Landscape Metric-Enhanced Vegetation Restoration: Improving Spatial Suitability on Loess Plateau
Abstract
1. Introduction
2. Materials and Methods
2.1. Study Area
2.2. Research Framework
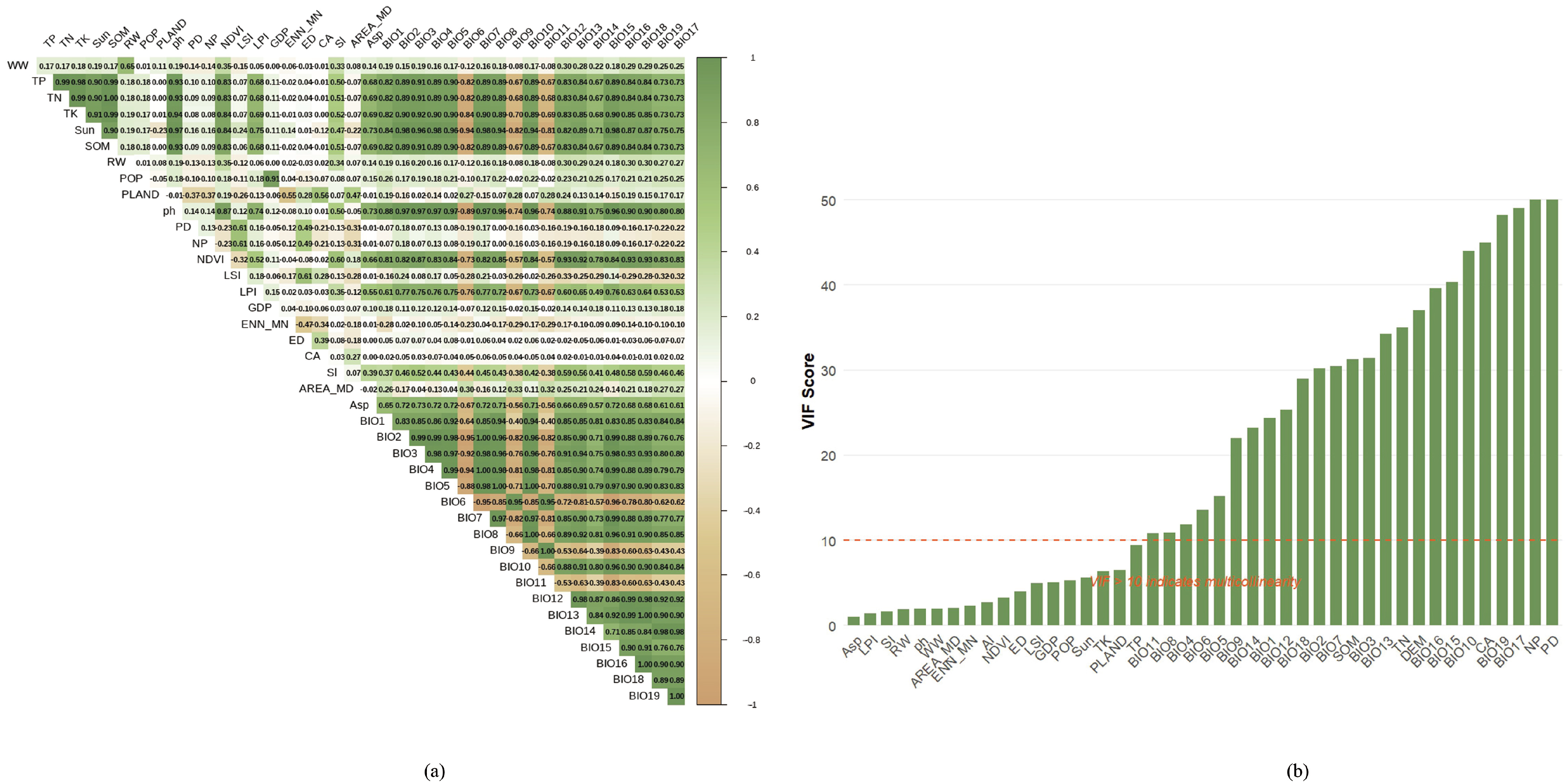
2.3. Data Collection and Processing
2.4. MaxEnt Prediction
2.4.1. MaxEnt Model Construction
2.4.2. Vegetation Restoration Suitability Distribution Assessment and Structural Optimization
3. Results
3.1. Evaluation of the Improvement in Model Predictions by Incorporating Landscape Metrics as Predictive Variables
3.2. Comparison of Species Suitability Spatial Patterns with and Without Landscape Metrics
3.3. Species Spatial Distribution Identification
3.3.1. Vertical Vegetation Structure Layout Optimization
3.3.2. Identification of Key Influencing Factors
4. Discussion
4.1. The Role of Landscape Configuration in Vegetation Restoration
4.2. Differences in Vegetation Response Patterns to Landscape Structure
4.3. Key Factors Influencing Species Distribution Predictions
4.4. Management Implications and Ecological Application Prospects
5. Conclusions
Author Contributions
Funding
Data Availability Statement
Acknowledgments
Conflicts of Interest
Appendix A
| Type | Factors | Abbreviation | Data Source | Year | Resolution Ratio |
|---|---|---|---|---|---|
| climate | Annual Mean Temperature | BIO1 | WorldClim v2.0 dataset (https://worldclim.org, accessed on 12 January 2025) | 2020 | 1 km × 1 km |
| Mean Diurnal Range (Mean of monthly (max temp–min temp)) | BIO2 | ||||
| Isothermality (BIO2/BIO7) (×100) | BIO3 | ||||
| Temperature Seasonality (standard deviation ×100) | BIO4 | ||||
| Max Temperature of Warmest Month | BIO5 | ||||
| Min Temperature of Coldest Month | BIO6 | ||||
| Temperature Annual Range (BIO5-BIO6) | BIO7 | ||||
| Mean Temperature of Wettest Quarter | BIO8 | ||||
| Mean Temperature of Driest Quarter | BIO9 | ||||
| Mean Temperature of Warmest Quarter | BIO10 | ||||
| Mean Temperature of Coldest Quarter | BIO11 | ||||
| Annual Precipitation | BIO12 | ||||
| Precipitation of Wettest Month | BIO13 | ||||
| Precipitation of Driest Month | BIO14 | ||||
| Precipitation Seasonality (Coefficient of Variation) | BIO15 | ||||
| Precipitation of Wettest Quarter | BIO16 | ||||
| Precipitation of Driest Quarter | BIO17 | ||||
| Precipitation of Warmest Quarter | BIO18 | ||||
| Precipitation of Coldest Quarter | BIO19 | ||||
| landscape | Class Area | CA | Calculated using R (landscapemetrics) and interpolated via IDW in ArcGIS 10.8.1 | 2020 | 1 km × 1 km |
| Percent of landscape | PLAND | ||||
| Number of patches | NP | ||||
| Patch density | PD | ||||
| Largest patch index | LPI | ||||
| Edge Density | ED | ||||
| Landscape shape index | LSI | ||||
| Mean Patch size | AREA_MD | ||||
| Aggregation Index | AI | ||||
