MultiProduct Optimization of Cedrelinga cateniformis (Ducke) Ducke in Different Plantation Systems in the Peruvian Amazon
Abstract
1. Introduction
2. Materials and Methods
2.1. Study Area
2.2. Data Collection
2.3. Data Dendrometric Description
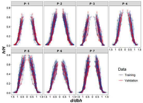
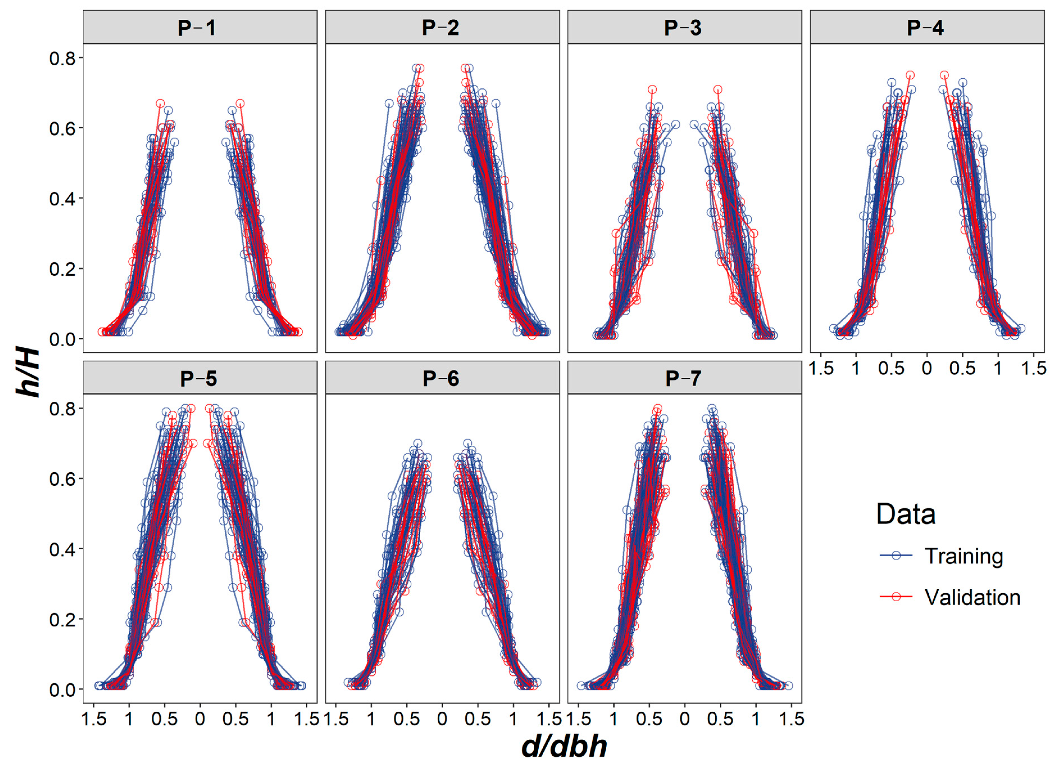
2.4. Stem Profile Modeling
| Plantation | P-1 | P-2 | P-3 | P-4 | P-5 | P-6 | P-7 | |||||||
|---|---|---|---|---|---|---|---|---|---|---|---|---|---|---|
| Data | Training | Validation | Training | Validation | Training | Validation | Training | Validation | Training | Validation | Training | Validation | Training | Validation |
| N (trees ha−1) | 180 | 77 | 422 | 184 | 240 | 101 | 163 | 62 | 311 | 141 | 344 | 150 | 487 | 205 |
| n | 30 | 13 | 68 | 29 | 35 | 15 | 28 | 12 | 41 | 18 | 45 | 19 | 61 | 26 |
| Average of dbh (cm) | 21.83 | 20.22 | 24.04 | 23.89 | 47.62 | 45.42 | 49.67 | 50.3 | 51.15 | 51.64 | 35.57 | 41.67 | 43.28 | 43.79 |
| Max of dbh (cm) | 29.0 | 29.8 | 39.6 | 39.1 | 72.3 | 60.8 | 85.6 | 70.3 | 109.6 | 95.4 | 58.4 | 68.3 | 78.50 | 96.90 |
| Min of dbh (cm) | 11.1 | 8.4 | 7.9 | 8.7 | 19.6 | 30.8 | 21.9 | 30.5 | 15.5 | 18 | 16.2 | 23.9 | 17.10 | 12.40 |
| StdDev of dbh | 4.46 | 4.48 | 7.14 | 7.91 | 13 | 8.14 | 12.42 | 13.49 | 22.26 | 19.6 | 10.85 | 11.39 | 14.97 | 19.35 |
| Average of H (m) | 15.21 | 14.94 | 14.68 | 15.18 | 27.09 | 27.15 | 29.04 | 27.21 | 25.94 | 25.56 | 19.51 | 20.87 | 27.03 | 28.93 |
| Max of H (m) | 17.8 | 16.9 | 20 | 20.5 | 35.5 | 32.2 | 36.96 | 31.95 | 33.5 | 31.2 | 24.5 | 26.3 | 40.00 | 42.10 |
| Min of H (m) | 10.2 | 8.9 | 5.2 | 7.8 | 14 | 19.7 | 19.24 | 22.35 | 13.8 | 15.1 | 13.6 | 13.1 | 13.70 | 13.30 |
| StdDev of H (m) | 1.69 | 2.01 | 2.67 | 2.74 | 4.52 | 3.85 | 3.8 | 2.94 | 5.6 | 3.76 | 2.92 | 3.59 | 5.69 | 7.29 |
| Average of d (cm) | 18.45 | 17.53 | 19.85 | 19.79 | 37.39 | 35.78 | 40.76 | 41.03 | 39.52 | 39.19 | 26.82 | 31.22 | 32.75 | 33.99 |
| Max of d (cm) | 34.4 | 37.2 | 47.8 | 49.1 | 82.5 | 69.1 | 98.6 | 81.9 | 122.2 | 118.8 | 67.5 | 84.3 | 103.90 | 118.90 |
| Min of d (cm) | 7.4 | 5.0 | 5.6 | 5.6 | 7.7 | 12.3 | 11.6 | 12.4 | 9.1 | 7.6 | 7 | 10.3 | 7.80 | 7.70 |
| StdDev of d | 6 | 6.22 | 8.3 | 8.91 | 14.79 | 12.65 | 15.63 | 16.92 | 22.38 | 20.84 | 12.96 | 14.93 | 15.52 | 18.80 |
| Average of h (m) | 3.67 | 3.62 | 3.96 | 4.12 | 6.58 | 6.45 | 7.13 | 6.08 | 7.88 | 7.98 | 5.48 | 5.73 | 8.24 | 8.19 |
| Max of h (m) | 10 | 10 | 13.5 | 14 | 21 | 18 | 26.18 | 21.74 | 24 | 24 | 16 | 16 | 24.00 | 24.00 |
| Min of h (m) | 0.3 | 0.3 | 0.3 | 0.3 | 0.3 | 0.3 | 0.5 | 0.5 | 0.3 | 0.3 | 0.3 | 0.3 | 0.30 | 0.30 |
| StdDev of h | 2.84 | 2.86 | 3.17 | 3.34 | 5.35 | 5.23 | 6.45 | 5.88 | 6.42 | 6.38 | 4.21 | 4.46 | 6.51 | 6.58 |

| Model | Function | Author | Equation |
|---|---|---|---|
| Cielito I | [48] | (1) | |
| Cielito II | [48] | (2) | |
| Clutter | [49] | (3) | |
| Amidon | [50] | (4) | |
| Kozak | [51] | (5) | |
| Demaerschalk | [52] | (6) | |
| Ormerod | [53] | (7) | |
| Cervera | [54] | (8) | |
| Garay | [55] | (9) | |
| COFORD e IFER | [56] | (10) |
2.5. Diameter Distribution and the Diameter-Height Relationship
2.6. Multi-Product Optimization
2.6.1. Model Levels
- First Level:
- Second Level:
- Third Level:
2.6.2. Model Variables
- H, Hc, Hb: Total height, commercial height and remaining stump height (in meters).
