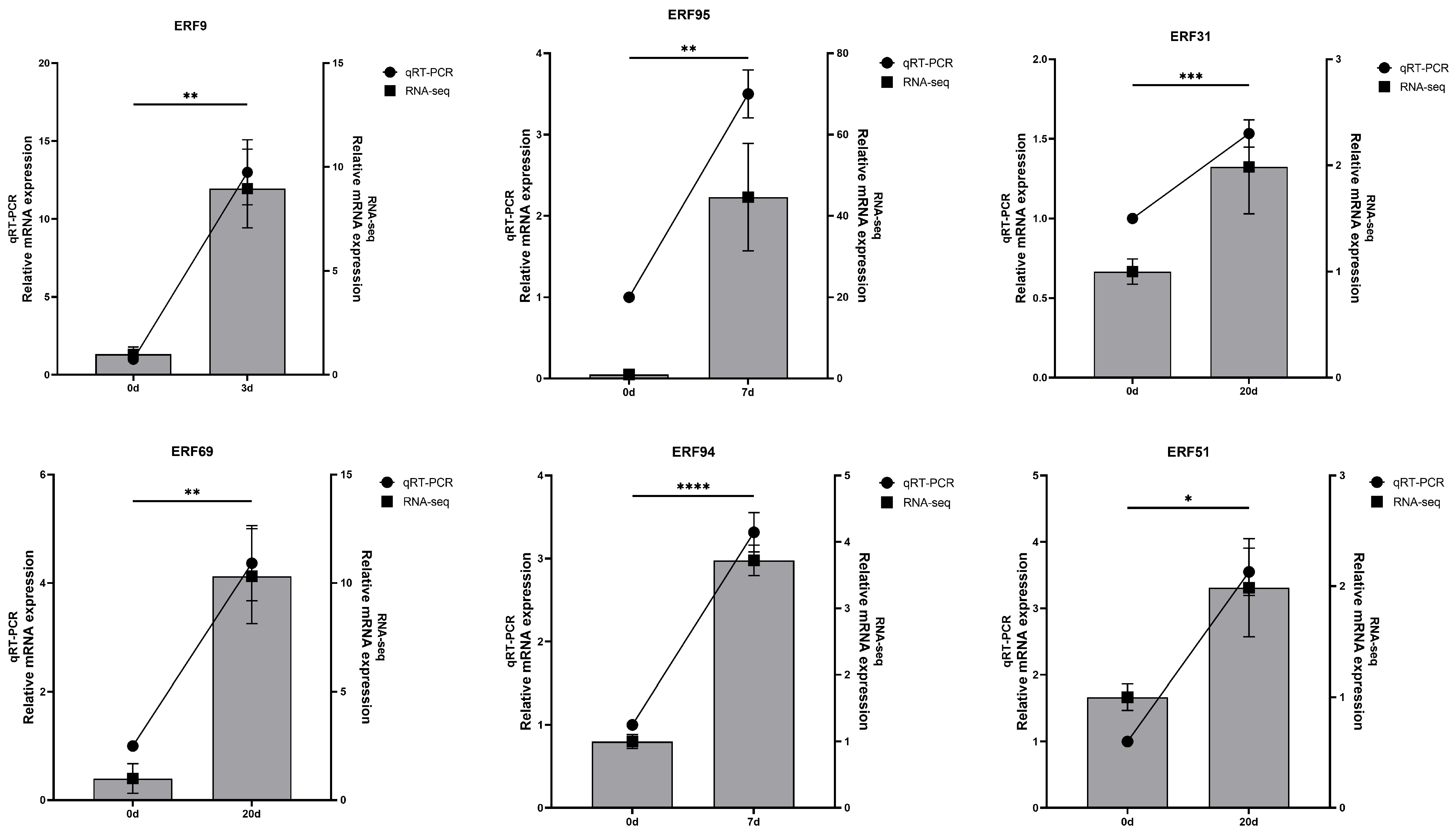
To investigate the dynamic response of the RhAP2/ERF gene family to waterlogging stress, R. hainanense plants were subjected to waterlogging treatment for different durations (0 d, 3 d, 7 d, 10 d, and 20 d), with control groups maintained under normal conditions. Transcriptomic analysis was performed to compare gene expression profiles between treated and control samples. We collected the fpkm values of 98 RhERFs in the transcriptome under waterlogging treatment and used the TBtools Software to draw a heat map. The results showed that among the 98 ERF sequences, 6 RhERFs showed high expression levels after waterlogging stress treatment (RhERF9, RhERF95, RhERF31, RhERF69, RhERF94, and RhERF51) (Figure 9). The results revealed differential expression of six RhAP2/ERF members following waterlogging treatment. Specifically, among all the observed genes, the expression of RhERF9 was the highest; it significantly increased after 3 d of treatment. The expression of RhERF51, RhERF31, and RhERF69 peaked at 20 d, whereas that of RhERF95 and RhERF94 was high at 7 d. The expression of the remaining RhAP2/ERF genes did not significantly differ in response to waterlogging.

3.7.2. Validation of RhERF Gene Expression Using qRT-PCR

To verify the accuracy of RNA-seq for the ERF gene, we selected six up-regulated RhERF genes for qPCR analysis. The results showed that their expression trends were consistent with those of RNA-seq (p < 0.05), which attested to the accuracy of the data (Figure 10). The results showed that RhERF31, RhERF51, and RhERF69 were highly expressed at 20 days of waterlogging treatment; RhERF95 and RhERF94 exhibited high expression at 7 days; and RhERF9 showed the highest expression level at 3 days. These findings suggest that RhERF9 may play an important early regulatory role in the response to waterlogging stress.

