Structural Yield of Fast-Growing Hardwood vs. Softwood Glulam Beams
Abstract
1. Introduction
2. Materials and Methods
2.1. Structural Sawn Timber
2.2. Lamellas and Finger-Joint Testing
2.3. Glulam
3. Results and Discussion
3.1. Sawn Timber
3.1.1. Relations Between Visual Grades and Strength Classes for Pine
3.1.2. Relations Between Visual Grades and Strength Classes for Eucalyptus
3.1.3. Machine Grading
3.1.4. Sawn Timber Performance
3.2. Lamellas
3.2.1. Failure Mode of the Finger Joints
3.2.2. Strength
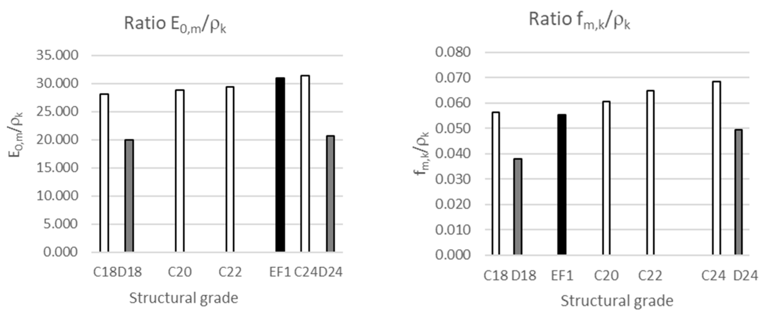
3.3. Glulam Strength Class Assignment
3.3.1. Failure Mode of GLT Beams
3.3.2. Strength Class Assignment from Sawn Timber
3.3.3. Strength Class Assignment from Full-Scale Glulam Bending Tests
4. Conclusions
Author Contributions
Funding
Data Availability Statement
Acknowledgments
Conflicts of Interest
References
- Hurtado, C.M.; Sierra, M.A. Professional Workshop in Wood: Structural Efficiency Index for Architecture Students. In Proceedings of the World Conference on Timber Engineering (WCTE 2023), Oslo, Norway, 19–22 June 2023; pp. 4611–4618. [Google Scholar]
- Basterra, L.-A.; Baño, V.; López, G.; Cabrera, G.; Vallelado-Cordobés, P. Identification and Trend Analysis of Multistorey Timber Buildings in the SUDOE Region. Buildings 2023, 13, 1501. [Google Scholar] [CrossRef]
- Churkina, G.; Organschi, A.; Reyer, C.P.O.; Ruff, A.; Vinke, K.; Liu, Z.; Reck, B.K.; Graedel, T.E.; Schellnhuber, H.J. Buildings as a Global Carbon Sink. Nat. Sustain. 2020, 3, 269–276. [Google Scholar] [CrossRef]
- Baño, V.; Kies, U.; Romih, P.; Garcia-Jaca, J. Overview of Strategies and Innovations in the European Wood Sector. In Proceedings of the Wood Policy and Innovation Conference 2024: Europe’s Wood Sector as a Driver for the Green and Digital Transition of the Built Environment (WPIC 2024), Tecnalia Research and Innovation & InnovaWood, Brussels, Belgium, 7 November 2024. [Google Scholar]
- Haisma, R.; Den Boer, E.; Rohmer, M.; Schouten, N.; Björck, C.; Sierra García, M. Impact Scan For Timber Construction In Europe; Metabolic: Amsterdam, The Netherlands, 2023. [Google Scholar]
- Leskinen, P.; Cardellini, G.; González-García, S.; Hurmekoski, E.; Sathre, R.; Seppälä, J.; Smyth, C.; Stern, T.; Verkerk, P.J. Substitution Effects of Wood-Based Products in Climate Change Mitigation; European Forest Institute: Joensuu, Finland, 2018. [Google Scholar]
