Next Article in Journal
Landscape Metric-Enhanced Vegetation Restoration: Improving Spatial Suitability on Loess Plateau
Previous Article in Journal
Enhancing Distance-Independent Forest Growth Models Using National-Scale Forest Inventory Data
 
 
Font Type:
Arial Georgia Verdana
Font Size:
Aa Aa Aa
Line Spacing:
Column Width:
Background:
Article

Roll Angular Velocity and Lateral Overturning Tendency of a Small-Tracked Forestry Tractor Under No-Sideslip Dynamic Driving Conditions

1
Department of Agricultural Engineering, National Institute of Agricultural Sciences, Rural Development Administration, Jeonju 54875, Republic of Korea
2
Department of Biosystems Engineering, College of Agriculture and Life Sciences, Kangwon National University, Chuncheon 24341, Republic of Korea
3
Interdisciplinary Program in Smart Agriculture, Kangwon National University, 1 Kangwondaehak-gil, Chuncheon 24341, Republic of Korea
*
Author to whom correspondence should be addressed.
These authors contributed equally to this work.
Forests 2025, 16(10), 1568; https://doi.org/10.3390/f16101568 (registering DOI)
Submission received: 10 September 2025 / Revised: 9 October 2025 / Accepted: 10 October 2025 / Published: 11 October 2025
(This article belongs to the Section Forest Operations and Engineering)

Abstract

In this study, a driving test was conducted using a small-tracked forestry tractor with a scale of 1/11 in the shape of an actual tractor to assess safety under dynamic conditions. The driving conditions resulting in lateral overturning were derived. Additionally, an angular velocity sensor was used to analyze the variation in roll angular velocity with driving conditions. Driving condition variables comprised obstacle height, ground slope angle, and driving speed. Obstacle height had five levels between 0 and 40 mm in 10 mm intervals, and ground slope angle had 11 levels at 5° intervals from 0° to 50°. Driving speed had three levels: 0.07, 0.11, and 0.13 m/s. The ground slope angle resulting in lateral overturning in the driving scenario was lower than that in non-driving under all conditions. Roll angular velocity increased as obstacle height and tractor driving speed increased. However, ground slope angle did not significantly affect angular velocity. Roll angular velocity at the moment of lateral overturning was about 90 deg/s regardless of driving conditions. A certain critical angular velocity was found to induce lateral overturning, and adjusting the driving method such as reducing driving speed and making turns when the roll angular velocity of the tractor approached the critical value improved safety. However, the quantitative results from the small tractor cannot be directly applied to full-size tractors. Although numerical values may differ, this study focused on capturing the overall trends in lateral overturning considering various driving conditions. Future studies can improve the practical applicability of these findings by determining the critical angular velocity of various full-size tractors.

1. Introduction

In recent years, mechanization has been actively implemented to address labor challenges and improve agricultural productivity [1]. This has also increased the utilization of tractors worldwide. In South Korea, the number of tractors increased from 250,000 in 2009 to 290,000 in 2018 [2]. In France, the number of new agricultural tractors registered in 2023 was 36,396, an approximately 2% increase over those registered in 2022. The number of tractors registered in Turkey in 2023 was 77,901, a 16% increase compared to that in 2022 [3]. The global agricultural machinery market size was approximately USD 132.5 billion in 2019 and was expected to reach USD 160.3 billion in 2024 through an average annual growth rate of over 3.9% [4]. With increasing use of tractors, ensuring safety in the driving environment has emerged as an important issue [5,6]. Generally, farmland is relatively irregular and has steep slopes [7], which makes tractor driving unstable and lateral overturning and backward rollover highly likely [8]. More than 50% of deaths during farming operations that involve tractors are caused by lateral overturning and backward rollover accidents [9]. In Korea, 12.3% of the agricultural machinery accidents that occurred in 2020 were caused by tractors. Among them, accidents causing farmer injuries from lateral overturning and backward rollover constituted the largest proportion of 34.1% [4]. In Spain, 69% of approximately 200 accidents from 2004 to 2013 occurred during tractor operations, and 30% of them were classified as overturning or rollover [10]. An analysis of 817 tractor accident cases that occurred in Italy from 2002 to 2012 showed that 25.1% of all accidents were caused by overturning and rollover [11]. As lateral overturning accidents continue to occur under the dynamic conditions of tractors [12], various studies have been conducted to analyze and improve tractor driving safety.
In related work, Gravalos et al. [13] analyzed the lateral overturning safety of a 26.8 kW tractor located on a slope in relation to rear wheel width. They found that lateral overturning safety tends to increase as rear wheel width increases because of the relatively lower center of gravity of the tractor. They suggested the need for further research regarding the dynamic conditions of the tractor, such as driving speed and ground conditions. Pereira et al. [14] derived the critical slope angle for operations by calculating the center of gravity coordinates and static equilibrium of a 112 kW tractor. They also constructed a lateral overturning safety zone for tractors operating on a slope by conducting topographic analyses through a digital elevation model. Mazzetto et al. [15] developed a mathematical model of tractors to assess the safety of a reversible wheeled articulated tractor. Analyzing the dynamic characteristics of the tractor according to the ground slope angle using key geometric and mechanical parameters, they found that the safety of the tractor is lower when making turns on a slope than during straight driving. Li et al. [16] used a scale-model tractor to determine the factors that affect lateral overturning safety and analyzed their importance, identifying moment of inertia, center of gravity position, wheelbase, and track width characteristics, as key factors. Among these, the position of the center of gravity was observed to have the largest impact on lateral overturning safety. Sheichenko et al. [17] developed a mathematical model for a three-wheeled tractor, to analyze lateral overturning safety. They concluded that the static sidelong falling angle increases as the tractor wheel width and diameter increase, and a lower position of the center of gravity improves tractor safety on a slope. Hung et al. [18] developed a mathematical model, analyzing lateral overturning and steering instability as a function of ground conditions during the operation of a tractor. They analyzed the dynamic characteristics of the tractor for asphalt, gravel, snowy, and icy road ground conditions, concluding that steering instability increases at a driving speed of 60 km/h or higher on snowy and icy roads because of the low frictional force. They also concluded that the likelihood of tractor lateral overturning is highest on dry asphalt. Nguyen and Luong [19] developed a mathematical model to analyze the effects of the driving speed and steering angle of a tractor on lateral overturning. They found that the steering angle range for stable steering decreases as driving speed increases and that relatively stable driving is possible at low speeds. Lee et al. [20] evaluated the lateral overturning safety of small agricultural off-road vehicles during slope work. The experimental results confirmed that the lower the vehicle’s center of gravity and the wider the vehicle width, the better is lateral stability. Franceschetti et al. [21] modified the existing mathematical model to reflect the dynamic characteristics of a narrow-track tractor using rubber tracks. They calculated that tracked wheels increase the total mass of the tractor and affect the center of gravity, moving the center of gravity downward and rearward compared to that of a wheeled tractor. In addition, Franceschetti et al. [22] developed a kinematic model of articulated narrow-track tractors on slopes and predicted the direction, lateral stability, and lateral overturning risk of the tractor at steady state. The experimental results confirmed that the lateral overturn stability decreased linearly as the roll angle of the tractor increased; however, the relationship with the yaw angle was nonlinear. Previous studies mostly derived the lateral overturning safety of tractors through mathematical modeling under static conditions or theoretical analysis that applied simplified assumptions [23]. They could not analyze lateral overturning characteristics under the dynamic conditions of tractor operation, and the various assumptions limited the accuracy. Research has also been conducted on wheeled tractors, but few have investigated tracked forestry tractors that operate in challenging environments, such as rough terrains and slopes [24].
Therefore, in this study, a small-tracked forestry tractor was used to analyze the tendency between lateral overturning and roll angular velocity under various driving conditions, identifying the critical angular velocity that leads to lateral overturning.