| Mean of Euclidean nearest-neighbor distance | ENN_MN | ||||
| nature | Digital elevation model | DEM | Resource and Environmental Science Data Platform (https://www.resdc.cn/Default.aspx, accessed on 2 February 2025) | 2020 | 1 km × 1 km |
| Slope | SI | ||||
| Aspect | Asp | ||||
| Sunshine duration | Sun | Global Resources Data Cloud (http://www.gis5g.com, accessed on 3 January 2025) | 2020 | 1 km × 1 km | |
| Normalized Difference Vegetation Index | NDVI | Resource and Environmental Science Data Platform (https://www.resdc.cn/Default.aspx, accessed on 1 January 2025) | 2019 | 1 km × 1 km | |
| ph | ph | Food and Agriculture Organization of the United Nations (https://www.fao.org, accessed on 3 February 2025) | 2013 | 1 km × 1 km | |
| Total nitrogen | TN | A Big Earth Data Platform for Three Poles (http://poles.tpdc.ac.cn/zh-hans/, accessed on 3 February 2025) | 2018 | 1 km × 1 km | |
| Total phosphorus | TP | ||||
| Total potassium | TK | ||||
| Soil Organic Matter | SOM | National Tibetan Plateau/Third Pole Environment Data Center (http://data.tpdc.ac.cn, accessed on 4 February 2025) | 2020 | 1 km × 1 km | |
| human | Distance from water source to woodland | WW | Using Euclidean distance to calculate the distance between woodland and road, and woodland and water source, respectively, in ArcGIS 10.8.1 | 2021 | 1 km × 1 km |
| Distance from road to woodland | RW | ||||
| Population density | POP | Resource and Environmental Science Data Platform (https://www.resdc.cn/Default.aspx, accessed on 2 February 2025) | 2020 | 1 km × 1 km | |
| Gross domestic product | GDP |
| Type | Buffer (m) | R2 | Significance |
|---|---|---|---|
| herb | 500 | 0.338 | 0.012 * |
| 1000 | 0.301 | 0.001 ** | |
| 2000 | 0.224 | 0.078 | |
| shrub | 500 | 0.286 | 0.018 |
| 1000 | 0.312 | 0.003 ** | |
| 2000 | 0.269 | 0.085 | |
| tree | 500 | 0.185 | 0.094 |
| 1000 | 0.226 | 0.001 ** | |
| 2000 | 0.325 | 0.001 ** |

References
- Elo, M.; Kareksela, S.; Ovaskainen, O.; Abrego, N.; Niku, J.; Taskinen, S.; Aapala, K.; Kotiaho, J.S. Restoration of forestry-drained boreal peatland ecosystems can effectively stop and reverse ecosystem degradation. Commun. Earth Environ. 2024, 5, 680. [Google Scholar] [CrossRef]
- McAlpine, C.A.; Seabrook, L.M.; Rhodes, J.R.; Maron, M.; Smith, C.; Bowen, M.E.; Butler, S.A.; Powell, O.; Ryan, J.G.; Fyfe, C.T.; et al. Can a problem-solving approach strengthen landscape ecology’s contribution to sustainable landscape planning? Landsc. Ecol. 2010, 25, 1155–1168. [Google Scholar] [CrossRef]
- Xu, H.; Qu, Q.; Li, P.; Guo, Z.; Wulan, E.; Xue, S. Stocks and Stoichiometry of Soil Organic Carbon, Total Nitrogen, and Total Phosphorus after Vegetation Restoration in the Loess Hilly Region, China. Forests 2019, 10, 27. [Google Scholar] [CrossRef]
