Shifts in the Soil Microbial Community and Enzyme Activity Under Picea crassifolia Plantations and Natural Forests
Abstract
1. Introduction
2. Materials and Methods
2.1. Site Description and Sampling
2.2. Litter and Soil Properties
2.2.1. Litter Chemical Traits
2.2.2. Soil Physicochemical Properties
2.3. Microbial Community Composition
2.4. Enzyme Activity
2.5. Statistical Analysis
3. Results
3.1. Litter and Soil Physicochemical Properties
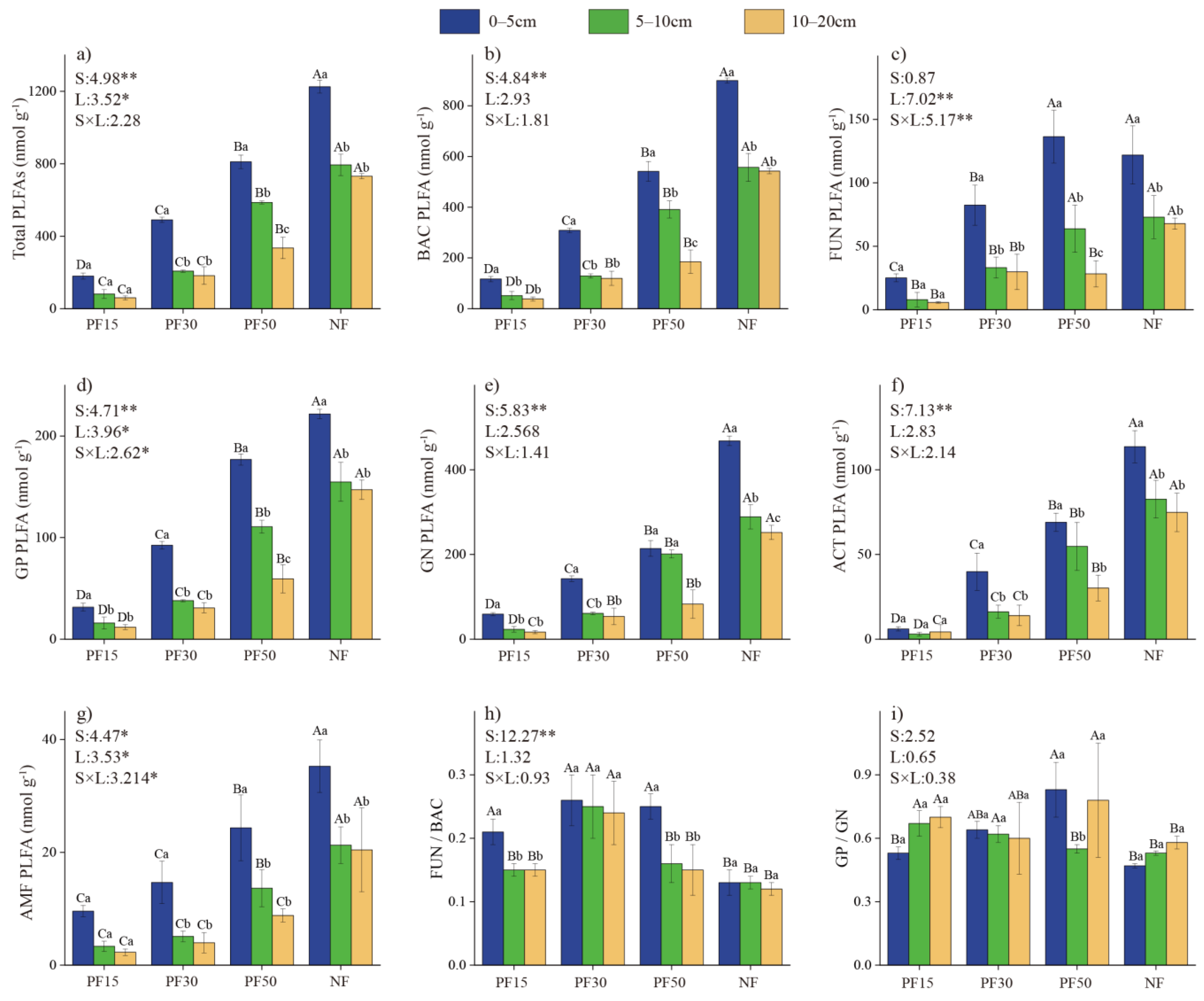
3.2. Soil Microbial Community
3.3. Soil Enzyme Activity
3.4. Correlation Analyses
4. Discussion
4.1. Variation in Soil Microbial Community and Enzyme Activity Under Various Stand Types
4.2. Driving Factors for the Soil Microbial Community and Enzyme Activity
5. Conclusions
Supplementary Materials
Author Contributions
Funding
Data Availability Statement
Acknowledgments
Conflicts of Interest
References
- Prescott, C.E. Perspectives: Regenerative Forestry—Managing Forests for Soil Life. For. Ecol. Manag. 2024, 554, 121674. [Google Scholar] [CrossRef]
- Freitas, N.d.O.; da Silva, D.K.A.; Escobar, I.E.C.; da Silva, F.S.B.; de Assis, D.M.A.; Lins-e-Silva, A.C.B.; Rodal, M.J.N.; Maia, L.C. Beyond the Surface: Microbiological and Biochemical Attributes as Indicators of Soil Quality in Atlantic Forest Ecosystem. Catena 2024, 246, 108384. [Google Scholar] [CrossRef]
- Muscolo, A.; Panuccio, M.R.; Mallamaci, C.; Sidari, M. Biological Indicators to Assess Short-Term Soil Quality Changes in Forest Ecosystems. Ecol. Indic. 2014, 45, 416–423. [Google Scholar] [CrossRef]
- Sadeghi, S.; Petermann, B.J.; Steffan, J.J.; Brevik, E.C.; Gedeon, C. Predicting Microbial Responses to Changes in Soil Physical and Chemical Properties under Different Land Management. Appl. Soil Ecol. 2023, 188, 104878. [Google Scholar] [CrossRef]
- Moscatelli, M.C.; Secondi, L.; Marabottini, R.; Papp, R.; Stazi, S.R.; Mania, E.; Marinari, S. Assessment of Soil Microbial Functional Diversity: Land Use and Soil Properties Affect CLPP-MicroResp and Enzymes Responses. Pedobiologia 2018, 66, 36–42. [Google Scholar] [CrossRef]
- Burns, R.G.; DeForest, J.L.; Marxsen, J.; Sinsabaugh, R.L.; Stromberger, M.E.; Wallenstein, M.D.; Weintraub, M.N.; Zoppini, A. Soil Enzymes in a Changing Environment: Current Knowledge and Future Directions. Soil Biol. Biochem. 2013, 58, 216–234. [Google Scholar] [CrossRef]
- Naka, M.; Masumoto, S.; Nishizawa, K.; Matsuoka, S.; Tatsumi, S.; Kobayashi, Y.; Suzuki, K.F.; Xu, X.; Kawakami, T.; Katayama, N.; et al. Long-Term Consequences on Soil Fungal Community Structure: Monoculture Planting and Natural Regeneration. Environ. Manag. 2023, 73, 777–787. [Google Scholar] [CrossRef]
- Luo, X.Z.; Zhang, R.; Zhang, L.L.; Frew, A.; Yu, H.X.; Hou, E.Q.; Wen, D.Z. Mechanisms of Soil Organic Carbon Stabilization and Its Response to Conversion of Primary Natural Broadleaf Forests to Secondary Forests and Plantation Forests. Catena 2024, 240, 108021. [Google Scholar] [CrossRef]
- Nakayama, M.; Imamura, S.; Taniguchi, T.; Tateno, R. Does Conversion from Natural Forest to Plantation Affect Fungal and Bacterial Biodiversity, Community Structure, and Co-Occurrence Networks in the Organic Horizon and Mineral Soil? For. Ecol. Manag. 2019, 446, 238–250. [Google Scholar] [CrossRef]
