Effect of Nitrogen Addition on the Intra-Annual Leaf and Stem Traits and Their Relationships in Two Dominant Species in a Subtropical Forest
Abstract
1. Introduction
2. Materials and Methods
2.1. Study Area
2.2. Experimental Design
2.3. Leaf Morphology and Stoichiometry Measurements
2.4. Wood Trait Measurements
2.5. Statistical Analyses
3. Results
3.1. Leaf Morphology and Stoichiometry
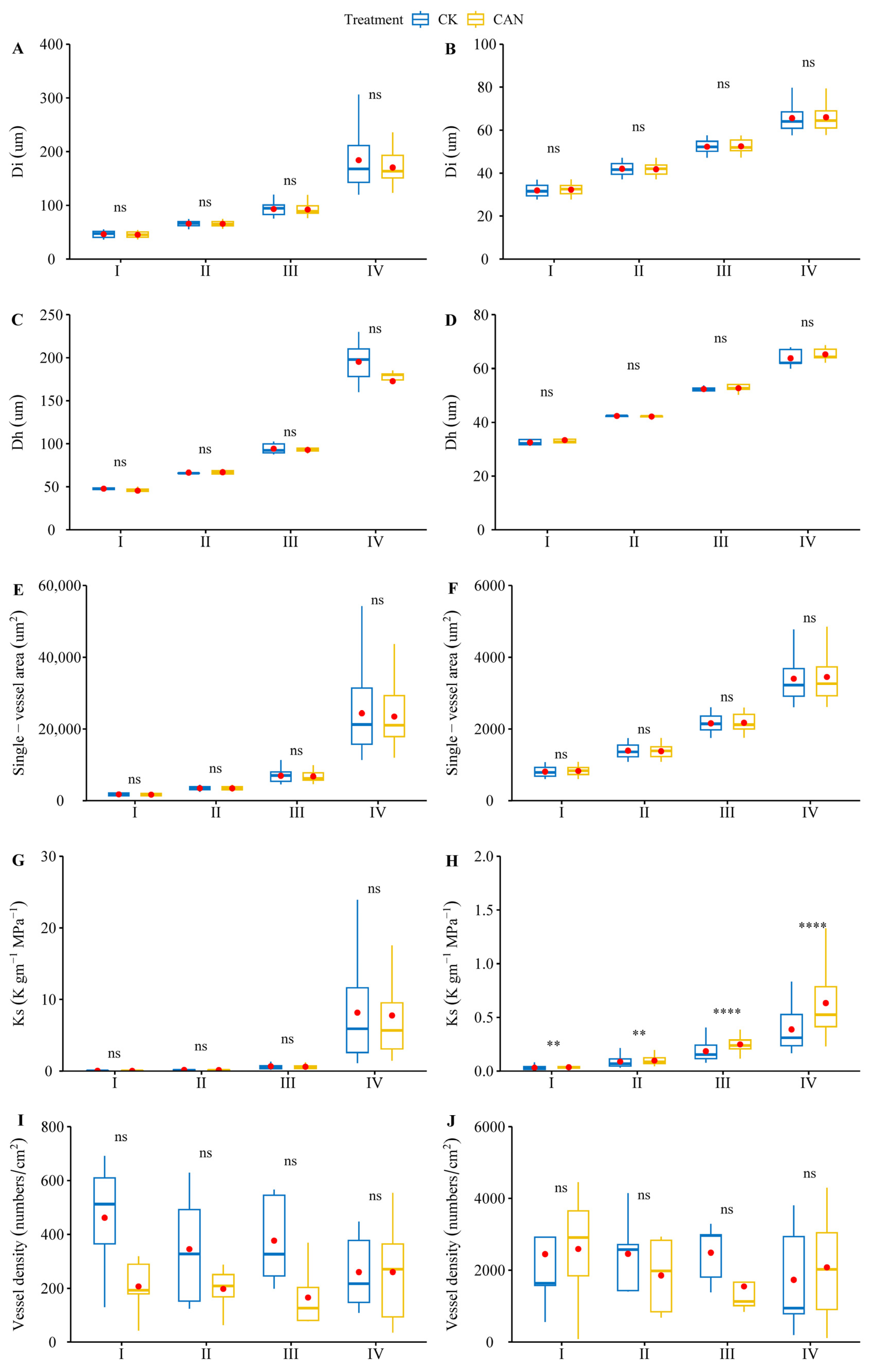
3.2. Xylem Growth Width and Anatomical Traits
3.3. Relationships Between Leaf and Xylem Traits
4. Discussion
4.1. Leaf Traits Varied More at Different Periods and Species than Between Treatments
4.2. Xylem Traits Response to Nitrogen Addition
4.3. Relationship Between Leaf and Xylem Traits Response to Nitrogen Addition
5. Conclusions
Supplementary Materials
Author Contributions
Funding
Data Availability Statement
Acknowledgments
Conflicts of Interest
References
- Rawat, M.; Arunachalam, K.; Arunachalam, A.; Alatalo, J.M.; Pandey, R. Assessment of leaf morphological, physiological, chemical and stoichiometry functional traits for understanding the functioning of Himalayan temperate forest ecosystem. Sci. Rep. 2021, 11, 23807. [Google Scholar] [CrossRef] [PubMed]
- Liu, H.; Yin, D.; He, P.; Cadotte, M.W.; Ye, Q. Linking plant functional traits to biodiversity under environmental change. Biol. Divers. 2024, 1, 22–28. [Google Scholar] [CrossRef]
- Zhao, D.; Wei, M.; Wang, X.; Aqeel, M.; Ran, J.; Deng, J. Morpho-physiological adaptations to drought stress in nitrogen-fixing and non-nitrogen-fixing plants. Front. Ecol. Evol. 2024, 12, 1407882. [Google Scholar] [CrossRef]
- Zhang, H.; Li, W.; Adams, H.D.; Wang, A.; Wu, J.; Jin, C.; Guan, D.; Yuan, F. Responses of woody plant functional traits to nitrogen addition: A meta-analysis of leaf economics, gas exchange, and hydraulic traits. Front. Plant Sci. 2018, 9, 683. [Google Scholar] [CrossRef]
- Dinneny, J.R.; Yanofsky, M.F. Vascular patterning: Xylem or phloem? Curr. Biol. 2004, 14, 112–114. [Google Scholar] [CrossRef]
- Cui, E.; Weng, E.; Yan, E.; Xia, J. Robust leaf trait relationships across species under global environmental changes. Nat. Commun. 2020, 11, 2999. [Google Scholar] [CrossRef]
- Yu, B.; Rossi, S.; Liang, H.; Guo, X.; Ma, Q.; Zhang, S.; Kang, J.; Zhao, P.; Zhang, W.; Ju, Y.; et al. Effects of nitrogen addition and increased precipitation on xylem growth of Quercus acutissima Caruth. in central China. Tree Physiol. 2022, 42, 754–770. [Google Scholar] [CrossRef]
- Onoda, Y.; Wright, I.J.; Evans, J.R.; Hikosaka, K.; Kitajima, K.; Niinemets, Ü.; Poorter, H.; Tosens, T.; Westoby, M. Physiological and structural tradeoffs underlying the leaf economics spectrum. New Phytol. 2017, 214, 1447–1463. [Google Scholar] [CrossRef]
- Wright, I.J.; Reich, P.B.; Westoby, M.; Ackerly, D.D.; Baruch, Z.; Bongers, F.; Cavender-Bares, J.; Chapin, T.; Cornelissen, J.H.; Diemer, M.; et al. The worldwide leaf economics spectrum. Nature 2004, 428, 821–827. [Google Scholar] [CrossRef]
- Hacke, U.G.; Plavcova, L.; Almeida-Rodriguez, A.; King-Jones, S.; Zhou, W.; Cooke, J.E.K. Influence of nitrogen fertilization on xylem traits and aquaporin expression in stems of hybrid poplar. Tree Physiol. 2010, 30, 1016–1025. [Google Scholar] [CrossRef]