- dbh: Diameter at breast height measured at 1.3 m (in cm).
- Kz, Kx, Ky: Intervals of states at Levels 1, 2 and 3 in the dynamic programming model.
- nz.kz: Variable associated with states at Level 1 (in meters).
- nx.kx, ny.ky: Variables associated with states at Levels 2 and 3 (in mm).
- Nz, Nx, Ny: Total number of states at Levels 1, 2 and 3, respectively
- u: Wood usage.
- dmin(i), dmax(i): Minimum and maximum diameters of the ith log (in cm).
- LZUu, LZLu: Maximum and minimum acceptable log lengths for usage u (in meters).
- LZ[u, i]: Length of the ith log for usage u (in meters).
- LZmim, LZmax: Minimum and maximum log lengths across all usages.
- Piuw: Market price of the wth final product from the ith log for usage u.
- Qiuw: Quantity of the wth final product from the ith log for usage u.
- Cyiuw: Cost of the wth final product from the ith log for usage u, with components,
- ○
- Peeling cost;
- ○
- Transport cost;
- ○
- Sectioning cost;
- ○
- Processing cost (industrial).
- jz.kz: State of the system, describing the current situation (number of intervals kz forming a log).
- Vu(i): Volume of the ith log for usage u (in m3).
- FTuw: Conversion factor for usage u to produce final product w.
- skz, skx, sky: Cutting thicknesses at Levels 1, 2 and 3 (in mm).Nx = dmin(i)/Kx
- ○
- Ny;
- ○
- y[nx]/ky, se y[nx] ≤ y[nx − Lx[z]];
- ○
- y[nx − Lx[z]]/ky, se y[nx] > y[nx − Lx[z]];
- ○
- y[nx]: Available face in state nx at Level 2;
- ○
- Lx[z]: Decision variable at Level 2 (equals product thickness w obtained between consecutive states);
- ○
- Ly[z]: Decision variable at Level 3 (corresponding to product width w obtained).
- Fnz, Fnx, Gny: Optimal accumulated values at states nz, nx and ny of Levels 1, 2 and 3, respectively.
- Ru(Jz.kz, dmin(i), dmax(i)): Return from converting the ith log of length Jz.kz with diameters dmax(i) and dmin(i) for usage u
- V(w, nxkx, nyky, lx[z], ly[z]): Value of product w obtained at coordinates nxkx and nyky, with thickness lx[z] and width ly[z].
2.6.3. Deterministic Recurrence Relationships
3. Results
3.1. Diametric Distribution Structure and Diameter–Height Relationship
3.2. Taper Modeling

3.3. Model Optimization
3.3.1. Optimization of Log Cutting
3.3.2. Optimization of Sawn Lumber Cutting
4. Discussion
4.1. Analysis of the Diameter Structure and Diameter–Height Relationship
4.2. Evaluation of Taper Models
4.3. Model Optimization for Log and Saw Lumber Cutting in Cedrelinga cateniformis
4.3.1. Production and Log Cutting Optimization
4.3.2. Production and Sawn Lumber Cutting Optimization
5. Conclusions
Supplementary Materials
Author Contributions
Funding
Data Availability Statement
Acknowledgments
Conflicts of Interest
References
- Adhikari, S.; Ozarska, B. Minimizing Environmental Impacts of Timber Products through the Production Process “From Sawmill to Final Products”. Environ. Syst. Res. 2018, 7, 6. [Google Scholar] [CrossRef]
- FAO. El Estado de Los Bosques Del Mundo 2024; FAO: Rome, Italy, 2024; ISBN 978-92-5-138875-4. [Google Scholar]
- FAO. Global Forest Resources Assessment 2020; FAO: Rome, Italy, 2020; ISBN 978-92-5-132581-0. [Google Scholar]
- Edberg, S.; Tigabu, M.; Odén, P.C. Commercial Eucalyptus Plantations with Taungya System: Analysis of Tree Root Biomass. Forests 2022, 13, 1395. [Google Scholar] [CrossRef]
- Ratnasingam, J.; Ioras, F.; Farrokhpayam, S.R.; Mariapan, M.; Latib, H.A.; Liew, K.C. Perceptions by Smallholder Farmers of Forest Plantations in Malaysia. Forests 2021, 12, 1378. [Google Scholar] [CrossRef]
- Carte, L.; Hofflinger, Á.; Polk, M.H. Expanding Exotic Forest Plantations and Declining Rural Populations in La Araucanía, Chile. Land 2021, 10, 283. [Google Scholar] [CrossRef]
- Afonso, R.; Miller, D.C. Forest Plantations and Local Economic Development: Evidence from Minas Gerais, Brazil. Policy Econ 2021, 133, 102618. [Google Scholar] [CrossRef]
- Viani, R.A.G.; Vidas, N.B.; Pardi, M.M.; Castro, D.C.V.; Gusson, E.; Brancalion, P.H.S. Animal-Dispersed Pioneer Trees Enhance the Early Regeneration in Atlantic Forest Restoration Plantations. Nat. Conserv. 2015, 13, 41–46. [Google Scholar] [CrossRef]
- Barlow, J.; Mestre, L.A.M.; Gardner, T.A.; Peres, C.A. The Value of Primary, Secondary and Plantation Forests for Amazonian Birds. Biol. Conserv. 2007, 136, 212–231. [Google Scholar] [CrossRef]
- Stimm, B.; Beck, E.; Günter, S.; Aguirre, N.; Cueva, E.; Mosandl, R.; Weber, M. Reforestation of Abandoned Pastures: Seed Ecology of Native Species and Production of Indigenous Plant Material. In Gradients in a Tropical Mountain Ecosystem of Ecuador. Ecological Studies; Beck, E., Bendix, J., Kottke, I., Makeschin, F., Mosandl, R., Eds.; Springer: Berlin/Heidelberg, Germany, 2008; Volume 198, pp. 417–429. [Google Scholar] [CrossRef]
- Kainyande, A.; Auch, E.F.; Okoni-Williams, A.D. The Socio-Economic Contributions of Large-Scale Plantation Forests: Perceptions of Adjacent Rural Communities in the Northern Province of Sierra Leone. Trees For. People 2022, 10, 100329. [Google Scholar] [CrossRef]
- Prado, D. Plantaciones Forestales, Más Allá de Los Árboles; Colegio de Ingenieros Forestales de Chile AG: Santiago, Chile; CORMA: Concord, ON, Canada, 2016; ISBN 978-956-7660-02-5. [Google Scholar]
- SERFOR. Registro Nacional de Plantaciones Forestales. Available online: https://sniffs.serfor.gob.pe/estadistica/es/tableros/registros-nacionales/plantaciones (accessed on 23 October 2024).
- Guariguata, M.R.; Arce, J.; Ammour, T.; Capella, J.L. Las Plantaciones Forestales En Perú: Reflexiones, Estatus Actual y Perspectivas a Futuro; Center for International Forestry Research (CIFOR): Bogor, Indonesia, 2017; ISBN 9786023870530. [Google Scholar]
- Flores Bendezú, Y. Fichas Técnicas Para Plantaciones Con Especíes Nativas En Zona de Selva Baja; Instituto Nacional de Innovación Agraria: La Molina, Perú, 2019. [Google Scholar]
- SERFOR. Anuario Forestal y de Fauna Silvestre 2023. 2024. Available online: https://sniffs.serfor.gob.pe/estadistica/es/tableros/publicaciones/anuarios (accessed on 23 October 2024).