3.7.3. KEGG and GO Enrichment Analysis of Six Up-Regulated RhERF Genes in R. hainanense Under Waterlogging Stress

In the transcriptome analysis of R. hainanense under waterlogging stress treatment, we identified six RhERF genes with significantly up-regulated expression. To further explore their potential core functions in the adaptation of R. hainanense to waterlogging stress, we conducted KEGG and GO enrichment analyses on this gene set. The results of KEGG pathway enrichment (Figure 11) showed that these genes were significantly enriched in two key pathways: “Plant hormone signal transduction” and “MAPK signaling pathway—plant”. Specifically, these up-regulated RhERF genes were precisely localized to the signal transduction pathways of ethylene, jasmonic acid (JA), and salicylic acid (SA), and were also closely related to the responses to osmotic stress and salt stress. This enrichment pattern is highly consistent with the typical physiological characteristics of waterlogging stress: lack of oxygen in soil leads to massive accumulation of ethylene, and a sharp increase in reactive oxygen species (ROS) leads to cell osmotic loss of balance. The coordinated up-regulation of these genes strongly indicates that they are the core transcription regulatory elements of R. hainanense in response to waterlogging disasters. In addition, their close association with the MAPK signaling pathway suggests that they may serve as key downstream nodes integrating multiple stress signals and hormone signals, thereby harmonizing the start-up of adaptive gene expression procedures. The results of GO enrichment analysis are mutually confirmed with KEGG analysis, and these genes are significantly enriched in biological processes such as “response to ethylene”, “response to reactive oxygen species”, “response to osmotic stress”, and “regulation of jasmonic acid-mediated signaling pathway”. In terms of molecular function, it specifically enriches “DNA binding transcription factor activity” and “sequence-specific DNA binding”, clarifying its molecular foundation as a transcription regulatory factor. Based on the above viewpoints, the enrichment pathways and functional articles of these six RhERF genes specifically up-regulated under waterlogging stress together outline a relatively clear regulatory network. They are most likely the key regulatory factors for the waterlogging stress adaptability of R. hainanense and play a core role in the physiological processes of maintaining redox balance and osmotic homeostasis by mediating the crosstalk of ethylene, JA, and SA signals and integrating the MAPK signaling pathway.

3.8. Tissue-Specific Expression Analysis of RhERF9

We used cDNA templates of different tissue development stages of Rhododendron hai-nanense including young leaves, mature leaves, young stems, mature stems, young roots, and mature roots to analyze the relative expression levels of the RhERF9 gene in various tissues via qRT-PCR (Figure 12). The results show that the RhERP9 gene was highly ex-pressed in mature stems, moderately expressed in mature leaves and young stems, and little express in young roots, mature roots and young leaves. It is worthy of note that the expression level of mature stems was about 125 times that of young leaves.
To determine the tissue-specific expression of the RhERF9 gene subjected to water-logging stress, we conducted 0 d and 3 d of waterlogging treatment on R. hainanense plants. We prepared cDNA templates using young leaves, mature leaves, young stems, mature stems, young roots, and mature root samples, collected before and after the treatment. Relative expression levels of RhERF9 among those different tissues were evaluated by way of qRT-PCR; attention was given to changes in expression following 3 days of waterlogging. In response to waterlogging stress, RhERF9 shows marked spacetime heterogeneity, as seen from the qRT-PCR analysis, which reports a highly significant overexpression of RhERF9 in roots. So, RhERF9 seems to play an important role in the development of root aerenchyma and the regulation of hypoxia adaptation. In the case of the young stem tissue, however, a less pronounced but notable induction was seen, which hints at an involvement with the formation process of initiation of lateral roots and the elongation found in the plant stem. These kinds of findings show us that RhERF9 is helping to create a group of regulations where waterlogging is the main factor, especially from inside the roots, then also in the stem, and then the leaf seems to hold it down, which provides us with some clues about how plants deal with waterlogging in their systems.