- Liao, W.M.; Ye, D.Y.; Yuan, R.L.; Zhang, Y.; Deng, Q. Financial Compensation for Natural Forest Logging Ban: Standard Calculation Based on Willingness to Accept. Sci. Prog. 2023, 106, 00368504221145563. [Google Scholar] [CrossRef] [PubMed]
- Wu, X.N.; Ma, X.D.; Hu, L.Y.; Shen, C.J.; Fu, D.G. Influence of Natural and Man-Made Forests on Community Assembly and Species, Functional, and Soil Microbial Diversity. Forests 2023, 14, 888. [Google Scholar] [CrossRef]
- Wang, Y.; Chen, L.; Xiang, W.H.; Ouyang, S.; Zhang, T.D.; Zhang, X.; Zeng, Y.; Hu, Y.; Luo, G.; Kuzyakov, Y. Forest Conversion to Plantations: A Meta-Analysis of Consequences for Soil and Microbial Properties and Functions. Glob. Chang. Biol. 2021, 27, 5643–5656. [Google Scholar] [CrossRef] [PubMed]
- Ji, L.; Yang, Y.; Yang, L.; Zhang, D. Effect of Land Uses on Soil Microbial Community Structures among Different Soil Depths in Northeastern China. Eur. J. Soil Biol. 2020, 99, 103205. [Google Scholar] [CrossRef]
- Guo, J.H.; Feng, H.L.; Roberge, G.; Feng, L.; Pan, C.; McNie, P.; Yu, Y.C. The Negative Effect of Chinese Fir (Cunninghamia Lanceolata) Monoculture Plantations on Soil Physicochemical Properties, Microbial Biomass, Fungal Communities, and Enzymatic Activities. For. Ecol. Manag. 2022, 519, 120297. [Google Scholar] [CrossRef]
- Rivas, Y.; Aponte, H.; Rivera-Salazar, D.; Matus, F.; Martínez, O.; Encina, C.; Retamal-Salgado, J. Microbial Community and Enzyme Activity of Forest Plantation, Natural Forests, and Agricultural Land in Chilean Coastal Cordillera Soils. Forests 2023, 14, 938. [Google Scholar] [CrossRef]
- Weand, M.P.; Arthur, M.A.; Lovett, G.M.; McCulley, R.L.; Weathers, K.C. Effects of Tree Species and N Additions on Forest Floor Microbial Communities and Extracellular Enzyme Activities. Soil Biol. Biochem. 2010, 42, 2161–2173. [Google Scholar] [CrossRef]
- Widyati, E.; Nuroniah, H.S.; Tata, H.L.; Mindawati, N.; Lisnawati, Y.; Darwo; Abdulah, L.; Lelana, N.E.; Mawazin; Octavia, D.; et al. Soil Degradation Due to Conversion from Natural to Plantation Forests in Indonesia. Forests 2022, 13, 1913. [Google Scholar] [CrossRef]
- Sawada, K.; Inagaki, Y.; Sugihara, S.; Kunito, T.; Murase, J.; Toyota, K.; Funakawa, S. Conversion from Natural Coniferous Forests to Cedar Plantations Increase Soil Nitrogen Cycling Through Changing Microbial Community Structures. Appl. Soil Ecol. 2023, 191, 105034. [Google Scholar] [CrossRef]
- Zhao, F.Z.; Ren, C.J.; Han, X.H.; Yang, G.H.; Wang, J.; Doughty, R.; Wang, Z.T. Trends in Soil Microbial Communities in Afforestation Ecosystem Modulated by Aggradation Phase. For. Ecol. Manag. 2019, 441, 167–175. [Google Scholar] [CrossRef]
- Gil-Martínez, M.; López-García, Á.; Domínguez, M.T.; Kjøller, R.; Navarro-Fernández, C.M.; Rosendahl, S.; Marañón, T. Soil Fungal Diversity and Functionality Are Driven by Plant Species Used in Phytoremediation. Soil Biol. Biochem. 2021, 153, 108102. [Google Scholar] [CrossRef]
- Kang, H.Z.; Gao, H.H.; Yu, W.J.; Yi, Y.; Wang, Y.; Ning, M.L. Changes in Soil Microbial Community Structure and Function after Afforestation Depend on Species and Age: Case Study in a Subtropical Alluvial Island. Sci. Total Environ. 2018, 625, 1423–1432. [Google Scholar] [CrossRef] [PubMed]
- Liang, Y.M.; Pan, F.J.; Ma, J.M.; Yang, Z.Q.; Yan, P.D. Long-Term Forest Restoration Influences Succession Patterns of Soil Bacterial Communities. Environ. Sci. Pollut. Res. 2021, 28, 20598–20607. [Google Scholar] [CrossRef] [PubMed]
