Next Article in Journal
Effects of Humac and Alginite Fertilization on Mite Communities (Acari, Mesostigmata) Under Post-Agricultural Land Conditions
Next Article in Special Issue
Oriented Object Detection in Wood Defect with Improved YOLOv11
Previous Article in Journal
Assessment of Genetic Variation in Natural Populations of Hippophae rhamnoides L. from Kazakhstan Using Retrotransposon-Based Markers
Previous Article in Special Issue
Evaluation of the Potentials of Tobacco Waste Extract as Wood Preservatives against Wood Decay Fungi
 
 
Font Type:
Arial Georgia Verdana
Font Size:
Aa Aa Aa
Line Spacing:
Column Width:
Background:
Article

Cross-Linked Gelatine as a Binder in Wood Fibre Composites for Topsoil Protection

by
Janine Bösing
1,
Alessandro Sorze
2 and
Sebastian Hirschmüller
3,*
1
Faculty of Wood Technology and Construction, Technical University of Applied Sciences Rosenheim, 83024 Rosenheim, Germany
2
Department of Industrial Engineering and INSTM Research Unit, University of Trento, Via Sommarive 9, 38123 Trento, Italy
3
Centre for Research, Development and Knowledge Transfer, Technical University of Applied Sciences Rosenheim, Hochschulstraße 1, 83024 Rosenheim, Germany
*
Author to whom correspondence should be addressed.
Forests 2025, 16(10), 1597; https://doi.org/10.3390/f16101597
Submission received: 24 August 2025 / Revised: 7 October 2025 / Accepted: 14 October 2025 / Published: 17 October 2025

Abstract

This study aimed to develop novel sustainable composites based on cross-linked gelatine and wood fibres for use as a topsoil cover in forestry and agricultural applications. Different compositions were prepared by varying the proportions of gelatine, wood fibres, and tannic acid (the cross-linking agent). Water absorption analysis revealed that compositions containing 12% wood fibres exhibited the highest absorption values (300% after 24 h). Including wood fibres was crucial in limiting the cross-sectional shrinkage of the samples. Additionally, the wood fibres did not negatively impact the water vapour permeability values, which ranged from 0.5 to 3.5 × 10−8 kg/(Pa · h · m). Tensile tests revealed that the samples’ tensile strength ranged from 4 to 17 MPa, whereas Young’s modulus depended more on climatic conditions, with values reaching 2700 MPa in dry conditions and 300 MPa in wet conditions (samples conditioned at 20 °C and 95% relative humidity). Furthermore, after 46 weeks of outdoor exposure, the produced composites demonstrated good dimensional stability and reduced mass loss, particularly in the composition with the highest wood fibre and tannic acid content.

1. Introduction

In recent years, the use of topsoil covers (TSCs) has become increasingly popular as a possible strategy to improve soil and water management in both agriculture and forestry. TSCs are multifunctional mulching films with multiple objectives used to improve soil water retention, reduce soil moisture evaporation, increase soil temperature, inhibit the growth of competing weeds, and, ultimately, increase seedling survival rates and crop yields even under drought conditions [1,2,3,4]. The most common mulching films are based on plastic films such as polyethylene or polypropylene [5], which are estimated to cover more than 128,652 km2 (about 1.0 Mt) of agricultural land worldwide [4]. However, despite the initial advantage of low production costs of these plastics, several costly and time-consuming operations are required to remove and dispose of them after their use [5,6]. Furthermore, prolonged exposure of these plastics to UV light and weathering leads to the degradation and disintegration of these films, resulting in the release of microplastics into the soil [7,8,9]. One possible solution to these problems is the use of biodegradable polymers such as polyhydroxyalcanoates (PHAs), in particular polyhydroxybutirrate (PHB) and polyhydroxyvalerate (PHV), and polylactic acid (PLA) [2,10,11,12]. Several studies have also investigated the possibility of developing mulching films starting from other bio-based polymers, including starch, chitosan, cellulose, alginates, proteins, or combinations thereof [13,14,15,16,17]. However, the high production costs and, in most cases, the limited mechanical and water barrier properties of these materials are still issues to be solved in order to be competitive in the market. An interesting and low-cost solution could be the use of straw or woodchips, which mainly have applications in home gardening and horticulture [18,19,20].
However, their large-scale use is limited due to potential problems of nitrogen and organic matter depletion [21,22,23,24], fire risks [25], and the time-consuming operations to carefully distribute them around the seedlings without smothering them [26,27]. At this point, an interesting and promising strategy could be to exploit the advantages of wood-based mulches and improve their properties by binding them with a sustainable biopolymer-based system. In particular, recent studies have found a green binder technology consisting of gelatine cross-linked with tannin from chestnut trees [28,29]. Gelatine is a natural protein that is conventionally produced by acidic or basic processing of collagen-containing animal waste [30,31]. Collagen and derived gelatines generally consist of repeating units of the general sequence glycine-X-Y. Gelatine is soluble in hot water and consequently forms thermoreversible gels with a gelling power between 50 and 300 blooms [28]. It is also capable of forming strong films and has adhesive properties [30,32,33]. However, in order to withstand prolonged humid or wet conditions, it is necessary to cross-link its structure through using phenols, such as tannins, which strongly interact with proteins [34,35,36,37,38]. The cross-linking reaction between gelatine and tannins can occur either through the formation of hydrogen bonds between the phenolic hydroxy groups and the carbonyl groups of gelatine or through the formation of covalent bonds between the tannins and gelatine, which is promoted under basic and oxidative conditions [34,35,39].
Based on these considerations, the main objectives of the present study are to develop an innovative formulation based on the combination of cross-linked gelatine and wood fibres to be used as a multifunctional topsoil cover for both forestry and agricultural applications. It is hypothesised that cross-linked gelatine reinforced with wood fibres could provide the required mechanical strength, dimensional stability, and biodegradability for use as a topsoil cover (TSC). Specifically, the idea is to exploit the possible synergies derived from both gelatine and wood fibres to develop a sustainable technology characterised by mechanical and water barrier properties that are comparable to those of products already present on the market.

2. Materials

The final composite was produced using mainly the materials gelatine, tannic acid, and wood fibres (Figure 1).
GELITA IMAGEL® LB, a type B gelatine powder with a bloom value of 113 (gel), was obtained from GELITA AG (Eberbach, Germany). Tannic acid chestnut powder (TA) was used as a cross-linking agent and was obtained from W. Ulrich GmbH (Eresing, Germany). Sodium hydroxide (NaOH) in the form of microbeads was obtained from WHC GmbH (Schweitenkirchen, Germany) for pH adjustment. The wood fibres used were untreated STEICOzell fibres, purchased from STEICO SE (Feldkirchen, Germany).
Desalinated water with a conductivity of 15 µS/cm at 20 °C was used for all experiments.
The cement used in the dummy soil of the long-term study was CEM II/A-S 42.5 R, supplied by Rohrdorfer, SPZ Service GmbH (Rohrdorf, Germany).

3. Methods

All results are compared by arithmetic means x ¯ using a non-parametric Kruskal–Wallis analysis of variance (ANOVA), followed by the Dunn–Sidak test, as they do not meet the requirements for a one-way ANOVA. The results are presented in box plots. The box marks the lower quartile (Q25) and the upper quartile (Q75); the horizontal line is the median; the square in the box is the arithmetic mean; and the black dots outside the box are the outliers. Whiskers mark the range within 1.5 times the interquartile range (IQR). The legend for all box plots is shown in Figure 2.

3.1. Sample Preparation

3.1.1. Variation of Gelatine, Tannic Acid, and Wood Fibre Content

In order to assess the impact of the effect of different components of the TSC, nine different compositions of the TSC were initially formulated and compared. The three main components, namely gelatine, tannic acid, and wood fibre, were varied according to a face-centred central composite design, as shown in Figure 3, with eight corner points and a centre point (CP), resulting in nine different compositions. The resulting identification numbers (IDs) are given in Table 1.
Preparation of tannic acid mixture (mixture TA): NaOH was added to water at room temperature and stirred, and tannic acid was added to this solution. The pH of the resulting mixture was varied. For the standard composite, the so-called regular pH of 9 (index R) was ensured. Additionally, mixtures with a higher pH of 10–11 (index H) were prepared. After stirring, the resulting mixture was used to prepare the final composite. The pH was measured continuously using a portable pH meter (pH 3110) with a pH electrode (liquid electrolyte SenTix® 81 with a temperature sensor NTC 30 kW, both supplied by Th. Geyer GmbH & Co. KG, Renningen, Germany). The percentage of added NaOH depended on the sample ID (Table 2).
Preparation of the gelatine mixture (mixture G): NaOH was added to water at room temperature and stirred, and gelatine was added to this solution. After an initial resting period of 15 to 30 min at room temperature to allow the gelatine to swell, the mixture was heated to 55 °C and stirred for 45 to 90 min until the gelatine was fully dissolved. The pH was varied as for the TA mixture.
Preparation of the final composite: The TA mixture was gradually added to the G mixture while stirring continuously. Wood fibres were then added to the final mixture and stirred in. The final mixture, including the wood fibres, was poured into a mould and left to air-dry for two weeks at room temperature in front of an industrial fan. The solidified composite was then moulded for further processing. Figure 4 illustrates the sample preparation process in a schematic form.
Preliminary tests indicated rapid degradation from ID 1 to ID 4, and, therefore, these IDs are excluded from the following characterisations.

3.1.2. Variation of Tannic Acid of ID 8

In a subsequent iteration, the amount of tannic acid was adjusted relative to ID 8, as shown in Table 3, while keeping the absolute amounts of the other components constant throughout. The factor f is calculated as depicted in Equation (1), with the mass m I D 8 of tannic acid of ID 8 and the mass m I D of tannic acid of the variation of ID 8.
f = m I D m I D 8
As in the first part, the pH was also varied between the regular and higher levels during the production of the composite.