- Guo, Z.T.; Ruddiman, W.F.; Hao, Q.Z.; Wu, H.B.; Qiao, Y.S.; Zhu, R.X.; Peng, S.Z.; Wei, J.J.; Yuan, B.Y.; Liu, T.S. Onset of Asian desertification by 22 Myr ago inferred from loess deposits in China. Nature 2002, 416, 159–163. [Google Scholar] [CrossRef]
- Yu, H.; Hu, X.; Yao, L. Vegetation restoration reduces landscape ecological risk in the Loess Plateau. Geogr. Sustain. 2025, 6, 100320. [Google Scholar] [CrossRef]
- Rey, P.L.; Adde, A.; Külling, N.; Petitpierre, B.; Vittoz, V.; Lehmann, A.; Guisan, A. Predicting current and future spatial patterns of nature’s contributions to people from species distribution models. Ecol. Indic. 2025, 175, 113528. [Google Scholar] [CrossRef]
- Boral, D.; Moktan, S. Predictive distribution modeling of Swertia bimaculata in Darjeeling-Sikkim Eastern Himalaya using MaxEnt: Current and future scenarios. Ecol. Process. 2021, 10, 26. [Google Scholar] [CrossRef]
- Wang, F.; Yuan, X.; Sun, Y.; Liu, Y. Species distribution modeling based on MaxEnt to inform biodiversity conservation in the Central Urban Area of Chongqing Municipality. Ecol. Indic. 2024, 158, 111491. [Google Scholar] [CrossRef]
- Dong, J.; Bai, T.; Gao, Z.-S.; Yang, S.-W.; Zhang, J.-L.; Wu, Y.-W. Prediction of potential habitat areas of Rhododendron delavayi in China based on maximum entropy model MaxEnt. Front. For. Glob. Change 2024, 7, 1360823. [Google Scholar] [CrossRef]
- Dyderski, M.K.; Paz, S.; Frelich, L.E.; Jagodzinski, A.M. How much does climate change threaten European forest tree species distributions? Glob. Change Biol. 2018, 24, 1150–1163. [Google Scholar] [CrossRef]
- Phillips, S.J.; Anderson, R.P.; Schapire, R.E. Maximum entropy modeling of species geographic distributions. Ecol. Model. 2006, 190, 231–259. [Google Scholar] [CrossRef]
- Yang, S.; Wang, H.; Tong, J.; Bai, Y.; Alatalo, J.M.; Liu, G.; Fang, Z.; Zhang, F. Impacts of environment and human activity on grid-scale land cropping suitability and optimization of planting structure, measured based on the MaxEnt model. Sci. Total Environ. 2022, 836, 155356. [Google Scholar] [CrossRef]
- Riva, F.; Martin, C.J.; Galán Acedo, C.; Bellon, E.N.; Keil, P.; Morán-Ordóñez, A.; Fahrig, L.; Guisan, A. Incorporating effects of habitat patches into species distribution models. J. Ecol. 2024, 112, 2162–2182. [Google Scholar] [CrossRef]
- Hasui, É.; Silva, V.X.; Cunha, R.G.T.; Ramos, F.N.; Ribeiro, M.C.; Sacramento, M.; Coelho, M.T.P.; Pereira, D.G.S.; Ribeiro, B.R. Additions of landscape metrics improve predictions of occurrence of species distribution models. J. For. Res. 2017, 28, 963–974. [Google Scholar] [CrossRef]
- Hou, B.; Wei, C.; Liu, X.; Meng, Y.; Li, X. Assessing Forest Landscape Stability through Automatic Identification of Landscape Pattern Evolution in Shanxi Province of China. Remote Sens. 2023, 15, 545. [Google Scholar] [CrossRef]