- Iejavs, J.; Skele, K.; Grants, E.; Uzuls, A. Bonding Performance of Wood of Fast-Growing Tree Species Eucalyptus (Eucalyptus Grandis) and Radiata Pine (Pinus Radiata D.Don) with Polyvinyl Acetate and Emulsion Polymer Isocyanate Adhesives. Agron. Res. 2022, 20, 174–187. [Google Scholar] [CrossRef]
- Buehlmann, U.; Bumgardner, M.; Alderman, D. Recent Developments in US Hardwood Lumber Markets and Linkages to Housing Construction. Curr. For. Rep. 2017, 3, 213–222. [Google Scholar] [CrossRef]
- Forest Europe/UNECE/FAO. State of Europe’s Forests 2020; Forest Europe: Zvolen, Slovakia, 2021. [Google Scholar]
- Cramer, M. The Challenge of Strength Grading UK Hardwoods. Bull. Transilv. Univ. Brasov. Ser. II For. Wood Ind. Agric. Food Eng. 2023, 16, 39–52. [Google Scholar] [CrossRef]
- Wang, D.; Zhang, M.; Gong, M.; Chui, Y.-H. Evaluation of Major Physical and Mechanical Properties of Trembling Aspen Lumber. Materials 2024, 17, 2952. [Google Scholar] [CrossRef]
- Liang, Y.; Taoum, A.; Kotlarewski, N.; Chan, A.; Holloway, D. Investigating Vibration Characteristics of Cross-Laminated Timber Panels Made from Fast-Grown Plantation Eucalyptus Nitens under Different Support Conditions. Buildings 2024, 14, 831. [Google Scholar] [CrossRef]
- Martins, C.; Moltini, G.; Dias, A.M.P.G.; Baño, V. Machine Grading of High-Density Hardwoods (Southern Blue Gum) from Tensile Testing. Forests 2023, 14, 1623. [Google Scholar] [CrossRef]
- Leggate, W.; McGavin, R.L.; Outhwaite, A.; Gilbert, B.P.; Gunalan, S. Barriers to the Effective Adhesion of High-Density Hardwood Timbers for Glue-Laminated Beams in Australia. Forests 2022, 13, 1038. [Google Scholar] [CrossRef]
- MGAP. Anuario Estadístico Agropecuario 2023. Sección 10. Producción Vegetal: Forestación (Agricultural Statistical Yearbook 2023. Section 10. Forests); MGAP: Montevideo, Uruguay, 2023. [Google Scholar]
- UNIT 1261; Madera Aserrada de Uso Estructural—Clasificación Visual—Madera de Pino Taeda y Pino Ellioti (Pinus Taeda y Pinus Elliottii). UNIT: Montevideo, Uruguay, 2018. Available online: https://www.unit.org.uy/normalizacion/norma/100000912 (accessed on 3 December 2024).
- UNIT 1262; Madera Aserrada de Uso Estructural—Clasificación Visual—Madera de Eucalipto (Eucalyptus Grandis). UNIT: Montevideo, Uruguay, 2018. Available online: https://www.unit.org.uy/normalizacion/norma/100000942 (accessed on 3 December 2024).