3.2. Sample Characterisation

3.2.1. Water Uptake

The water uptake test specimens measure approximately (25 × 25) mm2, with the thickness being highly dependent on the ID. For the part 1 samples, 11 specimens were tested, and for part 2, 12 specimens were tested per variation and test.
The relative water uptake properties were evaluated according to the methodology described by Hjelmgaard et al. [28] by immersing the composite in water at room temperature for a duration of 3 h and 24 h, respectively. The mass change w ( m d r y , m m a x ) was recorded according to Equation (2), representing the difference between the mass m m a x immediately after the removal of the samples from the water after the experiment and the mass m d r y after the experiment and subsequent oven-drying to constant mass at 103 °C.
w ( m d r y , m m a x ) = m m a x m d r y m d r y
The mass loss due to ageing was evaluated using the water bath treatment described by Hjelmgaard et al. [28], where the composite was immersed in water at 80 °C for 3 h. The mass change w ( m 0 ,   m e ) was calculated according to Equation (3) as the difference between the mass m e after the experiment and subsequent to oven-drying and re-conditioning at 20 °C/65% relative humidity (RH) until constant mass and the initial mass m 0 at 20 °C/65% RH before the experiments. The samples were climate-controlled in a chamber at a constant temperature and humidity (Espec climate chamber PL-3KPH, Espec Europe GmbH, Düsseldorf, Germany).
w ( m 0 ,   m e ) = m e m 0 m 0
Figure 5 shows samples from the water uptake test. The top row shows samples with a 3 h water uptake, the middle row shows samples with a 24 h water uptake, and the bottom row shows samples that have been aged for 3 h at 80 °C.

3.2.2. Shrinkage

The shrinkage test specimens have a cross-sectional area of (48 × 48) mm2 and a thickness of 46 mm, with eight specimens tested per ID. The evaluation includes both cross-sectional shrinkage and mass change during the initial drying phase. Therefore, mass and dimensions were recorded at four different stages of the drying process as follows: immediately after preparation, under conditions of 20 °C and 85% RH, under conditions of 20 °C and 65% RH, and after drying the specimens at 103 °C. All data were collected after constant mass was achieved.
In addition to the IDs 5 to 9, their variations without wood fibres were investigated. This resulted in three additional IDs, as ID 5 and ID 7 have identical compositions except for the fibre content, as do ID 6 and ID 8. The resulting compositions are called ID 5 NF, ID 6 NF, and ID 9 NF.
The relative cross-sectional shrinkage w ( A ) was determined in accordance with Equation (4). The initial cross-sectional area A o and the cross-sectional area under the respective conditions A c are taken into account.
w ( A 0 , A c ) = A c A 0 A 0
The relative mass change w ( m ) was calculated according to Equation (5). The initial mass m o and the mass under the respective conditions m c are taken into account.
w ( m 0 , m c ) = m c m 0 m 0

3.2.3. Water Vapour Permeability

Water vapour permeability (WVP) tests were carried out in accordance with European Standard EN ISO 12572:2016 [40] on IDs 5 to 9, with 5 specimens each. The test setup, as illustrated in Figure 6, consisted of specimens with a diameter of 74 mm and a thickness strongly dependent on the ID placed on sealed cups with silica gel serving as a desiccant at the bottom. Additionally, for each composition, a “dummy” specimen without silica gel was tested for each composition to account for changes in the mass of the material itself due to moisture absorption. All cups containing the specimens were then placed in a climate chamber set at 23 °C and 50% RH. The change in mass was monitored at regular intervals until a constant mass was reached.
First, the water vapour permeability coefficient W (in kg/m2·s·Pa) was obtained in accordance with EN 12572:2016 from Equation (6) using the water vapour diffusion flow through the test specimen G in (kg/s), the exposed area A (in m2) of the sample, and the gradient of partial pressures of water vapour p (in Pa). Δp was calculated from the difference between the saturation vapour pressure at 50% relative humidity (ambient side) and the partial vapour pressure above the desiccant (0% RH, silica gel side) at 23 °C. The saturation vapour pressure of water at this temperature (psat = 2811 Pa) was used, resulting in a Δp of approximately 1404 Pa. The same value for Δp is also given in EN 12572:2016.
W = G A   ·   p
The water vapour permeability δ was then calculated from Equation (7) using the sample thickness d .
δ = W · d

3.2.4. Tensile Properties

The impact of the composition on the tensile strength σ and Young’s modulus E was investigated under three distinct climatic conditions (20 °C/30% RH, 20 °C/65% RH, and 20 °C/95% RH) for IDs 5 to 9. Furthermore, the relationship between specimen density and both tensile strength σ and Young’s modulus E was analysed within each ID and within each climatic condition. The samples were prepared as described in Section 3.1 and cut to size afterwards.
The dimensions of the specimens are illustrated in Figure 7. The thickness of the specimens varies between 5 mm and 10 mm and is dependent on the ID. A total of 14 specimens were investigated per variation and test. Thus, in total, a set of 210 specimens was investigated.
All tests were performed on a servo-electric universal testing machine Walter + Bai (Walter + Bai AG, Löhningen, Switzerland) using a 5 kN load cell and two strain gauge-based displacement transducers, which measure displacements of ±2.5 mm with great accuracy. The displacement transducers were positioned on the wide sides of the sample, within the free span, at a measuring length of 100 mm. The tensile test setup is shown in Figure 8.
The tensile strength σ was calculated according to Equation (6), utilising the maximum force before rupture F m a x and the cross-sectional area A 0 , taken immediately after the test.
σ = F m a x A 0
The Young’s modulus E was calculated as the slope of the linear regression between 10% of F m a x and 40% of F m a x using Equations (9) and (10).
ε = l l 0
E = σ ε

3.2.5. Long-Term Weathering

In order to study the long-term impacts of solar radiation, temperature, precipitation, and wind, composite samples from ID 5 to ID 9 were prepared. These specimens were placed on top of dummy soil in order to facilitate rainwater runoff and were installed outdoors in a trough, tilted at an angle of 30° for a duration of 46 weeks (Figure 9, Figure 10 and Figure 11).
The weather data are given in Figure 12 and Figure 13, with a summary provided in Table 4.
The dummy soil is composed of sand with a grain size of 0–8 mm and CEM II cement, formulated to ensure adequate drainage without slippage. The composition is outlined in Table 5. The dimensions of the 20 mm thick specimens measure 325 mm (length) × 265 mm (width), with a 20 mm thick layer of dummy soil positioned underneath. For each ID, nine specimens were prepared and positioned on the test stand facing south at coordinates 47°51′59.8″ N, 12°06′24.0″ E at an altitude of 450 m above mean sea level (AMSL).
These long-term tests provide insights into the hydrolysis and weathering resistance of the composite.
To compare the initial and final states of the specimens, the mass change and visual changes are monitored. The mass change w ( m 0 , m d r y ) is calculated according to Equation (11) using the initial theoretical dry mass m 0 and the final mass m d r y after oven-drying at 50 °C until a constant mass. The initial theoretical dry mass is calculated as the sum of all dry ingredients.
w ( m 0 , m d r y ) = m d r y m 0 m 0
The initial mass m 0 of all IDs is given in Table 6. The observed difference in mass is attributed to the variation in density, with the volume maintained constant across IDs.
Table 7 indicates the number of replicates for each test.

4. Results and Discussion

4.1. Water Uptake

4.1.1. Variation of Gelatine, Tannic Acid, and Wood Fibre Contents

The results of the water uptake trials of ID 5 to ID 9, produced with regular (R) and high (H) pH values after 3 h and 24 h of water storage, are depicted in Figure 14 and Table 8.
The water uptake trials yielded notable results, with significant differences between the tested specimen IDs being revealed. Within the same ID, variations in pH (batches with regular pH are denoted with index R, and batches with higher pH are denoted with index H) did not result in significant differences at the 0.05 level of significance for IDs 5, 6, 8 R, and 9. For ID 7, the elevated pH during the production process resulted in a significantly higher water uptake, as observed over both the 3-h and 24-h periods. Similarly, for ID 8, higher pH levels resulted in increased water uptake over a 24-h period. It is noteworthy that the highest mean water uptake values for both the 3-h and 24-h durations were consistently observed for IDs 7 and 8, respectively, with the highest pH levels.
Over the three-hour period, the results exhibited a higher degree of variability with an increased quantity of wood fibres (IDs 7 and 8), accompanied by the highest level of water uptake. Similarly, for the 24-h duration, the highest means of water uptake were observed in ID 7 H and ID 8 H, which were not significantly different at the 0.05 level from ID 5 H, ID 7 R, and ID 8 R.
Overall, the results indicate that the fastest and highest amount of water uptake occurred with IDs 7 and 8, with ID 5 displaying the third-highest uptake. It is notable that IDs 5 and 7 have a comparable composition, with the exception of their fibre content, whereby ID 7 contains twice the absolute amount. Similarly, IDs 7 and 8 have an identical composition with regard to fibre content. However, ID 8 contains twice the amount of gelatine and tannic acid in absolute terms.
The results of the ageing trials conducted at 80 °C for a period of three hours (abbreviation 3/80) are presented in Figure 15 and Table 9.
It is noteworthy that the trial demonstrated that specimen ID 8 H exhibited the lowest mean mass loss. This finding was not significantly different at the 0.05 level from that observed in specimens ID 6 H, ID 7 R, and ID 9 H. The highest mean of mass loss was recorded for the batch with ID 6 R, which exhibited a significant mass loss of 40%, the highest of all batches.

4.1.2. Tannin TA Variation of ID 8

The results of the water uptake trials of the specimens with varying quantities of tannic acid (Table 3) are shown in Figure A1 and Table A1 (Appendix A).
No linear relationship was identified between the quantity of TA and the resulting mass change in water uptake.
After a period of 24 h, it was observed that higher pH levels resulted in a significantly greater rate of water uptake. However, the differences in water uptake between pH levels were less pronounced after three hours.
During the three-hour observation period, the highest water uptake was recorded for the sample ID 8 TA-1.50 H, reaching a water uptake w of (185 ± 41) %. This value was found to be significantly different at the 0.05 level compared to the reference sample ID 8 TA-1.00 and all other IDs, with the exception of ID 8 TA-0.83 H. It is noteworthy that within each pH category and exposure time, the reference means for ID 8 TA-1.00 yielded the lowest water uptake.
Over the 24-h observation period, the highest water uptake was observed for ID 8 TA-1.50 H, reaching (350 ± 20) %. This result was not found to be significantly different at the 0.05 level compared to the reference sample ID 8 TA-1.00 H. Furthermore, no significant differences were observed in comparison to ID 8 TA-0.50 H, ID 8 TA-0.83 H, and ID 8 TA-1.67 H.
No significant differences were found between the data from Table 8 and Table A1 for the IDs 8 R and 8-TA-1.00 R after 3 h and 24 h. Similarly, no significant difference was observed between 8 H and 8-TA-1.00 H after 24 h; however, a significant difference was identified between 8 H and 8-TA-1.00 H after 3 h.
The results of the ageing tests conducted on specimens with varying quantities of tannic acid are illustrated in Figure A2 and Table A2 (Appendix A).
The experimental findings reveal distinct patterns in mass loss associated with varying levels of TA and pH. Notably, the lowest mass loss was observed for ID 8-TA-1.33 H, indicating a potential mitigating effect of higher pH levels on mass loss. With regard to pH levels, it was noted that elevated levels of TA were associated with increased mass loss. In particular, the highest mass loss was observed in batch ID 8-TA-0.83 H or with TA levels of 1.50 H or above. Under regular pH conditions, the greatest mass loss was observed for ID 8-TA-1.33 R. It is noteworthy that, under these conditions, there was minimal discernible difference in mass loss among varying quantities of TA. Regarding ID 8-TA-1.33, the mass loss was found to be dependent on the pH level. Under regular pH conditions, the highest mass loss was observed among all specimens, whereas high pH levels resulted in the least amount of mass loss. This observation highlights the complex interplay between TA levels and pH in influencing mass loss dynamics. In comparison to the results obtained here, the composite bars produced from stone shots and gelatine GA120 modified with tannin from chestnut trees by Hjelmgaard et al. [28] demonstrate a significantly lower water uptake, primarily due to the absence of wood fibres. The dependency on pH levels is comparable, with higher pH levels resulting in greater water uptake.

