Effects of Afforestation on Soil Organic Carbon and Nitrogen Stocks in the Long Term in Semi-Arid Regions of Türkiye
Abstract
1. Introduction
2. Materials and Methods
2.1. Study Area
2.2. Soil Properties
2.3. Climate and Vegetation
2.4. Field Study and Sampling
2.5. Data Analysis
3. Results
3.1. Soil Cation Exchange Capacity (CEC), pH, Salinity (EC), and Lime (CaCO3) Concentration
3.2. Soil Texture (Sand, Clay, and Silt Concentrations) and Bulk Density (g cm−3)
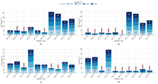
3.3. Soil Carbon and Nitrogen Concentrations and Stocks
3.4. Carbon and Nitrogen Contents of Tree Needles, Litter, and Humus
3.5. Structural Equation Model (SEM) Analysis
4. Discussion
5. Conclusions
Author Contributions
Funding
Data Availability Statement
Acknowledgments
Conflicts of Interest
References
- Vicente-Serrano, S.M.; Pricope, N.G.; Toreti, A.; Morán-Tejeda, E.; Spinoni, J.; Ocampo-Melgar, A.; Archer, E.; Diedhiou, A.; Mesbahzadeh, T.; Ravindranath, N.H.; et al. The Global Threat of Drying Lands: Regional and Global Aridity Trends and Future Projections—A Report of the Science-Policy Interface; United Nations Convention to Combat Desertification (UNCCD): Bonn, Germany, 2024. [Google Scholar]
- Rundel, P.W.; Villagra, P.E.; Veblen, T.; Young, K.; Orme, A. Arid and Semi-Arid Ecosystems. In The Physical Geography of South America; Oxford University Press: Oxford, UK, 2007; pp. 158–183. [Google Scholar]
- Li, C.; Zhang, C.; Luo, G.; Chen, X.; Maisupova, B.; Madaminov, A.A.; Han, Q.; Djenbaev, B.M. Carbon stock and its responses to climate change in C entral A sia. Glob. Change Biol. 2015, 21, 1951–1967. [Google Scholar] [CrossRef] [PubMed]
- Zerga, B. Rangeland degradation and restoration: A global perspective. Point J. Agric. Biotechnol. Res. 2015, 1, 37–54. [Google Scholar]
- Yıldız, O.; Eşen, D.; Sargıncı, M.; Çetin, B.; Toprak, B.; Dönmez, A.H. Restoration success in afforestation sites established at different times in arid lands of Central Anatolia. For. Ecol. Manag. 2022, 503, 119808. [Google Scholar] [CrossRef]
- Yildiz, O.; Esen, D.; Karaoz, O.M.; Sarginci, M.; Toprak, B.; Soysal, Y. Effects of different site preparation methods on soil carbon and nutrient removal from Eastern beech regeneration sites in Turkey’s Black Sea region. Appl. Soil Ecol. 2010, 45, 49–55. [Google Scholar] [CrossRef]
- Odum, E.P.; Barrett, G.W. Fundamentals of Ecology, 5th ed.; Thomson-Brooks/Cole: Boston, MA, USA, 2005. [Google Scholar]
- Odum, E.P.; Barrett, G.W. Fundamentals of Ecology, 3rd ed.; Thomson-Brooks/Cole: Boston, MA, USA, 1971. [Google Scholar]
- McAlpine, C.; Catterall, C.P.; Nally, R.M.; Lindenmayer, D.; Reid, J.L.; Holl, K.D.; Bennett, A.F.; Runting, R.K.; Wilson, K.; Hobbs, R.J. Integrating plant-and animal-based perspectives for more effective restoration of biodiversity. Front. Ecol. Environ. 2016, 14, 37–45. [Google Scholar] [CrossRef]
- Yıldız, O.; Eşen, D.; Sargıncı, M. Orman yangınlarının besin elementleri ve ekosistem verimliliğine etkileri. Tabiat Ve İnsan 2004, 3–4, 56–63. [Google Scholar]
- Yıldız, O.; Sarginci, D.E.M.; Toprak, B. Batı Karadeniz Bölgesi’nde orman açmalarının toprak karbonu ve makro-besin yoğunluğuna etkisi (Effects of forest clearings on soil carbon and macronutrient density in the Western Black Sea Region). In Proceedings of the IX. Ulusal Ekoloji ve Çevre Kongresi (IX: National Ecology and Environment Congress), Nevşehir, Türkiye, 7–10 October 2009; p. 81. [Google Scholar]