- Zhang, J.; Qu, M.; Wang, C.; Zhao, J.; Cao, Y. Quantifying landscape pattern and ecosystem service value changes: A case study at the county level in the Chinese Loess Plateau. Glob. Ecol. Conserv. 2020, 23, e01110. [Google Scholar] [CrossRef]
- Yang, H.; Chu, S.; Zeng, H.; Zhao, Y. Relationship Between Urban Forest Structure and Seasonal Variation in Vegetation Cover in Jinhua City, China. Forests 2025, 16, 1129. [Google Scholar] [CrossRef]
- Li, G.; Wang, H.; Zhang, S.; Ge, C.; Wu, J. Influence of climate and landscape structure on soil erosion in China’s Loess Plateau: Key factor identification and spatiotemporal variability. Sci. Total Environ. 2024, 957, 177471. [Google Scholar] [CrossRef]
- Pei, Y.; Wei, W.; Wei, X.; Yang, X.; Xie, B.; Zhou, J.; Zhang, Y.; Liu, C. Ecological risk assessment and ecological restoration zoning based on nature-society-landscape systems: A case study of Hexi Corridor, Northwest China. Hum. Ecol. Risk Assess. Int. J. 2025, 31, 1040–1061. [Google Scholar] [CrossRef]
- Goicolea, T.; Mateo, R.G.; Aroca-Fernández, M.J.; Gastón, A.; García-Viñas, J.I.; Mateo-Sánchez, M.C. Considering plant functional connectivity in landscape conservation and restoration management. Biodivers. Conserv. 2022, 31, 1591–1608. [Google Scholar] [CrossRef]
- Curd, A.; Chevalier, M.; Vasquez, M.; Boyé, A.; Firth, L.B.; Marzloff, M.P.; Bricheno, L.M.; Burrows, M.T.; Bush, L.E.; Cordier, C.; et al. Applying landscape metrics to species distribution model predictions to characterize internal range structure and associated changes. Glob. Change Biol. 2023, 29, 631–647. [Google Scholar] [CrossRef]
- Ortner, O.; Wallentin, G. Integration of landscape metric surfaces derived from vector data improves species distribution models. Ecol. Model. 2020, 431, 109160. [Google Scholar] [CrossRef]
- Xu, C.; Silliman, B.R.; Chen, J.; Li, X.; Thomsen, M.S.; Zhang, Q.; Lee, J.; Lefcheck, J.S.; Daleo, P.; Hughes, B.B.; et al. Herbivory limits success of vegetation restoration globally. Science 2023, 382, 589–594. [Google Scholar] [CrossRef] [PubMed]
- Waldén, E.; Öckinger, E.; Winsa, M.; Lindborg, R. Effects of landscape composition, species pool and time on grassland specialists in restored semi-natural grasslands. Biol. Conserv. 2017, 214, 176–183. [Google Scholar] [CrossRef]
- Song, S.; Chen, X.; Song, Y.; Chi, Y. Vegetation Restoration Patterns Influence the Supply and Interrelations of Grassland Ecosystem Services in Karst Desertification Control. Land 2024, 13, 2023. [Google Scholar] [CrossRef]
- Vasiliev, D.; Greenwood, S. The role of landscape connectivity in maintaining pollinator biodiversity needs reconsideration. Biodivers. Conserv. 2023, 32, 3765–3790. [Google Scholar] [CrossRef]