- Huang, H.Y.; Tian, D.; Zhou, L.H.; Su, H.J.; Ma, S.H.; Feng, Y.H.; Tang, Z.Y.; Zhu, J.L.; Ji, C.J.; Fang, J.Y. Effects of Afforestation on Soil Microbial Diversity and Enzyme Activity: A Meta-Analysis. Geoderma 2022, 423, 115961. [Google Scholar] [CrossRef]
- Wang, C.Q.; Xue, L.; Dong, Y.H.; Hou, L.; Wei, Y.H.; Chen, J.Q.; Jiao, R.Z. Contrasting Effects of Chinese Fir Plantations of Different Stand Ages on Soil Enzyme Activities and Microbial Communities. Forests 2019, 10, 11. [Google Scholar] [CrossRef]
- Wu, Y.L.; Wang, B.; Zhao, C.; Dai, W.; Li, P. Comprehensive Evaluation of Soil Fertility in Different Developing Stage of Chinese Fir Plantations. J. Northwest A F Univ. 2011, 39, 69–75. [Google Scholar] [CrossRef]
- Odriozola, I.; Martinovic, T.; Bahnmann, B.D.; Ryšánek, D.; Mašínová, T.; Sedlák, P.; Merunková, K.; Kohout, P.; Tomšovský, M.; Baldrian, P. Stand Age Affects Fungal Community Composition in a Central European Temperate Forest. Fungal Ecol. 2020, 48, 100985. [Google Scholar] [CrossRef]
- Fanin, N.; Kardol, P.; Farrell, M.; Nilsson, M.-C.; Gundale, M.J.; Wardle, D.A. The Ratio of Gram-Positive to Gram-Negative Bacterial PLFA Markers as an Indicator of Carbon Availability in Organic Soils. Soil Biol. Biochem. 2019, 128, 111–114. [Google Scholar] [CrossRef]
- Teng, Y.M.; Zhan, J.Y.; Liu, S.L.; Agyemanga, F.B.; Li, Z.H.; Wang, C.; Liu, W. Integrating Ecological and Social Vulnerability Assessment in Qinghai Province, China. Phys. Chem. Earth A/B/C 2022, 126, 103115. [Google Scholar] [CrossRef]
- Wang, X.Y.; Gong, Z.; Zhao, D.D.; Liu, J.C. Spatiotemporal Changes of Forest Vegetation After the Implementation of a Natural Forest Protection Project and Underlying Driving Factors: Case Study of a Typical Natural Secondary Forest Area in the Loess Plateau. Ecol. Eng. 2024, 199, 107164. [Google Scholar] [CrossRef]
- Yang, J.; Xu, X.; Liu, M.; Xu, C.; Zhang, Y.; Luo, W.; Zhang, R.; Li, X.; Kiely, G.; Wang, K. Effects of “Grain for Green” Program on Soil Hydrologic Functions in Karst Landscapes, Southwestern China. Agric. Ecosyst. Environ. 2017, 247, 120–129. [Google Scholar] [CrossRef]
- Wang, C.; Gao, Q.; Yu, M. Quantifying Trends of Land Change in Qinghai-Tibet Plateau during 2001–2015. Remote Sens. 2019, 11, 2435. [Google Scholar] [CrossRef]
- Wang, G.H. Spruce Forest of China; Science Press: Beijing, China, 2018; ISBN 978-7-03-056219-7. [Google Scholar]
- Zhu, X.; He, Z.B.; Du, J.; Chen, L.F.; Lin, P.F.; Tian, Q.Y. Spatial Heterogeneity of Throughfall and Its Contributions to the Variability in Near-Surface Soil Water-Content in Semiarid Mountains of China. For. Ecol. Manag. 2021, 488, 119008. [Google Scholar] [CrossRef]
- Zhu, G.F.; Wang, L.; Liu, Y.W.; Bhat, M.A.; Qiu, D.D.; Zhao, K.L.; Sang, L.; Lin, X.R.; Ye, L.L. Snow-Melt Water: An Important Water Source for Picea Crassifolia in Qilian Mountains. J. Hydrol. 2022, 613, 128441. [Google Scholar] [CrossRef]
- Wan, Q.Z.; Zhu, G.F.; Guo, H.W.; Zhang, Y.; Pan, H.X.; Yong, L.; Ma, H. Influence of Vegetation Coverage and Climate Environment on Soil Organic Carbon in the Qilian Mountains. Sci. Rep. 2019, 9, 17623. [Google Scholar] [CrossRef] [PubMed]