4.2. Shrinkage

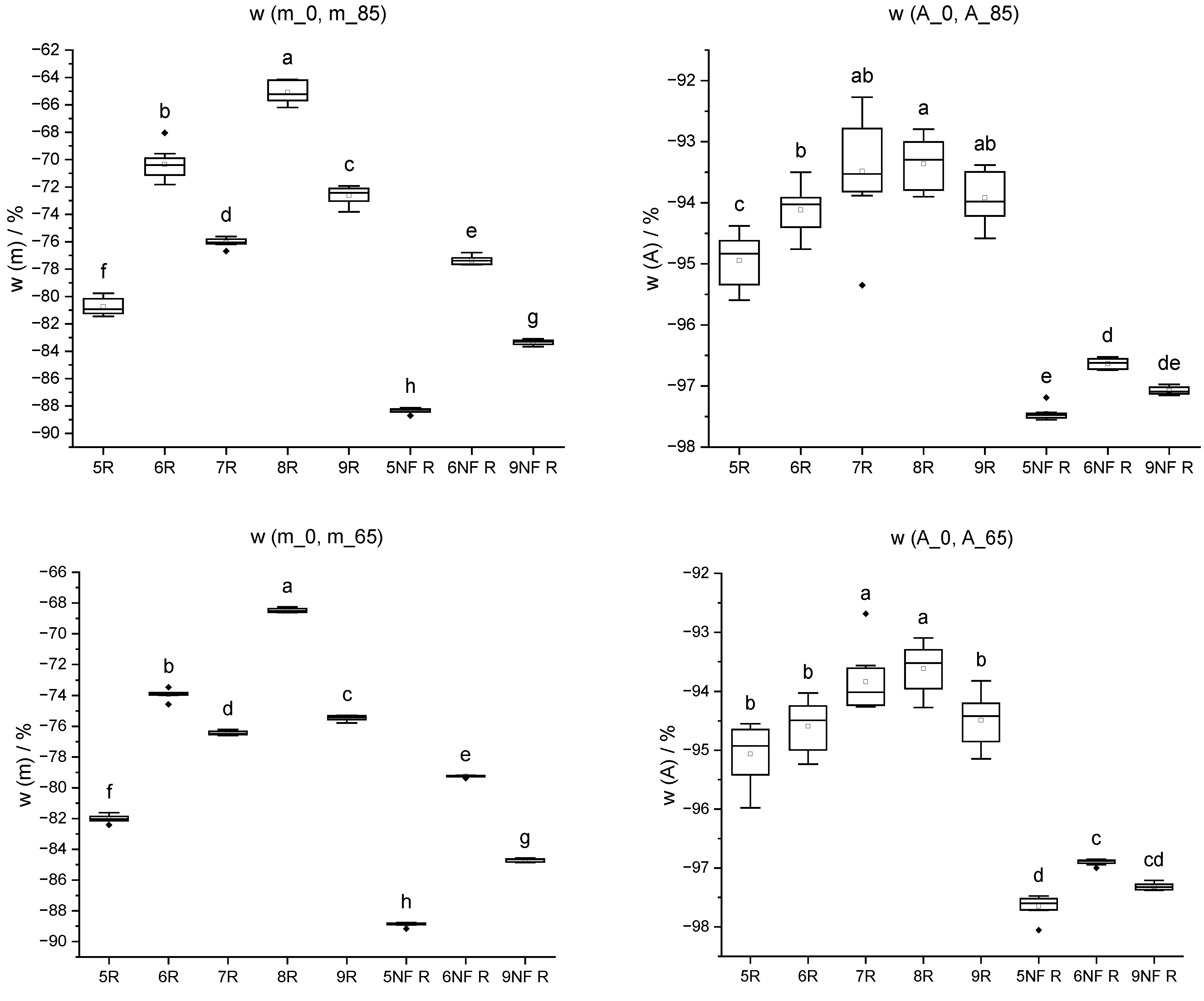
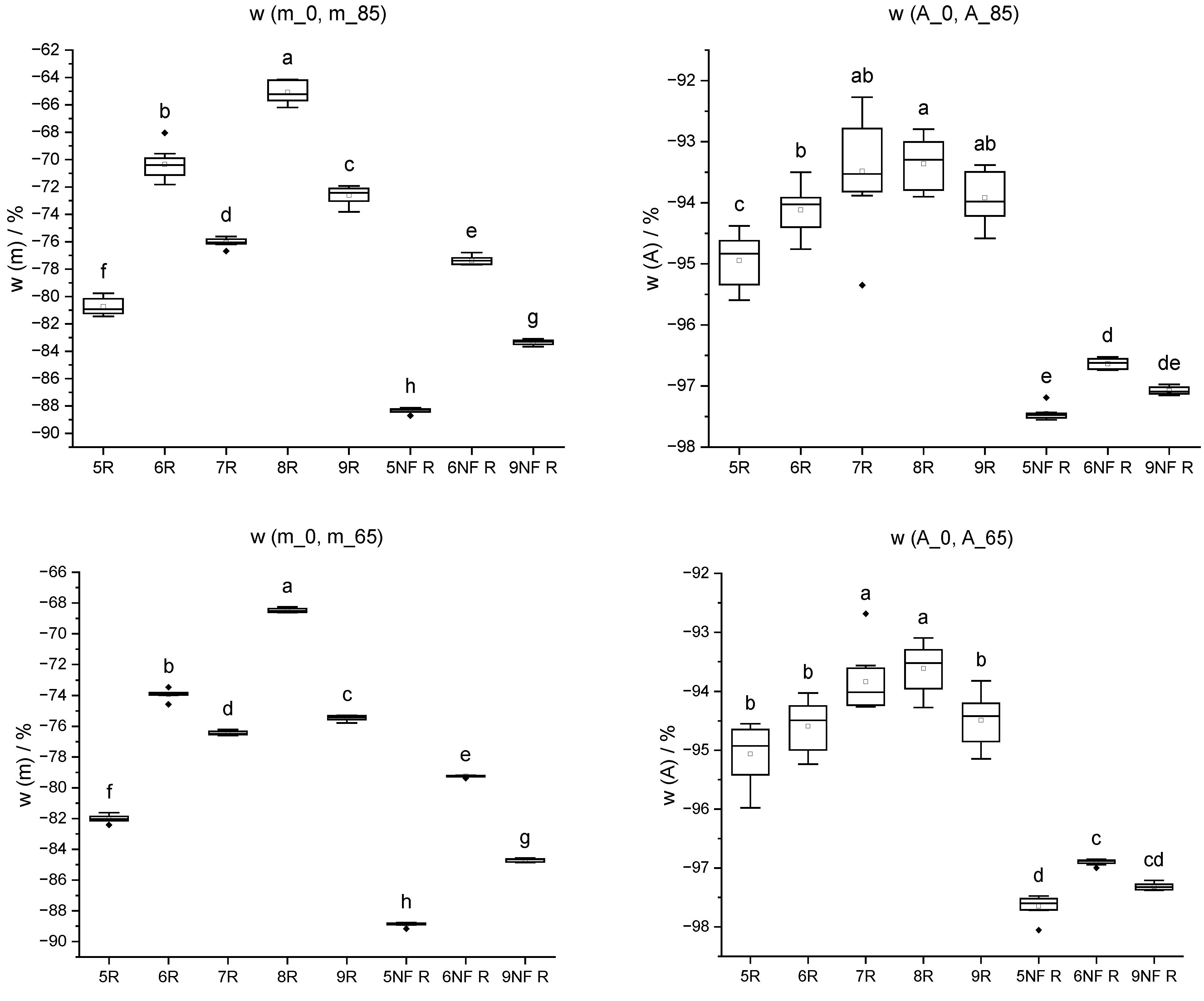
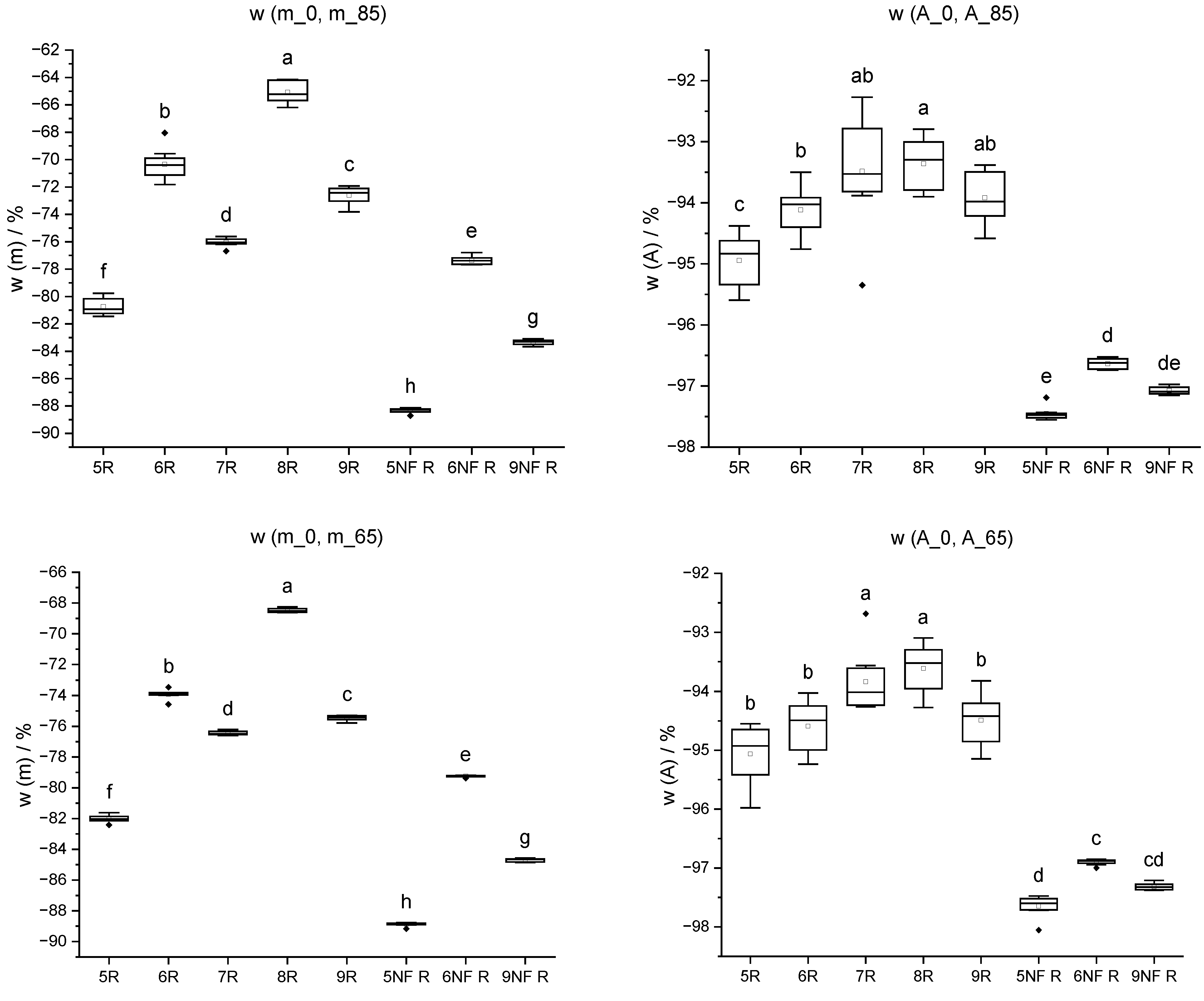
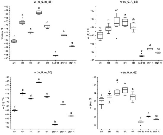
The results of the shrinkage tests, as depicted in Figure 16 and Table 10, reveal several important findings. The mass loss during the drying process is directly related to the initial amount of water present in the specimens. During the initial phase of the drying process, from the initial wet state to conditions of 20 °C and 85% relative humidity, a significant decrease in mass is observed. The statistical analysis shows that all sample IDs are significantly different from each other at the 0.05 level of significance at each stage of the drying process. Each sample ID undergoes a mass reduction of approximately 2% when moving from 20 °C and 85% relative humidity to the final dry state. In addition, the final dry mass of each sample ID is within 2% of the theoretical initial dry mass, which is the combined mass of all dry ingredients excluding water. Figure 16 shows the mass change (w (m)) and the cross-sectional shrinkage (w (A)) from the initial state (_0) through the drying process from 20 °C/85% RH (_85) to 20 °C/65% RH (_65) and, finally, to the oven-dried state (_dry).
In terms of cross-sectional shrinkage, all samples change from cubic to non-cubic shapes, making accurate measurement difficult. The primary shrinkage occurs during the transition from the initial state to conditions of 20 °C and 85% RH, with subsequent changes being relatively negligible.
At 20 °C and 85% RH, ID 8 shows the smallest decrease in size, which is not significantly different from the decreases observed for IDs 7 and 9 (Figure 16, graph w (A_0, A_85)). It is noteworthy that these three IDs have a higher wood fibre content compared to the other specimens. A marked disparity is observed between the group of IDs with fibres and those without fibres (NF), with the latter showing a greater reduction in size. The distribution of IDs with and without fibres shows a comparative trend: a higher gelatine content corresponds to a lower decrease in size.
Similar observations are made at 20 °C and 65% RH, with no significant differences compared to the previous condition (Figure 16, graph w (A_0, A_65). In addition, the dry state gives similar results, with no significant differences compared to the previous conditions.
The comparative analysis between mass loss and cross-sectional shrinkage suggests that there is not a strict correlation between the two. It appears that the progression of mass loss is directly associated with the initial water content. Despite substantial differences between IDs containing fibres and those without, it seems that there is no correlation between cross-sectional shrinkage and mass loss, as the latter is contingent upon the specific composition of the ID. The reduced shrinkage observed in fibre-containing samples can be attributed to two complementary mechanisms. First, the stiff wood fibres provide dimensional restraint, limiting the extent of contraction of the gelatine–tannin matrix during drying. Second, the irregular and porous fibre surfaces promote mechanical interlocking with the surrounding biopolymer, thereby physically hindering matrix deformation. The combination of geometric fixation and interfacial anchoring explains why composites with higher fibre contents exhibited significantly lower cross-sectional shrinkage, even though the overall mass loss due to water removal was comparable to that of fibre-free samples.