4. Discussion

Adverse environmental conditions (low temperature [32], high temperature [24], drought [33], high salinity [33], waterlogging [34], etc.) will exert negative impacts on plants’ growth and development [35]. AP2/ERF has only one AP2 conserved domain, widely distributed in the plant abiotic stress response, which regulates the expression of many stress response genes [8]. Most of the Rhododendron varieties are extremely waterlogging-sensitive [36], mainly because of their shallow and sparse roots. But R. hainanense does have very good waterlogging endurance as far as we know, so perhaps there are some specific genes in the AP2/ERF family. The ERF family genes play various roles in plant defense and abiotic stress. For example, MBERR11 from Malus baccate can improves the expression level of Arabidopsis’s cold and salt stress through improving ROS scavenging [37]. Another ERF gene is MdERF38 in apple, which promotes anthocyanin biosynthesis due to drought stress [38]. The functional characterization of the ERF family in R. hainanense remains limited. To address this, we identified its ERF members and investigated their expression patterns under waterlogging stress to explore the underlying molecular mechanisms. Transcriptome sequencing provided a cost-effective and reliable approach to obtain the necessary expression data for this analysis [39]. Transcriptomic data of R. hainanense was obtained from our previous group work. We extracted AP2/ERF genes and performed bioinformatics analysis with respect to the physicochemical properties, phylogenic relationship, gene structure, conserved motifs, cis-acting elements, syntenic region, and protein properties. Gene expression with respect to waterlogging stress was carried out, and the gene expression at specific plant parts was carried out.
Therefore, there were 142 AP2/ERF family members with a complete domain found in the entire genome of R. hainanense. Depending on their location on the chromosome, they were organized under the names RhERF 1, RhERF 2, RhERF 3, and so on, up to RhERF 142. This is unlike other species with respect to the number of RhERFs: for example, Arabidopsis thaliana has 122 ERF genes [18], soybean (Glycine max) has 47 ERF genes [40], and potatoes (Solanum tuberosum) have 155 ERF genes [41]. ERF numbers may be different on different plants as they have their own evolution. According to previous research, A. thaliana has an AP2/ERF protein that can be classified into the following five subfamilies: AP2, ERF, DREB, RAV, and Soloist. Based on this classification, a phylogenetic tree of the AP2/ERF family protein sequences of R. hainanensis was constructed and analyzed. The RhAP2/ERF gene family was classified into the following subfamilies: AP2 (15 members), ERF (76 members), DREB (43 members), RAV (4 members), and Soloist (2 members).
In the R. hainanense AP2/ERF gene family duplication events, there are 16 duplicated gene pairs found in 13 chromosomes, and they belong to the same subfamily. Also, Ka and Ks substitution rates were estimated on such duplicated pairs [42]. The Ka/Ks ratio is widely recognized as an important indicator for evaluating selective pressure on protein-coding genes and estimating the approximate timing of duplication events. All duplicated pairs exhibited Ka/Ks values of less than 1, indicating that the family has undergone purifying selection during evolution, resulting in functional conservation. The comparative synteny analysis (Figure 6) yielded insights into the evolutionary history of the AP2/ERF family. The observed high degree of synteny with Rhododendron simsii, a closely related congener, underscores a strong evolutionary conservation of this gene family within the Rhododendron lineage. In contrast, the fewer collinear gene pairs identified with the distantly related model plant Arabidopsis thaliana reflect the expected lineage-specific divergence and gene loss over a longer evolutionary timescale. Notably, the presence of species-specific syntenic blocks, particularly on chromosome 7 of R. hainanense, suggests potential lineage-specific expansion events. These expansions may have furnished R. hainanense with a unique genetic repertoire that contributes to its adaptation to distinct ecological niches, such as the streamside habitats prone to waterlogging.
In promoters, cis-acting elements have an important role on controlling gene expression [43]. The 2000 bp promoter regions upstream of the AP2/ERF genes were analyzed, revealing the presence of various functional elements, including those responsive to plant hormones, light, and stress. Among the stress-responsive elements, the GC-motif is associated with hypoxia response, the LTR element is involved in low-temperature responsiveness [44], and MBS participates in drought response. One of the most significant findings in this study is the widespread presence of anaerobic response elements in the promoters of RhAP2/ERF genes. Of 142 genes, 118 (83%) were observed to contain ARE, indicating that the vast majority of members of the transcription factor family may directly respond to the core signal of waterlogging stress—anaerobiosis. ARE is a well-characterized cis-acting element that can recruit transcription factors to activate the expression of key genes involved in anaerobic metabolism. The extremely high prevalence of ARE suggests that the RhAP2/ERF family plays a role as a master regulatory switch in R. hainanense, reconstructing energy homeostasis under hypoxic conditions through the harmonization of comprehensive transcriptional reprogramming. This finding provides a strong molecular interpretation for the significant waterlogging tolerance of R. hainanense. The genome-wide enrichment of ARE suggests that this plant has highly sensitive and robust hypoxia sensing. When waterlogging occurs, the rapid accumulation of ethylene and its signal transduction can activate these ARE-containing RhAP2/ERF proteins, thereby driving the expression of downstream adaptability genes. This mechanism gives it an adaptive advantage in natural streamside habitats often affected by waterlogging. The remaining 24 RhAP2/ERF genes lacked the ARE element, indicating functional diversity within the family in regulating plant growth and environmental adaptation. Protein interaction analysis, based on homology with A. thaliana, suggested that RhERF9 may interact with proteins such as RAP2.12, playing a central role in signal transduction following hypoxia perception. Moreover, the varying positions and connectivity of different subfamily members within the interaction network imply functional divergence, with some genes potentially acting as core hubs integrating upstream signals, while others may specifically regulate certain downstream pathways.
Our KEGG and GO enrichment analyses of these six key RhERF genes provided deeper insights into their functions. A prominent finding was their significant enrichment in the plant hormone signal transduction pathway, specifically associated with ethylene, jasmonic acid, and salicylic acid signaling. This strongly suggests that they form a specialized transcriptional module for integrating core hormone signals during waterlogging stress [5,13]—where ethylene accumulates rapidly, while JA and SA regulate subsequent defense mechanisms. Concurrently, their enrichment in the MAPK signaling pathway indicates that these transcription factors likely act as signaling hubs, transducing perceived stress signals, such as rising ROS levels and osmotic imbalance, into coordinated transcriptional responses. This inference is strongly supported by the GO analysis, which directly linked them to key biological processes including response to ethylene, response to reactive oxygen species, and response to osmotic stress. In summary, these six RhERF genes function as central regulatory components in the waterlogging tolerance of R. hainanense, orchestrating the plant’s adaptive survival by synchronizing hormone signaling, mitigating oxidative damage, and maintaining osmotic homeostasis.
The interaction between promoter binding sites and transcription factors is crucial for transcription regulation [18]. The conserved motifs in the same RhERF group probably do well together because they join things that happen again, like how two proteins hold hands to start a gene’s work or head to the cell’s center. This also supports the functional category for the ERF family. Genes within the same subgroup usually have the same role. For instance, there is evidence that each member—AtCBF1, AtCBF2, AtCBF3, and AtCBF4— from the four-member A1 subfamily of A. thaliana plays important roles in cold and drought stress [45], and there are also roles for the five-member AtERF-VII subfamily—including AtERF71-75—in waterlogging and hypoxia responses [46]. Interestingly, most genes strongly induced under waterlogging stress belong to Group VII. Notably, RhERF9 is a homolog of AtERF73 and also belongs to Group VII. Studies have shown that the AP2/ERF transcription factor AtERF73 regulates ethylene responses during hypoxia, significantly enhancing plant waterlogging tolerance [13]. It is thus plausible that RhERF9 may play a similar role in improving waterlogging resistance. To validate this, expression patterns of RhAP2/ERF genes under waterlogging treatment at different time points were analyzed using heatmaps and qRT-PCR. The results revealed significant induction of several genes, including RhERF9, RhERF31, RhERF51, RhERF69, RhERF94, and RhERF95, suggesting temporal specialization and functional complementarity within the AP2/ERF family during waterlogging response. Specifically, RhERF31, RhERF51, and RhERF69 were highly expressed at 20 days of treatment; RhERF95 and RhERF94 showed peak expression at 7 days; and RhERF9 exhibited the highest expression at 3 days. Collectively, these findings support the involvement of these genes in the waterlogging stress response.
Given the pronounced up-regulation of RhERF9 at 3 days of waterlogging, tissue-specific expression analysis was conducted comparing treated and untreated plants. The results showed a significant induction of RhERF9 in root tissues, suggesting a core role in the formation of root aerenchyma and the regulation of hypoxia adaptation. In conclusion, this study provides a theoretical basis and valuable insights into the functional characterization of the AP2/ERF gene family, noting that RhERF9 and its related transcription network constitute a key waterlogging tolerance regulation module, and observing the impact on the stress resistance of R. hainanense. These findings establish a solid basis for further elucidating the molecular mechanisms of waterlogging tolerance in this species and offer important candidate gene resources and theoretical support for future genetic engineering efforts aimed at enhancing stress resistance in horticultural plants.

