Diversity Analysis of Macrofungi and Lichenised Fungi in Pyrenean Oak (Quercus pyrenaica Willd.) and Chestnut (Castanea sativa L.) Forests: Implications for the Conservation of Forest Habitats in Castilla y León (Central-Northwest Spain)
Abstract
1. Introduction
2. Materials and Methods
2.1. Study Area
2.2. Data Collection
2.3. Data Analysis
3. Results
3.1. Species Richness
3.2. Beta Diversity
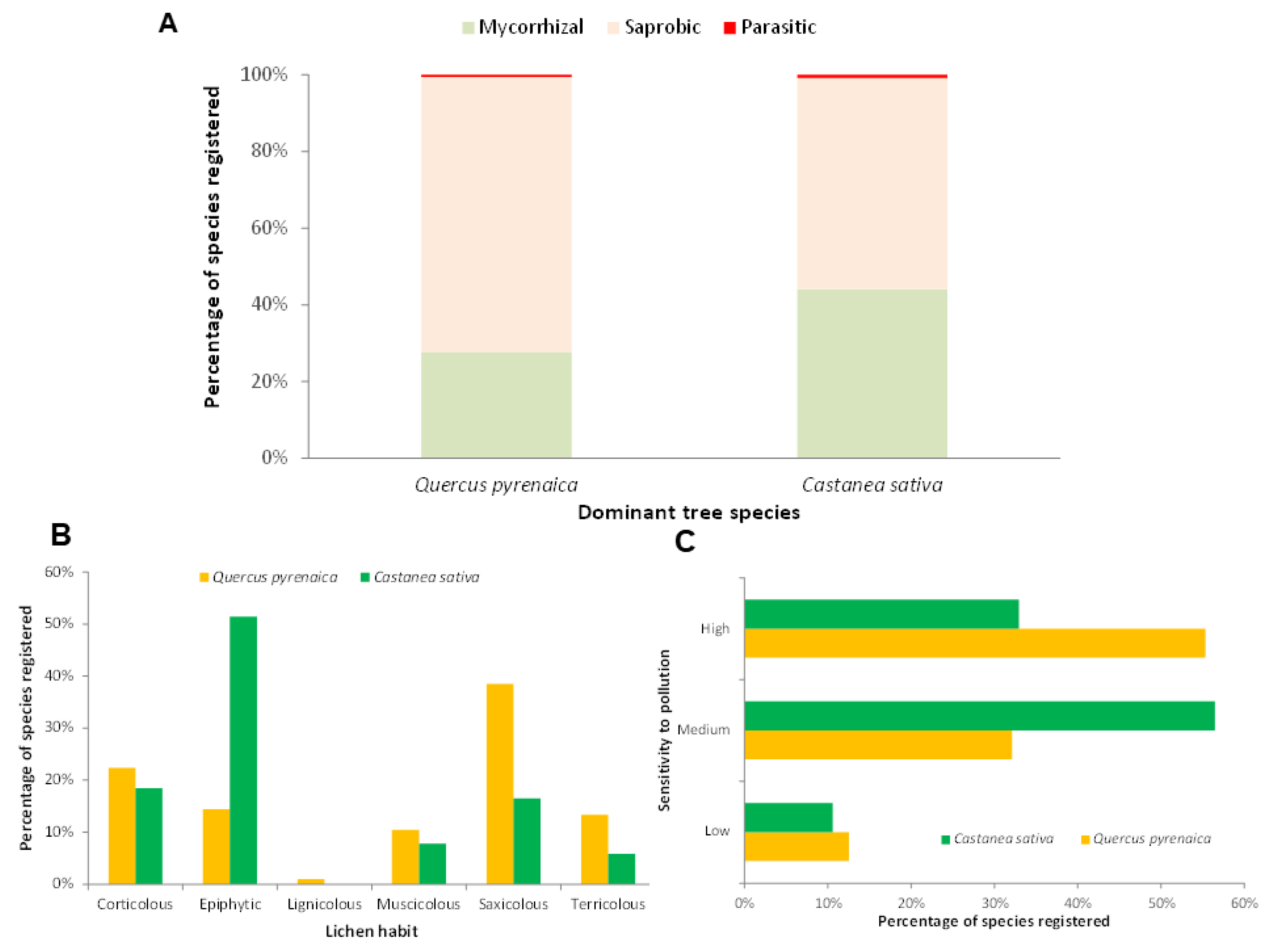
3.3. Macrofungi Lifestyle, Habit and Environmental Sensitivity of Lichenised Fungi
4. Discussion
5. Conclusions
Supplementary Materials
Author Contributions
Funding
Data Availability Statement
Conflicts of Interest
References
- Naranjo-Ortiz, M.A.; Gabaldón, T. Fungal evolution: Diversity, taxonomy and phylogeny of the Fungi. Biol. Rev. 2019, 94, 2101–2137. [Google Scholar] [CrossRef]
- Mueller, G.M.; Schmit, J.P.; Leacock, P.R.; Buyck, B.; Cifuentes, J.; Desjardin, D.E.; Halling, R.E.; Hjortstam, K.; Iturriaga, T.; Larsson, K.H.; et al. Global diversity and distribution of macrofungi. Biodivers. Conserv. 2007, 16, 37–48. [Google Scholar] [CrossRef]
- Lumbsch, H.T.; Leavitt, S.D. Goodbye morphology? A paradigm shift in the delimitation of species in lichenized fungi. Fungal Divers. 2011, 50, 59–72. [Google Scholar] [CrossRef]
- Sipman, H.J.; Aptroot, A. Where are the missing lichens? Mycol. Res. 2002, 105, 1433–1439. [Google Scholar] [CrossRef]
- Warnasuriya, S.D.; Udayanga, D.; Manamgoda, D.S.; Biles, C. Fungi as environmental bioindicators. Sci. Total Environ. 2023, 892, 164583. [Google Scholar] [CrossRef] [PubMed]
- Joimel, S.; Cortet, J.; Jolivet, C.C.; Saby, N.P.A.; Chenot, E.D.; Branchu, P.; Consalès, J.N.; Lefort, C.; Morel, J.L.; Schwartz, C. Physico-chemical characteristics of topsoil for contrasted forest, agricultural, urban and industrial land uses in France. Sci. Total Environ. 2016, 545, 40–47. [Google Scholar] [CrossRef]