4.3. Water Vapour Permeability

Figure 17 illustrates the water vapour permeability (WVP) of the composition ID 5 to ID 9.
Overall, the water vapour permeability (WVP) values for all compositions range from 0.5 to 3.5 × 10−8 kg/(Pa · h · m), with no significant differences observed at the 0.05 significance level. Both ID 7 and ID 8 exhibit a wide range of WVP values, which can be attributed to their high wood fibre content (Table 1). Wood fibres are characterised by a chemical structure rich in hydrophilic groups [41], which readily interact with moisture, thereby adversely affecting the final WVP of the samples. This observation is corroborated by other studies, which have shown that the addition of natural fibres or organic fillers to bio-based matrices increases the WVP [42,43,44,45]. Furthermore, the high wood fibre content in these samples may have caused significant inhomogeneity within the specimens, contributing to increased data dispersion. Despite this variability, the average WVP values of the produced compositions are comparable to or even lower than those of other biodegradable mulching films reported in the literature [14]. This indicates that, despite the presence of wood fibres, cross-linked gelatine could be a promising solution for reducing WVP. Although the results are still higher than those of polyethylene (PE) mulch films, which have a WVP of approximately 0.324 × 10−11 kg/(Pa · h · m) [45], the produced formulations offer greater benefits for the soil due to their bio-based nature.

4.4. Tensile Strength and Young’s Modulus

The results of the tensile strength tests are given in Figure 18, showing the dependence on the climatic conditions and the IDs. The stress–strain relationship depends heavily on the climate and, thus, on the water content. While dry samples conditioned at 20 °C and 30% relative humidity (RH) exhibited a relatively linear elastic stress–strain behaviour, samples with a higher water content displayed hypoplastic behaviour, combining elastic and plastic properties. Example stress–strain curves are provided in the annexe (Figure A3, Appendix A). A summary of the data is given in Table 11. To compare the batches, the post hoc Dunn–Sidak test was performed separately for the strength σ and the modulus of elasticity E.

4.5. Tensile Strength (σ) Analysis

The study of tensile strength revealed a pronounced influence of climatic conditions, particularly noticeable at higher wood fibre contents in combination with higher gelatine and TA contents, with wetter conditions generally resulting in lower tensile strength.
Under dry conditions (20 °C/30% RH), the specimens ID 8 and ID 9 exhibited higher tensile strength values due to their higher combined wood fibre, gelatine, and TA contents. These values were statistically different from those of specimens IDs 5 to 7 at the 0.05 significance level. Conversely, under moderate conditions (20 °C/65% RH), no significant differences in tensile strength were observed between IDs 5, 6, 8, and 9. However, ID 7, which is characterised by a higher fibre content, had a significantly lower tensile strength than the others. Furthermore, under wet conditions (20 °C/95% RH), ID 7 showed the lowest mean tensile strength but only differed significantly from ID 5, while the remaining IDs showed no significant differences between each other.
The effect of specimen density on the strength was also investigated. In 11 out of 15 cases, no correlation was observed between specimen density and the resulting tensile strength. However, in four cases, a positive correlation was observed, indicating that as the specimen density increased, the resulting tensile strength also increased. Specifically, this correlation was observed for ID 6 at 20 °C/95% RH, ID 7 at 20 °C/65% RH and 20 °C/95% RH, and ID 9 at 20 °C/95% RH. It is noteworthy that in the majority of cases, the density of the specimen did not have a significant effect on the tensile strength.

4.6. Young’s Modulus (E) Analysis

Young’s modulus analysis showed a significant dependence on climatic conditions for all specimens, particularly pronounced under wet conditions, which resulted in reduced stiffness, especially for ID 6. Significantly different values for E were observed for IDs 5, 8, and 9 in all climates, while IDs 6 and 7 showed no significant difference between conditions 20 °C/30% RH and 20 °C/65% RH. Under dry and moderate conditions, the differences between the IDs were more pronounced, as the values were generally lower under humid conditions. Specifically, under dry conditions, ID 7 had the lowest E values, not significantly different from IDs 5 and 6, while IDs 8 and 9 had the highest values, not significantly different from ID 6. Conversely, under medium conditions, ID 6 showed the highest stiffness, not significantly different from IDs 7 to 9, while ID 5 showed the lowest values, not significantly different from ID 8 but from the other IDs. Under wet conditions, ID 6 shows the lowest mean E, but no significant differences were found between all the IDs.
The effect of specimen density on E was also investigated. Similar to its effect on tensile strength, no correlation between specimen density and Young’s modulus was observed in 11 out of 15 cases. In four cases, a positive correlation was observed for ID 5 at 20 °C/30% RH, ID 6 at 20 °C/95% RH, ID 7 at 20 °C/95% RH, and ID 9 at 20 °C/95% RH. As with the effect on tensile strength, in the majority of cases there was no correlation between specimen density and the resulting modulus of elasticity.
Comparative values for gelatine corresponding to its water content are given in Figure 19 and Table 12. It is important to note that the literature values represent pure gelatine, whereas the TSC also contains wood fibres and TA. A comparative analysis shows that the experimental results for tensile strength σ are significantly lower than the literature values; all values for the specimens with IDs 5 to 9 are around 10 MPa, while previous studies by Liu et al. and Hess et al. [46,47] reported values between 50 MPa and 100 MPa. However, the Young’s modulus values are competitive. Furthermore, previous research by Liu et al. [46] has shown that the addition of wood fibre significantly reduces both tensile strength and Young’s modulus, supporting the results observed in this study.
The obtained tensile strength values are lower than those of PE and PLA mulch films, which can range from 25 to 40 MPa [11,14]. However, the Young’s modulus values (at 20 °C/30% RH) are higher than those of PE mulching films (150–250 MPa) and comparable with those of PLA mulching films (2500–4000 MPa) [11,14].