- Fang, K.; Liu, Y.J.; Zhao, W.Q.; Liu, J.; Zhang, X.Y.; He, H.L.; Kou, Y.-P.; Liu, Q. Stand Age Alters Fungal Community Composition and Functional Guilds in Subalpine Picea asperata Plantations. Appl. Soil Ecol. 2023, 188, 104860. [Google Scholar] [CrossRef]
- Norris, C.E.; Swallow, M.J.B.; Liptzin, D.; Cope, M.; Bean, G.M.; Cappellazzi, S.B.; Greub, K.L.H.; Rieke, E.L.; Tracy, P.W.; Morgan, C.L.S.; et al. Use of Phospholipid Fatty Acid Analysis as Phenotypic Biomarkers for Soil Health and the Influence of Management Practices. Appl. Soil Ecol. 2023, 185, 104793. [Google Scholar] [CrossRef]
- Kieft, T.L.; Ringelberg, D.B.; White, D.C. Changes in Ester-Linked Phospholipid Fatty Acid Profiles of Subsurface Bacteria During Starvation and Desiccation in a Porous Medium. Appl. Environ. Microbiol. 1994, 60, 3292–3299. [Google Scholar] [CrossRef] [PubMed]
- Compilation Committee of the Gazetteer of Huzhu Tu Autonomous Count. Huzhu Tu Autonomous County Yearbook; Santai Publishing House: Xi’an, China, 2020. [Google Scholar]
- Wu, X.D.; Zhang, L.; Song, C.Y.; Zhang, S.M. Protocols for Standard Biological Observation and Measurement in Terrestrial Ecosystems; China Environmental Science Press: Beijing, China, 2019. [Google Scholar]
- LY/T 1215–1999; Determination of Forest Soil Water-Physical Properties. China Standards Press: Beijing, China, 1999.
- Jones, D.; Willett, V. Experimental Evaluation of Methods to Quantify Dissolved Organic Nitrogen (DON) and Dissolved Organic Carbon (DOC) in Soil. Soil Biol. Biochem. 2006, 38, 991–999. [Google Scholar] [CrossRef]
- Weil, R.R.; Islam, K.R.; Stine, M.A.; Gruver, J.B.; Samson-Liebig, S.E. Estimating Active Carbon for Soil Quality Assessment: A Simplified Method for Laboratory and Field Use. Am. J. Altern. Agric. 2003, 18, 3–17. [Google Scholar]
- Kourtev, P.S.; Ehrenfeld, J.G.; Häggblom, M. Exotic Plant Species Alter the Microbial Community Structure and Function in the Soil. Ecology 2002, 83, 3152–3166. [Google Scholar] [CrossRef]
- Zi, H.B.; Xiang, Z.Y.; Wang, G.X.; Adelu, J.; Wang, C.T. Profile of Soil Microbial Community Under Different Stand Types in Qinghai Province. Sci. Sin. 2017, 53, 21–32. [Google Scholar] [CrossRef]
- de Sosa, L.L.; Glanville, H.C.; Marshall, M.R.; Williams, A.P.; Abadie, M.; Clark, I.M.; Blaud, A.; Jones, D.L. Spatial Zoning of Microbial Functions and Plant-Soil Nitrogen Dynamics across a Riparian Area in an Extensively Grazed Livestock System. Soil Biol. Biochem. 2018, 120, 153–164. [Google Scholar] [CrossRef]
- Yao, X.D.; Zhang, N.L.; Zeng, H.; Wang, W. Effects of Soil Depth and Plant–Soil Interaction on Microbial Community in Temperate Grasslands of Northern China. Sci. Total Environ. 2018, 630, 96–102. [Google Scholar] [CrossRef] [PubMed]
- Joergensen, R.G. Phospholipid Fatty Acids in Soil—Drawbacks and Future Prospects. Biol. Fertil. Soils 2022, 58, 1–6. [Google Scholar] [CrossRef]
- Dick, R.P. (Ed.) Methods of Soil Enzymology; Soil Science Society of America Book Series; Soil Science Society of America: Madison, WI, USA, 2011; ISBN 978-0-89118-854-4. [Google Scholar]
- Robertson, G.P. (Ed.) Standard Soil Methods for Long-Term Ecological Research; Long-Term Ecological Research Network Series; Oxford University Press: New York, NY, USA, 1999; ISBN 978-0-19-512083-7. [Google Scholar]
- R-Core-Team R: A Language and Environment for Statistical Computing. Available online: https://www.r-project.org/ (accessed on 8 November 2024).