- Rotenberg, E.; Yakir, D. Contribution of semi-arid forests to the climate system. Science 2010, 327, 451–454. [Google Scholar] [CrossRef] [PubMed]
- UNCCD. Report of the Conference of the Parties on İts Twelfth Session; UNCCD: Ankara, Türkiye, 2015. [Google Scholar]
- Tolunay, D.; Çömez, A. Orman topraklarında karbon depolanması ve Türkiye’deki durum (Carbon sequestration in forest soils and the sitiuation in Türkiye). In Proceedings of the Küresel İklim Değişimi ve Su Sorunlarının Çözümünde Ormanlar Sempozyumu (Forests in the Solution of Global Climate Change and Water Problems Symposium), İstanbul, Türkiye, 13–14 December 2007. [Google Scholar]
- Peñuelas, J.; Sardans, J.; Filella, I.; Estiarte, M.; Llusià, J.; Ogaya, R.; Carnicer, J.; Bartrons, M.; Rivas-Ubach, A.; Grau, O. Impacts of global change on Mediterranean forests and their services. Forests 2017, 8, 463. [Google Scholar] [CrossRef]
- Cramer, W.; Guiot, J.; Marini, K.; Azzopardi, B.; Balzan, M.V.; Cherif, S.; Doblas-Miranda, E.; Palma Lampreia Dos Santos, M.J.; Drobinski, P.; Fader, M.; et al. MedECC 2020, Summary for Policymakers. In Climate and Environmental Change in the Mediterranean Basin—Current Situation and Risks for the Future; Cramer, W., Guiot, J., Marini, K., Eds.; First Mediterranean Assessment Report, Union for the Mediterranean, Plan Bleu, UNEP/MAP; amU: Marseille, France, 2020; pp. 11–40. [Google Scholar]
- Gumus, B.; Oruc, S.; Yucel, I.; Yilmaz, M.T. Impacts of climate change on extreme climate indices in Türkiye driven by high-resolution downscaled CMIP6 climate models. Sustainability 2023, 15, 7202. [Google Scholar] [CrossRef]
- Weatherall, A.; Nabuurs, G.-J.; Velikova, V.; Santopuoli, G.; Neroj, B.; Bowditch, E.; Temperli, C.; Binder, F.; Ditmarová, L.u.; Jamnická, G. Defining climate-smart forestry. In Climate-Smart Forestry in Mountain Regions; Springer: Cham, Swizerland, 2022; pp. 35–58. [Google Scholar]
- Ozturk, T.; Ceber, Z.P.; Türkeş, M.; Kurnaz, M.L. Projections of climate change in the Mediterranean Basin by using downscaled global climate model outputs. Int. J. Climatol. 2015, 35, 4276–4292. [Google Scholar] [CrossRef]
- Çepel, N. Yokettiğimiz Ormanlarımız Kayboılan Fonksiyonel Değerler ve Zamanımızn Orman Ölümleri [Forests We Eradicated, Functional Values We Lost and Current Forest Diebacks]; TEMA Vakfı: Istanbul, Turkey, 1995. [Google Scholar]
- Turkes, M. Vulnerability of Turkey to desertification with respect to precipitation and aridity conditions. Turk. J. Eng. Environ. Sci. 1999, 23, 363–380. [Google Scholar]
- Türkeş, M. BM Analysis of the UN Convention to Combat Desertification with respect to the Climate, Climate Change and Drought, and Applications in Turkey. In Proceedings of the Combat Desertification Symposium, Çorum, Türkiye, 17–18 June 2010; General Directorate of Plantation and Erosion Control: Çorum, Türkiye, 2010; pp. 17–18. [Google Scholar]
- Vacek, Z.; Cukor, J.; Vacek, S.; Gallo, J.; Bažant, V.; Zeidler, A. Role of black pine (Pinus nigra JF Arnold) in European forests modified by climate change. Eur. J. For. Res. 2023, 142, 1239–1258. [Google Scholar] [CrossRef]
- Viñas, R.A.; Caudullo, G.; Oliveira, S.; De Rigo, D. Pinus pinea in Europe: Distribution, habitat, usage and threats. In European Atlas of Forest Tree Species; Publications Office of the EU: Luxembourg, 2016; p. 204. [Google Scholar]
- Republic of Türkiye Ministry of Agriculture and Forestry General Dirctorate of Forestry (GDF). Forestry Statistics 2023.zip. Available online: https://www.ogm.gov.tr/en/e-library/official-statistics (accessed on 3 June 2025).