4.7. Long-Term Weathering

To assess visual changes, one representative specimen per ID is shown in Figure 20. The initial state exhibits discolouration due to the formation of mould, which disappeared within the first 24 h after installing the specimens in their test environment.
Visual evaluation of the specimens (IDs 5–9) revealed distinctive characteristics influenced by the inherent properties of the material and environmental factors. In particular, the exact extent of deformation was dependent upon immediate weather conditions, particularly solar radiation and precipitation, as the specimens underwent cycles of drying and soaking.
ID 5 exhibited observable deformation and shrinkage, but fibre cohesion and stiffness remained similar to the initial condition. Similarly, ID 6 showed similar characteristics to ID 5 but with greater deformation and shrinkage, whilst maintaining cohesion and stiffness similar to the initial condition. In contrast, at the end of the evaluation, ID 7 remained scattered throughout the tray, but without any cohesion between the fibres. The cross-linking agent (CL) was largely washed out, leaving only the fibres. Notably, no deformation or shrinkage was observed due to the lack of fibre cohesion. ID 8 retained some degree of inter-fibre cohesion to the end of the evaluation, although less than IDs 5 and 6. Compared to its earlier stages, ID 8 showed increased flexibility and reduced stiffness. Its level of cohesion fell between that of ID 9 and that of IDs 5 and 6. In the case of ID 9, fibres still adhered to each other at the end of the evaluation, although less effectively than all other IDs, except ID 7. In addition, deformation comparable to that of ID 5 was observed. A summary of the results of the visual evaluation is given in Table 13, highlighting the distinctive characteristics and behaviours exhibited by each specimen. It is noteworthy that these observations highlight the complex interplay between material properties, environmental conditions, and the subsequent deformation of the specimens.
Figure 21 and Table 14 show the mass changes of the specimens through the weathering test according to Equation (11).
The lowest mass loss was obtained with ID 6, which has a low amount of fibres but high amounts of gelatine and TA. This result is significantly different at the 0.05 level from all other IDs. Conversely, the highest mass loss was recorded for ID 7, which contains the highest fibre amount and low amounts of gelatine and TA and is also significantly different from all other IDs. In general, the findings suggest that the higher the fibre content, the greater the mass loss, whereas higher gelatine and TA contents are associated with lower mass loss.
Taken together, these findings offer a coherent interpretation of the experimental results. Overall, consistent trends were observed across all investigated parameters. The incorporation of wood fibres markedly improved the composites’ dimensional stability by restricting shrinkage and deformation, while the gelatine–tannic acid matrix ensured sufficient cohesion and mechanical strength. The interaction between the fibrous reinforcement and the cross-linked biopolymer network produced a balanced combination of stiffness, flexibility, and vapour permeability. While the mechanical performance of the composites decreased under humid conditions due to the moisture sensitivity of the protein matrix, they maintained structural integrity and exhibited vapour permeability values comparable to those of other biodegradable mulching films. These outcomes highlight the potential of the developed wood fibre–biopolymer composites as sustainable, functionally stable alternatives to conventional, plastic-based topsoil covers.

5. Conclusions

This study presents the development of a bio-based composite material composed of tannic acid cross-linked gelatine and wood fibres, intended for use as multifunctional topsoil covers (TSCs) in agricultural and forestry applications. The main objective was to create a sustainable alternative to conventional plastic-based mulching films using natural, biodegradable components that could be tailored to have specific mechanical and hygrothermal properties. By systematically varying the proportions of gelatine, tannic acid, and wood fibres, it was possible to optimise the performance of the composites with respect to water uptake, dimensional stability, vapour permeability, and mechanical strength. Incorporating wood fibres was particularly beneficial, as they significantly limited cross-sectional shrinkage during drying and enhanced the structural integrity and cohesion of the material over prolonged exposure to outdoor conditions. At the same time, the fibres did not substantially increase the water vapour permeability, which remained within the range reported for other biodegradable TSCs in the literature. Mechanical testing revealed tensile strength values of up to 17 MPa and Young’s modulus values of up to 2700 MPa under dry conditions, confirming that the material can withstand moderate mechanical loads. However, both strength and stiffness were sensitive to ambient humidity, with a notable reduction under moist conditions. Long-term weathering tests conducted over 46 weeks showed that formulations with higher levels of wood fibres and tannic acid experienced the least mass loss and retained the greatest dimensional stability. In contrast, formulations with low binder content degraded rapidly. Thanks to their mechanical performance and resistance to environmental stressors, these TSCs could be well-suited to field applications requiring temporary soil coverage, erosion control, or moisture retention. Field experiments have already been planned to assess the impact of the composites on soil health and plant growth. One potential limitation of these products is the high cost of gelatine and tannic acid compared to common plastic materials used for mulching films. Therefore, future work will also focus on further optimising the formulation and processing methods—for example, by exploring other natural cross-linkers or fibre types—that could lead to the development of materials that are even more robust and cost-effective, suitable for large-scale implementation.

Author Contributions

Conceptualisation, J.B.; methodology, J.B. and S.H.; software, J.B.; validation, S.H.; formal analysis, S.H.; investigation, J.B. and A.S.; resources, S.H.; data curation, S.H.; writing—original draft preparation, J.B., A.S.; writing—review and editing, S.H.; supervision, S.H.; funding acquisition, S.H. All authors have read and agreed to the published version of the manuscript.

Funding

This project received funding from the European Union’s Horizon 2020 Research and Innovation Program within the project ONEForest: A Multi-Criteria Decision Support System for A Common Forest Management to Strengthen Forest Resilience, Harmonise Stakeholder Interests and Ensure Sustainable Wood Flows (Grant Agreement No. 101000406).

Data Availability Statement

The raw data supporting the conclusions of this article will be made available by the authors on request.

Conflicts of Interest

Authors declare no conflicts of interest.

Appendix A. Tannin TA Variation of ID 8

Figure A1. Variation of TA of ID 8. Mass change w through water uptake. Specimens with regular pH are shown in white and with higher pH in grey. Water uptake after 3 h (left) and 24 h (right). Different letters indicate that the results are statistically different at the 0.05 level.
Figure A1. Variation of TA of ID 8. Mass change w through water uptake. Specimens with regular pH are shown in white and with higher pH in grey. Water uptake after 3 h (left) and 24 h (right). Different letters indicate that the results are statistically different at the 0.05 level.
Forests 16 01597 g0a1
Table A1. Mean ± standard deviation of mass change w in % under altered TA concentrations; reference batch produced at regular (R) or higher (H) pH level.
Table A1. Mean ± standard deviation of mass change w in % under altered TA concentrations; reference batch produced at regular (R) or higher (H) pH level.
IDw (m_dry, m_max)w (m_dry, m_max)
Exposure time3 h24 h
%%
8-TA-0.50 R131 ± 10 cde282 ± 29 def
8-TA-0.67 R122 ± 7 de264 ± 19 f
8-TA-0.83 R131 ± 13 cde273 ± 15 ef
8-TA-1.00 R117 ± 7 e259 ± 19 f
8-TA-1.17 R130 ± 18 cde284 ± 32 def
8-TA-1.33 R143 ± 12 bcd278 ± 33 ef
8-TA-1.50 R129 ± 13 cde263 ± 24 f
8-TA-1.67 R138 ± 18 bcde284 ± 20 def
8-TA-1.83 R124 ± 10 de294 ± 18 cdef
8-TA-0.50 H149 ± 8 bc333 ± 26 ab
8-TA-0.67 H140 ± 8 bcde304 ± 16 bcde
8-TA-0.83 H162 ± 31 ab323 ± 28 abc
8-TA-1.00 H130 ± 7 cde318 ± 35 abcd
8-TA-1.17 H137 ± 18 cde293 ± 22 cdef
8-TA-1.33 H136 ± 11 cde315 ± 27 bcd
8-TA-1.50 H185 ± 41 a353 ± 23 a
8-TA-1.67 H146 ± 12 bcd334 ± 21 ab
8-TA-1.83 H140 ± 12 bcde315 ± 22 bcd
Different letters in a column indicate that the results are statistically different at the 0.05 level.
Figure A2. TA variation of ID 8. Mass change w before and after ageing: 3/80 in standard climate 20/65. Specimens with regular pH are shown in white and with higher pH in grey. Different letters indicate that the results are statistically different at the 0.05 level of significance.
Figure A2. TA variation of ID 8. Mass change w before and after ageing: 3/80 in standard climate 20/65. Specimens with regular pH are shown in white and with higher pH in grey. Different letters indicate that the results are statistically different at the 0.05 level of significance.
Forests 16 01597 g0a2
Table A2. Mean ± standard deviation of mass loss during the ageing test; reference batch produced at regular (R) or higher (H) pH level; 12 samples per batch.
Table A2. Mean ± standard deviation of mass loss during the ageing test; reference batch produced at regular (R) or higher (H) pH level; 12 samples per batch.
IDw (m_0, m_e)
3 h/80 °C
%
8-TA-0.50 R−6.0 ± 0.3 abcd
8-TA-0.67 R−5.7 ± 0.2 ab
8-TA-0.83 R−5.9 ± 0.5 abcd
8-TA-1.00 R−6.5 ± 0.6 cde
8-TA-1.17 R−6.1 ± 0.4 bcd
8-TA-1.33 R−7.5 ± 1.2 g
8-TA-1.50 R−6.3 ± 0.5 bcde
8-TA-1.67 R−6.4 ± 0.6 bcde
8-TA-1.83 R−6.1 ± 0.4 bcde
8-TA-0.50 H−6.5 ± 0.7 cde
8-TA-0.67 H−6.2 ± 0.5 bcde
8-TA-0.83 H−7.4 ± 0.5 fg
8-TA-1.00 H−5.7 ± 0.3 abc
8-TA-1.17 H−5.7 ± 0.3 abc
8-TA-1.33 H−5.3 ± 0.3 a
8-TA-1.50 H−6.6 ± 0.5 def
8-TA-1.67 H−6.9 ± 0.5 efg
8-TA-1.83 H−7.3 ± 0.7 fg
Different letters in a column indicate that the results are statistically different at the 0.05 level.
Figure A3. Exemplary stress–strain relationship of ID 8, conditioned at 20 °C/30% RH (top) and at 20 °C/95% RH (bottom).
Figure A3. Exemplary stress–strain relationship of ID 8, conditioned at 20 °C/30% RH (top) and at 20 °C/95% RH (bottom).
Forests 16 01597 g0a3