- Monkai, J.; Goldberg, S.D.; Hyde, K.D.; Harrison, R.D.; Mortimer, P.E.; Xu, J. Natural Forests Maintain a Greater Soil Microbial Diversity Than That in Rubber Plantations in Southwest China. Agric. Ecosyst. Environ. 2018, 265, 190–197. [Google Scholar] [CrossRef]
- Yang, B.; Qi, K.B.; Bhusal, D.R.; Huang, J.S.; Chen, W.J.; Wu, Q.S.; Hussain, A.; Pang, X.Y. Soil Microbial Community and Enzymatic Activity in Soil Particle-Size Fractions of Spruce Plantation and Secondary Birch Forest. Eur. J. Soil Biol. 2020, 99, 103196. [Google Scholar] [CrossRef]
- De Vries, F.T.; Hoffland, E.; Van Eekeren, N.; Brussaard, L.; Bloem, J. Fungal/Bacterial Ratios in Grasslands with Contrasting Nitrogen Management. Soil Biol. Biochem. 2006, 38, 2092–2103. [Google Scholar] [CrossRef]
- Ananyeva, N.D.; Castaldi, S.; Stolnikova, E.V.; Kudeyarov, V.N.; Valentini, R. Fungi-to-Bacteria Ratio in Soils of European Russia. Arch. Agron. Soil Sci. 2015, 61, 427–446. [Google Scholar] [CrossRef]
- Six, J.; Frey, S.D.; Thiet, R.K.; Batten, K.M. Bacterial and Fungal Contributions to Carbon Sequestration in Agroecosystems. Soil Sci. Soc. Am. J. 2006, 70, 555–569. [Google Scholar] [CrossRef]
- Xu, J.; Liu, B.; Qu, Z.L.; Ma, Y.; Sun, H. Age and Species of Eucalyptus Plantations Affect Soil Microbial Biomass and Enzymatic Activities. Microorganisms 2020, 8, 811. [Google Scholar] [CrossRef]
- Dhandapani, S.; Ritz, K.; Evers, S.; Cooper, H.; Tonks, A.; Sjögersten, S. Land-Use Changes Associated with Oil Palm Plantations Impact PLFA Microbial Phenotypic Community Structure throughout the Depth of Tropical Peats. Wetlands 2020, 40, 2351–2366. [Google Scholar] [CrossRef]
- Yan, G.Y.; Xing, Y.J.; Xu, L.J.; Wang, J.Y.; Dong, X.D.; Shan, W.J.; Guo, L.; Wang, Q.G. Effects of Different Nitrogen Additions on Soil Microbial Communities in Different Seasons in a Boreal Forest. Ecosphere 2017, 8, e01879. [Google Scholar] [CrossRef]
- Bahram, M.; Hildebrand, F.; Forslund, S.K.; Anderson, J.L.; Soudzilovskaia, N.A.; Bodegom, P.M.; Bengtsson-Palme, J.; Anslan, S.; Coelho, L.P.; Harend, H.; et al. Structure and Function of the Global Topsoil Microbiome. Nature 2018, 560, 233–237. [Google Scholar] [CrossRef] [PubMed]
- Liu, X.Y.; Rezaei Rashti, M.; Van Zwieten, L.; Esfandbod, M.; Rose, M.T.; Chen, C.R. Microbial Carbon Functional Responses to Compaction and Moisture Stresses in Two Contrasting Australian Soils. Soil Tillage Res. 2023, 234, 105825. [Google Scholar] [CrossRef]
- Schimel, J.P. Life in Dry Soils: Effects of Drought on Soil Microbial Communities and Processes. Annu. Rev. Ecol. Evol. Syst. 2018, 49, 409–432. [Google Scholar] [CrossRef]
- Lladó, S.; López-Mondéjar, R.; Baldrian, P. Drivers of Microbial Community Structure in Forest Soils. Appl. Microbiol. Biotechnol. 2018, 102, 4331–4338. [Google Scholar] [CrossRef] [PubMed]
- Allison, S.D.; Treseder, K.K. Warming and Drying Suppress Microbial Activity and Carbon Cycling in Boreal Forest Soils. Glob. Chang. Biol. 2008, 14, 2898–2909. [Google Scholar] [CrossRef]
- Allton, K.E.; Harris, J.A.; Rickson, R.J.; Ritz, K. The Effect of Microbial Communities on Soil Hydrological Processes: A Microcosm Study Utilising Simulated Rainfall. Geoderma 2007, 142, 11–17. [Google Scholar] [CrossRef]