2. Materials and Methods

2.1. Analysis of Dynamic Lateral Overturning Characteristics Through Literature Review

Lateral overturning characteristics during tractor operation were analyzed through a literature review. Previous studies made various assumptions to simplify and analyze the complex dynamic models of wheeled tractors as follows [25,26]:
-
All elements except the tires are rigid bodies.
-
The tractor relative motion is between the main body and rear wheels.
-
The center of gravity of the tractor is located on a vertical plane that passes through the center of the rear axle.
-
Interference from the external environment (e.g., wind, ground surface geometry, and obstacles) can be neglected.
-
The tires make point contact with the ground, and slip is neglected.
-
The flow of liquids, such as lubricants and fuel, has no impact on vehicle safety.
For tracked forestry tractors, the ground and tracks make surface contact, unlike wheeled tractors. In addition, no distinction exists between the front and rear wheels, and front and rear axles. The lateral overturning characteristics of wheeled tractors have been analyzed, but those of tracked forestry tractors have not been analyzed [27]. Therefore, in this study, the following assumptions were made in the theoretical analysis of lateral overturning of tracked forestry tractors:
-
The front axle is a straight line connecting the center points of the front sprockets of both tracks, and the rear axle is a straight line connecting the center points of the rear sprockets.
-
The front and rear sprockets function as front and rear wheels, respectively.
-
The ground and tracks make surface contact, and slip is neglected.
-
The distance between the centers of the front and rear sprockets is the wheelbase, and that between the centers of left and right tracks is the track width from a frontal view.
Figure 1 shows the schematic and free body diagram used for analyzing lateral overturning when the tracked forestry tractor is stationary on a slope [28].
When the tracked forestry tractor is stationary in the horizontal direction with respect to the contour line on a slope, lateral overturning may occur if the grip of the uphill track becomes zero. In this instance, the grips of the rear and front sprockets of the uphill track are expressed using Equations (1) and (2), respectively [29].
F R = m R g d t [ L 1 L ( h s i n   θ d t 2 c o s   θ ) ( h + A R y ) s i n   θ + ( d t 2 + A R x ) c o s   θ ]
F F = m R g d t ( L 1 L ) [ d t 2 c o s   θ h s i n   θ ] + m F g d t [ ( d t 2 A F x ) c o s   θ ( h 1 + A F y ) s i n   θ ]
where
F R = Rear sprocket ground reaction force on a slope under stationary conditions
m R = Rear mass of the tractor
g = Gravitational acceleration
d t = Track width
L = Wheelbase
L 1 = Distance from rear axle to the rear center of gravity
h = Height of the front axle
θ = Ground slope angle
A R x = Vertical distance from the rear center of gravity to center plane
A R y = Height from rear axle to the rear center of gravity
F F = Front sprocket ground reaction force on a slope under stationary conditions
m F = Front mass of the tractor
A F x = Vertical distance from the rear center of gravity to center plane
A F y = Height from front axle to the front center of gravity
As the ground slope angle increases, part of the uphill track is raised from the ground, initiating lateral overturning. As both the rear and front track sections are in contact with the ground in the tracked forestry tractor, the front section grip decreases when the rear section grip decreases. The initial conditions for lateral overturning can be derived based on the time point at which the ground reaction force of the rear part of the uphill track becomes zero, defined through Equation (3).
θ R 0 = t a n 1 ( d t ( L L 1 ) 2 A R x L 2 [ ( h + A R y ) L h L 1 ] )
θ R 0 = Slope angle at which uphill rear track initiates detachment from the ground.
In Equation (3), the variables L 1 , A R x , and A R y are related to the center of gravity of the tractor apart from fixed variables related to tracked forestry tractor size and geometry. Table 1 summarizes the factors that affect the lateral overturning of the stationary tracked forestry tractor on a slope.