- Moya, L.; Domenech, L.; Cardoso, A.; Oneill, H.; Baño, V. Proposal of Visual Strength Grading Rules for Uruguayan Pine Timber. Eur. J. Wood Wood Prod. 2017, 75, 1017–1019. [Google Scholar] [CrossRef]
- Moya, L.; Cardoso, A.; Cagno, M.; O’Neill, H. Caracterización Estructural de Madera Aserrada de Pinos Cultivados En Uruguay. Maderas. Cienc. Y Tecnol. 2015, 17, 597–612. [Google Scholar] [CrossRef]
- Moya, L.; Pérez Gomar, C.; Vega, A.; Sánchez, A.; Torino, I.; Baño, V. Relación Entre Parámetros de Producción y Propiedades Estructurales de Madera Laminada Encolada de Eucalyptus Grandis. Maderas. Cienc. Y Tecnol. 2019, 21, 327–340. [Google Scholar] [CrossRef]
- Castro, G.; Paganini, F. Mixed Glued Laminated Timber of Poplar and Eucalyptus Grandis Clones. Holz. Roh. Werkst. 2003, 61, 291–298. [Google Scholar] [CrossRef]
- Baño, V.; Domenech, L.; Mazzey, C.; Vieillard, T.; Journot, J.B. Hardwood Glulam in Complex Structures: Design and Construction of the MACA Museum in Uruguay. In Proceedings of the Proceedings from the 13th World Conference on Timber Engineering 2023, Oslo, Norway, 19–22 June 2023; p. 4730. [Google Scholar]
- MVOT. Hoja de Ruta Para La Construcción de Vivienda Social de Madera En Uruguay (Roadmap for the Timber Construction Social Housing in Uruguay); MVOT: Montevideo, Uruguay, 2022. [Google Scholar]
- MEVIR. El Hornero Edición Digital No 6; MEVIR: Montevideo, Uruguay, 2024; pp. 6–7. [Google Scholar]
- Uzelac Glavinic, I.; Boko, I.; Toric, N.; Louvric Vrankovic, J. Application of Hardwood for Glued Laminated Timber in Europe. J. Croat. Assoc. Civ. Eng. 2020, 72, 607–616. [Google Scholar] [CrossRef]
- Adhikari, S.; Bond, B.; Quesada, H. Producing Structural Grade Hardwood Lumber as a Raw Material for Cross-Laminated Timber: Yield and Economic Analysis. Bioresources 2023, 19, 23–40. [Google Scholar] [CrossRef]
- Tsiaras, S.; Chavenetidou, M.; Koulelis, P.P. A Multiple Criteria Decision Analysis Approach for Assessing the Quality of Hardwood Species Used by Greek Timber Industries. Folia Oecologica 2024, 51, 109–119. [Google Scholar] [CrossRef]
- Nezu, I.; Ishiguri, F.; Ohshima, J.; Yokota, S. Relationship between the Xylem Maturation Process Based on Radial Variations in Wood Properties and Radial Growth Increments of Stems in a Fast-Growing Tree Species, Liriodendron Tulipifera. J. Wood Sci. 2022, 68, 48. [Google Scholar] [CrossRef]
- Bal, B.C. Some Technological Properties of Laminated Veneer Lumber Produced with Fast-Growing Poplar and Eucalyptus. Maderas. Cienc. Y Tecnol. 2016, 18, 413–424. [Google Scholar] [CrossRef]
- Moya, R.; Muñoz, F. Physical and Mechanical Properties of Eight Fast-Growing Plantation Species in Costa Rica. J. Trop. For. Sci. 2010, 22, 317–328. [Google Scholar]
- Resquin, F.; Baez, K.; de Freitas, S.; Passarella, D.; Coelho-Duarte, A.P.; Rachid-Casnati, C. Impact of Thinning on the Yield and Quality of Eucalyptus Grandis Wood at Harvest Time in Uruguay. Forests 2024, 15, 810. [Google Scholar] [CrossRef]
- Bussoni, A.; Cabris, J. A Financial Evaluation of Two Contrasting Silvicultural Systems Applicable to Pinus Taeda Grown in North-East Uruguay. South. For. A J. For. Sci. 2010, 72, 163–171. [Google Scholar] [CrossRef]
- Cubbage, F.; Koesbandana, S.; Mac Donagh, P.; Rubilar, R.; Balmelli, G.; Olmos, V.M.; De La Torre, R.; Murara, M.; Hoeflich, V.A.; Kotze, H. Global Timber Investments, Wood Costs, Regulation, and Risk. Biomass Bioenergy 2010, 34, 1667–1678. [Google Scholar] [CrossRef]
- Moya, L.; Laguarda, M.F.; Cagno, M.; Cardoso, A.; Gatto, F.; O’Neill, H. Physical and Mechanical Properties of Loblolly and Slash Pine Wood from Uruguayan Plantations. For. Prod. J. 2013, 63, 128–137. [Google Scholar] [CrossRef]
- EN 338; Structural Timber. Strength Classes. European Standardisation Committee: Brussels, Belgium, 2016.