- Bryukhanova, M.; Fonti, P. Xylem plasticity allows rapid hydraulic adjustment to annual climatic variability. Trees 2013, 27, 485–496. [Google Scholar] [CrossRef]
- Borghetti, M.; Gentilesca, T.; Leonardi, S.; Van Noije, T.; Rita, A. Long-term temporal relationships between environmental conditions and xylem functional traits: A meta-analysis across a range of woody species along climatic and nitrogen deposition gradients. Tree Physiol. 2016, 31, 4–17. [Google Scholar] [CrossRef] [PubMed]
- Zhang, Y.; Ding, C.; Liu, Y.; Li, S.; Li, X.; Xi, B.; Duan, J. Xylem anatomical and hydraulic traits vary within crown but not respond to water and nitrogen addition in Populus tomentosa. Agric. Water Manag. 2023, 278, 108169. [Google Scholar] [CrossRef]
- Krabel, D.; Roloff, A.; Bodson, M. Influence of sucrose on seasonal cambial growth. J. Exp. Bot. 1999, 50, 25–26. [Google Scholar]
- Tixier, A.; Sperling, O.; Orozco, J.; Lampinen, B.; Roxas, A.A.; Saa, S.; Earles, J.M.; Zwieniecki, M.A. Spring bud growth depends on sugar delivery by xylem and water recirculation by phloem Münch flow in Juglans regia. Planta 2017, 246, 495–508. [Google Scholar] [CrossRef]
- Yu, B.; Rossi, S.; Su, H.; Zhao, P.; Zhang, S.; Hu, B.; Li, X.; Chen, L.; Liang, H.; Huang, J.G. Mismatch between primary and secondary growth and its consequences on wood formation in Qinghai spruce. Tree Physiol. 2023, 43, 1886–1902. [Google Scholar] [CrossRef]
- Pitre, F.E.; Cooke, J.E.K.; Mackay, J.J. Short-term effects of nitrogen availability on wood formation and fibre properties in hybrid poplar. Trees 2007, 21, 249–259. [Google Scholar] [CrossRef]
- Wang, J.; Qin, X.; Xu, S.; Zhao, M.; Shu, P.; Xu, F.; Ma, J.; Sun, Y.; Dong, H.; Guo, Z.; et al. Nitrogen availability affects stem development and response to differential root-zone drought stress in Catalpa bungei. Environ. Exp. Bot. 2021, 186, 104429. [Google Scholar] [CrossRef]
- Chen, W.; Mou, X.; Meng, P.; Chen, J.; Tang, X.; Meng, G.; Xin, K.; Zhang, Y.; Wang, C. Anatomical responses of leaf and stem of Catalpa bungei C.A.Mey. to nitrogen application and Rhizophagus intraradices inoculation. Environ. Exp. Bot. 2023, 209, 105308. [Google Scholar] [CrossRef]
- Cai, Q.; Ji, C.; Yan, Z.; Jiang, X.; Fang, J. Anatomical responses of leaf and stem of Arabidopsis thaliana to nitrogen and phosphorus addition. J. Plant Res. 2017, 130, 1035–1045. [Google Scholar] [CrossRef]
- Jiao, X.; Yu, X.; Ding, J.; Du, Q.; Zhang, J.; Song, X.; Bai, P.; Li, J. Effects of rising VPD on the nutrient uptake, water status and photosynthetic system of tomato plants at different nitrogen applications under low temperature. Sci. Hortic. 2022, 304, 111335. [Google Scholar] [CrossRef]
- Liu, X.; Zhang, Y.; Han, W.; Tang, A.; Shen, J.; Cui, Z.; Vitousek, P.; Erisman, J.W.; Goulding, K.; Christie, P.; et al. Enhanced nitrogen deposition over China. Nature 2013, 494, 459–462. [Google Scholar] [CrossRef] [PubMed]
- Rennenberg, H.; Gessler, A. Consequences of N deposition to forest ecosystems—Recent results and future research needs. In Forest Growth Responses to the Pollution Climate of the 21st Century; Sheppard, L.J., Cape, J.N., Eds.; Springer: Dordrecht, The Netherlands, 1999; pp. 47–64. [Google Scholar]