- Saatçioğlu, F. Türkiye Silvikültüründe Yapraklı Ağaç Türleri Meselesi (The Issue of Broadleaf Tree Species in Turkish Silviculture). J. Fac. For. Istanb. Univ. 1969, 19, 19–34. [Google Scholar]
- Orhan Sevgi, B.T.; Okan, T. (Eds.) Karaçam (Black Pine); Türkiye Ormancılar Derneği (The Foresters’ Association of Turkey): Ankara, Turkey, 2022. Available online: https://www.ormancilardernegi.org/Documents/986d94f8-f57c-4ecc-8d07-79e3e22233cd.pdf (accessed on 10 September 2025).
- Güner, D.; Özkan, K. Türkiye’deki karaçam ağaçlandırma alanlarında besin stoklarının belirlenmesi. Orman. Araştırma Derg. 2019, 6, 192–207. [Google Scholar] [CrossRef]
- Bulut, S.; Günlü, A.; Keles, S. Assessment of the interactions among net primary productivity, leaf area index and stand parameters in pure Anatolian black pine stands: A case study from Türkiye. For. Syst. 2023, 32, e003. [Google Scholar] [CrossRef]
- Stavi, I.; Xu, C.; Argaman, E. Climate-smart forestry in the world’s drylands: A review of challenges and opportunities. Anthr. Rev. 2024, 11, 67–90. [Google Scholar] [CrossRef]
- Stavi, I.; Islam, K.R.; Rahman, M.A.; Gusarov, Y.; Laham, J.; Comay, O.; Basson, U.; Xu, C.; Xu, Z.; Argaman, E. Unexpected consequences of afforestation in degraded drylands: Divergent impacts on soil and vegetation. J. Environ. Manag. 2023, 345, 118703. [Google Scholar] [CrossRef]
- Mongil-Manso, J.; Navarro-Hevia, J.; San Martín, R. Impact of land use change and afforestation on soil properties in a Mediterranean Mountain area of Central Spain. Land 2022, 11, 1043. [Google Scholar] [CrossRef]
- Vlasenko, M.V.; Rybashlykova, L.P.; Turko, S.Y. Restoration of degraded lands in the arid zone of the European part of Russia by the method of phytomelioration. Agriculture 2022, 12, 437. [Google Scholar] [CrossRef]
- Morazzo, G.; Riestra, D.; Leizica, E.; Álvarez, L.; Noellemeyer, E. Afforestation With Different Tree Species Causes a Divergent Evolution of Soil Profiles and Properties. Front. For. Glob. Veg. Eff. Soil Org. Matter For. Ecosyst. 2022, 4, 685827096. [Google Scholar]
- Hong, S.; Yin, G.; Piao, S.; Dybzinski, R.; Cong, N.; Li, X.; Wang, K.; Peñuelas, J.; Zeng, H.; Chen, A. Divergent responses of soil organic carbon to afforestation. Nat. Sustain. 2020, 3, 694–700. [Google Scholar] [CrossRef]
- Korkanç, S.Y. Effects of afforestation on soil organic carbon and other soil properties. Catena 2014, 123, 62–69. [Google Scholar] [CrossRef]
- Chen, L.-F.; He, Z.-B.; Zhu, X.; Du, J.; Yang, J.-J.; Li, J. Impacts of afforestation on plant diversity, soil properties, and soil organic carbon storage in a semi-arid grassland of northwestern China. Catena 2016, 147, 300–307. [Google Scholar] [CrossRef]
- Liu, X.; Yang, T.; Wang, Q.; Huang, F.; Li, L. Dynamics of soil carbon and nitrogen stocks after afforestation in arid and semi-arid regions: A meta-analysis. Sci. Total Environ. 2018, 618, 1658–1664. [Google Scholar] [CrossRef] [PubMed]