- PrEN 1912:2023; Structural Timber—Strength Classes—Assignment of Visual Grades and Species. CEN TC 124 WG 2: Brussels, Belgium, 2023.
- EN 408:2010+A1:2012; Timber Structures—Structural Timber and Glued Laminated Timber—Determination of Some Physical and Mechanical Properties; CEN TC 124 WG 1. Test methods. CEN: Brussels, Belgium, 2012.
- EN 14080:2013; Timber Structures—Glued Laminated Timber and Glued Solid Timber—Requirements; CEN TC 124/WG3. Timber structures. Glued laminated timber. CEN: Brussels, Belgium, 2013.
- EN 14358; Timber Structures. Calculation and Verification of Characteristic Values. CEN: Brussels, Belgium, 2016.
- EN 384; Structural Timber. Determination of Characteristic Values of Mechanical Properties and Density. CEN: Brussels, Belgium, 2016.
- Rosa, T.O.; Iwakiri, S.; Trianoski, R.; Terezo, R.F.; Coelho, L.K.; Righez, J.L.B. Static Bending Strength and Stiffness in Juvenile and Adult Wood of Fast-Growing Pinus taeda L. Floresta 2023, 53, 461. [Google Scholar] [CrossRef]
- IRAM 9662-2; Madera Laminada Encolada Estructural. Clasificación Visual de Las Tablas Por Resistencia. Parte 2: Tablas de Eucalyptus Grandis (Glued Laminated Timber. Visual Strength Grading of Lamellas. Part 2: Eucalyptus Grandis). IRAM: Buenos Aires, Argentina, 2013.
- UNE 56546; Clasificación Visual de La Madera Aserrada Para Uso Estructural: Madera de Frondosas. (Visual Strength Grading of Sawnwood: Hardwoods). AENOR: Madrid, Spain, 2024.
- Moltini, G.; Íñiguez-González, G.; Cabrera, G.; Baño, V. Evaluation of Yield Improvements in Machine vs. Visual Strength Grading for Softwood Species. Forests 2022, 13, 2021. [Google Scholar] [CrossRef]
- EN 14081-1:2005+A1:2011; MPA Certificate of Conformity of the Factory Production Control for Strength Graded Structural Timber with Rectangular Cross Section for Strength Classes up to C30. Certificate of conformity of the factory production control. CE marking. CATG: Lancashire, UK, 2023.
- Dieste, A.; Baño, V.; Cabrera, M.N.; Clavijo, L.; Palombo, V.; Moltini, G.; Cassella, F. Forest-Based Bioeconomy Areas Strategic Products from a Technological Point of View; Universidad de la República de Uruguay: Montevideo, Uruguay, 2018; ISBN 978-9974-0-1629-3. [Google Scholar]
- FAO; ITTO; UN. Forest Product Conversion Factors; FAO, ITTO and United Nations: Rome, Italy, 2020. [Google Scholar]
- Dieste, A. Plan de Inversiones En Maquinaria y Equipos. (Investment Plan for Machinery and Equipment); Ministerio de Industrias, Energía y Minería: Montevideo, Uruguay, 2014. [Google Scholar]
- Pagel, C.L.; Lenner, R.; Wessels, C.B. Investigation into Material Resistance Factors and Properties of Young, Engineered Eucalyptus Grandis Timber. Constr. Build. Mater. 2020, 230, 117059. [Google Scholar] [CrossRef]