- Angulo Ruíz, W.E.; Fasabi Pashanasi, H.; Ruíz Castro, G. Crecimiento y Productividad de Plantación de Tornillo Cedrelinga Cateniformis Ducke, Establecida En La Amazonía Peruana; Trabajo Presentado en el XII Congreso Nacional Forestal; CONAFOR: Lima, Perú, 2016. [Google Scholar]
- Baluarte-Vásquez, J.R.; Alvarez-Gonzales, J.G. Modelamiento Del Crecimiento de Tornillo Cedrelinga Catenaeformis Ducke En Plantaciones En Jenaro Herrera, Departamento de Loreto, Perú. Folia Amaz. 2015, 24, 21. [Google Scholar] [CrossRef]
- Baluarte Vásquez, J. El Control De Calidad De La Madera De Plantaciones, Una Alternativa Para Alentar El Cultivo De Árboles De Especies Forestales Maderables, Estudio De Caso De Cedrelinga Catenaeformis Tornillo. Folia Amaz. 2019, 28, 43–51. [Google Scholar] [CrossRef]
- Haag, V.; Koch, G.; Melcher, E.; Welling, J. Characterization of the Wood Properties of Cedrelinga Cateniformis as Substitute for Timbers Used for Window Manufacturing and Outdoor Applications. Maderas. Cienc. Y Tecnol. 2020, 22, 23–26. [Google Scholar] [CrossRef]
- Sears, R.R.; Cronkleton, P.; Polo Villanueva, F.; Miranda Ruiz, M.; Pérez-Ojeda del Arco, M. Farm-Forestry in the Peruvian Amazon and the Feasibility of Its Regulation through Forest Policy Reform. For. Policy Econ. 2018, 87, 49–58. [Google Scholar] [CrossRef]
- Álvarez Gómez, L.; Ríos Torres, S. Evaluación Económica de Plantaciones de Tornillo; Cedrelinga Catenaeformis, En El Departamento de Loreto: Loreto, Peru, 2009. [Google Scholar]
- Castellanos Niño, Y.; Marco, J. Optimización Del Aprovechamiento de Productos Maderables de Tres Especies Forestales Comerciales En El Departamento Del Guaviare (Departamento de La Amazonía Colombiana) (Optimization of the Use of Timber Products of Three Commercial Forest Species in the Department of Guaviare (Department of the Colombian Amazon)). SSRN Electron. J. 2023. [Google Scholar] [CrossRef]
- Insfrán Ortiz, A.; Rey Benayas, J.M.; Cayuela, L. Establishment and Natural Regeneration of Native Trees in Agroforestry Systems in the Paraguayan Atlantic Forest. Forests 2022, 13, 2045. [Google Scholar] [CrossRef]
- Marquardt, K.; Milestad, R.; Porro, R. Farmers’ Perspectives on Vital Soil-Related Ecosystem Services in Intensive Swidden Farming Systems in the Peruvian Amazon. Hum. Ecol. 2013, 41, 139–151. [Google Scholar] [CrossRef]
- Putney, J.D.; Maguire, D.A. Response of Douglas-Fir Stem Profile to Operational Nitrogen Fertilization in Western Oregon. For. Ecol. Manag. 2021, 496, 119411. [Google Scholar] [CrossRef]
- Adu-Bredu, S.; Bi, A.F.T.; Bouillet, J.-P.; Mé, M.K.; Kyei, S.Y.; Saint-André, L. An Explicit Stem Profile Model for Forked and Un-Forked Teak (Tectona grandis) Trees in West Africa. For. Ecol. Manag. 2008, 255, 2189–2203. [Google Scholar] [CrossRef]
- Olofsson, K.; Holmgren, J. Single Tree Stem Profile Detection Using Terrestrial Laser Scanner Data, Flatness Saliency Features and Curvature Properties. Forests 2016, 7, 207. [Google Scholar] [CrossRef]
- Tavares Júnior, I.d.S.; de Souza, J.R.M.; Lopes, L.S.d.S.; Fardin, L.P.; Casas, G.G.; Oliveira Neto, R.R.d.; Leite, R.V.; Leite, H.G. Machine Learning and Regression Models to Predict Multiple Tree Stem Volumes for Teak. South. For. A J. For. Sci. 2021, 83, 294–302. [Google Scholar] [CrossRef]
- Giri, K.; Chandra, G.; Jayaraj, R.S.C.; Borah, R.K.; Kardong, P.; Borah, S.; Goswami, A.K. Regression Models for Estimating Stem Volume of Aquilaria malaccensis (Lam.) in North East India. Environ. Chall. 2021, 5, 100279. [Google Scholar] [CrossRef]
- Sandoval, S.; Acuña, E. Stem Taper Estimation Using Artificial Neural Networks for Nothofagus Trees in Natural Forest. Forests 2022, 13, 2143. [Google Scholar] [CrossRef]
- Otárola-Acevedo, E.; Linares-Bensimón, C. Tablas de Volumen Total y Comercial de Cedrelinga Catenaeformis Ducke “Tornillo” Para Plantaciones En Loreto, Perú. Folia Amaz. 2006, 13, 151. [Google Scholar] [CrossRef]
- Campos, B.P.F.; Binoti, D.H.B.; da Silva, M.L.; Leite, H.G.; Binoti, M.L.M.; Binoti, M.L.M.d.S. Conversão de Árvores Em Multiprodutos Da Madeira Utilizando Programação Inteira. Rev. Árvore 2013, 37, 881–887. [Google Scholar] [CrossRef]
- Soares, T.S.; do Vale, A.B.; Leite, H.G.; Machado, C.C. Otimização de Multiprodutos Em Povoamentos Florestais. Rev. Árvore 2003, 27, 811–820. [Google Scholar] [CrossRef]
- Löwe, R.; Sedmíková, M.; Natov, P.; Jankovský, M.; Hejcmanová, P.; Dvořák, J. Differences in Timber Volume Estimates Using Various Algorithms Available in the Control and Information Systems of Harvesters. Forests 2019, 10, 388. [Google Scholar] [CrossRef]
- Kaya, A.; Bettinger, P.; Boston, K.; Akbulut, R.; Ucar, Z.; Siry, J.; Merry, K.; Cieszewski, C. Optimisation in Forest Management. Curr. For. Rep. 2016, 2, 1–17. [Google Scholar] [CrossRef]
- Binoti, D.H.B. Computer Systems Applied to Forest Management; Florestal, D.E.M., da Natureza, M.A.E.C., Utilização de, T.E., Eds.; Universidade Federal de Viçosa: Viçosa, Brazil, 2012. [Google Scholar]
- Hoganson, H.M.; Meyer, N.G. Constrained Optimization for Addressing Forest-Wide Timber Production. Curr. For. Rep. 2015, 1, 33–43. [Google Scholar] [CrossRef]
- Murray, A.T.; Church, R.L. Heuristic Solution Approaches to Operational Forest Planning Problems. OR Spektrum 1995, 17, 193–203. [Google Scholar] [CrossRef]
- Qiu, H.; Zhang, H.; Lei, K.; Hu, X.; Yang, T.; Jiang, X. A New Tree-Level Multi-Objective Forest Harvest Model (MO-PSO): Integrating Neighborhood Indices and PSO Algorithm to Improve the Optimization Effect of Spatial Structure. Forests 2023, 14, 441. [Google Scholar] [CrossRef]
- Serrano-Ramírez, E.; Valdez-Lazalde, J.R.; De los Santos-Posadas, H.M.; Mora-Gutíerrez, R.A.; Ángeles-Pérez, G. Optimización de La Producción Forestal Maderable y Conservación Del Ecosistema En Bosques Comunitarios En El Sur de México. Bosque 2019, 40, 195–204. [Google Scholar] [CrossRef]
- Esquivel Quispe, D. Estimación de Carbono y Estructura Poblacional de Cedrelinga Cateniformis En El Santuario Nacional Megantoni, Cusco. Cantua 2024, 21, 14–19. [Google Scholar] [CrossRef]
- Hausxwell, F.W.Z. Determinación Del Volumen Comercial de Ramas de “Cedrelinga Cateniformis” (Tornillo) en Función al Dap y el Área de Copa en un Bosque de Colinas, Región Ucayali. Bachelor’s Thesis, Universidad Nacional de Ucayali, Pucallpa, Perú, 2023. [Google Scholar]
- SENAMHI Mapa Climático Del Perú. Available online: https://www.senamhi.gob.pe/main.php?dp=loreto&p=mapa-climatico-del-peru (accessed on 23 October 2024).