5. Conclusions

Genome-wide analysis of R. hainanense revealed 142 AP2/ERF genes, comprising five distinct subfamilies. A comprehensive analysis revealed diversity as well as conservation in their physicochemical characteristics, gene structures, conserved motifs, cis-regulatory elements, synteny, and protein–protein interaction networks. Transcriptomics coupled with qRT-PCR analysis identified several RhERF genes implicated in the response to waterlogging stress. These results establish a resource for selecting candidate genes for abiotic stress response studies and provide novel insights into the functional roles of ERF genes in R. hainanense. Ultimately, this knowledge will pave the way for developing elite cultivars of R. hainanense and other economically important but waterlogging-sensitive plants through molecular breeding strategies, leveraging the valuable gene resources that are as yet uncovered.

Supplementary Materials

The following supporting information can be downloaded at https://www.mdpi.com/article/10.3390/f16111657/s1.

Author Contributions

J.S.: Conceptualization. E.W.: Methodology. W.D.: Software. Z.C. and M.Z.: Formal analysis. J.W.: Investigation. X.S. and Y.S.: Validation. Y.Z.: Writing and Reviewing. All authors have read and agreed to the published version of the manuscript.

Funding

This research was funded by the National Natural Science Foundation of China (32360415 and 32160400) and the Scientific Research Project of Education Department of Hainan Province (hnhmzd202102).

Data Availability Statement

Data are contained within the article and Supplementary Materials.

Conflicts of Interest

The authors declare that the research was conducted in the absence of any commercial or financial relationships that could be construed as potential conflicts of interest.