- Xiong, X.L.; Lyu, M.K.; Deng, C.; Li, X.; Lu, Y.M.; Lin, W.S.; Jiang, Y.M.; Xie, J.S. Carbon and Nitrogen Availability Drives Seasonal Variation in Soil Microbial Communities Along an Elevation Gradient. Forests 2022, 13, 1657. [Google Scholar] [CrossRef]
- Ma, T.T.; Zhan, Y.B.; Chen, W.J.; Hou, Z.N.; Chai, S.Y.; Zhang, J.L.; Zhang, X.J.; Wang, R.H.; Liu, R.; Wei, Y.Q. Microbial Traits Drive Soil Priming Effect in Response to Nitrogen Addition Along an Alpine Forest Elevation Gradient. Sci. Total Environ. 2024, 907, 167970. [Google Scholar] [CrossRef] [PubMed]
- You, Y.M.; Wang, J.; Huang, X.M.; Tang, Z.X.; Liu, S.R.; Sun, O.J. Relating Microbial Community Structure to Functioning in Forest Soil Organic Carbon Transformation and Turnover. Ecol. Evol. 2014, 4, 633–647. [Google Scholar] [CrossRef]
- Yokobe, T.; Hyodo, F.; Tokuchi, N. Seasonal Effects on Microbial Community Structure and Nitrogen Dynamics in Temperate Forest Soil. Forests 2018, 9, 153. [Google Scholar] [CrossRef]
- Liu, M.H.; Sui, X.; Hu, Y.B.; Feng, F.J. Microbial Community Structure and the Relationship with Soil Carbon and Nitrogen in an Original Korean Pine Forest of Changbai Mountain, China. BMC Microbiol. 2019, 19, 218. [Google Scholar] [CrossRef]
- Xiao, L.; Liu, G.B.; Xue, S.; Zhang, C. Soil Microbial Community Composition During Natural Recovery in the Loess Plateau, China. J. Integr. Agric. 2013, 12, 1872–1883. [Google Scholar] [CrossRef]
- Yuan, B.C.; Yue, D.X. Soil Microbial and Enzymatic Activities Across a Chronosequence of Chinese Pine Plantation Development on the Loess Plateau of China. Pedosphere 2012, 22, 1–12. [Google Scholar] [CrossRef]
- Kavvadias, V.A.; Alifragis, D.; Tsiontsis, A.; Brofas, G.; Stamatelos, G. Litterfall, Litter Accumulation and Litter Decomposition Rates in Four Forest Ecosystems in Northern Greece. For. Ecol. Manag. 2001, 144, 113–127. [Google Scholar] [CrossRef]
- Zhang, X.X.; Hu, J.W.; Wang, L.J.; Liu, K.X.; Tian, S.; Zhou, W.X. Alterations in Litter Chemical Traits and Soil Environmental Properties Limit the Litter Decomposition of Near-Mature Robinia pseudoacacia Plantations. Geoderma 2023, 439, 116668. [Google Scholar] [CrossRef]
- Feng, J.G.; He, K.Y.; Zhang, Q.F.; Han, M.G.; Zhu, B. Changes in Plant Inputs Alter Soil Carbon and Microbial Communities in Forest Ecosystems. Glob. Chang. Biol. 2022, 28, 3426–3440. [Google Scholar] [CrossRef]
- Bahnmann, B.; Mašínová, T.; Halvorsen, R.; Davey, M.L.; Sedlák, P.; Tomšovský, M.; Baldrian, P. Effects of Oak, Beech and Spruce on the Distribution and Community Structure of Fungi in Litter and Soils across a Temperate Forest. Soil Biol. Biochem. 2018, 119, 162–173. [Google Scholar] [CrossRef]
- Lucas-Borja, M.E.; Hedo, J.; Cerdá, A.; Candel-Pérez, D.; Viñegla, B. Unravelling the Importance of Forest Age Stand and Forest Structure Driving Microbiological Soil Properties, Enzymatic Activities and Soil Nutrients Content in Mediterranean Spanish Black Pine (Pinus nigra Ar. Ssp. Salzmannii) Forest. Sci. Total Environ. 2016, 562, 145–154. [Google Scholar] [CrossRef] [PubMed]
- Kamble, P.N.; Gaikwad, V.B.; Kuchekar, S.R.; Bååth, E. Microbial Growth, Biomass, Community Structure and Nutrient Limitation in High pH and Salinity Soils from Pravaranagar (India). Eur. J. Soil Biol. 2014, 65, 87–95. [Google Scholar] [CrossRef]