- Ferraretto, D.; Nair, R.; Shah, N.W.; Reay, D.; Mencuccini, M.; Spencer, M.; Heal, K.V. Forest canopy nitrogen uptake can supply entire foliar demand. Funct. Ecol. 2022, 36, 933–949. [Google Scholar] [CrossRef]
- Quinn Thomas, R.; Canham, C.D.; Weathers, K.C.; Goodale, C.L. Increased tree carbon storage in response to nitrogen deposition in the US. Nat. Geosci. 2010, 3, 13–17. [Google Scholar] [CrossRef]
- Nakaji, T.; Fukami, M.; Dokiya, Y.; Izuta, T. Effects of high nitrogen load on growth, photosynthesis and nutrient status of Cryptomeria japonica and Pinus densiflora seedlings. Trees 2001, 15, 453–461. [Google Scholar] [CrossRef]
- Zheng, Z.; Ma, P. Changes in above and belowground traits of a rhizome clonal plant explain its predominance under nitrogen addition. Plant Soil 2018, 432, 415–424. [Google Scholar] [CrossRef]
- Guo, X.; Huang, J.G.; Li, J.; Liang, H.; Yu, B.; Ma, Q.; Jiang, S.; Lu, X.; Fu, S.; Ye, Q.; et al. Nitrogen addition to the canopy of Castanopsis chinensis (Sprengel) Hance promoted xylem formation in a subtropical forest in China. Ann. For. Sci. 2020, 77, 56. [Google Scholar] [CrossRef]
- Fathi, A. Role of nitrogen (N) in plant growth, photosynthesis pigments, and N use efficiency: A review. Agrisost 2022, 28, 1–8. [Google Scholar]
- Fender, A.-C.; Mantilla-Contreras, J.; Leuschner, C. Multiple environmental control of leaf area and its significance for productivity in beech saplings. Trees 2011, 25, 847–857. [Google Scholar] [CrossRef]
- Cunningham, S.A.; Summerhayes, B.; Westoby, M. Evolutionary divergences in leaf structure and chemistry, comparing rainfall and soil nutrient gradients. Ecol. Monogr. 1999, 69, 569–588. [Google Scholar] [CrossRef]
- Zhang, T.; Liang, X.; Ye, Q.; BassiriRad, H.; Liu, H.; He, P.; Wu, G.; Lu, X.; Mo, J.; Rao, X.; et al. Leaf hydraulic acclimation to nitrogen addition of two dominant tree species in a subtropical forest. Sci. Total Environ. 2021, 771, 145415. [Google Scholar] [CrossRef] [PubMed]
- Jin, Y.; Wang, C.; Zhou, Z.; Gu, J. Contrasting responses of hydraulic traits between leaf and branch to 16-year nitrogen addition in a larch plantation. For. Ecol. Manag. 2020, 475, 118461. [Google Scholar] [CrossRef]
- Tyree, M.; Sperry, J. Vulnerability of xylem to cavitation and embolism. Ann. Rev. Plant Biol. 1989, 40, 19–36. [Google Scholar] [CrossRef]
- Gleason, S.M.; Westoby, M.; Jansen, S.; Choat, B.; Hacke, U.G.; Pratt, R.B.; Bhaskar, R.; Brodribb, T.J.; Bucci, S.J.; Cao, K.F.; et al. Weak tradeoff between xylem safety and xylem-specific hydraulic efficiency across the world’s woody plant species. New Phytol. 2016, 209, 123–136. [Google Scholar] [CrossRef] [PubMed]
- Lupi, C.; Morin, H.; Deslauriers, A.; Rossi, S.; Houle, D. Increasing nitrogen availability and soil temperature: Effects on xylem phenology and anatomy of mature black spruce. Can. J. For. Res. 2012, 42, 1277–1288. [Google Scholar] [CrossRef]
- Lovett, G.M.; Arthur, M.A.; Weathers, K.C.; Fitzhugh, R.D.; Templer, P.H. Nitrogen addition increases carbon storage in soils, but not in trees, in an Eastern U.S. deciduous forest. Ecosystems 2013, 16, 980–1001. [Google Scholar] [CrossRef]