2.2. Small-Tracked Forestry Tractor

The geometry and specifications of the small-tracked forestry tractor used in this study are provided in Figure 2 and Table 2, respectively. The scale of the tractor is 1/11 in shape of an actual tractor but numerically different in behavior because the component materials are different. This specific model was chosen from among various scaled models for its remote speed control, steering capability, and suitable size for laboratory experimentation. Its main body is fabricated from alloy and stainless steels, whereas the tracks are fabricated from aluminum alloy. Its weight is 13.3 kg, and its maximum traveling speed is 0.13 m/s both in the forward and backward directions [30]. All testing and data collection was performed in 2024 using this tractor.

2.3. Static Sidelong Falling Angle

The static sidelong falling angle is the angle at which the uphill track is detached from the ground when the angle of the slope on which the tractor is placed is increased from 0 to 90° in a quasi-static state. As one of the accredited test items for assessing the safety of tractors, a test was conducted to derive the static sidelong falling angle of the small-tracked forestry tractor. The test platform was constructed using a sloping plate, a fixed plate, a level, a rubber pad, cables, and a shock-absorbing cushion (Figure 3). The sloping and fixed plates, created from wood, were connected using hinges, and the slope angle could be adjusted by lifting the sloping plate through the cables installed in the plate. The rubber plate was installed on the sloping plate to prevent the side slip of the tractor. The cushion was installed on the fixed plate to prevent damage to the tractor when subjected to lateral overturning. As the sloping plate was slowly raised at 0.01° intervals, the slope angle displayed on the level attached onto the sloping plate was monitored using a high-speed camera. The test was conducted five times, and the average was used as the result. The derived static sidelong falling angle was compared with the slope angle at which the tracked forestry tractor traveling on the slope laterally overturned under dynamic conditions. The specifications of the level and high-speed camera used in the test are shown in Table 3 and Table 4.
Figure 4 depicts the static sidelong falling angle measurement of the small- tracked forestry tractor in the experiments. The angle was determined to be 50.30° (Table 5).

2.4. Driving Test

For a tractor traveling along a contour line on a slope, the risk of lateral overturning increases when its uphill wheel comes into contact with an obstacle [25]. To derive the dynamic lateral overturning characteristics of the small-tracked forestry tractor, the tractor’s uphill track was set to go over an obstacle while traveling on a slope. Based on the theoretical analysis results, the driving speed, obstacle height, and ground slope angle were set as the test variables.
For driving speed, three levels were selected by including the maximum speed of the small-tracked forestry tractor (0.13 m/s) and adding the conditions of 0.11 and 0.07 m/s. The typical ridge height of farmland in Korea ranges from 100 to 300 mm [30]. Considering the ridge height of farmland and the scale of the small-tracked forestry tractor, five levels were selected at 10 mm intervals from 0 to 40 mm for the obstacle height. Obstacles were modeled as sinusoidal profiles, which is commonly used in the lateral overturning test of tractors [31]. For the ground slope angle, 11 levels were selected at 5° intervals from 0 to 50°, corresponding to angles within the results of the static sidelong falling test conducted using the small-tracked forestry tractor. Figure 5 shows the obstacle geometry, slope geometry, and full configuration used in the test. To eliminate the influence of lateral slip and analyze only the influence of external factors, tests were performed on a high-friction rubber pad surface. This setting allowed a clearer analysis of lateral overturning behavior caused solely by slope angle, obstacle height, and driving speed.
An angular velocity sensor was attached to the center of gravity of the small-tracked forestry tractor to derive the roll angular velocity (Figure 6) under the ISO 789-6 standard [32] by performing actual measurements [30]. The specifications are shown in Table 6. The roll angular velocity was measured at the moment the small-tracked forestry tractor stepped on an obstacle while traveling on a slope, and the critical angular velocity that causes lateral overturning was accordingly derived. The test was repeated three times under the same conditions, and the average value of the derived angular velocities was used in analyzing the results.

3. Results and Discussions

3.1. Lateral Overturning Characteristics by Factor

Lateral overturning occurred under the same conditions of the test. Table 7 shows the ground slope angle at which the lateral overturning of the small-tracked forestry tractor occurred with respect to obstacle height and driving speed.
The lateral overturning occurrence angle does not depend on driving speed possibly because the driving speeds applied in the test were relatively low, and the absolute value of the speed did not change significantly with the conditions [33]. In addition, the lateral overturning occurrence angle was found to be smaller than the static sidelong falling angle (50.30°) in all scenarios. This is because the impact of disturbances under dynamic conditions is larger than under static conditions [34]. As the obstacle height increased, the lateral overturning occurrence angle tended to decrease at all driving speeds. An increase in obstacle height makes the tractor more vulnerable to lateral overturning as the increase in tilt is more significant at the moment the tractor steps on the obstacle.