- Cardenas-Rengifo, G.P.; Baselly-Villanueva, J.R.; Chumbimune-Vivanco, S.Y.; Macedo-Ramírez, A.T.; Salazar, E.; Minaya, B.; Quintana, S.; Cabudivo, A.; Palma, S.S.A.; Álvarez-Álvarez, P.; et al. Using Acoustic Tomography to Model Wood Deterioration in Cedrelinga Cateniformis Ducke in the Peruvian Amazon. Forests 2024, 15, 778. [Google Scholar] [CrossRef]
- Cruz, W.; Saldaña, C.; Ramos, H.; Baselly, R.; Cancán Loli, J.; Cuellar, E. Genetic Structure of Natural Populations of Cedrelinga Cateniformis “tornillo” from the Oriental Region of Peru. Sci. Agropecu. 2020, 11, 521–528. [Google Scholar] [CrossRef]
- Team, R.C. R: A Language and Environment for Statistical Computing; R Foundation for Statistical Computing: Vienna, Austria, 2020. [Google Scholar]
- Rentería, A.J.B.; Ramírez, M.H.; Zamudio, S.F. Sistema de Cubicación Para Pinus Cooperi Blanco Mediante Ecuaciones de Ahusamiento En San Dimas, Durango. In Proceedings of the En CEVAG, El Sitio Permanente de Experimentación Forestal (SPEF) “Cielito Azul” a 40 años de su Establecimiento; Instituto Nacional de Investigaciones Forestales, Agrícolas y Pecuarias: San Dimas, México, 2006; p. 135. [Google Scholar]
- Clutter, J.L. Development of Taper Function from Variable Top Merchantable Volume Equations. For. Sci. 1980, 26, 117–120. [Google Scholar]
- Amidon, E.L. A General Taper Functional Form to Predict Bole Volume for Five Mixed-Conifer Species in California. For. Sci. 1984, 30, 166–171. [Google Scholar]
- Kozak, A.; Munro, D.D.; Smith, J.H.G. Taper Functions and Their Application in Forest Inventory. For. Chron. 1969, 45, 278–283. [Google Scholar] [CrossRef]
- Demaerschalk, J.P. Converting Volume Equations to Compatible Taper Equations. For. Sci. 1972, 18, 241–245. [Google Scholar] [CrossRef]
- Ormerod, D.W. A Simple Bole Model. For. Chron. 1973, 49, 136–138. [Google Scholar] [CrossRef]
- Cervera, J.M. El Área Basimétrica Reducida, El Volumen Reducido y El Perfil. Montes 1973, 174, 415–418. [Google Scholar]
- Garay, L. Tropical Forest Utilization System. In VIII A Taper Model for the Entire Stem Profile; Including Buttressing: Seattle, DC, USA, 1979. [Google Scholar]
- COFORD. IFER TreeModel—Irish Stem Profile & Single Tree Volume Equations; COFORD: Co. Carlow, Ireland, 2013. [Google Scholar]
- Finger, C.A.G. Fundamentos de Biometria Florestal; UFSM/ CEPEF/FATEC: Santa Maria, RS, USA, 1992. [Google Scholar]
- Leite, H.G. Conversão de Troncos Em Multiprodutos da Madeira Utilizando Programação Dinâmica; Florestais, D.E.C., Ed.; Universidade Federal de Viçosa: Viçosa, Brazil, 1994. [Google Scholar]
- Leite, H.G.; Campos, J.C.C.; Junior, G.G.d.P. Emprego de Um Modelo de Programação Dinâmica Para Conversão de Troncos Em Multiprodutos Da Madeira. Rev. Árvore 1995, 19, 447–465. [Google Scholar]
- Campos, J.C.C.; Leite, H.G. Forest Measurement: Questions and Answers, 5th ed.; UFV: Viçosa, Brazil, 2017; ISBN 978-8572695794. [Google Scholar]
- Fuentes, E.; Gómez, C.; Pizarro, D.; Alegre, J.; Castillo, M.; Vela, J.; Huaman, E.; Vásquez, H. A Review of Silvopastoral Systems in the Peruvian Amazon Region. Trop. Grassl.-Forrajes Trop. 2022, 10, 78–88. [Google Scholar] [CrossRef]
- Hess, A.F.; Loiola, T.; Arruda de Souza, I.; Nascimento, B. Morfometría de La Copa de Araucaria Angustifolia En Sitios Naturales En El Sur de Brasil. Bosque 2016, 37, 603–611. [Google Scholar] [CrossRef]
- Tinoco-Jaramillo, L.; Vargas-Tierras, Y.; Habibi, N.; Caicedo, C.; Chanaluisa, A.; Paredes-Arcos, F.; Viera, W.; Almeida, M.; Vásquez-Castillo, W. Agroforestry Systems of Cocoa (Theobroma Cacao L.) in the Ecuadorian Amazon. Forests 2024, 15, 195. [Google Scholar] [CrossRef]
- Pizarro, D.; Vásquez, H.; Bernal, W.; Fuentes, E.; Alegre, J.; Castillo, M.S.; Gómez, C. Assessment of Silvopasture Systems in the Northern Peruvian Amazon. Agrofor. Syst. 2020, 94, 173–183. [Google Scholar] [CrossRef]
- Murga-Orrillo, H.; Pashanasi Amasifuén, B.; Arévalo López, L.A.; Inuma, M.C.; Abanto-Rodríguez, C. Cedrelinga catenaeformis (Tornillo) in Natural and Agroforestry Systems: Dendrometry, Soil and Macrofauna. Trees For. People 2024, 16, 100577. [Google Scholar] [CrossRef]
- Santiago-García, W.; Ángeles-Pérez, G.; Quiñonez-Barraza, G.; De los Santos-Posadas, H.M.; Rodríguez-Ortiz, G. Avances y Perspectivas En La Modelación Aplicada a La Planeación Forestal En México. Madera Y Bosques 2020, 26. [Google Scholar] [CrossRef]
- Rodríguez-Toro, A.; Rubilar-Pons, R.; Muñoz-Sáez, F.E.; Cartes-Rodríguez, E.; Acuña-Carmona, E.; Cancino-Cancino, J. Modelo de Ahusamiento Por Tipo de Suelo Para Pinus Radiata En Las Regiones Del Biobío y La Araucanía, Chile. Rev. Chapingo Ser. Cienc. For. Y Del Ambiente 2016, 22, 203–220. [Google Scholar] [CrossRef]
- Tamarit Urías, J.C.; De los Santos Posadas, H.M.; Aldrete, A.; Valdez Lazalde, J.R.; Ramírez Maldonado, H.; Guerra De la Cruz, V. Volume Estimation System for Individual Tectona grandis L. f. Trees through Compatible Taper/Volume Functions. Rev. Mex. Cienc. For. 2014, 5, 58–74. [Google Scholar]
- Salekin, S.; Catalán, C.H.; Boczniewicz, D.; Phiri, D.; Morgenroth, J.; Meason, D.F.; Mason, E.G. Global Tree Taper Modelling: A Review of Applications, Methods, Functions, and Their Parameters. Forests 2021, 12, 913. [Google Scholar] [CrossRef]