- Dong, X.; Tariq, A.; Graciano, C.; Zhang, Z.; Gao, Y.; Keyimu, M.; Cong, M.; Zhao, G.; Yan, J.; Wang, W. Afforestation-driven soil organic carbon stabilization in a hyper-arid desert: Nonlinear dynamics and microbial drivers across a 22-year chronosequence. Environ. Res. 2025, 282, 121989. [Google Scholar] [CrossRef]
- Cao, J.; Wei, C.; Adamowski, J.F.; Zhou, J.; Liu, C.; Zhu, G.; Dong, X.; Zhang, X.; Zhao, H.; Feng, Q. Could arid and semi-arid abandoned lands prove ecologically or economically valuable if they afford greater soil organic carbon storage than afforested lands in China’s Loess Plateau? Land Use Policy 2020, 99, 105027. [Google Scholar] [CrossRef]
- Segura, C.; Jiménez, M.; Nieto, O.; Navarro, F.; Fernández-Ondoño, E. Changes in soil organic carbon over 20 years after afforestation in semiarid SE Spain. For. Ecol. Manag. 2016, 381, 268–278. [Google Scholar] [CrossRef]
- Jia, X.; Wang, X.; Hou, L.; Wei, X.; Zhang, Y.; Shao, M.a.; Zhao, X. Variable response of inorganic carbon and consistent increase of organic carbon as a consequence of afforestation in areas with semiarid soils. Land Degrad. Dev. 2019, 30, 1345–1356. [Google Scholar] [CrossRef]
- Li, X.; Li, Y.; Xie, T.; Chang, Z.; Li, X. Recovery of soil carbon and nitrogen stocks following afforestation with xerophytic shrubs in the Tengger Desert, North China. Catena 2022, 214, 106277. [Google Scholar] [CrossRef]
- Gelfand, I.; Grünzweig, J.; Yakir, D. Slowing of nitrogen cycling and increasing nitrogen use efficiency following afforestation of semi-arid shrubland. Oecologia 2012, 168, 563–575. [Google Scholar] [CrossRef]
- Li, X.; Yang, H.; Shi, W.; Li, Y.; Guo, Q. Afforestation with xerophytic shrubs accelerates soil net nitrogen nitrification and mineralization in the Tengger Desert, Northern China. Catena 2018, 169, 11–20. [Google Scholar] [CrossRef]
- General Directorate of Forestry (GDF); Ankara Forest Regional Directorate; Nallıhan Forest Enterprise Directorate Nallıhan Forest Enterprise Chiefship. Functional Forest Management Plan 2012–2031; GDF: Ankara, Türkiye, 2012. [Google Scholar]
- General Directorate of Forestry (GDF); Ankara Forest Regional Directorate; Nallıhan Forest Enterprise Directorate Uluhan Forest Enterprise Chiefship. Functional Forest Management Plan 2012–2031; GDF: Ankara, Türkiye, 2012. [Google Scholar]
- Caudullo, G.; Welk, E.; San-Miguel-Ayanz, J. Chorological maps for the main European woody species. Data Brief 2017, 12, 662–666. [Google Scholar] [CrossRef]
- Atalay, I.; Efe, R. Structural and distributional evaluation of forest ecosystems in Turkey. J. Environ. Biol. 2010, 31, 61. [Google Scholar]
- Atalay, I.; Efe, R.; Öztürk, M. Ecology and classification of forests in Turkey. Procedia-Soc. Behav. Sci. 2014, 120, 788–805. [Google Scholar] [CrossRef]
- Turkish Climate According to Thornthwaite. Ministry of Environment, Urbanisation and Climate Change, Turkish State Meteorological Service [Image of Turkish Climate According to Thornthwaite]. Available online: https://www.mgm.gov.tr/iklim/iklim-siniflandirmalari.aspx (accessed on 7 June 2025).