3.2. Roll Angular Velocity Results

The tendencies of the roll angular velocity over time during the driving of the tractor on a slope are shown in Figure 7 and Figure 8. The angular velocity increases sharply at the moment of stepping on an obstacle, but the tendency of angular velocity change differs depending on whether lateral overturning has occurred. The angular velocity continuously increased when lateral overturning occurred after stepping on an obstacle, decreasing and stabilizing in case of no lateral overturning. In analyzing dynamic lateral overturning characteristics based on condition, the angular velocity corresponding to a sharp increase after stepping on an obstacle was used as a representative value.
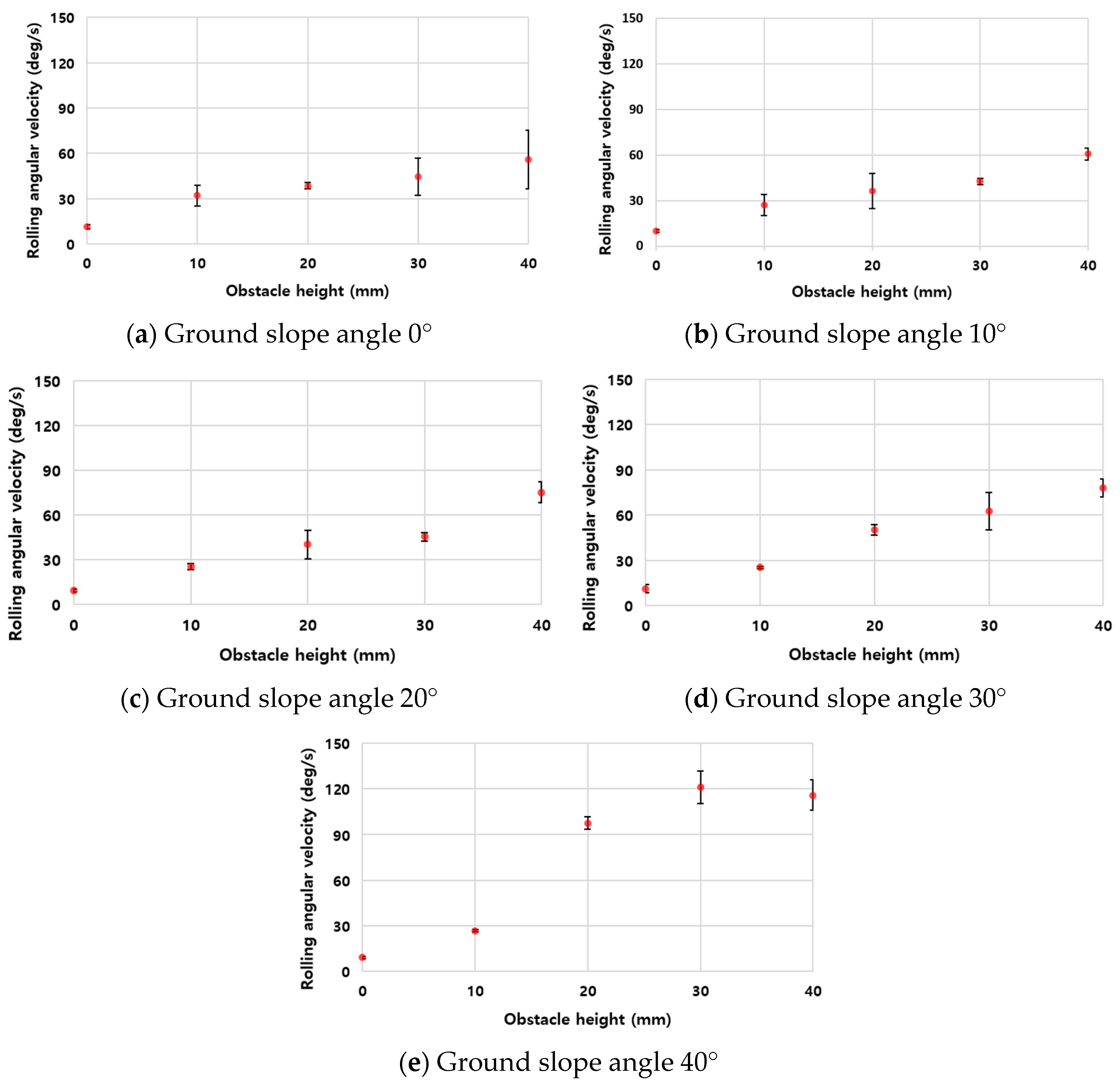
Figure 9 shows the results of deriving the roll angular velocity according to the obstacle height as the tractor travels on a slope at a maximum speed of 0.13 m/s. The roll angular velocity tends to increase as the obstacle height increases in all cases. The tendency of the roll angular velocity over obstacles was derived because unlike other factors, obstacles have a direct physical impact on the tractor.
The derived roll angular velocities as the tractor travels on a slope at a maximum speed of 0.13 m/s are displayed in Figure 10 for different slope angles. The roll angular velocity showed no significant tendency depending on the ground slope angle, but it tended to sharply increase when the ground slope angle exceeded a certain value. This appeared to be because the center of gravity of the tractor that stepped on an obstacle rapidly moved at a certain slope angle or higher.
The lateral overturning of the tractor was determined according to the driving speed and roll angular velocity when lateral overturning occurred (Figure 11). At a ground slope angle of 35°, lateral overturning occurred when the obstacle height was 40 mm. At a ground slope angle of 40°, lateral overturning occurred when the obstacle heights were 30 and 40 mm. At a ground slope angle of 45°, lateral overturning occurred when the obstacle heights were 20, 30, and 40 mm. As driving speed increases, the roll angular velocity tends to increase because the tractor steps over an obstacle more rapidly. The impact transmitted within a short period induces a strong tractor roll motion [35]. An increase in the driving speed of the tractor increases the roll angular velocity by increasing the impulse because of the contact with the obstacle, thereby accelerating the rotational motion of the tractor.
Examples of roll angular velocity graphs for conditions that caused and did not cause lateral overturning are shown in Figure 12. When the tractor traveling at 0.13 m/s on a 25° slope came into contact with a 40 mm-high obstacle, the roll angular velocity increased to 92.8 deg/s, but the tractor stabilized with no lateral overturning. Traveling under the same conditions on a 35° slope, the roll angular velocity continued to increase beyond 90 deg/s, resulting in lateral overturning. Table 8 shows the roll angular velocity under all conditions that resulted in lateral overturning. The experiment results reveal that lateral overturning occurs under all conditions at a roll angular velocity of 94.1 deg/s or higher.
Because the roll angular velocity of the tractor changes sharply at the moment of stepping on an obstacle, the stability of tractor driving should be maintained through driving speed adjustment, steering control, and obstacle avoidance when the roll angular velocity approaches 90 deg/s. Further research is required to accurately derive the critical angular velocity and detailed values that result in lateral overturning. Simulations are expected to enable a more precise analysis of the changes in angular velocity in case of lateral overturning of the tractor.

