Spatial Distribution Pattern and Factors Influencing the Endangered Plant Tetracentron sinense Oliv.
Abstract
1. Introduction
2. Materials and Methods
2.1. Study Area
2.2. Climate Characteristics of the Study Area
2.3. Selecting Study Patches
2.4. DBH Size Classification for T. sinense
2.5. Identifying the Dominant Associated Species
2.6. Point Pattern Analysis
2.7. Complete Spatial Randomness Null Hypothesis Model
2.8. Determination of Microhabitat Factors
2.9. Redundancy Analysis
3. Results
3.1. Spatial Distribution Patterns of T. sinense Populations
3.2. Characteristics of the Age Class of T. sinense Populations
3.3. Spatial Correlation Between Young Trees and Adult Trees in T. sinense
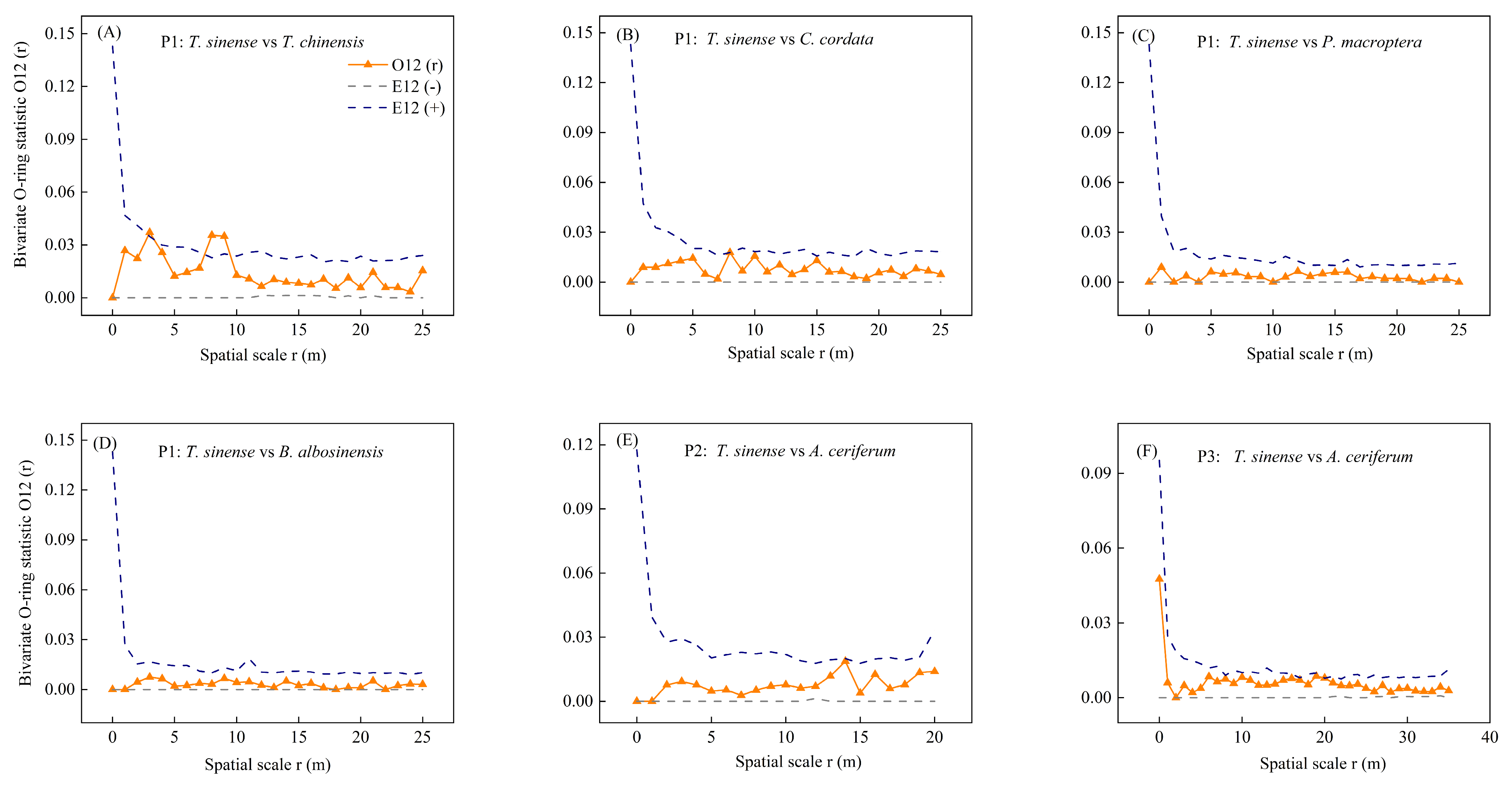
3.4. Spatial Correlation Between T. sinense and the Main Species of Trees Associated with It
3.4.1. BMSM Population
3.4.2. DFD Population
3.4.3. LGM Population
3.4.4. FP Population
3.5. Effects of Microhabitat Factors on the Spatial Distribution Pattern of the T. sinense Population
4. Discussion
4.1. The Spatial Distribution Pattern of T. sinense
4.2. The Impact of Age Class on the Spatial Distribution Pattern of T. sinense
4.3. The Impact of Key Associated Species on the Spatial Distribution Pattern of T. sinense
4.4. The Impact of Microhabitat Factors on the Spatial Distribution Pattern of T. sinense
5. Conclusions
Supplementary Materials
Author Contributions
Funding
Data Availability Statement
Acknowledgments
Conflicts of Interest
Abbreviations
| BMSM | Baima Snow Mountain population | 
| DFD | Dafengding population | 
| LGM | Leigong Mountain population | 
| FP | Foping population | 
| DBH | Diameter at breast height | 
References
- Muvengwi, J.; Mbiba, M.; Chikumbindi, J.; Ndagurwa, H.; Mureva, A. Population structure and spatial point-pattern analysis of a mono stand of Acacia polyacantha along a catena in a savanna ecosystem. For. Ecol. Manag. 2018, 409, 499–508. [Google Scholar] [CrossRef]
- Condit, R.; Ashton, P.S.; Baker, P.; Bunyavejchewin, S.; Gunatilleke, S.; Gunatilleke, N.; Hubbell, S.P.; Foster, R.B.; Itoh, A.; LaFrankie, J.V.; et al. Spatial patterns in the distribution of tropical tree species. Science 2000, 288, 1414–1418. [Google Scholar] [CrossRef] [PubMed]
- Guo, Y.L.; Lu, J.M.; Franklin, S.B.; Wang, Q.; Xu, Y.; Zhang, K.; Bao, D.; Qiao, X.; Huang, H.; Lu, Z.; et al. Spatial distribution of tree species in a species-rich subtropical mountain forest in central China. Can. J. For. Res. 2013, 43, 826–835. [Google Scholar] [CrossRef]