References

  1. Kasirajan, S.; Ngouajio, M. Polyethylene and biodegradable mulches for agricultural applications: A review. Agron. Sustain. Dev. 2012, 32, 501–529. [Google Scholar] [CrossRef]
  2. Yang, N.; Sun, Z.-X.; Feng, L.-S.; Zheng, M.-Z.; Chi, D.-C.; Meng, W.-Z.; Hou, Z.-Y.; Bai, W.; Li, K.-Y. Plastic film mulching for water-efficient agricultural applications and degradable films materials development research. Mater. Manuf. Process. 2015, 30, 143–154. [Google Scholar] [CrossRef]
  3. Steinmetz, Z.; Wollmann, C.; Schaefer, M.; Buchmann, C.; David, J.; Tröger, J.; Muñoz, K.; Frör, O.; Schaumann, G.E. Plastic mulching in agriculture. Trading short-term agronomic benefits for long-term soil degradation? Sci. Total Environ. 2016, 550, 690–705. [Google Scholar] [CrossRef] [PubMed]
  4. Briassoulis, D.; Giannoulis, A. Evaluation of the functionality of bio-based food packaging films. Polym. Test. 2018, 69, 39–51. [Google Scholar] [CrossRef]
  5. Liu, E.; He, W.; Yan, C. ‘White revolution’to ‘white pollution’—Agricultural plastic film mulch in China. Environ. Res. Lett. 2014, 9, 091001. [Google Scholar] [CrossRef]
  6. Abrusci, C.; Pablos, J.L.; Corrales, T.; López-Marín, J.; Marín, I.; Catalina, F. Biodegradation of photo-degraded mulching films based on polyethylenes and stearates of calcium and iron as pro-oxidant additives. Int. Biodeterior. Biodegrad. 2011, 65, 451–459. [Google Scholar] [CrossRef]
  7. Qi, Y.; Yang, X.; Pelaez, A.M.; Huerta Lwanga, E.; Beriot, N.; Gertsen, H.; Garbeva, P.; Geissen, V. Macro- and micro-plastics in soil-plant system: Effects of plastic mulch film residues on wheat (Triticum aestivum) growth. Sci. Total Environ. 2018, 645, 1048–1056. [Google Scholar] [CrossRef]
  8. Zhang, D.; Liu, H.-B.; Hu, W.-l.; Qin, X.-H.; Yan, C.-R.; Wang, H.-Y. The status and distribution characteristics of residual mulching film in Xinjiang, China. J. Integr. Agric. 2016, 15, 2639–2646. [Google Scholar] [CrossRef]
  9. Wang, J.; Lv, S.; Zhang, M.; Chen, G.; Zhu, T.; Zhang, S.; Teng, Y.; Christie, P.; Luo, Y. Effects of plastic film residues on occurrence of phthalates and microbial activity in soils. Chemosphere 2016, 151, 171–177. [Google Scholar] [CrossRef]
  10. Gao, X.; Xie, D.; Yang, C. Effects of a PLA/PBAT biodegradable film mulch as a replacement of polyethylene film and their residues on crop and soil environment. Agric. Water Manag. 2021, 255, 107053. [Google Scholar] [CrossRef]
  11. Merino, D.; Zych, A.; Athanassiou, A. Biodegradable and Biobased Mulch Films: Highly Stretchable PLA Composites with Different Industrial Vegetable Waste. ACS Appl. Mater. Interfaces 2022, 14, 46920–46931. [Google Scholar] [CrossRef]
  12. Tian, Y.; Wang, J.H. Polyhydroxyalkanoates for biodegradable mulch films applications. In Sustainability & Green Polymer Chemistry Volume 2: Biocatalysis and Biobased Polymers; ACS Publications: Washington, DC, USA, 2020; pp. 145–160. [Google Scholar]
  13. Russo, R.; Malinconico, M.; Santagata, G. Effect of cross-linking with calcium ions on the physical properties of alginate films. Biomacromolecules 2007, 8, 3193–3197. [Google Scholar] [CrossRef] [PubMed]
  14. Menossi, M.; Cisneros, M.; Alvarez, V.A.; Casalongué, C. Current and emerging biodegradable mulch films based on polysaccharide bio-composites. A review. Agron. Sustain. Dev. 2021, 41, 1–27. [Google Scholar] [CrossRef]
  15. Kayserilioğlu, B.Ş.; Bakir, U.; Yilmaz, L.; Akkaş, N.J.B.t. Use of xylan, an agricultural by-product, in wheat gluten based biodegradable films: Mechanical, solubility and water vapor transfer rate properties. Bioresour. Technol. 2003, 87, 239–246. [Google Scholar] [CrossRef] [PubMed]
  16. Zhao, Y.; Qiu, J.; Xu, J.; Gao, X.; Fu, X. Effects of crosslinking modes on the film forming properties of kelp mulching films. Algal Res. 2017, 26, 74–83. [Google Scholar] [CrossRef]
  17. Merino, D.; Gutiérrez, T.J.; Mansilla, A.Y.; Casalongué, C.A.; Alvarez, V.A. Critical Evaluation of starch-based antibacterial nanocomposites as agricultural mulch films: Study on their interactions with water and light. ACS Sustain. Chem. Eng. 2018, 6, 15662–15672. [Google Scholar] [CrossRef]
  18. Cerdà, A.; Rodrigo-Comino, J.; Giménez-Morera, A.; Keesstra, S.D. An economic, perception and biophysical approach to the use of oat straw as mulch in Mediterranean rainfed agriculture land. Ecol. Eng. 2017, 108, 162–171. [Google Scholar] [CrossRef]
  19. Henschke, M.; Politycka, B. Application of wood chips for soil mulching in the cultivation of ornamental grasses. Folia Hortic. 2016, 28, 187–194. [Google Scholar] [CrossRef][Green Version]
  20. van Donk, S.J.; Lindgren, D.T.; Schaaf, D.M.; Petersen, J.L.; Tarkalson, D.D. Wood chip mulch thickness effects on soil water, soil temperature, weed growth and landscape plant growth. J. Appl. Hortic. 2012, 13, 91–95. [Google Scholar] [CrossRef]
  21. Singh, D.; Mina, U. On and Off Farm Crop Residue Management: A brief review on Options, Benefits, Drawbacks, Limitations and Policy Interventions. J. Cereal Res. 2022, 14, 108–128. [Google Scholar] [CrossRef]
  22. Richardson, M.L.; Arlotta, C.G.; Lopez, F.B. The potential for using wood mulch for agricultural production. Renew. Agr. Food Syst. 2023, 38, e47. [Google Scholar] [CrossRef]
  23. Chalker-Scott, L. Impact of mulches on landscape plants and the environment—A review. J. Environ. Hort. 2007, 25, 239–249. [Google Scholar] [CrossRef]
  24. Du, C.; Li, L.; Effah, Z. Effects of straw mulching and reduced tillage on crop production and environment: A review. Water 2022, 14, 2471. [Google Scholar] [CrossRef]
  25. Smith, E. The Combustibility of Landscape Mulches; University of Nevada Cooperative Extension: Reno, NV, USA, 2011. [Google Scholar]
  26. Greenly, K.M.; Rakow, D.A. The effect of wood mulch type and depth on weed and tree growth and certain soil parameters. J. Arboric. 1995, 21, 225–232. [Google Scholar] [CrossRef]
  27. Gouin, F.R. Over-mulching, a national plague. Weeds Trees Turf 1983, 22, 22–23. [Google Scholar]
  28. Hjelmgaard, T.; Svendsen, J.O.; Kohler, B.; Pawelzyk, P.; Lybye, D.; Schmucker, C.M.; Reiter, P.; Reihmann, M.; Thorsen, P.A. Gelatin-Tannin-Based Greener Binder Technology for Stone Shot and Stone Wool Materials: A Detailed Study. ACS Omega 2021, 6, 33874–33882. [Google Scholar] [CrossRef]
  29. Hjelmgaard, T.; Thorsen, P.A.; Bøtner, J.A.; Kaurin, J.; Schmücker, C.M.; Nærum, L. Towards greener stone shot and stone wool materials: Binder systems based on gelatine modified with tannin or transglutaminase. Green Chem. 2018, 20, 4102–4111. [Google Scholar] [CrossRef]
  30. Schrieber, R.; Gareis, H. Gelatine Handbook: Theory and Industrial Practice; John Wiley & Sons: New York, NY, USA, 2007. [Google Scholar]
  31. Ramshaw, J.A.; Glattauer, V. Biophysical and Chemical Properties of Collagen: Biomedical Applications; IOP Publishing: Bristol, UK, 2019. [Google Scholar]
  32. Chen, H.; Wang, J.; Cheng, Y.; Wang, C.; Liu, H.; Bian, H.; Pan, Y.; Sun, J.; Han, W. Application of protein-based films and coatings for food packaging: A review. Polymers 2019, 11, 2039. [Google Scholar] [CrossRef]
  33. García, M.P.M.; Gómez-Guillén, M.C.; López-Caballero, M.E.; Barbosa-Cánovas, G.V. Edible Films and Coatings: Fundamentals and Applications; CRC Press: Boca Raton, FL, USA, 2016. [Google Scholar]
  34. Quideau, S.; Deffieux, D.; Douat-Casassus, C.; Pouységu, L. Plant polyphenols: Chemical properties, biological activities, and synthesis. Angew. Chem. Int. Ed. 2011, 50, 586–621. [Google Scholar] [CrossRef]
  35. Zhang, X.; Do, M.D.; Casey, P.; Sulistio, A.; Qiao, G.G.; Lundin, L.; Lillford, P.; Kosaraju, S. Chemical cross-linking gelatin with natural phenolic compounds as studied by high-resolution NMR spectroscopy. Biomacromolecules 2010, 11, 1125–1132. [Google Scholar] [CrossRef]
  36. Zhang, X.; Do, M.D.; Casey, P.; Sulistio, A.; Qiao, G.G.; Lundin, L.; Lillford, P.; Kosaraju, S. Chemical modification of gelatin by a natural phenolic cross-linker, tannic acid. J. Agric. Food Chem. 2010, 58, 6809–6815. [Google Scholar] [CrossRef] [PubMed]
  37. Haslam, E.; Cai, Y. Plant polyphenols (vegetable tannins): Gallic acid metabolism. Nat. Prod. Rep. 1994, 11, 41–66. [Google Scholar] [CrossRef] [PubMed]
  38. Peña, C.; De La Caba, K.; Eceiza, A.; Ruseckaite, R.; Mondragon, I. Enhancing water repellence and mechanical properties of gelatin films by tannin addition. Bioresour. Technol. 2010, 101, 6836–6842. [Google Scholar] [CrossRef] [PubMed]