- Zaghloul, A.; Saber, M.; Gadow, S. Biological indicators for pollution detection in terrestrial and aquatic ecosystems. Bull. Natl. Res. Cent. 2020, 44, 127. [Google Scholar] [CrossRef]
- Gerhardt, A. Bioindicator species and their use in biomonitoring. Environ. Monit. Assess. 2002, 1, 77–123. [Google Scholar]
- Holt, E.A.; Miller, S.W. Bioindicators: Using organisms to measure. Nature 2011, 3, 8–13. [Google Scholar]
- McGeoch, M.A. The selection, testing and application of terrestrial insects as bioindicators. Biol. Rev. 1998, 73, 181–201. [Google Scholar] [CrossRef]
- Puig-Gironès, R.; Real, J. A comprehensive but practical methodology for selecting biological indicators for long-term monitoring. PLoS ONE 2022, 17, e0265246. [Google Scholar] [CrossRef] [PubMed]
- Parmar, T.K.; Rawtani, D.; Agrawal, Y.K. Bioindicators: The natural indicator of environmental pollution. Front. Life Sci. 2016, 9, 110–118. [Google Scholar] [CrossRef]
- Stankovic, S.; Kalaba, P.; Stankovic, A.R. Biota as toxic metal indicators. Environ. Chem. Lett. 2014, 12, 63–84. [Google Scholar] [CrossRef]
- Soares, D.M.; Procópio, D.P.; Zamuner, C.K.; Nóbrega, B.B.; Bettim, M.R.; de Rezende, G.; Lopes, P.M.; Pereira, A.B.D.; Bechara, E.J.H.; Oliveira, A.G.; et al. Fungal bioassays for environmental monitoring. Front. Bioeng. Biotechnol. 2022, 10, 954579. [Google Scholar] [CrossRef]
- Lelli, C.; Bruun, H.H.; Chiarucci, A.; Donati, D.; Frascaroli, F.; Fritz, Ö.; Goldberg, I.; Nascimbene, J.; Tøttrup, A.P.; Rahbek, C.; et al. Biodiversity response to forest structure and management: Comparing species richness, conservation relevant species and functional diversity as metrics in forest conservation. For. Ecol. Manag. 2019, 432, 707–717. [Google Scholar] [CrossRef]
- Ristić, S.; Šajn, R.; Stamenković, S. Lichens as the Main Indicator in Biological Monitoring of Air Quality. In Contaminant Levels and Ecological Effects. Emerging Contaminants and Associated Treatment Technologies; Balabanova, B., Stafilov, T., Eds.; Springer: Cham, Switzerland, 2021; pp. 121–129. ISSN 2524-6410. [Google Scholar]