References

  1. Zhao, X.; Chen, Y.-C.; Zeng, X.-P.; Song, X.-Q.; Luo, W.-C.; Zhao, Y. Optimization of a Rapid Tissue Culture System for Rhododendron hainanense. Fenzi Zhiwu Yuzhong (Mol. Plant Breed.) 2022, 20, 4447–4454. [Google Scholar]
  2. Chen, Y.-C.; Zhao, Y.; Song, X.-Q.; Luo, W.-C.; Ren, Y.; Zeng, X.-P. Differences in Spatial Distribution Patterns and Age Structure of Rhododendron hainanense on Both Sides of a Riparian Zone Bend. Zhongguo Zhiwu Shengtai Xuebao (Chin. J. Plant Ecol.) 2018, 42, 841–849. [Google Scholar]
  3. Zhao, J. Studies on the Chemical Constituents of Three Southern Plants and the Structural Modification and Structure-Activity Relationship of Flavonoids. Ph.D. Thesis, Lanzhou University, Lanzhou, China, 2015. [Google Scholar]
  4. Zhang, H.; Zhu, J.; Gong, Z.; Zhu, J.-K. Abiotic stress responses in plants. Nat. Rev. Genet. 2022, 23, 104–119. [Google Scholar] [CrossRef]
  5. Fukao, T.; Xu, K.; Ronald, P.C.; Bailey-Serres, J. A Variable Cluster of Ethylene Response Factor–Like Genes Regulates Metabolic and Developmental Acclimation Responses to Submergence in Rice. Plant Cell 2006, 18, 2021–2034. [Google Scholar] [CrossRef]
  6. Hattori, Y.; Nagai, K.; Furukawa, S.; Song, X.-J.; Kawano, R.; Sakakibara, H.; Wu, J.; Matsumoto, T.; Yoshimura, A.; Kitano, H.; et al. The ethylene response factors SNORKEL1 and SNORKEL2 allow rice to adapt to deep water. Nature 2009, 460, 1026–1030. [Google Scholar] [CrossRef]
  7. Licaust, F.; Ohme-Takagi, M.; Perata, P. APETALA2/Ethylene Responsive Factor (AP2/ERF) transcription factors: Mediators of stress responses and developmental programs. New Phytol. 2013, 199, 639–649. [Google Scholar] [CrossRef]
  8. Feng, K.; Hou, X.; Xing, G.M.; Liu, J.; Duan, A.; Xu, Z.; Li, M.; Zhuang, J.; Xiong, A. Advances in AP2/ERF super-family transcription factors in plant. Crit. Rev. Biotechnol. 2020, 40, 750–776. [Google Scholar] [CrossRef] [PubMed]
  9. Shoji, T.; Yuan, L. ERF Gene Clusters: Working Together to Regulate Metabolism. Trends Plant Sci. 2021, 26, 23–32. [Google Scholar] [CrossRef] [PubMed]
  10. Klucher, K.M.; Chow, H.; Reiser, L.; Fischer, R.L. The AINTEGUMENTA gene of Arabidopsis required for ovule and female gametophyte development is related to the floral homeotic gene APETALA2. Plant Cell 1996, 8, 137–153. [Google Scholar] [CrossRef] [PubMed][Green Version]
  11. Aukerman, M.J.; Sakai, H. Regulation of Flowering Time and Floral Organ Identity by a MicroRNA and Its APETALA2-Like Target Genes. Plant Cell 2003, 15, 2730–2741. [Google Scholar] [CrossRef]
  12. Wu, L.; Zhang, Z.; Zhang, H.; Wang, X.-C.; Huang, R. Transcriptional Modulation of Ethylene Response Factor Protein JERF3 in the Oxidative Stress Response Enhances Tolerance of Tobacco Seedlings to Salt, Drought, and Freezing. Plant Physiol. 2008, 148, 1953–1963. [Google Scholar] [CrossRef]
  13. Yang, C.Y.; Hsu, F.C.; Li, J.P.; Wang, N.N.; Shih, M.C. The AP2/ERF Transcription Factor AtERF73/HRE1 Modulates Ethylene Responses during Hypoxia in Arabidopsis. Plant Physiol. 2011, 156, 202–212. [Google Scholar] [CrossRef] [PubMed]
  14. Hu, Y.X.; Wang, Y.H.; Liu, X.F.; Li, J.Y. Arabidopsis RAV1 is down-regulated by brassinosteroid and may act as a negative regulator during plant development. Cell Res. 2004, 14, 8–15. [Google Scholar] [CrossRef] [PubMed]
  15. Zhang, C.H.; Shangguan, L.F.; Ma, R.J.; Sun, X.; Tao, R.; Guo, L.; Korir, N.; Yu, M. Genome-wide analysis of the AP2/ERF superfamily in peach (Prunus persica). Genet. Mol. Res. 2012, 11, 4789–4809. [Google Scholar] [CrossRef]
  16. Bai, D.F.; Li, Z.; Hu, C.G.; Zhang, Y.J.; Muhammad, A.; Zhong, Y.P.; Fang, J.B. Transcriptome-wide identification and expression analysis of ERF family genes in Actinidia valvata during waterlogging stress. Sci. Hortic. 2021, 281, 109994. [Google Scholar] [CrossRef]
  17. He, W.; Luo, L.; Xie, R.; Wang, L.; Yi, S.; Deng, X.; Xu, Q. Genome-Wide Identification and Functional Analysis of the AP2/ERF Transcription Factor Family in Citrus Rootstock under Waterlogging Stress. Int. J. Mol. Sci. 2023, 24, 8989. [Google Scholar] [CrossRef]
  18. Du, H.; Huang, M.; Zhang, Z.; Cheng, S. Genome-wide analysis of the AP2/ERF gene family in maize waterlogging stress response. Euphytica 2014, 198, 115–126. [Google Scholar] [CrossRef]
  19. Fukao, T.; Barrera-Figueroa, B.E.; Juntawong, P.; Peña-Castro, J.M. Submergence and Waterlogging Stress in Plants: A Review Highlighting Research Opportunities and Understudied Aspects. Front. Plant Sci. 2019, 10, 340. [Google Scholar] [CrossRef] [PubMed]
  20. Wei, X.; Xu, H.; Rong, W.; Ye, X.; Zhang, Z. Constitutive expression of a stabilized transcription factor group VII ethylene response factor enhances waterlogging tolerance in wheat without penalizing grain yield. Plant Cell Environ. 2019, 42, 1471–1485. [Google Scholar] [CrossRef]
  21. Potter, S.C.; Luciani, A.; Eddy, S.R.; Park, Y.; Lopez, R.; Finn, R.D. HMMER web server: 2018 update. Nucleic Acids Res. 2018, 46, W200–W204. [Google Scholar] [CrossRef]
  22. Luo, L.; Zhang, L.; Gu, R.; Chen, Y.; Wang, Y.; Li, M. Genome-Wide Identification and Functional Analysis of AP2/ERF Gene Family in Passiflora edulis Sims. Plants 2025, 14, 645. [Google Scholar] [CrossRef]
  23. Gasteiger, E. ExPASy: The proteomics server for in-depth protein knowledge and analysis. Nucleic Acids Res. 2003, 31, 3784–3788. [Google Scholar] [CrossRef]
  24. Huo, S.; Li, Y.; Li, R.; Fan, Z.; Ma, Y.; Wang, A. Genome-wide analysis of the MADS-box gene family in Rhododendron hainanense Merr. and expression analysis under heat and waterlogging stresses. Ind. Crops Prod. 2021, 172, 114007. [Google Scholar] [CrossRef]