4. Limitations and Future Works

This study was conducted using a small-tracked forestry tractor to analyze the tendency of lateral overturning and roll angular velocity under controlled conditions. Although small models have the advantage of high repeatability and facilitate experimental variable control, they have limitations in generalizing the behavior to actual tractors.
The primary objective of this study was to investigate the relationship between lateral overturning and roll angular velocity according to driving conditions using the small tractor. The numerical results of this study cannot be directly applied to full-size tractors without further validation. While specific quantitative values may differ, the qualitative trends are expected to be consistent over a wide range of tractors, thereby providing meaningful insights into the fundamentals of overturning dynamics.
Another limitation is the artificial characteristics of the test platform, which used a high-friction rubber pad to eliminate lateral sliding. Although this helped isolate the overturning motion in assessing the influence of parameters, it does not reflect the actual terrain conditions of agricultural fields. Under real operating conditions, lateral overturning often happens along with sliding or sinking. Because soil has highly nonlinear characteristics, the interaction between the soil and driving device is very difficult to predict. The effect of terrain conditions must be derived through actual experiments with full-size tractors.
Future studies should include tests using full-size tracked tractors under different soil conditions and load configurations, to investigate the critical angular velocity. If the critical angular velocity is known for a specific actual tractor, the strategy may be to avoid the lateral overturning of tracked tractor by using it as a measurable indicator.

5. Conclusions

A driving test was conducted using a small-tracked forestry tractor that has 1/11 scale in shape of actual tractor, to observe lateral overturning occurrence characteristics and changes in roll angular velocity under various driving conditions. In addition, the roll angular velocity at the moment of lateral overturning during tractor operation was quantitatively derived for driving conditions including five levels in 10 mm intervals from 0 to 40 mm for obstacle height and 11 levels at 5° intervals from 0 to 50° for ground slope angle. The driving speed of the small-tracked forestry tractor was 0.13 m/s, and the experiment was additionally performed for the speeds of 0.11 and 0.07 m/s under conditions that resulted in lateral overturning. An angular velocity sensor was attached to the tractor to derive the rapidly changing roll angular velocity in the course of stepping on an obstacle. The driving test was repeated three times in all cases, and the average values were used. The experiment results revealed that the ground slope angle at which the lateral overturning of the traveling tractor occurred was lower than the static sidelong falling angle in all cases. This may be because dynamic tractor instability was higher than in static conditions. As the obstacle height increased, the ground slope angle that resulted in lateral overturning showed a tendency to decrease primarily because the obstacle height significantly changes the displacement of the center of gravity of the tractor. As the driving speed increased, the ground slope angle that resulted in lateral overturning decreased because the impulse caused by the contact with an obstacle directly affects lateral overturning. The angular velocity of the tractor derived at the moment of stepping on an obstacle indicated that the roll angular velocity of the tractor tends to increase as the obstacle height and tractor driving speed increase. In addition, the roll angular velocity exhibited no significant dependence on the ground slope angle but increased sharply when the ground slope angle exceeded a certain value. Based on the results of the driving test, the roll angular velocity at the moment of lateral overturning was about 90 deg/s regardless of driving conditions. Safety can be maintained through measures, such as deceleration, turning, and obstacle avoidance, when the roll angular velocity approaches 90 deg/s, and the critical angular velocity may vary according to tractor specifications. Therefore, in future studies, experiments based on full-size tracked tractors are required to determine the specific critical angular velocities.

Author Contributions

Conceptualization, Y.-J.Y.; Investigation, M.-K.J.; data curation, Y.-J.Y. and M.-K.J.; Writing, original draft preparation, Y.-J.Y. and M.-K.J.; writing, review and editing, J.-S.N.; visualization, Y.-J.Y.; supervision, J.-S.N.; project administration, J.-S.N. All authors have read and agreed to the published version of the manuscript.

Funding

This study was conducted with the support of R&D Program for Forest Science Technology [Grant number 2023475A00-2325-BB01, 50] provided by Korea Forest Service (Korea Forestry Promotion Institute). Also, this work was partly supported by the Institute of Information and Communications Technology Planning and Evaluation (IITP)-Innovative Human Resource Development for Local Intellectualization program grant funded by the Korea government (MSIT) [grant number IITP-2025-RS-2023-00260267, 50].

Data Availability Statement

Data is contained within the article.

Conflicts of Interest

The authors declare no conflicts of interest.