- Yan, N.; Marschner, P.; Cao, W.H.; Zuo, C.Q.; Qin, W. Influence of Salinity and Water Content on Soil Microorganisms. Int. Soil Water Conserv. Res. 2015, 3, 316–323. [Google Scholar] [CrossRef]
- Wang, W.N.; Liu, H.J.; Chen, L.F.; Koorem, K.; Hu, Y.C.; Hu, L.J. Natural Restoration Alters Soil Microbial Community Structure, but Has Contrasting Effects on the Diversity of Bacterial and Fungal Assemblages in Salinized Grasslands. Sci. Total Environ. 2023, 891, 164726. [Google Scholar] [CrossRef] [PubMed]
- Jia, B.; Mao, H.; Liang, Y.M.; Chen, J.; Jia, L.; Zhang, M.L.; Li, X.G. Salinity Decreases the Contribution of Microbial Necromass to Soil Organic Carbon Pool in Arid Regions. Sci. Total Environ. 2024, 930, 172786. [Google Scholar] [CrossRef] [PubMed]
- Yu, Q.S.; Hanif, A.B.; Rao, X.Q.; He, J.H.; Sun, D.; Liu, S.P.; He, D.; Shen, W.J. Long-Term Restoration Altered Edaphic Properties and Soil Microbial Communities in Forests: Evidence from Four Plantations of Southern China. Restor. Ecol. 2021, 29, e13354. [Google Scholar] [CrossRef]
- Chen, Y.H.; Li, H.J.; Zhang, S.Y.; Zhang, M.; Pan, H.; Zhou, F.W.; Wang, L. The Influence of Forest Litter Characteristics on Bacterial and Fungal Community Diversity in the Picea Crassifolia Ecosystem on the Qinghai–Tibet Plateau. Forests 2024, 15, 797. [Google Scholar] [CrossRef]
- Wang, L.X.; Yan, B.X.; Prasher, S.O.; Ou, Y.; Bian, Y.; Cui, H. The Response of Microbial Composition and Enzyme Activities to Hydrological Gradients in a Riparian Wetland. J. Soils Sediments 2019, 19, 4031–4041. [Google Scholar] [CrossRef]
- Hicks, L.C.; Rahman, M.M.; Carnol, M.; Verheyen, K.; Rousk, J. The Legacy of Mixed Planting and Precipitation Reduction Treatments on Soil Microbial Activity, Biomass and Community Composition in a Young Tree Plantation. Soil Biol. Biochem. 2018, 124, 227–235. [Google Scholar] [CrossRef]
- Strickland, M.S.; Rousk, J. Considering Fungal: Bacterial Dominance in Soils—Methods, Controls, and Ecosystem Implications. Soil Biol. Biochem. 2010, 42, 1385–1395. [Google Scholar] [CrossRef]




| Stand Type | LOC (g kg−1) | LTN (g kg−1) | LTP (g kg−1) | LOC/LTN |
|---|---|---|---|---|
| PF15 | 203 ± 6.24 d | 8.73 ± 0.55 c | 2.31 ± 0.14 d | 23.33 ± 2.06 a |
| PF30 | 227 ± 7.02 c | 9.97 ± 0.57 bc | 3.84 ± 0.08 a | 22.90 ± 1.69 a |
| PF50 | 275 ± 12.50 b | 11.17 ± 0.31 ab | 2.85 ± 0.10 c | 24.65 ± 0.47 a |
| NF | 332 ± 20.40 a | 12.67 ± 1.46 a | 3.41 ± 0.08 b | 26.54 ± 4.02 a |
| Factor | SBD | FWC | pH | EC | SOC | AOC | DOC | TN | AN | DON | NO3−-N | NH4+-N | AP |
|---|---|---|---|---|---|---|---|---|---|---|---|---|---|
| Stand (S) | 320.01 ** | 1623.65 ** | 50.51 ** | 134.85 ** | 200.06 ** | 5.89 ** | 16.26 ** | 17.22 ** | 182.91 ** | 147.10 ** | 23.62 ** | 8.42 ** | 3.99 * |
| S (sig) | a, b, c, d | d, c, b, a | a, b, d, c | b, c, b, a | c, c, b, a | c, bc, a, ab | c, bc, a, b | b, b, a, a | b, b, a, a | b, b, a, a | d, c, b, a | b, b, b, a | ab, a, b, a |
| Layer (L) | 47.76 ** | 258.38 ** | 13.95 ** | 1.52 | 12.92 ** | 4.09 | 1.99 * | 6.61 ** | 11.63 ** | 12.99 ** | 2.23 | 3.40 | 0.33 |
| L (sig) | c, b, a | a, b, c | b, b, a | a, a, a | a, b, c | a, a, a | a, a, b | a, a, b | a, a, b | a, a, b | a, a, a | a, ab, b | a, a, a |
| S × L | 3.13 * | 55.17 ** | 1.74 | 2.03 | 1.34 | 0.53 | 0.84 | 0.80 | 1.56 | 1.094 | 0.92 | 0.52 | 1.43 |
| Stand Type | Soil Depth (cm) | BGL | NAG | ALP | PHO | PEO |
|---|---|---|---|---|---|---|