- de Aguiar Júnior, A.L.; de Oliveira Neto, S.N.; Müller, M.D.; Soares, C.P.B.; Pena, R.F.; Calsavara, L.H.F. Eucalypt Modeling as a Function of Spatial Arrangement in Agrosilvopastoral Systems. Agrofor. Syst. 2023, 97, 495–508. [Google Scholar] [CrossRef]
- Campos, B.P.F.; Binoti, D.H.B.; Silva, M.D.; Leite, H.G.; Binoti, M.D.S. Effect of Taper Model Used on the Conversion of Trees in Boles into Multiproducts. Sci. For. 2014, 42, 513–520. [Google Scholar]
- Nogueira, G.S.; Leite, H.G.; Reis, G.G.; Moreira, A.M. Influência Do Espaçamento Inicial Sobre a Forma Do Fuste de Árvores de Pinus taeda L. Rev. Árvore 2008, 32, 855–860. [Google Scholar] [CrossRef]
- Leite, H.G.; Oliveira Neto, R.D.; Monte, M.A.; Fardin, L.; Alcantara, A.D.; Binoti, M.D.S.; Castro, R.V.O. Taper Models of Heartwood of Tectona grandis L.f. Sci. For. 2011, 39, 53–59. [Google Scholar]
- Leite, H.G.; Gama, J.R.V.; da Cruz, J.P.; de Souza, A.L. Função de Afilamento Para Virola surinamensis (Roll.) Warb. Rev. Árvore 2006, 30, 99–106. [Google Scholar] [CrossRef]
- Lopes, L.S.D.S.; Rode, R.; Pauletto, D.; Baloneque, D.D.; Silva, A.R.; Santos, K.N.F. Dos Ajuste de Modelos de Taper e Sortimento de Toras de Mogno Africano em Sistemas Agroflorestais em Belterra, Pará. Rev. Agroecossistemas 2018, 10, 18. [Google Scholar] [CrossRef]
- Noda, I.; Himmapan, W.; Furuya, N.; Hitsuma, G. Taper Equations for Evaluating Private Plantation Teak (<<Tectona grandis>>) in Thailand. Jpn. Agric. Res. Q. JARQ 2023, 57, 329–343. [Google Scholar] [CrossRef]
- Pompa García, M.; Javier Corral Rivas, J.; Antonio Díaz Vásquez, M.; Martínez Salvador, M. Función de Ahusamiento y Volumen Compatible Para Pinus Arizonica Engelm. En El Suroeste de Chihuahua. Cienc. For. En México 2009, 34, 117–134. [Google Scholar]
- Díaz Palma, M. A Model of Optimization of Cutting Rules in Forestry Harvesting Considering Different Tapering Functions. Bachelor’s Thesis, Universidad del Bío-Bío, Concepción, Chile, 2023. [Google Scholar]
- Sedjo, R.A. From Foraging to Cropping: The Transition to Plantation Forestry, and Implications for Wood Supply and Demand. Unasylva 2001, 204, 24–32. [Google Scholar]
- Sun, Y.; Jin, X.; Pukkala, T.; Li, F. Two-Level Optimization Approach to Tree-Level Forest Planning. For. Ecosyst. 2022, 9, 100001. [Google Scholar] [CrossRef]
- Yepes-Alza, F.; linares-Bensimón, C. Rendimiento de Trozas Aserradas de Cedrelinga Cateniformis Ducke Obtenidas Del Raleo Silvicultural de Plantaciones en Jenaro Herrera, Loreto—Perú. Folia Amaz. 2007, 16, 115. [Google Scholar] [CrossRef]
- Russo, D.; Marziliano, P.A.; Macrì, G.; Zimbalatti, G.; Tognetti, R.; Lombardi, F. Tree Growth and Wood Quality in Pure vs. Mixed-Species Stands of European Beech and Calabrian Pine in Mediterranean Mountain Forests. Forests 2019, 11, 6. [Google Scholar] [CrossRef]
- Dong, L.; Lin, X.; Bettinger, P.; Liu, Z. How to Maximize the Joint Benefits of Timber Production and Carbon Sequestration for Rural Areas? A Case Study of Larch Plantations in Northeast China. Carbon Balance Manag. 2024, 19, 24. [Google Scholar] [CrossRef] [PubMed]
- Ramos-Maldonado, M.; Muñoz, F.T.; Mora, P.; Venegas-Vásconez, D. Optimizing Cutting Log Operations in Softwood Sawmills: A Multi-Objective Approach Tailored for SMEs. IEEE Access 2024, 12, 128141–128150. [Google Scholar] [CrossRef]
- Acevedo, C.; Ramos-Maldonado, M.; Aguilera, C.; Monsalve-Lozano, D. Optimización 3D de Patrones de Corte Para Trozas de Pino Radiata Con Cilindro Central Defectuoso. Maderas. Cienc. Y Tecnol. 2015, 17, 2. [Google Scholar] [CrossRef]
- Zamora, I.A.; Sanz, M.C.; Fernández, V.P. Modelo de Estimación de Volumen de Madera Aserrada Que Emplea Variables de Árboles En Pie Para “Pinus Radiata” D. Don. Cuad. La Soc. Española Cienc. For. 2004, 135–140. [Google Scholar]
- FAO. La Industria De La Madera En El Perú; FAO: Rome, Italy, 2018. [Google Scholar]
- López Pérez, J. Estado Actual Socio Económico y Tecnológico de La Industria Del Aserrío de Madera En La Provincia de Maynas—Loreto—Perú 2023. Bachelor’s Thesis, Universidad Nacional de la Amazonía Peruana, Iquitos, Peru, 2024. [Google Scholar]







| Plantation | Associated Production System | Forest and Fruit Species | Area (ha) | Age (Years) | Distancing (m) (Rows/Floors) | Planting System |
|---|---|---|---|---|---|---|
| P-1 | FM | Cedrelinga cateniformis + Centrocema macrocarpum | 0.09 | 10 | 5 × 5 | Square |
| P-2 | ASF | Cedrelinga cateniformis + Calycophyllum spruceanum + Virola albidiflora + Theobroma cacao + Centrocema macrocarpum | 1.00 | 10 | 5 × 15 | Rectangle |
| P-3 | ASF | Cedrelinga cateniformis + Calophyllum brasiliense + Bactris gasipaes + Centrocema macrocarpum | 1.26 | 19 | 35 × 5 | Rectangle |
| P-4 | ASF | Cedrelinga cateniformis + Bertholletia excelsa + Theobroma grandiflorum + Centrocema macrocarpum | 0.54 | 25 | 12 × 8 | Five-petal |
| P-5 | LF | Cedrelinga cateniformis + Centrocema macrocarpum | 0.05 | 29 | 5 | Linear |
| P-6 | ASF | Cedrelinga cateniformis + Theobroma grandiflorum + Centrocema macrocarpum | 0.40 | 28 | 10 × 10 | Five-petal |
| P-7 | ASF | Cedrelinga cateniformis + Piper nigrum + Centrocema macrocarpum | 0.27 | 35 | 2.7 × 2.7 | Rectangle |
| Model Type | Function | Equation |
|---|---|---|
| Chapman-Richards | (19) | |
| Exponential | (20) | |
| Reciprocal | (21) | |