  25. Chen, C.; Chen, H.; Zhang, Y.; Thomas, H.R.; Frank, M.H.; He, Y.; Xia, R. TBtools: An Integrative Toolkit Developed for Interactive Analyses of Big Biological Data. Mol. Plant 2020, 13, 1194–1202. [Google Scholar] [CrossRef]
  26. Tamura, K.; Peterson, D.; Peterson, N.; Stecher, G.; Nei, M.; Kumar, S. MEGA5: Molecular Evolutionary Genetics Analysis Using Maximum Likelihood, Evolutionary Distance, and Maximum Parsimony Methods. Mol. Biol. Evol. 2011, 28, 2731–2739. [Google Scholar] [CrossRef]
  27. Liu, C.; Xie, T.; Chen, C.; Luo, S.; Zhu, W.; Liu, J.; He, X. Genome-wide organization and expression profiling of the R2R3-MYB transcription factor family in pineapple (Ananas comosus). BMC Genom. 2017, 18, 503. [Google Scholar] [CrossRef] [PubMed]
  28. Cao, Z.; Wang, E.; Zhai, M.; Li, R.; Chen, J.; Wang, A. Identification of bHLH Family Genes in Rhododendron hainanense Merr. and Verification of Their Role in Heat Tolerance. Forests 2025, 16, 416. [Google Scholar] [CrossRef]
  29. Biłas, R.; Szafran, K.; Hnatuszko-Konka, K.; Kononowicz, A.K. Cis-regulatory elements used to control gene expression in plants. Plant Cell Tissue Organ Cult. 2016, 127, 269–287. [Google Scholar] [CrossRef]
  30. Marand, A.P.; Eveland, A.L.; Kaufmann, K.; Springer, N.M. Cis-Regulatory Elements in Plant Development, Adaptation, and Evolution. Annu. Rev. Plant Biol. 2023, 74, 111–137. [Google Scholar] [CrossRef] [PubMed]
  31. Soto, C. Unfolding the role of protein misfolding in neurodegenerative diseases. Nat. Rev. Neurosci. 2003, 4, 49–60. [Google Scholar] [CrossRef]
  32. Jain, R.; Shrivastava, A.K.; Solomon, S.; Yadav, R.L. Low temperature stress-induced biochemical changes affect stubble bud sprouting in sugarcane (Saccharum spp. hybrid). Plant Growth Regul. 2007, 53, 17–23. [Google Scholar] [CrossRef]
  33. Abid, M.; Zhang, Y.J.; Li, Z.; Bai, D.; Zhong, Y.; Fang, J. Effect of Salt Stress on Growth, Physiological and Biochemical Characters of Four Kiwifruit Genotypes. Sci. Hortic. 2020, 271, 109473. [Google Scholar] [CrossRef]
  34. Bhusal, N.; Kim, H.S.; Han, S.G.; Yoon, T.M. Photosynthetic traits and plant–water relations of two apple cultivars grown as bi-leader trees under long-term waterlogging conditions. Environ. Exp. Bot. 2020, 176, 104111. [Google Scholar] [CrossRef]
  35. Zhu, J.K. Abiotic Stress Signaling and Responses in Plants. Cell 2016, 167, 313–324. [Google Scholar] [CrossRef] [PubMed]
  36. Guo, Z.; He, L.; Sun, X.; Li, Y.; Wang, Y.; Chen, J. Genome-Wide Analysis of the Rhododendron AP2/ERF Gene Family: Identification and Expression Profiles in Response to Cold, Salt and Drought Stress. Plants 2023, 12, 994. [Google Scholar] [CrossRef] [PubMed]
  37. Han, D.; Han, J.; Yang, G.; Wang, S.; Xu, Y.; Li, T.; Wang, X. An ERF Transcription Factor Gene from Malus baccata (L.) Borkh, MbERF11, Affects Cold and Salt Stress Tolerance in Arabidopsis. Forests 2020, 11, 514. [Google Scholar] [CrossRef]
  38. Ma, Y.; Zhang, F.; Bade, R.; Liu, S.; Wang, Z.; Liu, H. Genome-Wide Identification and Phylogenetic Analysis of the ERF Gene Family in Melon. J. Plant Growth Regul. 2015, 34, 66–77. [Google Scholar] [CrossRef]
  39. Xu, S.; Yao, S.; Huang, R.; Li, J.; Wang, Y.; Zhao, A. Transcriptome-wide analysis of the AP2/ERF transcription factor gene family involved in the regulation of gypenoside biosynthesis in Gynostemma pentaphyllum. Plant Physiol. Biochem. 2020, 154, 238–247. [Google Scholar] [CrossRef]
  40. Li, W.Y.; Wang, C.; Shi, H.H.; Chen, J.; Wang, P.C.; Ma, Y.Y. Genome-wide analysis of ethylene-response factor family in adzuki bean and functional determination of VaERF3 under saline-alkaline stress. Plant Physiol. Biochem. 2020, 147, 215–222. [Google Scholar] [CrossRef]
  41. Charfeddine, M.; Saïdi, M.N.; Charfeddine, S.; Hammami, A.; Gargouri-Bouzid, R. Genome-Wide Analysis and Expression Profiling of the ERF Transcription Factor Family in Potato (Solanum tuberosum L.). Mol. Biotechnol. 2015, 57, 348–358. [Google Scholar] [CrossRef] [PubMed]
  42. Vatansever, R.; Koc, I.; Ozyigit, I.I.; Sen, U.; Uras, M.E.; Anjum, N.A.; Pereira, E.; Filiz, E. Genome-wide identification and expression analysis of sulfate transporter (SULTR) genes in potato (Solanum tuberosum L.). Planta 2016, 244, 1167–1183. [Google Scholar] [CrossRef]
  43. Reddy, P.S.; Rao, T.S.R.B.; Sharma, K.K.; Vadez, V.; Reddy, M.K. Genome-wide identification and characterization of the aquaporin gene family in Sorghum bicolor (L.). Plant Gene 2015, 1, 18–28. [Google Scholar] [CrossRef]
  44. Zhu, T.; Provart, N.J. Transcriptional responses to low temperature and their regulation in Arabidopsis. Can. J. Bot. 2003, 81, 1168–1174. [Google Scholar] [CrossRef]
  45. Gilmour, S.J.; Sebolt, A.M.; Salazar, M.P.; Everard, J.D.; Thomashow, M.F. Overexpression of the Arabidopsis CBF3 Transcriptional Activator Mimics Multiple Biochemical Changes Associated with Cold Acclimation. Plant Physiol. 2000, 124, 1854–1865. [Google Scholar] [CrossRef] [PubMed]
  46. Bai, D.; Gu, S.; Qi, X.; Zhang, Y.; Hu, C.; Li, D. The ERF-VII Transcription Factor AvERF75 Positively Regulates Waterlogging Tolerance by Interacting with AvLOB41 in Kiwifruit (Actinidia valvata). Environ. Exp. Bot. 2023, 212, 105401. [Google Scholar] [CrossRef]
Figure 1. Analysis of conserved motifs and domain architecture of the R. hainanense AP2/ERF family. Different colored blocks represent the different subfamilies of RhAP2/ERFs.
Figure 1. Analysis of conserved motifs and domain architecture of the R. hainanense AP2/ERF family. Different colored blocks represent the different subfamilies of RhAP2/ERFs.
Forests 16 01657 g001