References

  1. Nam, K. The empirical analysis of production cost reduction effects from the agricultural machinery rental policy. J. Rural Dev. Nongchon-Gyeongje 2021, 44, 51–78. [Google Scholar] [CrossRef]
  2. Oh, J.S.; Jeong, M.K.; Jeon, J.H. Agricultural machinery traffic safety measures and policy suggestions based on accidents’ characteristics. J. Transp. Res. 2021, 28, 33–49. [Google Scholar] [CrossRef]
  3. CEMA. European Tractor Registrations in 2023; CEMA: Brussels, Belgium, 2024. [Google Scholar]
  4. KAMICO. Agricultural Machinery Yearbook in Republic of Korea; KAMICO: Seoul, Republic of Korea, 2022; pp. 1–16. [Google Scholar]
  5. Alfaro-Lopez, J.R.; Perez-Ezcurdia, A.; Latorreo-Biel, J.I.; Arana-Navarro, I.; Benito-Amurrio, M.; Villanueva-Roldán, P. The integration of mechanical energy absorbers into rollover protective structures to improve the safety of agricultural tractors in the event of rollover. Agriculture 2024, 14, 1050. [Google Scholar] [CrossRef]
  6. Slovic, Z.; Vitosevic, K.; Todorovic, D.; Todorovic, M. Analysis of injuries and cause of death in fatal accidents with farm tractors. Exp. Appl. Biomed. Res. 2020, 24, 243–248. [Google Scholar] [CrossRef]
  7. Türkoğlu, A.; Sehlikoğlu, K.; Tokdemir, M. Analysis of tractor-associated fatalities. Am. J. Forensic Med. Pathol. 2017, 38, 306–311. [Google Scholar] [CrossRef]
  8. Hösükler, E.; Hösükler, B.; Koç, S. Tractor related deaths (Rollover, fall, accident, lightning strike). J. Kirikkale Univ. Fac. Med. 2022, 24, 262–271. [Google Scholar] [CrossRef]
  9. Abubakar, M.S.; Ahmad, D.; Akande, F.B. A review of farm tractor overturning accidents and safety. Pertanika J. Sci. Technol. 2010, 18, 377–385. [Google Scholar]
  10. Jarén, C.; Ibarrola, A.; Mangado, T.; Adin, A.; Arnal, P.; López-Maestresalas, A.; Ríos, A.; Arazuri, S. Fatal tractor accidents in the agricultural sector in Spain during the past decade. Agronomy 2022, 12, 1694. [Google Scholar] [CrossRef]
  11. Rondelli, V.; Casazza, C.; Martelli, R. Tractor rollover fatalities, analyzing accident scenario. J. Saf. Res. 2018, 67, 99–106. [Google Scholar] [CrossRef]
  12. Cutini, M.; Deboli, R.; Calvo, A.; Preti, C.; Brambilla, M.; Bisaglia, C. Ground soil input characteristics determining agricultural tractor dynamics. Eng. Agric. 2017, 33, 509–519. [Google Scholar] [CrossRef]
  13. Gravalos, I.; Gialamas, T.; Loutridis, S.; Moshou, D.; Kateris, D.; Xyradakis, P.; Tsiropoulos, Z. An experimental study on the impact of the rear track width on the stability of agricultural tractors using a test bench. J. Terramechanics 2011, 48, 319–323. [Google Scholar] [CrossRef]
  14. Pereira, D.P.; Fiedler, N.C.; Lima, J.S.D.S.; Bauer, M.D.O.; Rezende, A.V.; Missiaggia, A.A.; Simão, J.B.P. Lateral stability limits of farm tractors for forest plantations in steep areas. Sci. For. 2011, 39, 433–439. [Google Scholar]
  15. Mazzetto, F.; Bietresato, M.; Gasparetto, A.; Vidoni, R. Simulated stability tests of a small articulated tractor designed for extreme-sloped vineyards. J. Agric. Eng. 2013, 44 (Suppl. S2), 663–668. [Google Scholar] [CrossRef]
  16. Li, Z.; Mitsuoka, M.; Inoue, E.; Okayasu, T.; Hirai, Y.; Zhu, Z. Parameter sensitivity for tractor lateral stability against phase I overturn on random road surfaces. Biosyst. Eng. 2016, 150, 10–23. [Google Scholar] [CrossRef]
  17. Sheichenko, V.; Hailis, G.; Dudnikov, I.; Fedirko, P. Investigation of the tricycle tractor incline influence on its stability under the conditions of work at the of slope fields. Indep. J. Manag. Prod. 2019, 10, 725–738. [Google Scholar] [CrossRef]
  18. Hung, T.T.; Khanh, D.N.; Huong, V.V. Study on effects of road conditions on the lateral instability of tractor semitrailer vehicle during turning maneuver. Eng. Technol. Sustain. Dev. 2022, 32, 74–80. [Google Scholar] [CrossRef]
  19. Nguyen, T.T.; Luong, V.V. The effect of velocity on the ability to rollover of the tractor semi-trailer when turning. Eng. Solid Mech. 2023, 11, 427–436. [Google Scholar] [CrossRef]
  20. Lee, D.; Yoo, H.J.; Shin, M.; Oh, J.; Shim, S.B. Analysis of overturning stability of small off-road vehicle. J. Biosyst. Eng. 2023, 48, 309–318. [Google Scholar] [CrossRef]
  21. Franceschetti, B.; Capacci, E.; Rondelli, V. Effects of rubber tracks on narrow-track tractors on the non-continuous rolling prediction model. J. Agric. Saf. Health 2016, 22, 262–273. [Google Scholar] [CrossRef]
  22. Franceschetti, B.; Rondelli, V.; Capacci, E. Lateral stability performance of articulated narrow-track tractors. Agronomy 2021, 11, 2512. [Google Scholar] [CrossRef]
  23. Olt, J.; Bulgakov, V.; Beloev, H.; Nadykto, V.; Ihnatiev, Y.; Dubrovina, O.; Arak, M.; Bondar, M.; Kutsenko, A. A mathematical model of the rear-trailed top harvester and an evaluation of its motion stability. Agron. Res. 2022, 20, 371–388. [Google Scholar] [CrossRef]
  24. Ali, M.; Islam, M.N.; Reza, M.N.; Hong, J.G.; Gulandaz, M.A.; Chung, S.O. Analysis of power requirement of a small-sized tracked-tractor during agricultural field operations. IOP Conf. Ser. Earth Environ. Sci. 2021, 924, 012017. [Google Scholar] [CrossRef]
  25. Shin, B.S.; Kim, D.C.; Kim, Y.J.; Kim, H.J.; Nam, J.S.; Park, Y.J.; Shim, S.B.; Lee, D.H.; Lee, J.W.; Cho, Y.J.; et al. Tractor Engineering Principles, 2nd ed.; Moon Woon Dang Pub. Co.: Seoul, Republic of Korea, 2021. [Google Scholar]
  26. Wang, L.; Liu, F.; Song, Z.; Ni, Y.; He, Z.; Zhai, Z.; Zhu, Q.; Song, Z.; Li, Z. Advances in tractor rollover and stability control: Implications for off-road driving safety. Comput. Electron. Agric. 2024, 226, 109483. [Google Scholar] [CrossRef]
  27. Watson, E.M.; Garden, G.M. A Provisional Test Procedure for Crawler Tractor Safety Frames; New Zealand Agricultural Engineering Institute, Lincoln University: Oxford, UK, 1971; Available online: https://hdl.handle.net/10182/17753 (accessed on 9 October 2025).
  28. Jang, M.K.; Hwang, S.J.; Shin, S.C.; Nam, J.S. A novel approach to determine static falling down sidelong angle of tractor using a 3D printed miniature model. Appl. Sci. 2021, 12, 43. [Google Scholar] [CrossRef]
  29. Baker, B.; Guzzomi, A.L. A model and comparison of 4-wheel-drive fixed-chassis tractor rollover during phase I. Biosyst. Eng. 2013, 116, 179–189. [Google Scholar] [CrossRef]