- Aksoy, N. Karakiriş Dağı (Seben-Nallıhan) florası (Flora of Karakiriş Mountain (Seben-Nallıhan)). Düzce Üniversitesi Orman. Derg. 2009, 5, 104–125. [Google Scholar]
- Day, P.R. Particle fractionation and particle-size analysis. In Methods of Soil Analysis: Part 1 Physical and Mineralogical Properties, İncluding Statistics of Measurement and Sampling; The American Society of Agronomy, Inc.: Madison, WI, USA, 1965; Volume 9, pp. 545–567. [Google Scholar]
- Sparks, D.L.; Page, A.L.; Helmke, P.A.; Loeppert, R.H. Methods of Soil Analysis, Part 3: Chemical Methods; John Wiley & Sons: Hoboken, NJ, USA, 2020. [Google Scholar]
- Gee, G.W.; Bauder, J.W. Particle-size analysis. In Methods of Soil Analysis: Part 1 Physical and Mineralogical Methods, 2nd ed.; Klute, A., Ed.; American Society of Agronomy/Soil Science Society of America: Madison, WI, USA, 1986; Volume 5, pp. 383–411. [Google Scholar]
- Thomas, G.W. Soil pH and soil acidity. In Methods of Soil Analysis: Part 3 Chemical Methods; Sparks, D.L., Page, A.L., Helmke, P.A., Loeppert, R.H., Soltanpour, P.N., Tabatabai, M.A., Johnston, C.T., Sumner, M.E., Eds.; American Society of Agronomy/Soil Science Society of America: Madison, WI, USA, 1996; Volume 5, pp. 475–490. [Google Scholar]
- Rhoades, J. Salinity: Electrical conductivity and total dissolved solids. In Methods of Soil Analysis: Part 3 Chemical Methods; Soil Science Society of America Book Series, No. 5; Soil Science Society of America: Madison, WI, USA, 1996; Volume 5, pp. 417–435. [Google Scholar]
- Loeppert, R.H.; Suarez, D.L. Carbonate and gypsum. In Methods of Soil Analysis: Part 3 Chemical Methods; Soil Science Society of America Book Series, No. 5; Soil Science Society of America: Madison, WI, USA, 1996; Volume 5, pp. 437–474. [Google Scholar]
- Nelson, D.W.; Sommers, L.E. Total carbon, organic carbon and organic matter. In Methods of Soil Analysis, Part 3, 3rd ed.; Page., A.L., Ed.; SSSA, Book Ser. 5; Soil Science Society of America: Madison, WI, USA, 1996; pp. 961–1010. [Google Scholar]
- Gorbov, S.; Minaeva, E.; Tagiverdiev, S.; Skripnikov, P.; Nosov, G.; Besuglova, O. Comparison of Different Carbonate Methods for Determining Calcic Chernozems. Biol. Bull. 2024, 51 (Suppl. S3), S384–S394. [Google Scholar] [CrossRef]
- Sumner, M.E.; Miller, W.P. Cation exchange capacity and exchange coefficients. In Methods of Soil Analysis: Part 3 Chemical Methods; Soil Science Society of America Book Series, No. 5; Soil Science Society of America: Madison, WI, USA, 1996; Volume 5, pp. 1201–1229. [Google Scholar]
- Nelson, D.W.; Sommers, L.E. Total carbon, organic carbon, and organic matter. In Methods of Soil Analysis: Part 2 Chemical Microbiological Properties; Agronomy Monograph No. 9; American Society of Agronomy/Soil Science Society of America: Madison, WI, USA, 1982; Volume 9, pp. 539–579. [Google Scholar]
- Soil Total Carbon and Nitrogen by Dry Combustion. Version 1, Published 11 May 2022. Standard Operating Procedure. Soil Health Institute. Available online: https://soilhealthinstitute.org/app/uploads/2022/06/SOP_TCTN_drycombustion.pdf (accessed on 10 September 2025).
- SAS. SasInst. SAS/STAT Software: Changes and Enhancements for Release 6.12, SAS Inst.: Cary, CA, USA, 1996.