- Dao, M.C.E.; Rossi, S.; Walsh, D.; Morin, H.; Houle, D. A 6-year-long manipulation with soil warming and canopy nitrogen additions does not affect xylem phenology and cell production of mature black spruce. Front. Plant Sci. 2015, 6, 877. [Google Scholar] [CrossRef]
- De Barba, D.; Rossi, S.; Deslauriers, A.; Morin, H. Effects of soil warming and nitrogen foliar applications on bud burst of black spruce. Trees 2016, 30, 87–97. [Google Scholar] [CrossRef]
- Lu, X.; Vitousek, P.M.; Mao, Q.; Gilliam, F.S.; Luo, Y.; Zhou, G.; Zou, X.; Bai, E.; Scanlon, T.M.; Hou, E.; et al. Plant acclimation to long-term high nitrogen deposition in an N-rich tropical forest. Proc. Natl. Acad. Sci. USA 2018, 115, 5187–5192. [Google Scholar] [CrossRef]
- Yu, G.; Chen, Z.; Piao, S.; Peng, C.; Ciais, P.; Wang, Q.; Li, X.; Zhu, X. High carbon dioxide uptake by subtropical forest ecosystems in the East Asian monsoon region. Proc. Natl. Acad. Sci. USA 2014, 111, 4910–4915. [Google Scholar] [CrossRef]
- Yu, Q.; Duan, L.; Yu, L.; Chen, X.; Si, G.; Ke, P.; Ye, Z.; Mulder, J. Threshold and multiple indicators for nitrogen saturation in subtropical forests. Environ. Pollut. 2018, 241, 664–673. [Google Scholar] [CrossRef] [PubMed]
- Jiang, X.; Liu, N.; Lu, X.; Huang, J.G.; Cheng, J.; Guo, X.; Wu, S. Canopy and understory nitrogen addition increase the xylem tracheid size of dominant broadleaf species in a subtropical forest of China. Sci. Total Environ. 2018, 642, 733–741. [Google Scholar] [CrossRef] [PubMed]
- Liu, D.; Zhang, J.; Biswas, A.; Cao, J.; Xie, H.; Qi, X. Seasonal dynamics of leaf stoichiometry of phragmites australis: A case study from Yangguan wetland, Dunhuang, China. Plants 2020, 9, 1323. [Google Scholar] [CrossRef] [PubMed]
- Yu, B.; Huang, J.G.; Ma, Q.; Guo, X.; Liang, H.; Zhang, S.; Fu, S.; Wan, S.; Yan, J.; Zhang, W. Comparison of the effects of canopy and understory nitrogen addition on xylem growth of two dominant species in a warm temperate forest, China. Dendrochronologia 2019, 56, 125604. [Google Scholar] [CrossRef]
- Zhang, W.; Shen, W.; Zhu, S.; Wan, S.; Luo, Y.; Yan, J.; Wang, K.; Liu, L.; Dai, H.; Li, P.; et al. Can canopy addition of nitrogen better illustrate the effect of atmospheric nitrogen deposition on forest ecosystem? Sci. Rep. 2015, 5, 11245. [Google Scholar] [CrossRef]
- Shi, L.; Zhang, H.; Liu, T.; Mao, P.; Zhang, W.; Shao, Y.; Fu, S. An increase in precipitation exacerbates negative effects of nitrogen deposition on soil cations and soil microbial communities in a temperate forest. Environ. Pollut. 2018, 235, 293–301. [Google Scholar] [CrossRef]
- Rossi, S.; Anfodillo, T.; Menardi, R. Trephor: A new tool for sampling microcores from tree stems. IAWA J. 2006, 27, 89–97. [Google Scholar] [CrossRef]
- Abe, H.; Funada, R.; Ohtani, J.; Fukazawa, K. Changes in the arrangement of cellulose microfibrils associated with the cessation of cell expansion in tracheids. Trees 1997, 11, 328–332. [Google Scholar] [CrossRef]
- Quinn, G.P.; Keough, M.J. Experimental Design and Data Analysis for Biologists; Cambridge University Press: Cambridge, UK, 2002. [Google Scholar]