- Omelko, A.; Ukhvatkina, O.; Zhmerenetsky, A.; Sibirina, L.; Petrenko, T.; Bobrovsky, M. From young to adult trees: How spatial patterns of plants with different life strategies change during age development in an old-growth Korean pine-broadleaved forest. For. Ecol. Manag. 2018, 411, 46–66. [Google Scholar] [CrossRef]
- Cheng, X.; Han, H.; Kang, F.; Song, Y.; Liu, K. Point pattern analysis of different life stages of Quercus liaotungensis in Lingkong Mountain, Shanxi Province, China. J. Plant Interact. 2014, 9, 233–240. [Google Scholar] [CrossRef]
- Kokkonen, N.A.; Macdonald, S.E.; Curran, I.; Landhäusser, S.M.; Lieffers, V.J. Effects of substrate availability and competing vegetation on natural regeneration of white spruce on logged boreal mixedwood sites. Can. J. For. Res. 2018, 48, 324–332. [Google Scholar] [CrossRef]
- Perea, A.J.; Wiegand, T.; Garrido, J.L.; Rey, P.J.; Alcántara, J.M. Legacy effects of seed dispersal mechanisms shape the spatial interaction network of plant species in Mediterranean forests. J. Ecol. 2021, 109, 3670–3684. [Google Scholar] [CrossRef]
- Denney, D.A.; Jameel, M.I.; Bemmels, J.B.; Rochford, M.E.; Anderson, J.T. Small spaces, big impacts: Contributions of micro-environmental variation to population persistence under climate change. AoB Plants 2020, 12, plaa005. [Google Scholar] [CrossRef] [PubMed]
- Amoghavarsha, C.; Pramesh, D.; Sridhara, S.; Patil, B.; Shil, S.; Naik, G.R.; Naik, M.K.; Shokralla, S.; El-Sabrout, A.M.; Mahmoud, E.A.; et al. Spatial distribution and identification of potential risk regions to rice blast disease in different rice ecosystems of Karnataka. Sci. Rep. 2022, 12, 7403. [Google Scholar] [CrossRef] [PubMed]
- Jafari-Mamaghani, M.; Andersson, M.; Krieger, P. Spatial point pattern analysis of neurons using ripley’s K-function in 3D. Front. Neuroinform. 2010, 4, 9. [Google Scholar] [CrossRef] [PubMed]
- Sun, Y.; Moore, M.J.; Yue, L.; Feng, T.; Chu, H.; Chen, S.; Ji, Y.; Wang, H.; Li, J.; Carine, M. Chloroplast phylogeography of the East Asian Arcto-Tertiary relict Tetracentron sinense (Trochodendraceae). J. Biogeogr. 2014, 41, 1721–1732. [Google Scholar] [CrossRef]
- Fu, L.G.; Jin, J.M. Red Book on Chinese Plants, 1st ed.; Science Press: Beijing, China, 1992. [Google Scholar]
- Gan, Y.J.; Cheng, L.J.; Tang, J.F.; Han, H.Y.; Gan, X.H. Evaluating the vulnerability of Tetracentron sinense habitats to climate-induced latitudinal shifts. Ecol. Evol. 2024, 14, e11710. [Google Scholar] [CrossRef] [PubMed]