| Logarithmic | (22) | |
| Reciprocal-Log | (23) |
| Plantation | Equation | Model | |||||
|---|---|---|---|---|---|---|---|
| P-1 | (1) | Cielito I | - | 2.6367 *** | −6.4578 *** | 5.3099 *** | - |
| (2) | Cielito II | 1.6473 *** | −10.5955 *** | 42.5310 *** | −79.6238 *** | 52.9715 *** | |
| (3) | Clutter | 2.6951 *** | 0.9880 *** | −1.3552 *** | 1.0496 *** | - | |
| (4) | Amidon | - | 1.0294 *** | −0.0719 ns | - | - | |
| (5) | Kozak | 1.4253 *** | −4.3401 *** | 4.3352 *** | - | - | |
| (6) | Demaerschalk | 0.4306 *** | 0.9880 *** | −0.6776 *** | 0.5248 *** | - | |
| (7) | Ormerod | - | 1.0065 *** | - | - | - | |
| (8) | Cervera | 1.0086 *** | −4.2973 *** | 17.3195 *** | −36.4661 *** | 26.6667 *** | |
| (9) | Garay | 1.4083 *** | −0.7795 *** | −1.5982 *** | 0.5109 *** | - | |
| (10) | COFORD e IFER | - | −0.5955 *** | 0.7755 ** | 0.0003 *** | - | |
| P-2 | (1) | Cielito I | - | 2.1966 *** | −5.6452 *** | 5.0686 *** | - |
| (2) | Cielito II | 1.8447 *** | −12.5610 *** | 48.8622 *** | −85.6369 *** | 52.4065 *** | |
| (3) | Clutter | 1.9441 *** | 0.9577 *** | −1.2649 *** | 1.1284 *** | - | |
| (4) | Amidon | - | 1.0566 *** | −0.1645 *** | - | - | |
| (5) | Kozak | 1.5313 *** | −4.4711 *** | 3.9217 *** | - | - | |
| (6) | Demaerschalk | 0.2887 *** | 0.9577 *** | −0.6325 *** | 0.5642 *** | - | |
| (7) | Ormerod | - | 1.0381 *** | - | - | - | |
| (8) | Cervera | 1.1122 *** | −3.9432 *** | 7.0278 *** | −3.282 ns | −2.6621 ns | |
| (9) | Garay | 1.4327 *** | −1.9923 *** | −0.5140 ** | 0.4968 * | - | |
| (10) | COFORD e IFER | - | −0.4620 *** | 0.0704 ** | 0.0252 *** | - | |
| P-3 | (1) | Cielito I | - | 1.5211 *** | −3.5346 *** | 3.2859 *** | - |
| (2) | Cielito II | 1.3918 *** | −8.7808 *** | 36.9321 *** | −72.7176 *** | 49.83182 *** | |
| (3) | Clutter | 1.6416 *** | 0.8479 *** | −1.1331 *** | 1.1862 *** | - | |
| (4) | Amidon | - | 1.0120 *** | −0.1213 * | - | - | |
| (5) | Kozak | 1.2355 *** | −3.4404 *** | 2.9894 *** | - | - | |
| (6) | Demaerschalk | 0.2153 *** | 0.8479 *** | −0.5665 *** | 0.5931 *** | - | |
| (7) | Ormerod | - | 1.1592 *** | - | - | - | |
| (8) | Cervera | 1.0381 *** | −5.0939 *** | 21.9141 *** | −47.6002 *** | 35.3879 *** | |
| (9) | Garay | 1.2006 *** | −1.9589 *** | −0.5274 ** | 0.6099 ** | - | |
| (10) | COFORD e IFER | - | −0.7457 ns | 0.0397 ns | 0.0188 *** | - | |
| P-4 | (1) | Cielito I | - | 2.2812 *** | −5.5187 *** | 4.5587 *** | - |
| (2) | Cielito II | 1.5037 *** | −10.30521 *** | 40.5168 *** | −68.6426 *** | 39.9844 *** | |
| (3) | Clutter | 1.9809 *** | 1.0244 *** | −1.0921 *** | 0.8755 *** | - | |
| (4) | Amidon | - | 1.0177 *** | −0.1385 * | - | - | |
| (5) | Kozak | 1.2471 *** | −3.4367 *** | 3.0283 *** | - | - | |
| (6) | Demaerschalk | 0.2969 * | 1.0244 *** | −0.5461 *** | 0.4378 *** | - | |
| (7) | Ormerod | - | 0.8548 *** | - | - | - | |
| (8) | Cervera | 1.1136 *** | −6.8880 *** | 30.0872 *** | −56.0962 *** | 35.0389 *** | |
| (9) | Garay | 1.5299 ** | −1.7740** | −0.5223 ** | 0.3101 ** | - | |
| (10) | COFORD e IFER | - | −2.9905 *** | 0.1342 *** | 0.0062 *** | - | |
| P-5 | (1) | Cielito I | - | 0.9199 *** | −1.4577 ** | 1.8637 *** | - |
| (2) | Cielito II | 1.4499 *** | −7.7048 *** | 28.5881 *** | −49.9187 *** | 29.8572 *** | |
| (3) | Clutter | 1.1555 *** | 0.8918 *** | −0.9449 *** | 1.0684 *** | - | |
| (4) | Amidon | - | 1.0465 *** | −0.1589 *** | - | - | |
| (5) | Kozak | 1.2899 *** | −2.8793 *** | 1.8474 *** | - | - | |
| (6) | Demaerschalk | 0.0628 ns | 0.8919 *** | −0.4724 *** | 0.5342 *** | - | |
| (7) | Ormerod | - | 0.9632 *** | - | - | - | |
| (8) | Cervera | 1.1108 *** | −4.1757 *** | 14.6614 *** | −27.9422 *** | 18.0384 *** | |
| (9) | Garay | 1.1712 *** | −4.3455 ** | −0.2340 ** | 0.7972 *** | - | |
| (10) | COFORD e IFER | - | −0.2177 ns | 0.0031 ns | 0.0048 ns | - | |
| P-6 | (1) | Cielito I | - | 0.7490 *** | −1.6084 ** | 2.2074 *** | - |
| (2) | Cielito II | 1.4639 *** | −7.8082 *** | 28.6149 *** | −53.6171 *** | 35.7454 *** | |
| (3) | Clutter | 1.7447 *** | 0.9034 *** | −1.3836 *** | 1.3603 *** | - | |
| (4) | Amidon | - | 1.0244 *** | −0.2743 *** | - | - | |
| (5) | Kozak | 1.3144 *** | −3.4834 *** | 2.6341 *** | - | - | |
| (6) | Demaerschalk | 0.2417** | 0.9034 *** | −0.6918 *** | 0.6802 *** | - | |
| (7) | Ormerod | - | 1.2869 *** | - | - | - | |
| (8) | Cervera | 1.0497 *** | −4.0688 *** | 14.2263 *** | −30.5012 *** | 23.0377 *** | |
| (9) | Garay | 1.2066 *** | −4.4049 *** | −0.2582 *** | 0.7581 ** | - | |
| (10) | COFORD e IFER | - | −1.2023 ns | 0.0318 ns | 0.0438 *** | - | |
| P-7 | (1) | Cielito I | - | 1.6700 *** | −3.8591 *** | 3.5137 *** | - |
| (2) | Cielito II | 1.4592 *** | −8.9219 *** | 32.6118 *** | −53.6524 *** | 30.6442 *** | |
| (3) | Clutter | 1.8009 *** | 1.0317 *** | −1.1722 *** | 0.9822 *** | - | |
| (4) | Amidon | - | 1.0231 *** | −0.1103 *** | - | - | |
| (5) | Kozak | 1.2640 *** | −3.2419 *** | 2.5407 *** | - | - | |
| (6) | Demaerschalk | 0.2555 *** | 1.0317 *** | −0.5861 *** | 0.4911 *** | - | |
| (7) | Ormerod | - | 0.9377 *** | - | - | - | |
| (8) | Cervera | 1.0818 *** | −5.2557 *** | 19.3922 *** | −34.1951 *** | 20.7376 *** | |
| (9) | Garay | 1.3510 *** | −3.9110 *** | −0.2219 ** | 0.4214 * | - | |
| (10) | COFORD e IFER | - | −0.5717 *** | 0.1017 *** | 0.0055 *** | - |