- Scholz, A.; Klepsch, M.; Karimi, Z.; Jansen, S. How to quantify conduits in wood? Front. Plant Sci. 2013, 4, 56. [Google Scholar] [CrossRef]
- Jose, P.; Douglas, B.; Saikat, D.; Deepayan, S.; R Core Team. Linear and Nonlinear Mixed Effects Models, Version 3.1-131; The R Foundation for Statistical Computing: Vienna, Austria, 2017.
- González-González, B.D.; Rozas, V.; García-González, I. Earlywood vessels of the sub-Mediterranean oak Quercus pyrenaica have greater plasticity and sensitivity than those of the temperate Q. petraea at the Atlantic–Mediterranean boundary. Trees 2014, 28, 237–252. [Google Scholar]
- Lenth, R. Least-Squares Means: The R package lsmeans. J. Stat. Softw. 2016, 69, 1–33. [Google Scholar] [CrossRef]
- Piepho, H.-P. An algorithm for a letter-based representation of all-pairwise comparisons. J. Comput. Graph. Stat. 2004, 13, 456–466. [Google Scholar] [CrossRef]
- Cuny, H.E.; Rathgeber, C.B.K.; Kiessé, T.S.; Hartmann, F.P.; Barbeito, I.; Fournier, M. Generalized additive models reveal the intrinsic complexity of wood formation dynamics. J. Exp. Bot. 2013, 64, 1983–1994. [Google Scholar] [CrossRef]
- Wilkinson, G.N.; Rogers, C.E. Symbolic description of factorial models for analysis of variance. J. R. Stat. Soc. Ser. C Appl. Stat. 1973, 22, 392–399. [Google Scholar] [CrossRef]
- Fleming, A.J. The control of leaf development. New Phytol. 2005, 166, 9–20. [Google Scholar] [CrossRef]
- Kalve, S.; De Vos, D.; Beemster, G.T.S. Leaf development: A cellular perspective. Front. Plant Sci. 2014, 5, 362. [Google Scholar] [CrossRef]
- Wu, T.-G.; Wu, M.; Liu, L.; Xiao, J.-H. Seasonal variations of leaf nitrogen and phosphorus stoichiometry of three herbaceous species in Hangzhou Bay coastal wetlands, China. Chin. J. Plant Ecol. 2010, 34, 23–28. [Google Scholar]
- Zhang, X.; Li, B.; Peñuelas, J.; Sardans, J.; Cheng, D.; Yu, H.; Zhong, Q. Resource-acquisitive species have greater plasticity in leaf functional traits than resource-conservative species in response to nitrogen addition in subtropical China. Sci. Total Environ. 2023, 903, 166177. [Google Scholar] [CrossRef]
- Nunes-Nesi, A.; Fernie, A.R.; Stitt, M. Metabolic and signaling aspects underpinning the regulation of plant carbon nitrogen interactions. Mol. Plant 2010, 3, 973–996. [Google Scholar] [CrossRef]
- Gong, J.; Zhang, Z.; Wang, B.; Shi, J.; Zhang, W.; Dong, Q.; Song, L.; Li, Y.; Liu, Y. N addition rebalances the carbon and nitrogen metabolisms of Leymus chinensis through leaf N investment. Plant Physiol. Biochem. 2022, 185, 221–232. [Google Scholar] [CrossRef]
- Shan, L.; Song, C.; Zhang, X.; Ren, J. Effects of long-term nitrogen and phosphorus addition on plant defence compounds in a freshwater wetland. Ecol. Indic. 2018, 94, 1–6. [Google Scholar] [CrossRef]
- Tang, S.; Zhang, L.; Lambers, H.; Ren, W.; Lu, X.; Hou, E.; Fu, S.; Kuang, Y. Addition of nitrogen to canopy versus understorey has different effects on leaf traits of understorey plants in a subtropical evergreen broad-leaved forest. J. Ecol. 2021, 109, 692–702. [Google Scholar] [CrossRef]
- Niinemets, Ü.; Portsmuth, A.; Tena, D.; Tobias, M.; Matesanz, S.; Valladares, F. Do we underestimate the importance of leaf size in plant economics? Disproportionate scaling of support costs within the spectrum of leaf physiognomy. Ann. Bot. 2007, 100, 283–303. [Google Scholar] [CrossRef] [PubMed]