- Schlotzhauer, P.; Kovryga, A.; Emmerich, L.; Bollmus, S.; Van de Kuilen, J.-W.; Militz, H. Analysis of Economic Feasibility of Ash and Maple Lamella Production for Glued Laminated Timber. Forests 2019, 10, 529. [Google Scholar] [CrossRef]
- Vega, A.; Baño, V.; Cardoso, A.; Moya, L. Experimental and Numerical Evaluation of the Structural Performance of Uruguayan Eucalyptus Grandis Finger-Joint. Eur. J. Wood Wood Prod. 2020, 78, 923–932. [Google Scholar] [CrossRef]
- Lara-Bocanegra, A.J.; Majano-Majano, A.; Crespo, J.; Guaita, M. Finger-Jointed Eucalyptus Globulus with 1C-PUR Adhesive for High Performance Engineered Laminated Products. Constr. Build. Mater. 2017, 135, 529–537. [Google Scholar] [CrossRef]
- Segundinho, P.G.A.; Goncalves, F.G.; Gava, G.C.; Tinti, V.P.; Alves, S.D.; Regazzi, A.J. Eficiência da colagem de madeira tratada de Eucalyptus cloeziana F. Muell para produc.o de madeira laminada colada (MLC). Rev. Mater. 2017, 22, e11808. [Google Scholar] [CrossRef]
- Oliveira, R.F.; Segundinho, P.G.d.A.; da Silva, J.G.M.; Gonçalves, F.G.; Lopes, D.J.V.; Silva, J.P.M.; Lopes, N.F.; Mastela, L.d.C.; Paes, J.B.; de Souza, C.G.F.; et al. Eucalyptus-Based Glued Laminated Timber: Evaluation and Prediction of Its Properties by Non-Destructive Techniques. Forests 2024, 15, 1658. [Google Scholar] [CrossRef]
- Pommier, R.; Elbez, G. Finger-Jointing Green Softwood: Evaluation of the Interaction between Polyurethane Adhesive and Wood. Wood Mater. Sci. Eng. 2006, 1, 127–137. [Google Scholar] [CrossRef]
- Hermoso, E.; Fernández-Golfín, J.I.; Díez, M.R. Analysis of Depth Factor in Pinus Sylvestris L. Structural Timber. For. Syst. 2002, 11, 441–448. [Google Scholar] [CrossRef]











| Visual Parameter and Structural Properties | Pine EC1 | Eucalyptus EF1 |
|---|---|---|
| Face knot diameter | d ≤ (1/4) h | d ≤ (2/3) h |
| Edge knot diameter | d ≤ (2/3) b | |
| Pith | Allowed | No allowed |
| Grain deviation | ≤1:8 (12.5%) | ≤1:9 (11%) |
| Bow | ≤8 mm | |
| Spring | ≤8 mm | |
| Twist | ≤1mm for each 25 mm of h | |
| Bending strength, fm,k (MPa) | 15.5 | 21.4 |
| Modulus of elasticity, E0,m (MPa) | 7139 | 11,960 |
| Mean density, ρm (kg/m3) | 421 | 519 |
| Characteristic density, ρk (kg/m3) | 365 | 386 |
| Species | P × C | CS | PN | CS | EN |
|---|---|---|---|---|---|
| Origin | France | France | Germany | Italy | Spain |
| Coniferous Strength Classes C * | C18 | C24 | C27 | C30 | C35 |
| Modulus of elasticity, E0m (N/mm2) | 9000 | 11,000 | 11,500 | 12,000 | 13,000 |
| Characteristic density, ρk (kg/m3) | 320 (D18:475) | 350 (D24:485) | 360 (D27:510) | 380 (D30:530) | 390 (D35: 549) |
| Pine EC1 | Eucalyptus EF1 | |
|---|---|---|
| T (years) | 20 | 20 |
| fm,k/T | 0.77 | 1.07 |
| E0,m/T | 356 | 598 |
| ρk/T | 18.2 | 19.3 |
| Structural Properties | Pine | Eucalyptus | |||