- Zhang, H.; Deng, H.; Gan, X. The spatial pattern of the tertiary relict plant Tetracentron sinense Oliver and its influencing factors. Forests 2024, 15, 110. [Google Scholar] [CrossRef]
- Li, S.; Gan, X.; Han, H.; Zhang, X.; Tian, Z. Low within-population genetic diversity and high genetic differentiation among populations of the endangered plant Tetracentron sinense Oliver revealed by inter-simple sequence repeat analysis. Ann. For. Sci. 2018, 75, 74. [Google Scholar] [CrossRef]
- Zhou, M.; Peng, P.; Zhang, X.; Lu, Y.; Han, L.; Chen, D.; Li, H.; Tian, L.; Chai, H.; Hou, Z. First isolation of Trichuris from Chinese serow, Capricornis milneedwardsii (Cetartiodactyla: Caprinae). Parasitol. Res. 2022, 121, 1047–1051. [Google Scholar] [CrossRef]
- Chen, X.; Zhang, T.; Luo, G.; Wu, Y.; Ran, J.; Chen, M.; Li, L.; Gong, Y. Composition and vertical distribution pattern of birds species in the Meigu Dafengding National Nature Reserve, Sichuan. Sichuan J. Zool. 2019, 38, 445–451. [Google Scholar]
- Sheng, S.; Zhu, Y.; Liu, Y.; Zheng, J.; Yu, Y.; Li, Y.; Zhang, K.; Xu, Y. Differences in bird diversity between indigenous communities and surrounding protected areas in the Leigongshan national nature reserve, Guizhou. Sichuan J. Zool. 2022, 41, 313–320. [Google Scholar]
- Li, R.; Chen, J.; Yang, X.; Yin, S.; Shin, R.; Bai, Y.; Xu, L. The impact of population change on social-ecological systems’ vulnerability: A case of the Qingling Daba mountains of southern Shanxi in China. J. Clea. Prod. 2024, 476, 143682. [Google Scholar] [CrossRef]
- Yao, L.; Wang, Z.; Wu, C.; Yuan, W.; Zhu, J.; Jiao, J.; Jiang, B. Competition and facilitation co-regulate spatialpatterns and coexistence in a coniferous and broad-leaved mixed forest community in Zhejiang, China. Forests 2022, 13, 1356. [Google Scholar] [CrossRef]
- Xu, H.; Wang, X.; Qu, Q.; Yang, Z.; Wang, M.; Liu, G.; Xue, S. Variations and factors characterizing ecological niches of species in a stable grassland plant community. Ecol. Indic. 2021, 128, 107846. [Google Scholar] [CrossRef]
- He, Y.; Yu, M.; Ding, G.; Wang, C.; Zhang, F. Precipitation amount and event intervals interact to change plant diversity during dry years in a desert shrubland. Ecol. Indic. 2022, 145, 109701. [Google Scholar] [CrossRef]
- Wiegand, T.A.; Moloney, K. Rings, circles, and null-models for point pattern analysis in ecology. Oikos 2004, 104, 209–229. [Google Scholar] [CrossRef]
- Ben-Said, M. Spatial point-pattern analysis as a powerful tool in identifying pattern-process relationships in plant ecology: An updated review. Ecol. Process. 2021, 10, 56. [Google Scholar] [CrossRef]