- Camarero, J.J.; Carrer, M.; Way, D. Bridging long-term wood functioning and nitrogen deposition to better understand changes in tree growth and forest productivity. Tree Physiol. 2017, 37, 1–3. [Google Scholar] [CrossRef][Green Version]
- Qin, J.; Shangguan, Z. Effects of forest types on leaf functional traits and their interrelationships of Pinus massoniana coniferous and broad-leaved mixed forests in the subtropical mountain, Southeastern China. Ecol. Evol. 2019, 9, 6922–6932. [Google Scholar] [CrossRef]
- Poorter, L.; Bongers, F. Leaf traits are good predictors of plant performance across 53 rain forest species. Ecology 2006, 87, 1733–1743. [Google Scholar] [CrossRef]
- Agrawal, A.A. Phenotypic Plasticity in the Interactions and Evolution of Species. Science 2001, 294, 321–326. [Google Scholar] [CrossRef]
- Quero, J.L.; Villar, R.; Marañón, T.; Zamora, R. Interactions of drought and shade effects on seedlings of four Quercus species: Physiological and structural leaf responses. New Phytol. 2006, 170, 819–834. [Google Scholar] [CrossRef]
- Peñuelas, J.; Poulter, B.; Sardans, J.; Ciais, P.; Van Der Velde, M.; Bopp, L.; Boucher, O.; Godderis, Y.; Hinsinger, P.; Llusia, J.; et al. Human-induced nitrogen–phosphorus imbalances alter natural and managed ecosystems across the globe. Nat. Commun. 2013, 4, 2934. [Google Scholar] [CrossRef]
- Fang, Y.; Gundersen, P.; Mo, J.; Zhu, W. Nitrogen leaching in response to increased nitrogen inputs in subtropical monsoon forests in southern China. For. Ecol. Manag. 2009, 257, 332–342. [Google Scholar] [CrossRef]
- Aasamaa, K.; Sober, A.; Rahi, M. Leaf anatomical characteristics associated with shoot hydraulic conductance and stomatal sensitivity to changes of leaf water status in temperate deciduous trees. Funct. Plant Biol. 2001, 28, 93–101. [Google Scholar] [CrossRef]
- Aguraijuja, K.; Klõšeiko, J.; Ots, K.; Lukjanova, A. Effect of wood ash on leaf and shoot anatomy, photosynthesis and carbohydrate concentrations in birch on a cutaway peatland. Environ. Monit. Assess. 2015, 187, 444. [Google Scholar] [CrossRef] [PubMed]
- Xu, H.; Wang, H.; Prentice, I.C.; Harrison, S.P.; Wright, I.J. Coordination of plant hydraulic and photosynthetic traits: Confronting optimality theory with field measurements. New Phytol. 2021, 232, 1286–1296. [Google Scholar] [CrossRef]
- Gričar, J.; Zavadlav, S.; Jyske, T.; Lavrič, M.; Laakso, T.; Hafner, P.; Eler, K.; Vodnik, D. Effect of soil water availability on intra-annual xylem and phloem formation and non-structural carbohydrate pools in stem of Quercus pubescens. Tree Physiol. 2019, 39, 222–233. [Google Scholar] [CrossRef]
- Blumstein, M.; Oseguera, M.; Caso-McHugh, T.; Marais, D.L.D. Nonstructural carbohydrate dynamics’ relationship to leaf development under varying environments. New Phytol. 2023, 241, 102–113. [Google Scholar] [CrossRef]
- Barbaroux, C.; Bréda, N. Contrasting distribution and seasonal dynamics of carbohydrate reserves in stem wood of adult ring porous sessile oak and diffuse-porous beech trees. Tree Physiol. 2002, 22, 1201–1210. [Google Scholar] [CrossRef]