- Posit Software. RStudio: Integrated Development Environment for R. Posit Software, PBC: Boston, MA, USA, 2024. Available online: https://posit.co/ (accessed on 10 September 2025).
- The R Foundation. R: A Language and Environment for Statistical Computing; R Foundation for Statistical Computing: Vienna, Austria, 2021; Available online: https://www.R-project.org/ (accessed on 10 September 2025).
- Rosseel, Y. lavaan: An R Package for Structural Equation Modeling. J. Stat. Softw. 2012, 48, 1–36. [Google Scholar] [CrossRef]
- Wickham, H. ggplot2: Elegant Graphics for Data Analysis; Springer: New York, NY, USA, 2016; ISBN 978-3-319-24277-4. Available online: https://ggplot2.tidyverse.org (accessed on 10 September 2025).
- Csardi, G.; Nepusz, T. The Igraph Software Package for Complex Network Research. InterJournal, Complex Systems, 1695. 2006. Available online: https://igraph.org (accessed on 10 September 2025).
- Li, D.; Niu, S.; Luo, Y. Global patterns of the dynamics of soil carbon and nitrogen stocks following afforestation: A meta-analysis. New Phytol. 2012, 195, 172–181. [Google Scholar] [CrossRef]
- Dhiedt, E.; Verheyen, K.; De Smedt, P.; Ponette, Q.; Baeten, L. Early tree diversity and composition effects on topsoil chemistry in young forest plantations depend on site context. Ecosystems 2021, 24, 1638–1653. [Google Scholar] [CrossRef]
- Shen, Y.; Yu, Y.; Lucas-Borja, M.E.; Chen, F.; Chen, Q.; Tang, Y. Change of soil K, N and P following forest restoration in rock outcrop rich karst area. Catena 2020, 186, 104395. [Google Scholar] [CrossRef]
- Huebner, L.; Fadhil Al-Quraishi, A.M.; Branch, O.; Gaznayee, H.A. New approaches: Use of assisted natural succession in revegetation of inhabited arid drylands as alternative to large-scale afforestation. SN Appl. Sci. 2022, 4, 80. [Google Scholar] [CrossRef]
- Hamberg, J.; Robinson, D.T.; Trant, A.J.; Richardson, P.J.; Murphy, S.D. Direct topsoil transfer to already planted reforestation sites increases native plant understory and not ruderals. Restor. Ecol. 2024, 32, e14076. [Google Scholar] [CrossRef]
- Stavi, I. Seeking environmental sustainability in dryland forestry. Forests 2019, 10, 737. [Google Scholar] [CrossRef]
- Swanson, M.E.; Franklin, J.F.; Beschta, R.L.; Crisafulli, C.M.; DellaSala, D.A.; Hutto, R.L.; Lindenmayer, D.B.; Swanson, F.J. The forgotten stage of forest succession: Early-successional ecosystems on forest sites. Front. Ecol. Environ. 2011, 9, 117–125. [Google Scholar] [CrossRef]
- Prach, K.; Tichý, L.; Lencová, K.; Adámek, M.; Koutecký, T.; Sádlo, J.; Bartošová, A.; Novák, J.; Kovář, P.; Jírová, A. Does succession run towards potential natural vegetation? An analysis across seres. J. Veg. Sci. 2016, 27, 515–523. [Google Scholar] [CrossRef]
- West, D.C.; Shugart, H.H.; Botkin, D. Forest Succession: Concepts and Application; Springer Science & Business Media: Berlin/Heidelberg, Germany, 2012. [Google Scholar]
- Steele, R. The role of succession in forest health. In Assessing Forest Ecosystem Health in the İnland West; Routledge: Oxford, UK, 2018; pp. 183–190. [Google Scholar]
- Bonser, S.P.; Ladd, B. The evolution of competitive strategies in annual plants. Plant Ecol. 2011, 212, 1441–1449. [Google Scholar] [CrossRef]
- Wallace, H.L.; Good, J. Effects of afforestation on upland plant communities and implications for vegetation management. For. Ecol. Manag. 1995, 79, 29–46. [Google Scholar] [CrossRef]