- Pillay, T.; Ward, D. Spatial pattern analysis and competition between Acacia karroo trees in humid savannas. Plant Ecol. 2012, 213, 1609–1619. [Google Scholar] [CrossRef]
- Podlaski, R. Models of the fine-scale spatial distributions of trees in managed and unmanaged forest patches with Abies alba Mill. and Fagus sylvatica L. For. Ecol. Manag. 2019, 439, 1–8. [Google Scholar] [CrossRef]
- Yusup, A.; Halik, Ü.; Abliz, A.; Aishan, T.; Keyimu, M.; Wei, J. Population structure and spatial distribution pattern of Populus euphratica riparian forest under environmental heterogeneity along the tarim river, northwest China. Front. Plant Sci. 2022, 14, 844819. [Google Scholar] [CrossRef]
- Wang, X.; Ye, J.; Li, B.; Zhang, J.; Lin, F.; Hao, Z. Spatial distributions of species in an old-growth temperate forest, northeastern China. Can. J. For. Res. 2010, 40, 1011–1019. [Google Scholar] [CrossRef]
- Lin, Y.C.; Chang, L.W.; Yang, K.C.; Wang, H.H.; Sun, I.F. Point patterns of tree distribution determined by habitat heterogeneity and dispersal limitation. Oecologia 2010, 165, 175–184. [Google Scholar] [CrossRef]
- Yao, L.; Xu, Y.; Jiang, B.; Wu, C.; Yuan, W.; Zhu, J.; Li, T.; Wang, Z. Competition restricts the growth, development, and propagation of Carpinus tientaiensis: A rare and endangered species in China. Forests 2021, 12, 503. [Google Scholar] [CrossRef]
- Coomes, D.A.; Duncan, R.P.; Allen, R.B.; Truscott, J. Disturbances prevent stem size-density distributions in natural forests from following scaling relationships. Ecol. Lett. 2003, 6, 980–989. [Google Scholar] [CrossRef]
- Lan, G.Y.; Getzin, S.; Wiegand, T.; Hu, Y.; Xie, G.; Zhu, H.; Cao, M. Spatial distribution and interspecific associations of tree species in a tropical seasonal rain forest of China. PLoS ONE 2012, 7, e46074. [Google Scholar] [CrossRef]
- Su, S.J.; Liu, J.F.; He, Z.S.; Zheng, S.Q.; Hong, W.; Xu, D.W. Ecological species groups and interspecific association of dominant tree species in Daiyun Mountain National Nature Reserve. J. Mt. Sci. 2015, 12, 637–646. [Google Scholar] [CrossRef]
- Engelbrecht, B.M.; Comita, L.S.; Condit, R.; Kursar, T.A.; Tyree, M.T.; Turner, B.L.; Hubbell, S.P. Drought sensitivity shapes species distribution patterns in tropical forests. Nature 2007, 447, 80–82. [Google Scholar] [CrossRef] [PubMed]
- Chesson, P. Mechanisms of maintenance of species diversity. Annu. Rev. Ecol. Evol. Syst. 2000, 31, 343–366. [Google Scholar] [CrossRef]