- Egli, S. Mycorrhizal mushroom diversity and productivity—An indicator of forest health? Ann. For. Sci. 2011, 68, 81–88. [Google Scholar] [CrossRef]
- Will-Wolf, S. Analyzing Lichen Indicator Data in the Forest Inventory and Analysis Program; US Department of Agriculture, Forest Service, Pacific Northwest Research Station: Portland, OR, USA, 2011; 61p, ISBN 978-1-5059-0726-1.
- Sánchez-Martínez, C.; Benito-Peñil, D.; García de Enterría, S.; Barajas-Castro, I.; Martín-Herrero, N.; Pérez-Ruiz, C.; Sánchez-Sánchez, J.; Sánchez-Agudo, J.A.; Rodríguez-de la Cruz, D.; Galante-Patiño, E. Manual de Gestión Sostenible de Bosques Abiertos Mediterráneos; Castilla Tradicional: Valladolid, Spain, 2012; pp. 68–79. ISBN 978-84-940714-0-9. [Google Scholar]
- Forestry Map of Spain (MFE), Spanish Ministry for the Ecological Transition and the Demographic Challenge. Available online: https://www.miteco.gob.es/es/cartografia-y-sig/ide/descargas/biodiversidad/mfe.aspx (accessed on 27 January 2023).
- ESRI. ArcGIS Desktop: Release 10.8; Environmental Systems Research Institute: Redlands, CA, USA, 2023. [Google Scholar]
- European Commission. Council Directive 92/43/EEC of 21 May 1992 on the conservation of natural habitats and of wild fauna and flora. Off. J. Eur. Union 1992, L206, 50. [Google Scholar]
- European Commission. Council Directive 2007/2/EC of the European Parliament and of the Council of 14 March 2007 establishing an Infrastructure for Spatial Information in the European Community (INSPIRE). Off. J. Eur. Union 2007, L108, 1. [Google Scholar]
- GBIF.org. GBIF Occurrence Download. Available online: https://www.gbif.org/occurrence/download/0088666-230530130749713 (accessed on 5 January 2023).
- GBIF Data Standards. Available online: https://www.gbif.org/standards (accessed on 5 January 2023).
- CABI Index Fungorum. Available online: http://www.indexfungorum.org/names/names.asp (accessed on 8 May 2023).