- Walker, L.R.; Walker, J.; Hobbs, R.J. Linking Restoration and Ecological Succession; Springer: Berlin/Heidelberg, Germany, 2007; Volume 199. [Google Scholar]
- Yildiz, O.; Sarginci, M.; Eşen, D.; Cromack, K., Jr. Effects of vegetation control on nutrient removal and Fagus orientalis, Lipsky regeneration in the western Black Sea Region of Turkey. For. Ecol. Manag. 2007, 240, 186–194. [Google Scholar] [CrossRef]
- Hacisalihoglu, S. Semi-arid plantation by Anatolian black pine and its effects on soil erosion and soil properties. Turk. J. Agric.-Food Sci. Technol. 2018, 6, 500–507. [Google Scholar] [CrossRef]
- Batey, T. Soil compaction and soil management—A review. Soil Use Manag. 2009, 25, 335–345. [Google Scholar] [CrossRef]
- Yildiz, O.; Altundağ, E.; Çetin, B.; Teoman Güner, Ş.; Sarginci, M.; Toprak, B. Experimental arid land afforestation in Central Anatolia, Turkey. Environ. Monit. Assess. 2018, 190, 355. [Google Scholar] [CrossRef] [PubMed]
- ÇALIŞKAN, S.; Boydak, M. Afforestation of arid and semiarid ecosystems in Turkey. Turk. J. Agric. For. 2017, 41, 317–330. [Google Scholar] [CrossRef]
- Kara, O.; Babur, E.; Altun, L.; Seyis, M. Effects of afforestation on microbial biomass C and respiration in eroded soils of Turkey. J. Sustain. For. 2016, 35, 385–396. [Google Scholar] [CrossRef]
- Kantarcı, M.D. Toprak İlmi (Soil Science), 2nd ed.; İstanbul Üniversitesi Orman Fakültesi Yayınları Yayın No: 4261; Istanbul University: İstanbul, Türkiye, 2000. [Google Scholar]
- Cai, L.; Chen, X.; Huang, R.; Smettem, K. Runoff change induced by vegetation recovery and climate change over carbonate and non-carbonate areas in the karst region of South-west China. J. Hydrol. 2022, 604, 127231. [Google Scholar] [CrossRef]
- Choudhary, O.; Kharche, V.K. Soil salinity and sodicity. Soil Sci. Introd. 2018, 12, 353–384. [Google Scholar]
- Sumner, M.E. Sodic soils-New perspectives. Soil Res. 1993, 31, 683–750. [Google Scholar] [CrossRef]
- Singh, K.; Pandey, V.C.; Singh, B.; Singh, R. Ecological restoration of degraded sodic lands through afforestation and cropping. Ecol. Eng. 2012, 43, 70–80. [Google Scholar] [CrossRef]
- Moro, M.J.; Domingo, F.; EscarrÉ, A. Organic Matter and Nitrogen Cycles in a Pine Afforested Catchment with a Shrub Layer ofAdenocarpus decorticansandCistus laurifoliusin South-eastern Spain. Ann. Bot. 1996, 78, 675–685. [Google Scholar] [CrossRef][Green Version]
- Gentilesca, T.; Battipaglia, G.; Borghetti, M.; Colangelo, M.; Altieri, S.; Ferrara, A.M.; Lapolla, A.; Rita, A.; Ripullone, F. Evaluating growth and intrinsic water-use efficiency in hardwood and conifer mixed plantations. Trees 2021, 35, 1329–1340. [Google Scholar] [CrossRef]
- Kantarcı, M.; Özel, H.B.; Ertekin, M.; Kırdar, E. An assessment on the adaptation of 6 tree species to steppe habitat during Konya-Karapinar sand-dune afforestations. Bartın Orman Fakültesi Derg. 2011, 13, 107–127. [Google Scholar]
- Ayan, S.; Yücedag, C.; Simovski, B. A major tool for afforestation of semi-arid and anthropogenic steppe areas in Turkey: Pinus nigra JF Arnold subsp. pallasiana (Lamb.) Holmboe. J. For. Sci. 2021, 67, 449–463. [Google Scholar] [CrossRef]
- Kaya, Z.; Temerit, A. Genetic structure of marginally located Pinus nigra var pallasiana populations in central Turkey. Silvae Genet. 1994, 43, 272–276. [Google Scholar]
Pinus nigra subsp. salzmannii
Pinus nigra subsp. laricio
Pinus nigra subsp. nigra
Pinus nigra subsp. dalmatica
Pinus nigra subsp. pallasiana [48] and
study area (latitudes: 40°17′00″–40°13′00″ N and longitudes: 31°37′00″–31°09′00″ E) in Türkiye.