- Morzillo, A.T. Challenges of and opportunities for integrating social science into landscape ecology research. Landsc. Ecol. 2024, 39, 169. [Google Scholar] [CrossRef]
- Reed, J.; Kusters, K.; Barlow, J.; Balinga, M.; Borah, J.R.; Carmenta, R.; Chervier, C.; Djoudi, H.; Gumbo, D.; Laumonier, Y.; et al. Re-integrating ecology into integrated landscape approaches. Landsc. Ecol. 2021, 36, 2395–2407. [Google Scholar] [CrossRef]
- Lavorel, S.; Garnier, E. Predicting changes in community composition and ecosystem functioning from plant traits: Revisiting the Holy Grail. Funct. Ecol. 2002, 16, 545–556. [Google Scholar] [CrossRef]
- Wang, G.-H.; Ni, J. Responses of plant functional types to an environmental gradient on the Northeast China Transect. Ecol. Res. 2005, 20, 563–572. [Google Scholar] [CrossRef]
- Olthoff, A.E.; Martínez-Ruiz, C.; Alday, J.G. Niche Characterization of Shrub Functional Groups along an Atlantic-Mediterranean Gradient. Forests 2021, 12, 982. [Google Scholar] [CrossRef]
- Cardoso, F.C.G.; Capellesso, E.S.; de Britez, R.M.; Inague, G.; Marques, M.C.M. Landscape conservation as a strategy for recovering biodiversity: Lessons from a long-term program of pasture restoration in the southern Atlantic Forest. J. Appl. Ecol. 2022, 59, 2309–2321. [Google Scholar] [CrossRef]
- Pinto-Ledezma, J.N.; Cavender-Bares, J. Predicting species distributions and community composition using satellite remote sensing predictors. Sci. Rep. 2021, 11, 16448. [Google Scholar] [CrossRef]
- Liu, W.; Fritz, C.; Nonhebel, S.; Everts, H.F.; Grootjans, A.P. Landscape-level vegetation conversion and biodiversity improvement after 33 years of restoration management in the Drentsche Aa brook valley. Restor. Ecol. 2022, 30, e13601. [Google Scholar] [CrossRef]
- Li, W.; Kang, J.; Wang, Y. Seasonal changes in ecosystem health and their spatial relationship with landscape structure in China’s Loess plateau. Ecol. Indic. 2024, 163, 112127. [Google Scholar] [CrossRef]
- Liang, X.; Jia, H.; Chen, H.; Liu, D.; Zhang, H. Landscape Sustainability in the Loess Hilly Gully Region of the Loess Plateau: A Case Study of Mizhi County in Shanxi Province, China. Sustainability 2018, 10, 3300. [Google Scholar] [CrossRef]
- Zheng, S.X.; Shangguan, Z.P. Foliar δ13C values of nine dominant species in the Loess Plateau of China. Photosynthetica 2007, 45, 110–119. [Google Scholar] [CrossRef]
- Wang, Z.K.; Jiang, H.L.; Shen, Y.Y. Forage production and soil water balance in oat and common vetch sole crops and intercrops cultivated in the summer-autumn fallow season on the Chinese Loess Plateau. Eur. J. Agron. 2020, 115, 126042. [Google Scholar] [CrossRef]