- Belguidoum, A.; Lograda, T.; Ramdani, M. Diversity and distribution of epiphytic lichens on Cedrus atlantica and Quercus faginea in Mount Babor Forest, Algeria. Biodiversitas 2021, 22, 887–899. [Google Scholar] [CrossRef]
- Fernández Ruiz, A.; Rodríguez de la Cruz, D.; Vicente Villardón, J.L.; Sánchez Durán, S.; García Jiménez, P.; Sánchez Sánchez, J. Considerations on Field Methodology for Macrofungi Studies in Fragmented Forests of Mediterranean Agricultural Landscapes. Agronomy 2022, 12, 528. [Google Scholar] [CrossRef]
- Eyssartier, G.; Roux, P. Le Guide des Champignons France et Europe; Éditions Belin: Paris, France, 2017; 1152p, ISBN 978-2-410-01042-8. [Google Scholar]
- Salcedo, I. Diversidad taxonómica y funcional de los hongos. Artikutza 2019, 100, 151–175. [Google Scholar]
- Barreno Rodríguez, E.; Pérez-Ortega, S. Líquenes de la Reserva Natural Integral de Muniellos, Asturias; KRK: Oviedo, Spain, 2003; 595p, ISBN 84-96119-36-X. [Google Scholar]
- Martellos, S.; Conti, M.; Nimis, P.L. Agregación de datos de líquenes italianos en ITALIC 7.0. Rev. De Hongos 2023, 9, 556. [Google Scholar]
- Maceda-Veiga, A.; Gómez-Bolea, A. Small, fragmented native oak forests have better preserved epiphytic lichen communities than tree plantations in a temperate sub-oceanic Mediterranean climate region. Bryologist 2017, 120, 191–201. [Google Scholar] [CrossRef]
- Santos-Silva, C.; Natário, B.; Andrade, J.; Louro, R. Serra de São Mamede Natural Park, a macrofungal diversity hotspot in the Mediterranean region. Check List 2022, 18, 109–137. [Google Scholar] [CrossRef]
- Baptista, P.; Sousa, M.J.; Dias, R.; Matos, M.; Rodrigues, P.; Martins, A. Macrofungi from Castanea sativa Mill. and Quercus pyrenaica Wild.: Evaluation of mycorrhizal vs nonmycorrhizal fungi biodiversity—Project AGRO 689. In Proceedings of the 5th International Conference on Mycorrhiza (ICOM5), Granada, Spain, 23–27 July 2006. [Google Scholar]
- Toljander, J.F.; Eberhardt, U.; Toljander, Y.K.; Paul, L.R.; Taylor, A.F. Species composition of an ectomycorrhizal fungal community along a local nutrient gradient in a boreal forest. New Phytol. 2006, 170, 873–884. [Google Scholar] [CrossRef]
- Yu, H.; Wang, T.; Skidmore, A.; Heurich, M.; Bässler, C. How future climate and tree distribution changes shape the biodiversity of macrofungi across Europe. Divers. Distrib. 2023, 29, 666–682. [Google Scholar] [CrossRef]
- González-Montelongo, C.; Pérez-Vargas, I. Is an invasive alien tree able to sustain a similar lichen diversity as the native forest? The case of the sweet chestnut (Castanea sativa Mill.) and the laurel forest in Macaronesia. For. Ecol. Manag. 2021, 488, 119009. [Google Scholar] [CrossRef]
- Collado, E.; Bonet, J.A.; Alday, J.G.; de Aragón, J.M.; De-Miguel, S. Impact of forest thinning on aboveground macrofungal community composition and diversity in Mediterranean pine stands. Ecol. Indic. 2021, 133, 108340. [Google Scholar] [CrossRef]
- Nascimbene, J.; Thor, G.; Nimis, P.L. Effects of forest management on epiphytic lichens in temperate deciduous forests of Europe–A review. For. Ecol. Manag. 2013, 298, 27–38. [Google Scholar] [CrossRef]
- Vilches de la Serna, B.; Sánchez-Mata, D.; Gavilán, R.G. Marcescent Quercus pyrenaica forest on the Iberian Peninsula. In Vegetation Structure and Function at Multiple Spatial, Temporal and Conceptual Scales; Box, E.O., Ed.; Springer International Publishing: Berlin/Heidelberg, Germany, 2016; pp. 257–283. ISSN 2198-2562. [Google Scholar]