Figure 2. Phylogenetic tree of the R. hainanense AP2/ERF proteins. Different colors represent distinct subfamilies. Protein sequences from R. hainanense (prefix Rh) and A. thaliana (prefix AT) are included.
Figure 2. Phylogenetic tree of the R. hainanense AP2/ERF proteins. Different colors represent distinct subfamilies. Protein sequences from R. hainanense (prefix Rh) and A. thaliana (prefix AT) are included.
Forests 16 01657 g002
Figure 3. Chromosomal localization of RhAP2/ERF genes.
Figure 3. Chromosomal localization of RhAP2/ERF genes.
Forests 16 01657 g003
Figure 4. Cis-acting elements in the 2000 bp upstream region of RhAP2/ERF genes.
Figure 4. Cis-acting elements in the 2000 bp upstream region of RhAP2/ERF genes.
Forests 16 01657 g004
Figure 5. Segmental duplication events of RhAP2/ERF genes. The arcs represent the syntenic relationships across the whole genome of R. hainanense, with the outer ring showing chromosomes depicted as gray blocks proportional to their lengths. The gray lines indicate collinear gene pairs within the genome, whereas the red lines highlight duplicated gene pairs belonging to the AP2/ERF gene family.
Figure 5. Segmental duplication events of RhAP2/ERF genes. The arcs represent the syntenic relationships across the whole genome of R. hainanense, with the outer ring showing chromosomes depicted as gray blocks proportional to their lengths. The gray lines indicate collinear gene pairs within the genome, whereas the red lines highlight duplicated gene pairs belonging to the AP2/ERF gene family.
Forests 16 01657 g005
Figure 6. Synteny analysis of the RhAP2/ERF genes was conducted across R. hainanense, Arabidopsis thaliana, and Rhododendron simsii. In the resulting plot, gray lines represent collinear blocks between the genomes, while red lines highlight syntenic RhAP2/ERF gene pairs. Chromosomes of R. Simsii, R. hainanense and A. thaliana are depicted as green, burgundy, and purple, respectively, where numbers refer to the corresponding chromosome number.
Figure 6. Synteny analysis of the RhAP2/ERF genes was conducted across R. hainanense, Arabidopsis thaliana, and Rhododendron simsii. In the resulting plot, gray lines represent collinear blocks between the genomes, while red lines highlight syntenic RhAP2/ERF gene pairs. Chromosomes of R. Simsii, R. hainanense and A. thaliana are depicted as green, burgundy, and purple, respectively, where numbers refer to the corresponding chromosome number.
Forests 16 01657 g006
Figure 7. Predicted 3D structures of the AP2/ERF proteins in R. hainanense.
Figure 7. Predicted 3D structures of the AP2/ERF proteins in R. hainanense.
Forests 16 01657 g007
Figure 8. Predicted protein interaction network of AP2/ERF proteins in R. hainanense.
Figure 8. Predicted protein interaction network of AP2/ERF proteins in R. hainanense.
Forests 16 01657 g008
Figure 9. Expression changes in the RhAP2/ERF family at different time points under waterlogging stress in Rhododendron hainanense.
Figure 9. Expression changes in the RhAP2/ERF family at different time points under waterlogging stress in Rhododendron hainanense.
Forests 16 01657 g009
Figure 10. Expression patterns of six RhERF genes under waterlogging stress as detected by qRT-PCR; error bars are SD, different * in the figure indicate significant differences (p ≤ 0.05) Among them, * means p ≤ 0.05, ** means p ≤ 0.01, *** means p ≤ 0.001, and **** means p ≤ 0.0001.
Figure 10. Expression patterns of six RhERF genes under waterlogging stress as detected by qRT-PCR; error bars are SD, different * in the figure indicate significant differences (p ≤ 0.05) Among them, * means p ≤ 0.05, ** means p ≤ 0.01, *** means p ≤ 0.001, and **** means p ≤ 0.0001.
Forests 16 01657 g010
Figure 11. R. hainanense KEGG and GO enrichment maps of RhERF gene.
Figure 11. R. hainanense KEGG and GO enrichment maps of RhERF gene.
Forests 16 01657 g011
Figure 12. Tissue-specific expression analysis of RhERF9 in R. hainanense; error bars are SD, different * in the figure indicate significant differences (p ≤ 0.05) Among them, ns means p ≥ 0.05, * means p ≤ 0.05, ** means p ≤ 0.01, and **** means p ≤ 0.0001.
Figure 12. Tissue-specific expression analysis of RhERF9 in R. hainanense; error bars are SD, different * in the figure indicate significant differences (p ≤ 0.05) Among them, ns means p ≥ 0.05, * means p ≤ 0.05, ** means p ≤ 0.01, and **** means p ≤ 0.0001.
Forests 16 01657 g012
Table 1. KA/KS of the AP2/ERF family repeat sequences.
Table 1. KA/KS of the AP2/ERF family repeat sequences.
Duplicated Gene PairsKaKsKa/Ks
RhERF3 & RhERF1070.1645450.6892230.238741
RhERF5 & RhERF1050.1607390.6309060.254775
RhERF6 & RhERF1040.2626411.1470110.228978
RhERF8 & RhERF1030.3748711.4313720.261896
RhERF11 & RhERF820.2865591.1025760.259899
RhERF50 & RhERF710.1933920.9487440.203840
RhERF51 & RhERF700.1908791.0670890.178878
RhERF59 & RhERF980.1166290.7804480.149438
RhERF65 & RhERF1010.2519861.4336580.175764
RhERF81 & RhERF1000.2492641.3069140.190727
RhERF86 & RhERF1010.4167331.3971010.298284
RhERF118 & RhERF1330.1862411.1045070.168619
RhERF122 & RhERF1340.1091850.8715100.125282
RhERF123 & RhERF1350.3269981.1209870.291705
RhERF127 & RhERF510.2233981.0574680.211258
RhERF139 & RhERF940.2091941.1782590.177545
Disclaimer/Publisher’s Note: The statements, opinions and data contained in all publications are solely those of the individual author(s) and contributor(s) and not of MDPI and/or the editor(s). MDPI and/or the editor(s) disclaim responsibility for any injury to people or property resulting from any ideas, methods, instructions or products referred to in the content.