| Plantation | Model | Equation | R2adj | rYŶ | RMSE | RMSE% | Bias | Bias% | AIC |
|---|---|---|---|---|---|---|---|---|---|
| P-1 | Cielito I | (1) | 0.924 | 0.964 | 1.680 | 9.105 | −0.228 | −1.238 | 79.378 |
| Cielito II | (2) | 0.953 | 0.980 | 1.299 | 7.041 | −0.261 | −1.415 | 46.996 | |
| Clutter | (3) | 0.890 | 0.949 | 2.013 | 10.908 | −0.390 | −2.115 | 103.555 | |
| Amidon | (4) | 0.897 | 0.950 | 11.277 | 61.123 | −0.406 | −2.202 | 101.193 | |
| Kozak | (5) | 0.910 | 0.956 | 1.838 | 9.962 | −0.232 | −1.258 | 87.421 | |
| Demaerschalk | (6) | 0.890 | 0.949 | 2.012 | 10.904 | −0.389 | −2.110 | 103.501 | |
| Ormerod | (7) | 0.881 | 0.949 | 2.131 | 11.548 | −0.786 | −4.261 | 105.181 | |
| Cervera | (8) | 0.951 | 0.980 | 1.337 | 7.245 | −0.292 | −1.581 | 46.824 | |
| Garay | (9) | 0.948 | 0.978 | 1.401 | 7.592 | −0.491 | −2.663 | 55.080 | |
| COFORD e IFER | (10) | 0.872 | 0.949 | 2.185 | 11.845 | −0.972 | −5.268 | 114.572 | |
| P-2 | Cielito I | (1) | 0.933 | 0.968 | 2.287 | 11.520 | 0.326 | 1.641 | 142.193 |
| Cielito II | (2) | 0.965 | 0.984 | 1.642 | 8.273 | 0.281 | 1.414 | 91.282 | |
| Clutter | (3) | 0.944 | 0.973 | 2.079 | 10.476 | −0.303 | −1.525 | 127.003 | |
| Amidon | (4) | 0.948 | 0.974 | 10.170 | 51.234 | −0.146 | −0.736 | 121.762 | |
| Kozak | (5) | 0.923 | 0.963 | 2.453 | 12.358 | 0.267 | 1.346 | 149.415 | |
| Demaerschalk | (6) | 0.944 | 0.973 | 2.079 | 10.474 | −0.302 | −1.523 | 126.983 | |
| Ormerod | (7) | 0.932 | 0.974 | 2.313 | 11.652 | −1.009 | −5.084 | 138.017 | |
| Cervera | (8) | 0.956 | 0.978 | 1.838 | 9.262 | −0.066 | −0.332 | 104.790 | |
| Garay | (9) | 0.967 | 0.984 | 1.603 | 8.074 | −0.290 | −1.462 | 85.376 | |
| COFORD e IFER | (10) | 0.914 | 0.975 | 2.589 | 13.044 | −1.610 | −8.110 | 162.046 | |
| P-3 | Cielito I | (1) | 0.878 | 0.940 | 4.355 | 11.646 | 0.766 | 2.050 | 139.066 |
| Cielito II | (2) | 0.871 | 0.938 | 4.426 | 11.838 | 0.765 | 2.046 | 142.501 | |
| Clutter | (3) | 0.857 | 0.929 | 4.684 | 12.527 | 0.410 | 1.096 | 145.464 | |
| Amidon | (4) | 0.864 | 0.931 | 12.926 | 34.570 | 0.486 | 1.300 | 144.354 | |
| Kozak | (5) | 0.874 | 0.938 | 4.417 | 11.812 | 0.736 | 1.969 | 136.309 | |
| Demaerschalk | (6) | 0.857 | 0.929 | 4.686 | 12.532 | 0.425 | 1.137 | 145.496 | |
| Ormerod | (7) | 0.866 | 0.932 | 4.604 | 12.315 | −0.505 | −1.351 | 137.962 | |
| Cervera | (8) | 0.876 | 0.939 | 4.372 | 11.694 | 0.639 | 1.709 | 137.423 | |
| Garay | (9) | 0.888 | 0.943 | 4.190 | 11.206 | −0.148 | −0.395 | 135.688 | |
| COFORD e IFER | (10) | 0.861 | 0.932 | 4.644 | 12.422 | −0.812 | −2.173 | 144.721 | |
| P-4 | Cielito I | (1) | 0.897 | 0.956 | 5.287 | 12.972 | 1.827 | 4.483 | 99.681 |
| Cielito II | (2) | 0.943 | 0.976 | 3.871 | 9.498 | 1.159 | 2.844 | 84.893 | |
| Clutter | (3) | 0.890 | 0.951 | 5.417 | 13.289 | 1.628 | 3.994 | 100.982 | |
| Amidon | (4) | 0.920 | 0.961 | 11.499 | 28.211 | 0.167 | 0.410 | 93.551 | |
| Kozak | (5) | 0.882 | 0.949 | 5.668 | 13.907 | 1.963 | 4.817 | 99.429 | |
| Demaerschalk | (6) | 0.890 | 0.951 | 5.417 | 13.290 | 1.631 | 4.001 | 100.985 | |
| Ormerod | (7) | 0.900 | 0.950 | 5.316 | 13.043 | 0.922 | 2.262 | 93.975 | |
| Cervera | (8) | 0.946 | 0.978 | 3.793 | 9.305 | 1.298 | 3.185 | 79.791 | |
| Garay | (9) | 0.940 | 0.973 | 4.078 | 10.004 | 1.196 | 2.935 | 85.692 | |
| COFORD e IFER | (10) | 0.919 | 0.963 | 4.706 | 11.547 | −1.155 | −2.834 | 93.413 | |
| P-5 | Cielito I | (1) | 0.922 | 0.962 | 5.768 | 14.458 | 1.216 | 2.983 | 224.620 |
| Cielito II | (2) | 0.922 | 0.963 | 5.714 | 13.004 | 1.107 | 2.715 | 225.449 | |
| Clutter | (3) | 0.937 | 0.969 | 5.139 | 32.949 | −0.429 | −1.053 | 210.471 | |
| Amidon | (4) | 0.939 | 0.971 | 13.021 | 14.650 | −1.058 | −2.596 | 209.608 | |
| Kozak | (5) | 0.921 | 0.962 | 5.790 | 12.996 | 1.131 | 2.776 | 221.071 | |
| Demaerschalk | (6) | 0.937 | 0.969 | 5.136 | 13.693 | −0.399 | −0.978 | 210.397 | |
| Ormerod | (7) | 0.932 | 0.970 | 5.411 | 13.896 | −1.695 | −4.159 | 210.791 | |
| Cervera | (8) | 0.929 | 0.965 | 5.492 | 12.577 | 0.884 | 2.169 | 216.598 | |
| Garay | (9) | 0.942 | 0.971 | 4.971 | 3.561 | −0.538 | −1.321 | 206.387 | |
| COFORD e IFER | (10) | 0.931 | 0.970 | 5.398 | 3.150 | 1.407 | 3.452 | 216.488 | |
| P-6 | Cielito I | (1) | 0.928 | 0.968 | 3.950 | 14.266 | 1.245 | 4.347 | 113.808 |
| Cielito II | (2) | 0.930 | 0.969 | 3.826 | 12.548 | 1.166 | −0.388 | 113.400 | |
| Clutter | (3) | 0.947 | 0.974 | 3.365 | 49.295 | −0.104 | 3.531 | 101.705 | |
| Amidon | (4) | 0.922 | 0.964 | 13.221 | 14.445 | 0.947 | 4.400 | 117.135 | |
| Kozak | (5) | 0.930 | 0.969 | 3.874 | 12.543 | 1.180 | −0.360 | 108.341 | |
| Demaerschalk | (6) | 0.947 | 0.974 | 3.364 | 13.487 | −0.097 | −2.766 | 101.675 | |
| Ormerod | (7) | 0.941 | 0.972 | 3.617 | 13.985 | −0.742 | 3.136 | 101.157 | |
| Cervera | (8) | 0.934 | 0.970 | 3.751 | 12.144 | 0.841 | 0.558 | 107.895 | |
| Garay | (9) | 0.951 | 0.976 | 3.257 | 12.652 | 0.150 | 1.128 | 99.231 | |
| COFORD e IFER | (10) | 0.947 | 0.976 | 3.393 | 16.136 | 0.303 | 2.243 | 102.325 | |
| P-7 | Cielito I | (1) | 0.946 | 0.974 | 4.328 | 12.796 | 0.602 | 1.696 | 270.866 |
| Cielito II | (2) | 0.949 | 0.977 | 4.191 | 13.721 | 0.556 | −1.211 | 267.143 | |
| Clutter | (3) | 0.942 | 0.971 | 4.494 | 40.121 | −0.397 | −2.610 | 277.568 | |
| Amidon | (4) | 0.943 | 0.973 | 13.140 | 12.957 | −0.855 | 1.592 | 276.449 | |