- Fernandes, M.R.; Aguiar, F.C.; Ferreira, M.T. Assessing riparian vegetation structure and the influence of land use using landscape metrics and geostatistical tools. Landsc. Urban Plan. 2011, 99, 166–177. [Google Scholar] [CrossRef]
- Baptista, P.; Martins, A.; Tavares, R.M.; Lino-Neto, T. Diversity and fruiting pattern of macrofungi associated with chestnut (Castanea sativa) in the Trás-os-Montes region (Northeast Portugal). Fungal Ecol. 2010, 3, 9–19. [Google Scholar] [CrossRef]
- Richard, F.; Moreau, P.A.; Selosse, M.A.; Gardes, M. Diversity and fruiting patterns of ectomycorrhizal and saprobic fungi in an old-growth Mediterranean forest dominated by Quercus ilex L. Can. J. Bot. 2004, 82, 1711–1729. [Google Scholar] [CrossRef]
- Blom, J.M.; Vannini, A.; Vettraino, A.M.; Hale, M.D.; Godbold, D.L. Ectomycorrhizal community structure in a healthy and a Phytophthora-infected chestnut (Castanea sativa Mill.) stand in central Italy. Mycorrhiza 2009, 20, 25–38. [Google Scholar] [CrossRef] [PubMed]
- Branco, S.; Baptista, P.; Martins, A.; Rodrigues, A.P. Estudo da comunidade macrofúngica associada a Quercus pyrenaica Willd. no Parque Natural de Montesinho. In Proceedings of the VII Congresso Luso-Galaico de Macromicologia. Macrofungos: Diversidade e Biotecnología, Vila Real, Portugal, 13–15 October 2005. [Google Scholar]
- Núñez, V.; Hernando, A.; Velázquez, J.; Tejera, R. Livestock management in Natura 2000: A case study in a Quercus pyrenaica neglected coppice forest. J. Nat. Conserv. 2012, 20, 1–9. [Google Scholar] [CrossRef]
- García Jiménez, P.; Fernández Ruiz, A.; Sánchez Sánchez, J.; Rodríguez de la Cruz, D. Mycological Indicators in Evaluating Conservation Status: The Case of Quercus spp. Dehesas in the Middle-West of the Iberian Peninsula (Spain). Sustainability 2020, 12, 10442. [Google Scholar] [CrossRef]
- Fernández, A.; Sánchez, S.; García, P.; Sánchez, J. Macrofungal diversity in an isolated and fragmented Mediterranean Forest ecosystem. Plant Biosyst. 2020, 154, 139–148. [Google Scholar] [CrossRef]
- Martin-Pinto, P.; Sanz-Benito, I.; Santos, M.; Oria-de-Rueda, J.A.; Geml, J. Anthropological impacts determine the soil fungal distribution of Mediterranean oak stands. Ecol. Indic. 2021, 132, 108343. [Google Scholar] [CrossRef]
- Zhang, K.; Cheng, X.; Shu, X.; Liu, Y.; Zhang, Q. Linking soil bacterial and fungal communities to vegetation succession following agricultural abandonment. Plant Soil 2018, 431, 19–36. [Google Scholar] [CrossRef]
- Anthony, M.A.; Crowther, T.W.; Van Der Linde, S.; Suz, L.M.; Bidartondo, M.I.; Cox, F.; Schaub, M.; Rautio, P.; Ferretti, M.; Vesterdal, L.; et al. Forest tree growth is linked to mycorrhizal fungal composition and function across Europe. ISME J. 2022, 16, 1327–1336. [Google Scholar] [CrossRef] [PubMed]
- Domínguez-Núñez, J.A.; Oliet, J.A. Management of mushroom resources in Spanish forests: A review. Forestry 2023, 96, 135–154. [Google Scholar] [CrossRef]
- Rubio, A. 9260 Bosques de Castanea sativa. In Bases Ecológicas Preliminares Para la Conservación de los Tipos de Hábitat de Interés Comunitario en España; Dirección General de Medio Natural y Política Forestal, Ministerio de Medio Ambiente, y Medio Rural y Marino, Ed.; Ministerio de Medio Ambiente, y Medio Rural y Marino: Madrid, Spain.