|---|---|---|---|---|---|
| Test Type | Bending fm,l,k | Bending fm,l,k | Tension ft,0,l,k | ||
| Nom. cross-section | mm2 | 24 × 73 | 24 × 73 | 17 × 22 | |
| N | 40 | 40 | 31 | ||
| Lamellas without finger-joints | fm,mean_kh | MPa | 72.6 | 77.21 | 52.3 |
| CoV | % | 20 | 191 | 31 | |
| fm,k | MPa | 48.2 | 52.3 1 | 26.0 | |
| N | 40 | 32 | 20 | ||
| Lamellas with finger-joints | fm,mean_kh | MPa | 47.5 | 58.0 1 | 44.8 |
| CoV | % | 14 | 18 1 | 31 | |
| fm,k | MPa | 35.8 | 40.8 1 | 24.8 | |
| T Strength Class | C Strength Class | Required fm,j,k | GL |
|---|---|---|---|
| T8 | C14 | - | - |
| T10 | C16 | 25 | GL20h |
| T11 | C18 | 22 | GL20h |
| T12 | C20 | - | - |
| T13 | C22 | 25 | GL22h |
| Structural Properties | Pine | Eucalyptus | |||
|---|---|---|---|---|---|
| Number of specimens | N | 33 | 33 | 21 | |
| Nominal cross-section | mm2 | 75 × 195 | 75 × 195 | 95 × 240 | |
| Moisture content | MCmean | % | 12.4 | 14.1 | 16.8 |
| CoV | % | 6 | 5 | 5 | |
| Bending strength | fm,mean,g_kh | MPa | 46.1 | 48.8 | 44.8 |
| CoV | % | 16 | 25 | 21 | |
| fm,g,k | MPa | 32.8 | 29.7 | 25.2 | |
| Modulus of elasticity | Ēg_12 | MPa | 10,053 | 13,976 | 12,484 |
| CoV | % | 17 | 11 | 12 | |
| E0,mean,g | MPa | 9842 | 13,783 | 12,256 | |
| Density | rg,m | kg/m3 | 514 | 543 | 509 |
| CoV | % | 5 | 5 | 6 | |
| rg,k | kg/m3 | 466 | 493 | 461 | |
| Strength class assignment (EN 14080) | GL20h | GL28h | GL24h | ||
Disclaimer/Publisher’s Note: The statements, opinions and data contained in all publications are solely those of the individual author(s) and contributor(s) and not of MDPI and/or the editor(s). MDPI and/or the editor(s) disclaim responsibility for any injury to people or property resulting from any ideas, methods, instructions or products referred to in the content. |
© 2024 by the authors. Licensee MDPI, Basel, Switzerland. This article is an open access article distributed under the terms and conditions of the Creative Commons Attribution (CC BY) license (https://creativecommons.org/licenses/by/4.0/).
Share and Cite
Baño, V.; Pérez-Gomar, C.; Godoy, D.; Moya, L. Structural Yield of Fast-Growing Hardwood vs. Softwood Glulam Beams. Forests 2025, 16, 8. https://doi.org/10.3390/f16010008
Baño V, Pérez-Gomar C, Godoy D, Moya L. Structural Yield of Fast-Growing Hardwood vs. Softwood Glulam Beams. Forests. 2025; 16(1):8. https://doi.org/10.3390/f16010008
Chicago/Turabian StyleBaño, Vanesa, Carolina Pérez-Gomar, Daniel Godoy, and Laura Moya. 2025. "Structural Yield of Fast-Growing Hardwood vs. Softwood Glulam Beams" Forests 16, no. 1: 8. https://doi.org/10.3390/f16010008
APA StyleBaño, V., Pérez-Gomar, C., Godoy, D., & Moya, L. (2025). Structural Yield of Fast-Growing Hardwood vs. Softwood Glulam Beams. Forests, 16(1), 8. https://doi.org/10.3390/f16010008