Share and Cite

MDPI and ACS Style

Shi, J.; Wang, E.; Deng, W.; Zhai, M.; Cao, Z.; Wang, J.; Song, X.; Shi, Y.; Zhao, Y. Genome-Wide Identification and Analysis of the AP2/ERF Gene Family in Rhododendron hainanense and Its Response to Waterlogging Treatment. Forests 2025, 16, 1657. https://doi.org/10.3390/f16111657

AMA Style

Shi J, Wang E, Deng W, Zhai M, Cao Z, Wang J, Song X, Shi Y, Zhao Y. Genome-Wide Identification and Analysis of the AP2/ERF Gene Family in Rhododendron hainanense and Its Response to Waterlogging Treatment. Forests. 2025; 16(11):1657. https://doi.org/10.3390/f16111657

Chicago/Turabian Style

Shi, Jiaxuan, Enbo Wang, Wendi Deng, Minghui Zhai, Zidan Cao, Jian Wang, Xiqiang Song, Youhai Shi, and Ying Zhao. 2025. "Genome-Wide Identification and Analysis of the AP2/ERF Gene Family in Rhododendron hainanense and Its Response to Waterlogging Treatment" Forests 16, no. 11: 1657. https://doi.org/10.3390/f16111657

APA Style

Shi, J., Wang, E., Deng, W., Zhai, M., Cao, Z., Wang, J., Song, X., Shi, Y., & Zhao, Y. (2025). Genome-Wide Identification and Analysis of the AP2/ERF Gene Family in Rhododendron hainanense and Its Response to Waterlogging Treatment. Forests, 16(11), 1657. https://doi.org/10.3390/f16111657

Note that from the first issue of 2016, this journal uses article numbers instead of page numbers. See further details here.

Article Metrics

Back to TopTop