- Djemiel, C.; Dequiedt, S.; Horrigue, W.; Bailly, A.; Lelièvre, M.; Tripied, J.; Guilland, C.; Perrin, S.; Comment, G.; Saby, N.P.A.; et al. Unraveling biogeographical patterns and environmental drivers of soil fungal diversity at the French national scale. SOIL 2023, 10, 251–273. [Google Scholar] [CrossRef]
- Sanz, A.; Fernández Ruiz, A.; García Jiménez, P.; Sánchez Sánchez, J.; Rodríguez de la Cruz, D. Estudio preliminar de la diversidad de macrohongos en El Monte de Villoria (Salamanca, España). Bot. Compl. 2022, 46, e80421. [Google Scholar] [CrossRef]
- Nascimbene, J.; Lazzaro, L.; Benesperi, R. Patterns of β-diversity and similarity reveal biotic homogenization of epiphytic lichen communities associated with the spread of black locust forests. Fungal Ecol. 2015, 14, 1–7. [Google Scholar] [CrossRef]
- Brunialti, G.; Giordani, P.; Ravera, S.; Frati, L. The reproductive strategy as an important trait for the distribution of lower-trunk epiphytic lichens in old-growth vs. non-old growth forests. Forests 2020, 12, 27. [Google Scholar] [CrossRef]
- Baselga, A.; Jiménez-Valverde, A. Environmental and geographical determinants of beta diversity of leaf beetles (Coleoptera: Chrysomelidae) in the Iberian Peninsula. Ecol. Entomol. 2007, 32, 312–318. [Google Scholar] [CrossRef]
- Moreno, G. Setas Micorrrizógenas, Parásitas y Saprófitas; Una Forma de Valorar el Impacto Ambiental en Nuestros Bosques; Congress Communication: Laredo, Spain, 1996. [Google Scholar]
- Aragón, G.; Martínez, I.; Izquierdo, P.; Belinchón, R.; Escudero, A. Effects of forest management on epiphytic lichen diversity in Mediterranean forests. Appl. Veg. Sci. 2010, 13, 183–194. [Google Scholar] [CrossRef]
- Wolseley, P.A.; Stofer, S.; Mitchell, R.; Truscott, A.M.; Vanbergen, A.; Chimonides, J.; Scheidegger, C. Variation of lichen communities with landuse in Aberdeenshire, UK. Lichenologist 2006, 38, 307–322. [Google Scholar] [CrossRef]
- Király, I.; Nascimbene, J.; Tinya, F.; Ódor, P. Factors influencing epiphytic bryophyte and lichen species richness at different spatial scales in managed temperate forests. Biodivers. Conserv. 2013, 22, 209–223. [Google Scholar] [CrossRef]
- Belinchón, R.; Martínez, I.; Escudero, A.; Aragón, G.; Valladares, F. Edge effects on epiphytic communities in a Mediterranean Quercus pyrenaica forest. J. Veg. Sci. 2007, 18, 81–90. [Google Scholar] [CrossRef]
- Tzenkova, A.; Ivancheva, J. Climate and microclimate in the region of the chestnut forests along the northern slopes of Belasitza Mountain. In Proceedings of the Sustainable Management of Sweet Chestnut Ecosystems-CAST Bul, Blagoevgrad, Bulgaria, 2–5 November 2005; pp. 37–44. [Google Scholar]
- Nascimbene, J.; Ylisirniö, A.L.; Pykälä, J.; Giordani, P. Lichens: Sensitive indicators of changes in the forest environment. In Integrative approaches as an opportunity for the conservation of forest biodiversity; Kraus, D., Krumm, F., Eds.; European Forest Institute: Joensuu, Finland, 2013; pp. 180–185. [Google Scholar]