  39. Strauss, G.; Gibson, S.M. Plant phenolics as cross-linkers of gelatin gels and gelatin-based coacervates for use as food ingredients. Food Hydrocoll. 2004, 18, 81–89. [Google Scholar] [CrossRef]
  40. ISO 12572:2016; Hygrothermal Performance of Building Materials and Products—Determination of Water Vapour Transmission Properties—Cup Method. ISO: Geneva, Switzerland, 2016.
  41. Schweingruber, F.H. Wood Structure and Environment; Springer Science & Business Media: Berlin, Germany, 2007. [Google Scholar]
  42. Merino, D.; Gutiérrez, T.J.; Alvarez, V.A. Potential Agricultural Mulch Films Based on Native and Phosphorylated Corn Starch With and Without Surface Functionalization with Chitosan. J. Polym. Environ. 2018, 27, 97–105. [Google Scholar] [CrossRef]
  43. Khan, R.A.; Salmieri, S.; Dussault, D.; Sharmin, N.; Lacroix, M. Mechanical, barrier, and interfacial properties of biodegradable composite films made of methylcellulose and poly (caprolactone). J. Appl. Polym. Sci. 2012, 123, 1690–1697. [Google Scholar] [CrossRef]
  44. Ayu, R.; Khalina, A.; Harmaen, A.; Zaman, K.; Mohd Nurrazi, N.; Isma, T. Effect of empty fruit brunch reinforcement in PolyButylene-succinate/modified tapioca starch blend for agricultural mulch films. Sci. Rep. 2020, 10, 1166. [Google Scholar] [CrossRef]
  45. Galus, S.; Arik Kibar, E.A.; Gniewosz, M.; Kraśniewska, K. Novel materials in the preparation of edible films and coatings—A review. Coatings 2020, 10, 674. [Google Scholar] [CrossRef]
  46. Liu, C.-K.; Latona, N.; Taylor, M. Preparation of nonwoven and green composites from collagen fibrous networks. J. Am. Leather Chem. Assoc. 2014, 109, 35–40. [Google Scholar]
  47. Hess, K. Mechanical and Moisture Absorption Properties of Biobased Gelatin Films and Composites for Construction Applications. Ph.D. Thesis, University of Colorado at Boulder, Boulder, CO, USA, 2015. [Google Scholar]
Figure 1. The main ingredients of the composite (bottom) are gelatine (top left), tannic acid (top middle), and wood fibres (top right).
Figure 1. The main ingredients of the composite (bottom) are gelatine (top left), tannic acid (top middle), and wood fibres (top right).
Forests 16 01597 g001
Figure 2. Legend for all box plots.
Figure 2. Legend for all box plots.
Forests 16 01597 g002
Figure 3. Face-centred central composite design. Variation of wood fibre, gelatine, and tannic acid contents.
Figure 3. Face-centred central composite design. Variation of wood fibre, gelatine, and tannic acid contents.
Forests 16 01597 g003
Figure 4. Sample preparation scheme.
Figure 4. Sample preparation scheme.
Forests 16 01597 g004
Figure 5. Water uptake samples after final drying; from left to right: IDs 5 R, 5 H, 6 R, 6 H, 7 R, 7 H, 8 R, 8 H, 9 R, 9 H. Top row (3 h in water), middle row (24 h in water), and bottom row (3 h at 80 °C in water).
Figure 5. Water uptake samples after final drying; from left to right: IDs 5 R, 5 H, 6 R, 6 H, 7 R, 7 H, 8 R, 8 H, 9 R, 9 H. Top row (3 h in water), middle row (24 h in water), and bottom row (3 h at 80 °C in water).
Forests 16 01597 g005
Figure 6. Schematic setup of WVP tests. 1: Parafilm. 2: Butyl tape with aluminium lamination. 3: Silicone joint. 4: Iron ring. 5: Aluminium dish. 6: Silica gel. 7: Test specimen. 8: Butyl sealing cord.
Figure 6. Schematic setup of WVP tests. 1: Parafilm. 2: Butyl tape with aluminium lamination. 3: Silicone joint. 4: Iron ring. 5: Aluminium dish. 6: Silica gel. 7: Test specimen. 8: Butyl sealing cord.
Forests 16 01597 g006
Figure 7. Schematic representation of a bone specimen (top), test specimens before (middle), and after the tensile test (bottom).
Figure 7. Schematic representation of a bone specimen (top), test specimens before (middle), and after the tensile test (bottom).
Forests 16 01597 g007
Figure 8. Tensile test setup.
Figure 8. Tensile test setup.
Forests 16 01597 g008
Figure 9. Weathering test setup after installation.
Figure 9. Weathering test setup after installation.
Forests 16 01597 g009
Figure 10. Weathering test setup at the end of the trials.
Figure 10. Weathering test setup at the end of the trials.
Forests 16 01597 g010
Figure 11. Layout of the weathering test setup; samples marked with * are not part of this publication.
Figure 11. Layout of the weathering test setup; samples marked with * are not part of this publication.
Forests 16 01597 g011
Figure 12. Meteorological data of the long-term study: temperature (red) in °C and precipitation (blue) in mm per day.
Figure 12. Meteorological data of the long-term study: temperature (red) in °C and precipitation (blue) in mm per day.
Forests 16 01597 g012
Figure 13. Meteorological data of the long-term study: solar radiation (green) in W/mm2 and wind velocity (purple) in m/s.
Figure 13. Meteorological data of the long-term study: solar radiation (green) in W/mm2 and wind velocity (purple) in m/s.
Forests 16 01597 g013
Figure 14. Mass change w due to water uptake. Specimens with regular (R) pH are shown in white and with higher pH (H) in grey. Water uptake after 3 h (left) and 24 h (right). Different letters indicate that the results are statistically different at the 0.05 level of significance.
Figure 14. Mass change w due to water uptake. Specimens with regular (R) pH are shown in white and with higher pH (H) in grey. Water uptake after 3 h (left) and 24 h (right). Different letters indicate that the results are statistically different at the 0.05 level of significance.
Forests 16 01597 g014
Figure 15. Mass change w before and after ageing 3/80 in standard climate 20/65. Specimens with regular pH are shown in white and with higher pH in grey. Different letters indicate that the results are statistically different at the 0.05 level of significance.
Figure 15. Mass change w before and after ageing 3/80 in standard climate 20/65. Specimens with regular pH are shown in white and with higher pH in grey. Different letters indicate that the results are statistically different at the 0.05 level of significance.
Forests 16 01597 g015
Figure 16. Mass change w (m) and cross-sectional shrinkage w (A) from initial state (_0) through oven-drying process (20 °C/85% RH; 20 °C/65% RH; 103 °C) of IDs 5 to 9 and IDs 5 NF to 9 NF without wood fibres. Different letters indicate that the results are statistically different at the 0.05 level of significance.
Figure 16. Mass change w (m) and cross-sectional shrinkage w (A) from initial state (_0) through oven-drying process (20 °C/85% RH; 20 °C/65% RH; 103 °C) of IDs 5 to 9 and IDs 5 NF to 9 NF without wood fibres. Different letters indicate that the results are statistically different at the 0.05 level of significance.
Forests 16 01597 g016aForests 16 01597 g016b
Figure 17. Water vapour permeability results in dependency of ID. Different letters in a column indicate that the results are statistically different at the 0.05 level.
Figure 17. Water vapour permeability results in dependency of ID. Different letters in a column indicate that the results are statistically different at the 0.05 level.
Forests 16 01597 g017
Figure 18. Tensile strength σ (top) and Young’s modulus E (bottom) dependent on ID and climate conditions. Climate 20 °C/30% RH is shown in grey, 20 °C/65% RH with no fill, and 20 °C/95% RH with vertical lines. Different letters in a column indicate that the results are statistically different at the 0.05 level.
Figure 18. Tensile strength σ (top) and Young’s modulus E (bottom) dependent on ID and climate conditions. Climate 20 °C/30% RH is shown in grey, 20 °C/65% RH with no fill, and 20 °C/95% RH with vertical lines. Different letters in a column indicate that the results are statistically different at the 0.05 level.
Forests 16 01597 g018aForests 16 01597 g018b
Figure 19. Comparison of literature values (black) of tensile strength (σ) and Young’s modulus (E) with experimental results (red) in relation to gelatine content w (gel).
Figure 19. Comparison of literature values (black) of tensile strength (σ) and Young’s modulus (E) with experimental results (red) in relation to gelatine content w (gel).
Forests 16 01597 g019
Figure 20. Long-term study: specimens at start of test (first row), at halfway point of 23 weeks (middle row), and at end at 46 weeks (last row). From left to right: ID 5, ID 6, ID 7, ID 8, and ID 9.
Figure 20. Long-term study: specimens at start of test (first row), at halfway point of 23 weeks (middle row), and at end at 46 weeks (last row). From left to right: ID 5, ID 6, ID 7, ID 8, and ID 9.