- Yuan, Z.Q.; Yu, K.L.; Guan, X.K.; Fang, C.; Li, M.; Shi, X.Y.; Li, F.M. Medicago sativa improves soil carbon sequestration following revegetation of degraded arable land in a semi-arid environment on the Loess Plateau, China. Agric. Ecosyst. Environ. 2016, 232, 93–100. [Google Scholar] [CrossRef]
- Wang, E.; Lu, Z.; Rohani, E.R.; Ou, J.; Tong, X.; Han, R. Current and future distribution of Forsythia suspensa in China under climate change adopting the MaxEnt model. Front. Plant Sci. 2024, 15, 1394799. [Google Scholar] [CrossRef] [PubMed]
- Chai, Q.L.; Ma, Z.Y.; An, Q.Q.; Wu, G.L.; Chang, X.F.; Zheng, J.Y.; Wang, G.J. Does Caragana korshinskii plantation increase soil carbon continuously in a water-limited landscape on the Loess Plateau, China? Land Degrad. Dev. 2019, 30, 1691–1698. [Google Scholar] [CrossRef]
- Zhu, P.Z.; Zhang, G.H.; Wang, H.X.; Xing, S.K. Soil infiltration properties affected by typical plant communities on steep gully slopes on the Loess Plateau of China. J. Hydrol. 2020, 590, 125535. [Google Scholar] [CrossRef]
- Keyimu, M.; Li, Z.S.; Fu, B.J.; Chen, W.L.; Wei, J.S.; Jiao, L.; Gao, G.Y.; Lu, Y.H. Spatial differences in the radial growth responses of black locust (Robinia pseudoacacia Linn.) to climate on the Loess Plateau, China. Dendrochronologia 2021, 67, 125832. [Google Scholar] [CrossRef]
- Yang, Q.; Fan, J.; Xing, Y.Z.; Tong, B.Y.; Luo, Z.B. Water use strategies for three dominant tree species in pure plantations of the semi-arid Chinese Loess Plateau. J. Hydrol. 2025, 654, 132844. [Google Scholar] [CrossRef]
- Wang, J.X.; Zhang, H.Q.; Yang, R.; Gao, J.; Liu, Y.Q.; Zhang, H.J.; Wang, Y.Y.; Tang, M. Contribution of Suillus variegatus to the ecological restoration of 10-year-old Pinus tabuliformis on the Loess Plateau. Appl. Soil Ecol. 2021, 167, 104044. [Google Scholar] [CrossRef]
- Luo, J.; Chen, Y.; Wu, Y.; Xie, G.; Jia, W.; Sardar, M.F.; Binobead, M.A.; Li, X. Suitability and Structural Optimization of Vegetation Restoration on the Loess Plateau: A MaxEnt Model-Based Study of Environmental and Anthropogenic Impacts. Forests 2024, 15, 1528. [Google Scholar] [CrossRef]
- Hair, J.F. Multivariate Data Analysis, 7th ed.; Pearson: London, UK, 2009; ISBN 0138132631. [Google Scholar]
- Guisan, A.; Thuiller, W.; Zimmermann, N. Habitat Suitability and Distribution Models: With Applications in R; Cambridge University Press: Cambridge, UK, 2017; 478p. [Google Scholar]
- Franklin, J. Species distribution models in conservation biogeography: Developments and challenges. Divers. Distrib. 2013, 19, 1217–1223. [Google Scholar] [CrossRef]
- Pearce, J.; Ferrier, S. Evaluating the predictive performance of habitat models developed using logistic regression. Ecol. Model. 2000, 133, 225–245. [Google Scholar] [CrossRef]