- Paoli, L.; Fačkovcová, Z.; Lackovičová, A.; Guttová, A. Air pollution in Slovakia (Central Europe): A story told by lichens (1960–2020). Biologia 2021, 76, 3235–3255. [Google Scholar] [CrossRef]
- Aprile, G.G.; Catalano, I.; Migliozzi, A.; Mingo, A. Monitoring epiphytic lichen biodiversity to detect environmental quality and air pollution: The case study of Roccamonfina Park (Campania Region–Italy). Air Pollut. New Dev. 2011, 10, 179007. [Google Scholar]
- Roces-Diaz, J.V.; Díaz-Varela, E.R.; Barrio-Anta, M.; Álvarez-Álvarez, P. Sweet chestnut agroforestry systems in North-western Spain: Classification, spatial distribution and an ecosystem services assessment. For. Syst. 2018, 27, 10. [Google Scholar] [CrossRef]



| Forest | BioR | Nplot | Has | Age (in %) | Other Trees | ||
|---|---|---|---|---|---|---|---|
| <30 Years | 30–70 Years | >70 Years | |||||
| Pyrenean oak | Med | 18,116 | 449,384 | 7.55 | 56.90 | 35.66 | Quercus ilex L., Pinus pinaster Ait., Castanea sativa, Pinus sylvestris L. |
| At | 4460 | 96,006 | 13.69 | 57.72 | 28.68 | Quercus petraea (Matt.) Liebl., Betula pendula Roth., Castanea sativa, Fagus sylvatica L. | |
| Chestnut | Med | 1094 | 15,499 | 3.84 | 14.01 | 82.17 | Quercus pyrenaica, Quercus ilex, Pinus pinaster |
| At | 305 | 4013 | 0.08 | 3.42 | 98.50 | Quercus pyrenaica, Betula pendula, Quercus robur L. | |
| Macrofungi | Lichenised Fungi | ||
|---|---|---|---|
| Pyrenean Oak | Chestnut | Pyrenean Oak | Chestnut |
| Peniophora quercina (Pers.) Cooke (26) | Hymenochaete rubiginosa (Dicks.) Lév. (5) | Parmelia sulcata Taylor (137) | Evernia prunastri (14) |
| Athelia epiphylla Pers. (22) | Amanita muscaria (4) | Evernia prunastri (L.) Ach. (108) | Parmelia sulcata (12) |
| Peniophorella praetermissa (P. Karst.) K.H. Larss. (17) | Hygrophoropsis aurantiaca (Wulfen) Maire ex Martin-Sans (4) | Physconia distorta (With.) J.R. Laundon (95) | Lepra albescens (10) |
| Botryobasidium subcoronatum (Höhn. & Litsch.) Donk (16) | Hyphoderma anthracophilum (Bourdot) Jülich (4) | Parmelina tiliacea (Hoffm.) Hale (88) | Hypogymnia physodes (L.) Nyl. (8) |
| Ramaria formosa (Pers.) Quél. (16) | Phanerochaete sordida (4) | Ramalina fraxinea (L.) Ach. (86) | Melanelixia glabra (7) |
| Phanerochaete sordida (P. Karst.) J. Erikss. & Ryvarden (15) | Amanita pantherina (DC.) Krombh. (3) | Lecanora chlarotera Nyl. (78) | Melanohalea exasperata (6) |
| Auriscalpium vulgare Gray(14) | Byssomerulius corium (Pers.) Parmasto (3) | Lepra albescens (Huds.) Hafellner (75) | Pertusaria flavida (DC.) J.R. Laundon (6) |
| Rhizopogon roseolus (Corda) Th. Fr. (13) | Fistulina hepatica (Schaeff.) With. (3) | Pseudevernia furfuracea (L.) Zopf (75) | Hypocenomyce scalaris (Ach.) M. Choisy (5) |
| Stereum hirsutum (Willd.) Pers. (13) | Lyomyces crustosus (Pers.) P. Karst. (3) | Physcia aipolia (Ehrh. ex Humb.) Fürnr. (70) | Lecanora chlarotera (5) |
| Efibula tuberculata (P. Karst.) Zmitr. & Spirin (12) | Peniophora quercina (3) | Ramalina farinacea (L.) Ach. (65) | Lobarina scrobiculata (Scop.) Nyl. (5) |
| Mycena polygramma (Bull.) Gray (11) | Radulomyces confluens (Fr.) M.P. Christ. (3) | Xanthoria parietina (L.) Th. Fr. (60) | Nephroma laevigatum (5) |