| Kozak | (5) | 0.949 | 0.975 | 4.243 | 13.719 | 0.521 | −1.208 | 263.360 | |
| Demaerschalk | (6) | 0.942 | 0.971 | 4.493 | 14.183 | −0.396 | −1.699 | 277.537 | |
| Ormerod | (7) | 0.939 | 0.969 | 4.645 | 12.573 | −0.556 | 0.513 | 277.456 | |
| Cervera | (8) | 0.951 | 0.976 | 4.118 | 11.023 | 0.168 | −0.244 | 260.013 | |
| Garay | (9) | 0.963 | 0.982 | 3.610 | 13.962 | −0.080 | −5.459 | 238.586 | |
| COFORD e IFER | (10) | 0.940 | 0.975 | 4.572 | 0.000 | −1.788 | 0.000 | 280.660 |
| Plantation | Log Lengths (m) | Total (m3ha−1) | ||||
|---|---|---|---|---|---|---|
| 1.83 | 2.13 | 2.44 | 2.74 | 3.05 | ||
| P-1 | 11.5271 | 18.2752 | 29.8023 | |||
| P-2 | 10.7798 | 16.0802 | 26.8600 | |||
| P-3 | 0.2006 | 13.5088 | 49.4906 | 63.2000 | ||
| P-4 | 79.4685 | 84.2906 | 163.7591 | |||
| P-5 | 40.0938 | 144.6596 | 184.7534 | |||
| P-6 | 34.8302 | 53.8283 | 88.6585 | |||
| P-7 | 1.8374 | 126.4132 | 379.8380 | 508.0886 | ||
| Plantation | Dimensions of Pieces (cm) (Width × Thickness) | Log Lengths (m) | Total (m3ha−1) | |||||
|---|---|---|---|---|---|---|---|---|
| 1.83 | 2.13 | 2.44 | 2.74 | 3.05 | ||||
| P-1 | 10.16 × 2.54 | 1.4360 | 1.4360 | 16.7551 | ||||
| 10.16 × 3.81 | 1.0957 | 3.6378 | 4.7335 | |||||
| 10.16 × 5.08 | 1.4417 | 1.9147 | 3.3563 | |||||
| 17.78 × 2.54 | 0.8388 | 0.8388 | ||||||
| 17.78 × 3.81 | 3.8403 | 2.5501 | 6.3904 | |||||
| P-2 | 10.16 × 2.54 | 0.2772 | 0.6992 | 0.9764 | 16.1079 | |||
| 10.16 × 3.81 | 0.8990 | 0.4496 | 1.3486 | |||||
| 10.16 × 5.08 | 1.9222 | 3.8186 | 5.7408 | |||||
| 17.78 × 2.54 | 0.2429 | 0.2828 | 0.5257 | |||||
| 17.78 × 3.81 | 1.9201 | 1.1461 | 3.0662 | |||||
| 17.78 × 5.08 | 0.3239 | 2.4506 | 2.7745 | |||||
| 25.40 × 2.54 | 0.1162 | 0.6763 | 0.7925 | |||||
| 25.40 × 3.81 | 0.8832 | 0.8832 | ||||||
| P-3 | 17.78 × 3.81 | 0.0369 | 2.9656 | 6.2856 | 9.2881 | 41.3542 | ||
| 17.78 × 5.08 | 0.0486 | 3.1103 | 12.1142 | 15.2732 | ||||
| 25.40 × 3.81 | 1.1513 | 8.3606 | 9.5119 | |||||
| 25.40 × 5.08 | 0.4328 | 6.8483 | 7.2812 | |||||
| P-4 | 17.78 × 5.08 | 10.9310 | 10.6182 | 21.5492 | 104.7930 | |||
| 17.78 × 5.08 | 21.4519 | 17.5343 | 38.9862 | |||||
| 25.40 × 3.81 | 8.6141 | 7.8189 | 16.4330 | |||||
| 25.40 × 5.08 | 15.9871 | 11.8374 | 27.8246 | |||||
| P-5 | 17.78 × 3.81 | 5.1418 | 17.0269 | 22.1686 | 127.8294 | |||
| 17.78 × 5.08 | 9.7723 | 42.7021 | 52.4745 | |||||
| 25.40 × 3.81 | 5.1571 | 18.7229 | 23.8800 | |||||
| 25.40 × 5.08 | 4.5933 | 24.7129 | 29.3063 | |||||
| P-6 | 17.78 × 3.81 | 6.3752 | 7.3031 | 13.6783 | 51.8490 | |||
| 17.78 × 5.08 | 6.4092 | 12.3518 | 18.7609 | |||||
| 25.40 × 3.81 | 1.9531 | 4.9221 | 6.8752 | |||||
| 25.40 × 5.08 | 5.0044 | 7.5301 | 12.5345 | |||||
| P-7 | 17.78 × 3.81 | 0.3200 | 24.0686 | 43.6134 | 68.0020 | 333.6007 | ||
| 17.78 × 5.08 | 0.4211 | 25.5827 | 101.9507 | 127.9545 | ||||
| 25.40 × 3.81 | 12.8530 | 43.0687 | 55.9217 | |||||
| 25.40 × 5.08 | 15.1371 | 66.5855 | 81.7226 | |||||
Disclaimer/Publisher’s Note: The statements, opinions and data contained in all publications are solely those of the individual author(s) and contributor(s) and not of MDPI and/or the editor(s). MDPI and/or the editor(s) disclaim responsibility for any injury to people or property resulting from any ideas, methods, instructions or products referred to in the content. |
© 2025 by the authors. Licensee MDPI, Basel, Switzerland. This article is an open access article distributed under the terms and conditions of the Creative Commons Attribution (CC BY) license (https://creativecommons.org/licenses/by/4.0/).
Share and Cite
Baselly-Villanueva, J.R.; Fernández-Sandoval, A.; Salazar-Hinostroza, E.J.; Cárdenas-Rengifo, G.P.; Puerta, R.; Trigoso, T.S.C.; Rufasto-Peralta, Y.L.; Vallejos-Torres, G.; Casas, G.G.; Araújo Junior, C.A.; et al. MultiProduct Optimization of Cedrelinga cateniformis (Ducke) Ducke in Different Plantation Systems in the Peruvian Amazon. Forests 2025, 16, 164. https://doi.org/10.3390/f16010164
Baselly-Villanueva JR, Fernández-Sandoval A, Salazar-Hinostroza EJ, Cárdenas-Rengifo GP, Puerta R, Trigoso TSC, Rufasto-Peralta YL, Vallejos-Torres G, Casas GG, Araújo Junior CA, et al. MultiProduct Optimization of Cedrelinga cateniformis (Ducke) Ducke in Different Plantation Systems in the Peruvian Amazon. Forests. 2025; 16(1):164. https://doi.org/10.3390/f16010164
Chicago/Turabian StyleBaselly-Villanueva, Juan Rodrigo, Andrés Fernández-Sandoval, Evelin Judith Salazar-Hinostroza, Gloria Patricia Cárdenas-Rengifo, Ronald Puerta, Tony Steven Chuquizuta Trigoso, Yennifer Lisbeth Rufasto-Peralta, Geomar Vallejos-Torres, Gianmarco Goycochea Casas, Carlos Alberto Araújo Junior, and et al. 2025. "MultiProduct Optimization of Cedrelinga cateniformis (Ducke) Ducke in Different Plantation Systems in the Peruvian Amazon" Forests 16, no. 1: 164. https://doi.org/10.3390/f16010164
APA StyleBaselly-Villanueva, J. R., Fernández-Sandoval, A., Salazar-Hinostroza, E. J., Cárdenas-Rengifo, G. P., Puerta, R., Trigoso, T. S. C., Rufasto-Peralta, Y. L., Vallejos-Torres, G., Casas, G. G., Araújo Junior, C. A., Quiñónez-Barraza, G., Álvarez-Álvarez, P., & Leite, H. G. (2025). MultiProduct Optimization of Cedrelinga cateniformis (Ducke) Ducke in Different Plantation Systems in the Peruvian Amazon. Forests, 16(1), 164. https://doi.org/10.3390/f16010164