Forests 16 01597 g020
Figure 21. Mass change w through long-term weathering test after 46 weeks. Different letters indicate that the results are statistically different at the 0.05 level of significance.
Figure 21. Mass change w through long-term weathering test after 46 weeks. Different letters indicate that the results are statistically different at the 0.05 level of significance.
Forests 16 01597 g021
Table 1. Compositions of gelatine (gel), tannic acid (TA), and wood fibres of ID 1 to ID 9 in percentage w of the total mass. Additionally, less than 1% of NaOH is added to ensure a pH of 9 ± 0.2.
Table 1. Compositions of gelatine (gel), tannic acid (TA), and wood fibres of ID 1 to ID 9 in percentage w of the total mass. Additionally, less than 1% of NaOH is added to ensure a pH of 9 ± 0.2.
IDw (Gel)/m–%w (TA)/m–%w (Fibres)/m–%w (Water)/m–%
18.00.16.085.9
215.00.26.078.8
38.00.112.079.9
415.00.212.072.8
58.01.06.085.0
615.02.06.077.0
78.01.012.079.0
815.02.012.071.0
9 (CP)11.51.09.078.5
Table 2. Percentage of added NaOH.
Table 2. Percentage of added NaOH.
IDm (NaOH)/m–%
5 R0.28
6 R0.48
7 R0.27
8 R0.53
9 R0.28
5 H0.44
6 H0.85
7 H0.44
8 H1.13
9 H0.46
Table 3. Variation of ID 8: tannic acid varied in relation to ID 8 with factor f.
Table 3. Variation of ID 8: tannic acid varied in relation to ID 8 with factor f.
IDf (TA)
8-TA-0.830.83
8-TA-0.670.67
8-TA-0.500.50
8-TA-1.001.00
8-TA-1.171.17
8-TA-1.331.33
8-TA-1.501.50
8-TA-1.671.67
8-TA-1.831.83
Table 4. Summary of weather data of the long-term study.
Table 4. Summary of weather data of the long-term study.
TemperaturePrecipitationSolar RadiationWind Velocity
°Cmm/dW/mm2m/s
Minimum−11.60.0−4.5 *0.1
Mean12.24.0229.01.5
Maximum36.361.41115.110.0
Total 829.8
* Thermal offset of instruments during night.
Table 5. Dummy soil composition for long-term study of TSC in mass percentage w.
Table 5. Dummy soil composition for long-term study of TSC in mass percentage w.
w (Sand 0–8 Granulation)/m–%w (CEM II/A-S 42.5 R)/m–%w (Desalinated Water)/m–%
85.07.57.5
Table 6. Amount of TSC used in the long-term study.
Table 6. Amount of TSC used in the long-term study.
IDm (TSC)/g
5 R1740 ± 2
6 R1740 ± 2
7 R1430 ± 2
8 R1550 ± 2
9 R1680 ± 2
Table 7. Number of replicates for each test.
Table 7. Number of replicates for each test.
IDNumber of Replicates n
Water uptake11–12
Shrinkage8
Water Vapour Permeability5
Tensile properties14
Long-Term Weathering9
Table 8. Results of water uptake trials of part 1 as mean ± standard deviation.
Table 8. Results of water uptake trials of part 1 as mean ± standard deviation.
IDw (m_dry, m_max)w (m_dry, m_max)
3 h24 h
%%
5 R124 ± 13 cde259 ± 24 cd
5 H127 ± 16 cd256 ± 55 bc
6 R109 ± 6 de239 ± 17 cde
6 H97 ± 14 e222 ± 25 cde
7 R166 ± 18 b262 ± 25 bc
7 H210 ± 36 a305 ± 17 a
8 R148 ± 35 bc266 ± 32 bc
8 H206 ± 33 a293 ± 22 ab
9 R102 ± 10 de194 ± 31 e
9 H112 ± 22 de205 ± 38 de
Different letters in a column indicate that the results are statistically different at the 0.05 level.
Table 9. Mean ± standard deviation of mass change w before and after ageing for three hours at 80 °C.
Table 9. Mean ± standard deviation of mass change w before and after ageing for three hours at 80 °C.
IDw (m_0, m_e)
3 h/80 °C
%
5 R−23.6 ± 4.9 e
5 H−15.5 ± 4.5 bc
6 R−40.2 ± 4.8 f
6 H−11.6 ± 0.8 ab
7 R−10.6 ± 1.3 a
7 H−16.0 ± 1.7 c
8 R−18.3 ± 2.0 cd
8 H−7.6 ± 0.7 a
9 R−20.4 ± 1.5 de
9 H−9.7 ± 0.5 a
Different letters in a column indicate that the results are statistically different at the 0.05 level.
Table 10. Mass change w (m) and cross-sectional shrinkage w (A) from initial state (_0) to equilibrium moisture content at 85% RH (_85) and 65% RH (_65); values represent mean ± standard deviation.
Table 10. Mass change w (m) and cross-sectional shrinkage w (A) from initial state (_0) to equilibrium moisture content at 85% RH (_85) and 65% RH (_65); values represent mean ± standard deviation.
IDw (m_0, m_85)w (A_0, A_85)w (m_0, m_65)w (A_0, A_65)w (m_0, m_dry)w (A_0, A_dry)
%%%%%%
5 R−80.7 ± 0.6 f−94.9 ± 0.4 c−82.0 ± 0.2 f−95.1 ± 0.5 b−84.1 ± 0.2 f−95.4 ± 0.4 cd
6 R−70.3 ± 1.2 b−94.1 ± 0.4 b−73.9 ± 0.3 b−94.6 ± 0.4 b−76.8 ± 0.3 b−94.5 ± 0.3 ab
7 R−76.0 ± 0.3 d−93.5 ± 0.9 ab−76.4 ± 0.1 d−93.8 ± 0.5 a−79.5 ± 0.3 d−94.0 ± 0.6 a
8 R−65.1 ± 0.8 a−93.4 ± 0.4 a−68.5 ± 0.1 a−93.6 ± 0.4 a−71.8 ± 0.2 a−93.9 ± 0.5 a
9 R−72.6 ± 0.6 c−93.9 ± 0.4 ab−75.5 ± 0.2 c−94.5 ± 0.4 b−78.2 ± 0.2 c−94.8 ± 0.5 bc
5 NF R−88.3 ± 0.2 h−97.5 ± 0.1 e−88.9 ± 0.1 h−97.6 ± 0.2 d−90.5 ± 0.1 h−97.8 ± 0.1 f
6 NF R−77.4 ± 0.3 e−96.6 ± 0.1 d−79.3 ± 0.1 e−96.9 ± 0.1 c−81.5 ± 0.1 e−95.8 ± 0.3 d
9 NF R−83.3 ± 0.2 g−97.1 ± 0.1 de−84.7 ± 0.1 g−97.3 ± 0.1 cd−86.5 ± 0.2 g−96.6 ± 0.2 e
Different letters in a column indicate that the results are statistically different at the 0.05 level.
Table 11. Results of tensile strength tests as mean ± standard deviation. Tensile strength in dependence of the equilibrium moisture content after sample conditioning at 20 °C/30% RH, 20 °C/65% RH, and 20 °C/95% RH; values represent mean ± standard deviation.
Table 11. Results of tensile strength tests as mean ± standard deviation. Tensile strength in dependence of the equilibrium moisture content after sample conditioning at 20 °C/30% RH, 20 °C/65% RH, and 20 °C/95% RH; values represent mean ± standard deviation.
ID20 °C/30% RH20 °C/65% RH20 °C/95% RH
σ/MPaE/N/mm2σ/MPaE/N/mm2σ/MPaE/N/mm2
5 R11 ± 2 bc2034 ± 923 bc11 ± 2 b746 ± 195 e6 ± 1 fgh97 ± 28 f
6 R8 ± 3 de2228 ± 619 ab11 ± 2 bcde2238 ± 946 abcd4 ± 2 ghi41 ± 28 f
7 R8 ± 3 cdef1704 ± 1099 bcd7 ± 3 efg1493 ± 540 cd2 ± 1 i100 ± 60 f
8 R17 ± 3 a2667 ± 543 a11 ± 2 bcd1324 ± 963 de4 ± 1 ghi99 ± 13 f
9 R17 ± 5 a2738 ± 355 a12 ± 2 b1546 ± 148 cd4 ± 2 hi138 ± 94 f
Different letters in a column indicate that the results are statistically different at the 0.05 level.
Table 12. Literature values for tensile strength (σ) and Young’s modulus (E) of gelatine films.
Table 12. Literature values for tensile strength (σ) and Young’s modulus (E) of gelatine films.
IDw (Gel)/%σ/MPaE/MPaSource
L5590 ± 202200 ± 400[46]
H101045 ± 73800 ± 500[47]
L101095 ± 101800 ± 200[46]
L151580 ± 102000 ± 100[46]
H202062 ± 44600 ± 500[47]
Table 13. Visual evaluation of long-term study results at the halfway point and the end compared to the start, scaled from very high (4) to none (0) in comparison to other IDs.
Table 13. Visual evaluation of long-term study results at the halfway point and the end compared to the start, scaled from very high (4) to none (0) in comparison to other IDs.
IDCohesion/StiffnessDeformation/Shrinkage
0 Weeks23 Weeks46 Weeks0 Weeks23 Weeks46 Weeks
5432.5012
643.53023
7400000
8432001
9421012
Table 14. Mass change w through long-term weathering after 46 weeks as mean ± standard deviation.
Table 14. Mass change w through long-term weathering after 46 weeks as mean ± standard deviation.
IDw (m_0, m_dry)/%
5 R−24 ± 5 b
6 R−18 ± 2 a
7 R−46 ± 2 c
8 R−24 ± 5 b
9 R−29 ± 3 b
Different letters in a column indicate that the results are statistically different at the 0.05 level.
Disclaimer/Publisher’s Note: The statements, opinions and data contained in all publications are solely those of the individual author(s) and contributor(s) and not of MDPI and/or the editor(s). MDPI and/or the editor(s) disclaim responsibility for any injury to people or property resulting from any ideas, methods, instructions or products referred to in the content.

Share and Cite

MDPI and ACS Style

Bösing, J.; Sorze, A.; Hirschmüller, S. Cross-Linked Gelatine as a Binder in Wood Fibre Composites for Topsoil Protection. Forests 2025, 16, 1597. https://doi.org/10.3390/f16101597

AMA Style

Bösing J, Sorze A, Hirschmüller S. Cross-Linked Gelatine as a Binder in Wood Fibre Composites for Topsoil Protection. Forests. 2025; 16(10):1597. https://doi.org/10.3390/f16101597

Chicago/Turabian Style

Bösing, Janine, Alessandro Sorze, and Sebastian Hirschmüller. 2025. "Cross-Linked Gelatine as a Binder in Wood Fibre Composites for Topsoil Protection" Forests 16, no. 10: 1597. https://doi.org/10.3390/f16101597

APA Style

Bösing, J., Sorze, A., & Hirschmüller, S. (2025). Cross-Linked Gelatine as a Binder in Wood Fibre Composites for Topsoil Protection. Forests, 16(10), 1597. https://doi.org/10.3390/f16101597

Note that from the first issue of 2016, this journal uses article numbers instead of page numbers. See further details here.

Article Metrics

Back to TopTop