- Elith, J.; Leathwick, J.R. Species Distribution Models: Ecological Explanation and Prediction Across Space and Time. Annu. Rev. Ecol. Evol. Syst. 2009, 40, 677–697. [Google Scholar] [CrossRef]
- Swets, J.A. Measuring the Accuracy of Diagnostic Systems. Science 1988, 240, 1285–1293. [Google Scholar] [CrossRef]
- Phillips, S.J.; Anderson, R.P.; Dudík, M.; Schapire, R.E.; Blair, M.E. Opening the black box: An open-source release of Maxent. Ecography 2017, 40, 887–893. [Google Scholar] [CrossRef]
- Isaac, N.J.B.; Jarzyna, M.A.; Keil, P.; Dambly, L.I.; Boersch-Supan, P.H.; Browning, E.; Freeman, S.N.; Golding, N.; Guillera-Arroita, G.; Henrys, P.A.; et al. Data Integration for Large-Scale Models of Species Distributions. Trends Ecol. Evol. 2020, 35, 56–67. [Google Scholar] [CrossRef]
- Shi, S.; Li, Z.; Wang, H.; von Arx, G.; Lü, Y.; Wu, X.; Wang, X.; Liu, G.; Fu, B. Roots of forbs sense climate fluctuations in the semi-arid Loess Plateau: Herb-chronology based analysis. Sci. Rep. 2016, 6, 28435. [Google Scholar] [CrossRef] [PubMed]
- Van Daele, F.; Honnay, O.; Janssens, S.; De Kort, H. Habitat fragmentation affects climate adaptation in a forest herb. J. Ecol. 2024, 112, 246–264. [Google Scholar] [CrossRef]
- Zhang, M.; Yu, S.; Zhao, Z. The Role of Spatial Morphology in Forest Landscape Fragmentation: Insights From Planted and Natural Forests of the Chinese Loess Plateau. Land Degrad. Dev. 2024, 35, 5100–5114. [Google Scholar] [CrossRef]
- Sun, C.; Chai, Z.; Liu, G.; Xue, S. Changes in Species Diversity Patterns and Spatial Heterogeneity during the Secondary Succession of Grassland Vegetation on the Loess Plateau, China. Front. Plant Sci. 2017, 8, 1465. [Google Scholar] [CrossRef]
- Jian, X.; Li, L.; Wang, Z.; Ai, L.; Cheng, W.; Li, X. Effects of landscape edge heterogeneity on biodiversity in grassland restoration context. J. Environ. Manag. 2025, 376, 124508. [Google Scholar] [CrossRef]
- Wang, N.; Jing, Y.; Ren, X.; Qiao, H.; Zhang, H.; Dang, X.; Meng, Z. Fine-scale analysis of edge effect of shrub patch in different grassland types. Front. Environ. Sci. 2022, 10, 2022. [Google Scholar] [CrossRef]
- Schlaepfer, D.R.; Braschler, B.; Rusterholz, H.-P.; Baur, B. Genetic effects of anthropogenic habitat fragmentation on remnant animal and plant populations: A meta-analysis. Ecosphere 2018, 9, e02488. [Google Scholar] [CrossRef]
- Dalling, J.W.; Muller-Landau, H.C.; Wright, S.J.; Hubbell, S.P. Role of dispersal in the recruitment limitation of neotropical pioneer species. J. Ecol. 2002, 90, 714–727. [Google Scholar] [CrossRef]
- Thomson, F.J.; Moles, A.T.; Auld, T.D.; Kingsford, R.T. Seed dispersal distance is more strongly correlated with plant height than with seed mass. J. Ecol. 2011, 99, 1299–1307. [Google Scholar] [CrossRef]