  30. Yang, Y.J.; Jang, M.K.; Nam, J.S. Dynamic simulation model of miniature tracked forestry tractor for overturning and rollover safety evaluation. Agriculture 2024, 14, 1991. [Google Scholar] [CrossRef]
  31. Jang, M.K.; Hwang, S.J.; Kim, J.H.; Nam, J.S. Overturning and rollover characteristics of a tractor dynamic simulations: Effect of slope angle and obstacles on a hard surface. Biosyst. Eng. 2022, 219, 11–24. [Google Scholar] [CrossRef]
  32. ISO 789-6; Agricultural Tractors-Test Procedures. ISO: Geneva, Switzerland, 2019.
  33. Li, Z.; Mitsuoka, M.; Inoue, E.; Okayasu, T.; Hirai, Y. Dynamic analysis of agricultural wheel tractor driving on uneven surface under the influences of speed and slope angle. J. Fac. Agric. Kyushu Univ. 2014, 59, 339–343. [Google Scholar] [CrossRef]
  34. Kang, S.H.; Kim, J.H.; Kim, Y.S.; Woo, S.M.; Daniel, D.U.; Ha, Y.S. A simulation study on the dynamics characteristics of hot pepper harvester. J. Korea Soc. Simul. 2020, 29, 19–25. [Google Scholar] [CrossRef]
  35. Liu, J.; Ayers, P.D. Effect of dynamics on the stability index of tractors. J. Agromedicine 1997, 4, 377–379. [Google Scholar] [CrossRef]
Figure 1. Schematic illustration of static lateral overturning on a slope.
Figure 1. Schematic illustration of static lateral overturning on a slope.
Forests 16 01568 g001
Figure 2. Photograph of the small-tracked forestry tractor.
Figure 2. Photograph of the small-tracked forestry tractor.
Forests 16 01568 g002
Figure 3. Static sidelong falling test configuration [30].
Figure 3. Static sidelong falling test configuration [30].
Forests 16 01568 g003
Figure 4. Result of the static sidelong falling angle [30].
Figure 4. Result of the static sidelong falling angle [30].
Forests 16 01568 g004
Figure 5. Driving test of the small-tracked forestry tractor [30].
Figure 5. Driving test of the small-tracked forestry tractor [30].
Forests 16 01568 g005
Figure 6. Shape and attachment position of the angular velocity sensor [30].
Figure 6. Shape and attachment position of the angular velocity sensor [30].
Forests 16 01568 g006
Figure 7. Time history of roll angular velocity during slope driving over a 40 mm obstacle.
Figure 7. Time history of roll angular velocity during slope driving over a 40 mm obstacle.
Forests 16 01568 g007
Figure 8. Time history of roll angular velocity during slope driving at a 40° slope.
Figure 8. Time history of roll angular velocity during slope driving at a 40° slope.
Forests 16 01568 g008
Figure 9. Results of angular velocity against obstacle height.
Figure 9. Results of angular velocity against obstacle height.
Forests 16 01568 g009
Figure 10. Results of angular velocity against ground slope angle.
Figure 10. Results of angular velocity against ground slope angle.
Forests 16 01568 g010
Figure 11. Results of angular velocity against driving speed.
Figure 11. Results of angular velocity against driving speed.
Forests 16 01568 g011
Figure 12. Roll angular velocity during slope driving over a 40 mm obstacle at 0.13 m/s.
Figure 12. Roll angular velocity during slope driving over a 40 mm obstacle at 0.13 m/s.
Forests 16 01568 g012
Table 1. Influence variables on lateral overturning.
Table 1. Influence variables on lateral overturning.
VariablesDescriptionChange in θ R 0 as the Variable Increases
L 1 Distance from rear axle to rear center of gravityBecause of the complexity of the interactions, the dynamic effects should be checked
A R x Vertical distance from rear center of gravity to center planeDecrease
A R y Height from rear axle to rear center of gravityDecrease
Table 2. Specifications of the small-tracked forestry tractor.
Table 2. Specifications of the small-tracked forestry tractor.
ItemsSpecification
Model/Company/City/NationNST-1500VD/Mitsubishi/Tokyo/Japan
Length/Width/Height (mm)515/220/240
Weight (kg)13.3
MaterialsMain bodyAlloy steel, Stainless
TrackAluminum alloy
Maximum lifting weight (kg)15
Maximum traveling speed (m/s)Forward0.13
Backward0.13
Table 3. Digital level specifications.
Table 3. Digital level specifications.
ItemsSpecification
ModelDigital level
Manufacturer/Country/CityYATO/China/Jiaxing
Measuring range (°)360
Resolution (°)0.01
Accuracy (°)±0.1
Precision (°)±0.1
Table 4. High-speed camera specifications.
Table 4. High-speed camera specifications.
ItemsSpecification
ModelDC-GH5
Manufacturer/Country/CityPanasonic/Japan/Osaka
Shutter speed (s)1–1/8000
Resolution4K (UHD)
Sensitivity (ISO)100–25,600
Table 5. Results of the static sidelong falling angle test.
Table 5. Results of the static sidelong falling angle test.
Test No.Static Sidelong Falling Angle (°)
150.10
250.29
350.26
450.53
550.32
Average ± std50.0 ± 0.14
Table 6. Specifications of the angular velocity sensor.
Table 6. Specifications of the angular velocity sensor.
ItemSpecification
ModelBWT901CL
Manufacturer/Country/CityWitMotion/China/Shenzhen
Length × Width × Height (mm)51.3 × 36 × 15
Weight (kg)0.02
Measuring rangeAcceleration ( g ) ± 16
Angular velocity (deg/s)2000
Angle (°)180
StabilityAcceleration ( g )0.01
Angular velocity (deg/s)0.05
Table 7. Results of the lateral overturning occurrence angle.
Table 7. Results of the lateral overturning occurrence angle.
Obstacle
Height
No Obstacle (Flat Ground)Obstacle 10 mmObstacle 20 mmObstacle 30 mmObstacle 40 mm
Driving Speed
0.07 m/s50°45°40°40°35°
0.11 m/s50°45°40°40°35°
0.13 m/s50°45°40°40°35°
Table 8. Roll angular velocity under lateral rollover conditions.
Table 8. Roll angular velocity under lateral rollover conditions.
Ground Slope (°)Obstacle Height (mm)Driving Speed (m/s)
0.070.110.13
Angular Velocity ± Std (deg/s)
454094.1 ± 7.01118.8 ± 13.72178.2 ± 14.05
30129.1 ± 12.39139.5 ± 7.84141.3 ± 5.67
20115.7 ± 12.51127.8 ± 12.99116.0 ± 10.99
4040106.6 ± 12.12135.5 ± 18.27225.3 ± 9.91
3099.6 ± 11.84108.0 ± 11.46134.3 ± 10.63
3540111.2 ± 10.03134.3 ± 14.92155.4 ± 7.87
Disclaimer/Publisher’s Note: The statements, opinions and data contained in all publications are solely those of the individual author(s) and contributor(s) and not of MDPI and/or the editor(s). MDPI and/or the editor(s) disclaim responsibility for any injury to people or property resulting from any ideas, methods, instructions or products referred to in the content.