- Barbaroux, C.; Bréda, N.; Dufrene, E. Distribution of aboveground and below-ground carbohydrate reserves in adult trees of two contrasting broad-leaved species (Quercus petraea and Fagus sylvatica). New Phytol. 2003, 157, 605–615. [Google Scholar] [CrossRef]
- Niinemets, Ü. Global-scale climatic controls of leaf dry mass per area, density, and thickness in trees and shrubs. Ecology 2001, 82, 453–469. [Google Scholar] [CrossRef]
- Spannl, S.; Homeier, J.; Bräuning, A. Nutrient-Induced Modifications of Wood Anatomical Traits of Alchornea lojaensis (Euphorbiaceae). Front. Earth Sci. 2016, 4, 50. [Google Scholar] [CrossRef]
- Deslauriers, A.; Huang, J.-G.; Balducci, L.; Beaulieu, M.; Rossi, S. The contribution of carbon and water in modulating wood formation in black spruce saplings. Plant Physiol. 2016, 170, 2072–2084. [Google Scholar] [CrossRef]
- Bouyer, L.; Vincent-Barbaroux, C.; Le Jan, I.; Delaunay, A.; Marchand, L.; Feinard-Duranceau, M.; Sallé, A.; Chassagnaud, D.; Barigah, T.S.; Cochard, H.; et al. Concurrent time course of xylem hydraulic dysfunction and non-structural carbohydrates under contrasting water deficits and nitrogen supplies in poplar. Environ. Exp. Bot. 2023, 206, 105173. [Google Scholar] [CrossRef]
- Oribe, Y.; Funada, R.; Kubo, T. Relationships between cambial activity, cell differentiation and the localization of starch in storage tissues around the cambium in locally heated stems of Abies sachalinensis (Schmidt) Masters. Trees 2003, 17, 185–192. [Google Scholar] [CrossRef]
- Rossi, S.; Rathgeber, C.B.K.; Deslauriers, A. Comparing needle and shoot phenology with xylem development on three conifer species in Italy. Ann. For. Sci. 2009, 66, 206. [Google Scholar] [CrossRef]
- Zanne, A.E.; Westoby, M.; Falster, D.S.; Ackerly, D.D.; Loarie, S.R.; Arnold, S.E.; Coomes, D.A. Angiosperm wood structure: Global patterns in vessel anatomy and their relation to wood density and potential conductivity. Am. J. Bot. 2010, 97, 207–215. [Google Scholar] [CrossRef]





| Leaf Traits | Source of Variation | F-Value | p-Value |
|---|---|---|---|
| Specific leaf area (SLA) | Treatment | 0.489 | 0.493 |
| Species | 0.235 | 0.634 | |
| Period | 7.878 | 0.006 | |
| Species × Treatment | 0.995 | 0.332 | |
| Treatment × Period | 0.014 | 0.906 | |
| Species × Period | 4.462 | 0.037 | |
| Treatment × Species × Period | 1.058 | 0.306 | |
| Specific leaf weight (SLW) | Treatment | 0.006 | 0.938 |
| Species | 1.708 | 0.208 | |
| Period | 0.815 | 0.369 | |
| Species × Treatment | 1.926 | 0.182 | |
| Treatment × Period | 0.895 | 0.347 | |
| Species × Period | 11.522 | 0.001 | |
| Treatment × Species × Period | 2.717 | 0.103 | |
| N concentration | Treatment | 1.688 | 0.210 |
| Species | 22.777 | <0.001 | |
| Period | 90.929 | <0.001 | |
| Species × Treatment | 0.194 | 0.665 | |
| Treatment × Period | 0.062 | 0.804 | |
| Species × Period | 12.509 | <0.001 | |
| Treatment × Species × Period | 0.014 | 0.905 | |
| C concentration | Treatment | 4.023 | 0.060 |
| Species | 133.622 | <0.001 | |
| Period | 29.255 | <0.001 | |
| Species × Treatment | 22.034 | <0.001 | |
| Treatment × Period | 0.020 | 0.888 | |
| Species × Period | 4.532 | 0.036 | |
| Treatment × Species × Period | 0.240 | 0.625 | |