- Huang, A.; Shen, R.; Jia, G.; Xu, X. Reforestation enhanced landscape connectivity for thermal buffering in China. Environ. Res. Lett. 2022, 17, 014056. [Google Scholar] [CrossRef]
- Wang, T.; Dong, L.; Liu, Z. Stand structure is more important for forest productivity stability than tree, understory plant and soil biota species diversity. Front. For. Glob. Change 2024, 7, 1354508. [Google Scholar] [CrossRef]
- Zamorano-Elgueta, C.; Orsi, F.; Geneletti, D.; Cayuela, L.; Hamer, R.; Lara, A.; Benayas, J.M.R. Integrating Ecological Suitability and Socioeconomic Feasibility at Landscape Scale to Restore Biodiversity and Ecosystem Services in Southern Chile. Environ. Manag. 2025, 75, 588–605. [Google Scholar] [CrossRef]
- Meerow, S.; Newell, J.P. Spatial planning for multifunctional green infrastructure: Growing resilience in Detroit. Landsc. Urban Plan. 2017, 159, 62–75. [Google Scholar] [CrossRef]










| Species | Environment and Human Activity | Environment, Human Activity and Landscape Metrics | |
|---|---|---|---|
| Trees | Salix matsudana | 0.934 | 0.99 |
| Robinia pseudoacacia | 0.961 | 0.988 | |
| Pinus tabuliformis Carrière | 0.938 | 0.994 | |
| Shrubs | Caragana korshinskii | 0.916 | 0.981 |
| Forsythia suspensa | 0.973 | 0.996 | |
| Hippophae rhamnoides | 0.914 | 0.99 | |
| Herbs | Medicago_sativa | 0.932 | 0.988 |
| Avena sativa | 0.953 | 0.992 | |
| Agropyron cristatum | 0.924 | 0.974 | |
Disclaimer/Publisher’s Note: The statements, opinions and data contained in all publications are solely those of the individual author(s) and contributor(s) and not of MDPI and/or the editor(s). MDPI and/or the editor(s) disclaim responsibility for any injury to people or property resulting from any ideas, methods, instructions or products referred to in the content. |
© 2025 by the authors. Licensee MDPI, Basel, Switzerland. This article is an open access article distributed under the terms and conditions of the Creative Commons Attribution (CC BY) license (https://creativecommons.org/licenses/by/4.0/).
Share and Cite
Du, S.; Li, J.; Li, X. Landscape Metric-Enhanced Vegetation Restoration: Improving Spatial Suitability on Loess Plateau. Forests 2025, 16, 1569. https://doi.org/10.3390/f16101569
Du S, Li J, Li X. Landscape Metric-Enhanced Vegetation Restoration: Improving Spatial Suitability on Loess Plateau. Forests. 2025; 16(10):1569. https://doi.org/10.3390/f16101569
Chicago/Turabian StyleDu, Sixuan, Jiarui Li, and Xiang Li. 2025. "Landscape Metric-Enhanced Vegetation Restoration: Improving Spatial Suitability on Loess Plateau" Forests 16, no. 10: 1569. https://doi.org/10.3390/f16101569
APA StyleDu, S., Li, J., & Li, X. (2025). Landscape Metric-Enhanced Vegetation Restoration: Improving Spatial Suitability on Loess Plateau. Forests, 16(10), 1569. https://doi.org/10.3390/f16101569