- Martínez, I.; Wiegand, T.; González-Taboada, F.; Obeso, J.R. Spatial associations among tree species in a temperate forest community in North-western Spain. For. Ecol. Manag. 2010, 260, 456–465. [Google Scholar] [CrossRef]
- Gravel, D.; Canham, C.D.; Beaudet, M.; Messier, C. Shade tolerance, canopy gaps and mechanisms of coexistence of forest trees. Oikos 2010, 119, 475–484. [Google Scholar] [CrossRef]
- Rijkers, T.; Pons, T.L.; Bongers, F. The effect of tree height and light availability on photosynthetic leaf traits of four neotropical species differing in shade tolerance. Funct. Ecol. 2000, 14, 77–86. [Google Scholar] [CrossRef]
- Kenzo, T.; Mohamad, M.; Ichie, T. Leaf toughness increases with tree height and is associated with internal leaf structure and photosynthetic traits in a tropical rain forest. Front. For. Glob. Change 2022, 5, 1002472. [Google Scholar] [CrossRef]
- Kenzo, T.; Inoue, Y.; Yoshimura, M.; Yamashita, M.; Tanaka-Oda, A.; Ichie, T. Height-related changes in leaf photosynthetic traits in diverse Bornean tropical rain forest trees. Oecologia 2014, 177, 191–202. [Google Scholar] [CrossRef] [PubMed]
- Urretavizcaya, M.F.; Gonda, H.E.; Defossé, G.E. Effects of post-fire plant cover in the performance of two cordilleran cypress (Austrocedrus chilensis) seedling stocktypes planted in burned forests of northeastern patagonia, Argentina. Environ. Manag. 2016, 59, 419–430. [Google Scholar] [CrossRef]
- González de Andrés, E.; Camarero, J.J.; Blanco, J.A.; Imbert, J.B.; Lo, Y.; Sangüesa-Barreda, G.; Castillo, F.J. Tree-to-tree competition in mixed European beech-Scots pine forests has different impacts on growth and water-use efficiency depending on site conditions. J. Ecol. 2017, 106, 59–75. [Google Scholar] [CrossRef]
- Biswas, S.R.; Mallik, A.U.; Braithwaite, N.T.; Biswas, P.L. Effects of disturbance type and microhabitat on species and functional diversity relationship in stream-bank plant communities. For. Ecol. Manag. 2019, 432, 812–822. [Google Scholar] [CrossRef]
- Wei, C.; Wang, Q.; Han, H.; Gan, X. Low soil moisture improved shading tolerance by regulating leaf functional traits in Tetracentron sinense Oliv. seedlings. Glob. Ecol. Conserv. 2023, 48, e02757. [Google Scholar] [CrossRef]








| Population | Patches | Young Trees | Adult Trees | Old Trees | Total | |||||||
|---|---|---|---|---|---|---|---|---|---|---|---|---|
| I | II | III | IV | V | VI | VII | VIII | IX | X | |||
| BMSM | P1 | 0 | 30 | 3 | 1 | 1 | 0 | 0 | 1 | 0 | 4 | 40 | 