| Phanerochaete velutina (DC.) P. Karst. (11) | Stereum hirsutum (13) | Melanelixia glabra (Schaer.) O. Blanco, A. Crespo, Divakar, Essl., D. Hawksw. & Lumbsch (59) | Pertusaria pertusa (L.) Tuck. (4) |
| Amanita muscaria (L.) Lam. (10) | Trametes versicolor (3) | Melanohalea exasperata (De Not.) O. Blanco, A. Crespo, Divakar, Essl., D. Hawksw. & Lumbsch (55) | Physconia distorta (4) |
| Amphinema byssoides (Pers.) J. Erikss. (10) | Amanita gemmata (Fr.) Bertill. (2) | Peltigera collina (Ach.) Schrad. (51) | Ramalina farinacea (4) |
| Trametes versicolor (L.) Lloyd (9) | Amanita rubescens Pers. (2) | Nephroma laevigatum Ach. (50) | Lecanora intumescens (Rebent.) Rabenh. (3) |
| Forest Type | Fungal Group | SpAt | SpMed | SC | Is |
|---|---|---|---|---|---|
| Pyrenean oak | Macrofungi | 240 | 408 | 88 | 0.27 |
| Lichenised fungi | 284 | 433 | 191 | 0.53 | |
| Chestnut | Macrofungi | 2 | 126 | 1 | 0.01 |
| Lichenised fungi | 24 | 76 | 15 | 0.30 |
Disclaimer/Publisher’s Note: The statements, opinions and data contained in all publications are solely those of the individual author(s) and contributor(s) and not of MDPI and/or the editor(s). MDPI and/or the editor(s) disclaim responsibility for any injury to people or property resulting from any ideas, methods, instructions or products referred to in the content. |
© 2024 by the authors. Licensee MDPI, Basel, Switzerland. This article is an open access article distributed under the terms and conditions of the Creative Commons Attribution (CC BY) license (https://creativecommons.org/licenses/by/4.0/).
Share and Cite
Rodríguez-de la Cruz, D.; Perfecto-Arribas, S.; Delgado-Sánchez, L. Diversity Analysis of Macrofungi and Lichenised Fungi in Pyrenean Oak (Quercus pyrenaica Willd.) and Chestnut (Castanea sativa L.) Forests: Implications for the Conservation of Forest Habitats in Castilla y León (Central-Northwest Spain). Forests 2025, 16, 9. https://doi.org/10.3390/f16010009
Rodríguez-de la Cruz D, Perfecto-Arribas S, Delgado-Sánchez L. Diversity Analysis of Macrofungi and Lichenised Fungi in Pyrenean Oak (Quercus pyrenaica Willd.) and Chestnut (Castanea sativa L.) Forests: Implications for the Conservation of Forest Habitats in Castilla y León (Central-Northwest Spain). Forests. 2025; 16(1):9. https://doi.org/10.3390/f16010009
Chicago/Turabian StyleRodríguez-de la Cruz, David, Sonia Perfecto-Arribas, and Luis Delgado-Sánchez. 2025. "Diversity Analysis of Macrofungi and Lichenised Fungi in Pyrenean Oak (Quercus pyrenaica Willd.) and Chestnut (Castanea sativa L.) Forests: Implications for the Conservation of Forest Habitats in Castilla y León (Central-Northwest Spain)" Forests 16, no. 1: 9. https://doi.org/10.3390/f16010009
APA StyleRodríguez-de la Cruz, D., Perfecto-Arribas, S., & Delgado-Sánchez, L. (2025). Diversity Analysis of Macrofungi and Lichenised Fungi in Pyrenean Oak (Quercus pyrenaica Willd.) and Chestnut (Castanea sativa L.) Forests: Implications for the Conservation of Forest Habitats in Castilla y León (Central-Northwest Spain). Forests, 16(1), 9. https://doi.org/10.3390/f16010009