Share and Cite

MDPI and ACS Style

Yang, Y.-J.; Jang, M.-K.; Nam, J.-S. Roll Angular Velocity and Lateral Overturning Tendency of a Small-Tracked Forestry Tractor Under No-Sideslip Dynamic Driving Conditions. Forests 2025, 16, 1568. https://doi.org/10.3390/f16101568

AMA Style

Yang Y-J, Jang M-K, Nam J-S. Roll Angular Velocity and Lateral Overturning Tendency of a Small-Tracked Forestry Tractor Under No-Sideslip Dynamic Driving Conditions. Forests. 2025; 16(10):1568. https://doi.org/10.3390/f16101568

Chicago/Turabian Style

Yang, Yun-Jeong, Moon-Kyeong Jang, and Ju-Seok Nam. 2025. "Roll Angular Velocity and Lateral Overturning Tendency of a Small-Tracked Forestry Tractor Under No-Sideslip Dynamic Driving Conditions" Forests 16, no. 10: 1568. https://doi.org/10.3390/f16101568

APA Style

Yang, Y.-J., Jang, M.-K., & Nam, J.-S. (2025). Roll Angular Velocity and Lateral Overturning Tendency of a Small-Tracked Forestry Tractor Under No-Sideslip Dynamic Driving Conditions. Forests, 16(10), 1568. https://doi.org/10.3390/f16101568

Note that from the first issue of 2016, this journal uses article numbers instead of page numbers. See further details here.

Article Metrics

Back to TopTop