| P2 | 0 | 3 | 6 | 4 | 0 | 0 | 0 | 1 | 0 | 11 | 25 | |
| P3 | 0 | 24 | 1 | 0 | 2 | 1 | 0 | 0 | 1 | 3 | 32 | |
| Total | 0 | 57 | 10 | 5 | 3 | 1 | 0 | 2 | 1 | 18 | 97 | |
| DFD | P1 | 0 | 0 | 14 | 16 | 12 | 2 | 1 | 1 | 0 | 0 | 46 | 
| P2 | 0 | 0 | 10 | 2 | 4 | 7 | 5 | 6 | 3 | 0 | 37 | |
| P3 | 0 | 1 | 19 | 4 | 5 | 3 | 2 | 4 | 3 | 7 | 48 | |
| Total | 0 | 1 | 43 | 22 | 21 | 12 | 8 | 11 | 6 | 7 | 131 | |
| LGM | P1 | 0 | 4 | 23 | 3 | 1 | 2 | 2 | 0 | 0 | 1 | 36 | 
| P2 | 0 | 1 | 22 | 8 | 3 | 2 | 2 | 1 | 1 | 0 | 40 | |
| P3 | 0 | 4 | 13 | 8 | 2 | 1 | 1 | 0 | 0 | 4 | 33 | |
| Total | 0 | 9 | 58 | 19 | 6 | 5 | 5 | 1 | 1 | 5 | 109 | |
| FP | P1 | 0 | 0 | 0 | 4 | 3 | 3 | 1 | 1 | 1 | 1 | 14 | 
| P2 | 0 | 0 | 0 | 2 | 5 | 3 | 2 | 1 | 2 | 2 | 17 | |
| P3 | 0 | 0 | 0 | 1 | 2 | 2 | 6 | 2 | 2 | 6 | 21 | |
| Total | 0 | 0 | 0 | 7 | 10 | 8 | 9 | 4 | 5 | 9 | 52 | |
| Disclaimer/Publisher’s Note: The statements, opinions and data contained in all publications are solely those of the individual author(s) and contributor(s) and not of MDPI and/or the editor(s). MDPI and/or the editor(s) disclaim responsibility for any injury to people or property resulting from any ideas, methods, instructions or products referred to in the content. | 
© 2025 by the authors. Licensee MDPI, Basel, Switzerland. This article is an open access article distributed under the terms and conditions of the Creative Commons Attribution (CC BY) license (https://creativecommons.org/licenses/by/4.0/).
Share and Cite
Chen, R.; Zhang, X.; Shu, Y.; Liu, Q.; Zhang, J.; Han, H.; Gan, X. Spatial Distribution Pattern and Factors Influencing the Endangered Plant Tetracentron sinense Oliv. Forests 2025, 16, 159. https://doi.org/10.3390/f16010159
Chen R, Zhang X, Shu Y, Liu Q, Zhang J, Han H, Gan X. Spatial Distribution Pattern and Factors Influencing the Endangered Plant Tetracentron sinense Oliv. Forests. 2025; 16(1):159. https://doi.org/10.3390/f16010159
Chicago/Turabian StyleChen, Rui, Xuemei Zhang, Yumin Shu, Qinsong Liu, Jun Zhang, Hongyan Han, and Xiaohong Gan. 2025. "Spatial Distribution Pattern and Factors Influencing the Endangered Plant Tetracentron sinense Oliv." Forests 16, no. 1: 159. https://doi.org/10.3390/f16010159
APA StyleChen, R., Zhang, X., Shu, Y., Liu, Q., Zhang, J., Han, H., & Gan, X. (2025). Spatial Distribution Pattern and Factors Influencing the Endangered Plant Tetracentron sinense Oliv. Forests, 16(1), 159. https://doi.org/10.3390/f16010159
 
        
 
                                                
 
       