| C:N ratio | Treatment | 2.310 | 0.146 |
| Species | 20.528 | <0.001 | |
| Period | 89.836 | <0.001 | |
| Species × Treatment | 0.870 | 0.363 | |
| Treatment × Period | 0.142 | 0.707 | |
| Species × Period | 6.153 | 0.015 | |
| Treatment × Species × Period | 0.008 | 0.928 |
| Xylem Traits | Source of Variation | F-Value | p-Value |
|---|---|---|---|
| Onset(Xylem formation) | Species | 0.342 | 0.566 |
| Treatment | 0.071 | 0.794 | |
| Treatment × Species | 6.626 | 0.019 | |
| EW(Weekly) | Species | 9.054 | 0.008 |
| Treatment | 8.556 | 0.009 | |
| Treatment × Species | 0.478 | 0.498 | |
| EW | Species | 0.869 | 0.364 |
| Treatment | 3.814 | 0.067 | |
| Treatment × Species | 1.084 | 0.312 | |
| LW | Species | 0.001 | 0.982 |
| Treatment | 8.871 | 0.008 | |
| Treatment × Species | 0.000 | 0.983 |
| Response Variable | Contrast Group | Mean Difference (A − B) | Std. Error | t-Value | p-Value | |
|---|---|---|---|---|---|---|
| A | B | |||||
| Onset(Xylem formation of Sp1) | CAN | CK | −12.965 | 9.486 | −1.367 | 0.205 |
| Onset(Xylem formation of Sp2) | CAN | CK | 15.950 | 6.015 | 2.652 | 0.026 |
| Onset(Xylem formation under CK) | Sp1 | Sp2 | 12.500 | 8.793 | 1.422 | 0.193 |
| Onset(Xylem formation under CAN) | Sp1 | Sp2 | −16.415 | 7.190 | −2.283 | 0.046 |
| EW(Weekly) | CAN | CK | 0.218 | 0.070 | 3.132 | 0.006 |
| EW(Weekly) | Sp1 | Sp2 | −0.203 | 0.070 | −2.910 | 0.009 |
| LW | CAN | CK | 0.145 | 0.046 | 3.139 | 0.005 |
Disclaimer/Publisher’s Note: The statements, opinions and data contained in all publications are solely those of the individual author(s) and contributor(s) and not of MDPI and/or the editor(s). MDPI and/or the editor(s) disclaim responsibility for any injury to people or property resulting from any ideas, methods, instructions or products referred to in the content. |
© 2024 by the authors. Licensee MDPI, Basel, Switzerland. This article is an open access article distributed under the terms and conditions of the Creative Commons Attribution (CC BY) license (https://creativecommons.org/licenses/by/4.0/).
Share and Cite
Yu, B.; Kang, J.; Tang, J.; Wang, Z.; Zhang, S.; Ma, Q.; Su, H. Effect of Nitrogen Addition on the Intra-Annual Leaf and Stem Traits and Their Relationships in Two Dominant Species in a Subtropical Forest. Forests 2025, 16, 28. https://doi.org/10.3390/f16010028
Yu B, Kang J, Tang J, Wang Z, Zhang S, Ma Q, Su H. Effect of Nitrogen Addition on the Intra-Annual Leaf and Stem Traits and Their Relationships in Two Dominant Species in a Subtropical Forest. Forests. 2025; 16(1):28. https://doi.org/10.3390/f16010028
Chicago/Turabian StyleYu, Biyun, Jian Kang, Jinli Tang, Zhenchuan Wang, Shaokang Zhang, Qianqian Ma, and Hongxin Su. 2025. "Effect of Nitrogen Addition on the Intra-Annual Leaf and Stem Traits and Their Relationships in Two Dominant Species in a Subtropical Forest" Forests 16, no. 1: 28. https://doi.org/10.3390/f16010028
APA StyleYu, B., Kang, J., Tang, J., Wang, Z., Zhang, S., Ma, Q., & Su, H. (2025). Effect of Nitrogen Addition on the Intra-Annual Leaf and Stem Traits and Their Relationships in Two Dominant Species in a Subtropical Forest. Forests, 16(1), 28. https://doi.org/10.3390/f16010028