Pinus nigra subsp. salzmannii
Pinus nigra subsp. laricio
Pinus nigra subsp. nigra
Pinus nigra subsp. dalmatica
Pinus nigra subsp. pallasiana [48] and
study area (latitudes: 40°17′00″–40°13′00″ N and longitudes: 31°37′00″–31°09′00″ E) in Türkiye.










| Afforestation Year | Afforestation Age (~) | Solum (cm) | Coordinates (UTM) | Elevation (m) |
|---|---|---|---|---|
| 1968 | 50 | 100 | 40°17′21″ N 31°09′43″ E | 926 |
| 50 | 100 | 40°17′23″ N 31°09′42″ E | 950 | |
| 50 | 100 | 40°17′27″ N 31°09′43″ E | 944 | |
| 1973 | 40 | 100 | 40°14′04″ N 31°34′59″ E | 1086 |
| 40 | 100 | 40°14′01″ N 31°35′01″ E | 1077 | |
| 40 | 100 | 40°14′00″ N 31°35′00″ E | 1074 | |
| 1985 | 30 | 50 | 40°13′45″ N 31°35′52″ E | 1168 |
| 30 | 60 | 40°13′46″ N 31°35′52″ E | 1164 | |
| 30 | 50 | 40°13′47″ N 31°35′51″ E | 1163 | |
| 1996 | 20 | 50 | 40°13′15″ N 31°37′20″ E | 1193 |
| 20 | 80 | 40°13′14″ N 31°37′19″ E | 1184 | |
| 20 | 50 | 40°13′13″ N 31°37′18″ E | 1180 | |
| 2002 | 10 | 70 | 40°16′03″ N 31°34′25″ E | 1422 |
| 10 | 50 | 40°16′04″ N 31°34′27″ E | 1429 | |
| 10 | 50 | 40°16′05″ N 31°34′29″ E | 1430 |
Disclaimer/Publisher’s Note: The statements, opinions and data contained in all publications are solely those of the individual author(s) and contributor(s) and not of MDPI and/or the editor(s). MDPI and/or the editor(s) disclaim responsibility for any injury to people or property resulting from any ideas, methods, instructions or products referred to in the content. |
© 2025 by the authors. Licensee MDPI, Basel, Switzerland. This article is an open access article distributed under the terms and conditions of the Creative Commons Attribution (CC BY) license (https://creativecommons.org/licenses/by/4.0/).
Share and Cite
Sarginci, M.; Seçilmiş, A. Effects of Afforestation on Soil Organic Carbon and Nitrogen Stocks in the Long Term in Semi-Arid Regions of Türkiye. Forests 2025, 16, 1524. https://doi.org/10.3390/f16101524
Sarginci M, Seçilmiş A. Effects of Afforestation on Soil Organic Carbon and Nitrogen Stocks in the Long Term in Semi-Arid Regions of Türkiye. Forests. 2025; 16(10):1524. https://doi.org/10.3390/f16101524
Chicago/Turabian StyleSarginci, Murat, and Adem Seçilmiş. 2025. "Effects of Afforestation on Soil Organic Carbon and Nitrogen Stocks in the Long Term in Semi-Arid Regions of Türkiye" Forests 16, no. 10: 1524. https://doi.org/10.3390/f16101524
APA StyleSarginci, M., & Seçilmiş, A. (2025). Effects of Afforestation on Soil Organic Carbon and Nitrogen Stocks in the Long Term in Semi-Arid Regions of Türkiye. Forests, 16(10), 1524. https://doi.org/10.3390/f16101524