| PF15 | 0–5 | 2.52 ± 0.26 Ca | 0.82 ± 0.10 Da | 1.25 ± 0.14 Da | 0.66 ± 0.10 Da | 0.99 ± 0.10 Ca |
| PF30 | 0–5 | 3.28 ± 0.18 Ba | 1.35 ± 0.15 Ca | 4.46 ± 0.48 Ca | 1.20 ± 0.07 Ca | 1.89 ± 0.06 Ba |
| PF50 | 0–5 | 4.11 ± 0.12 Aa | 1.89 ± 0.06 Ba | 8.79 ± 0.57 Ba | 1.87 ± 0.10 Ba | 2.04 ± 0.12 Ba |
| NF | 0–5 | 4.46 ± 0.32 Aa | 2.53 ± 0.28 Aa | 10.74 ± 0.64 Aa | 2.68 ± 0.17 Aa | 2.64 ± 0.18 Aa |
| PF15 | 5–10 | 1.52 ± 0.39 Cb | 0.50 ± 0.05 Cb | 0.85 ± 0.10 Db | 0.47 ± 0.10 Dab | 0.84 ± 0.21 Da |
| PF30 | 5–10 | 2.34 ± 0.13 Bb | 1.23 ± 0.17 Ba | 2.23 ± 0.13 Cb | 0.72 ± 0.06 Cb | 1.57 ± 0.15 Cb |
| PF50 | 5–10 | 3.35 ± 0.18 Ab | 1.30 ± 0.18 ABb | 6.65 ± 0.56 Bb | 1.42 ± 0.33 Bb | 1.86 ± 0.03 Ba |
| NF | 5–10 | 3.47 ± 0.32 Ab | 1.53 ± 0.15 Ab | 8.22 ± 0.24 Ab | 2.12 ± 0.15 Ab | 2.19 ± 0.08 Ab |
| PF15 | 10–20 | 0.49 ± 0.02 Bc | 0.32 ± 0.08 Cb | 0.57 ± 0.10 Db | 0.27 ± 0.15 Db | 0.50 ± 0.12 Cb |
| PF30 | 10–20 | 0.84 ± 0.07 Bc | 0.71 ± 0.02 Bb | 1.45 ± 0.15 Cc | 0.62 ± 0.04 Cb | 1.17 ± 0.17 Bc |
| PF50 | 10–20 | 1.31 ± 0.17 Ac | 0.80 ± 0.07 Bc | 5.67 ± 0.27 Bc | 1.14 ± 0.34 Bb | 1.31 ± 0.10 Bb |
| NF | 10–20 | 1.57 ± 0.24 Ac | 1.10 ± 0.15 Ac | 7.47 ± 0.32 Ac | 2.11 ± 0.07 Ab | 1.75 ± 0.10 Ac |
| F-value | Stand (S) | 98.08 ** | 106.87 ** | 906.33 ** | 205.76 ** | 170.28 ** |
| Layer (L) | 381.16 ** | 124.35 ** | 152.26 ** | 36.42 ** | 83.93 ** | |
| S × L | 3.55 n.s. | 8.81 ** | 9.46 ** | 1.51 n.s. | 1.09 n.s. |
| Factor | Explains % | Pseudo-F | p |
|---|---|---|---|
| FWC | 87.4 | 237 | 0.002 |
| SBD | 84.4 | 184 | 0.002 |
| SOC | 81.4 | 148 | 0.002 |
| LOC | 72.8 | 91 | 0.002 |
| AN | 71.5 | 85.4 | 0.002 |
| DON | 69.3 | 76.7 | 0.002 |
| LTN | 63.3 | 58.7 | 0.002 |
| TN | 53.9 | 39.8 | 0.002 |
| LOC/LTN | 52.5 | 37.5 | 0.002 |
| NO3−-N | 51.5 | 36.1 | 0.002 |
| EC | 49.9 | 33.9 | 0.002 |
| pH | 44.7 | 27.5 | 0.002 |
| NH4+-N | 28.2 | 13.3 | 0.002 |
| AOC | 18.4 | 7.7 | 0.006 |
| DOC | 15.8 | 6.4 | 0.016 |
| LTP | 10.7 | 4.1 | 0.062 |
| AP | <0.1 | <0.1 | 0.962 |
| Factor | Explains % | Pseudo-F | p |
|---|---|---|---|
| SBD | 88.7 | 266 | 0.002 |
| FWC | 85 | 193 | 0.002 |
| SOC | 83.9 | 177 | 0.002 |
| AN | 80.5 | 141 | 0.002 |
| DON | 78.8 | 127 | 0.002 |
| LOC | 73.4 | 93.9 | 0.002 |
| LTN | 61.4 | 54 | 0.002 |
| TN | 60.6 | 52.2 | 0.002 |
| LOC/LTN | 59.9 | 50.9 | 0.002 |
| pH | 57.5 | 46 | 0.002 |
| NO3−-N | 54 | 40 | 0.002 |
| EC | 35.9 | 19 | 0.002 |
| NH4+-N | 27.5 | 12.9 | 0.002 |
| DOC | 26.8 | 12.4 | 0.002 |
| AOC | 24.7 | 11.2 | 0.008 |
| LTP | 8.4 | 3.1 | 0.084 |
| AP | 0.5 | 0.2 | 0.792 |
Disclaimer/Publisher’s Note: The statements, opinions and data contained in all publications are solely those of the individual author(s) and contributor(s) and not of MDPI and/or the editor(s). MDPI and/or the editor(s) disclaim responsibility for any injury to people or property resulting from any ideas, methods, instructions or products referred to in the content. |
© 2024 by the authors. Licensee MDPI, Basel, Switzerland. This article is an open access article distributed under the terms and conditions of the Creative Commons Attribution (CC BY) license (https://creativecommons.org/licenses/by/4.0/).
Share and Cite
Zheng, Y.; Fan, Q.; Geng, Y.; Chen, L.; Han, X.; Wu, W.; Shi, F. Shifts in the Soil Microbial Community and Enzyme Activity Under Picea crassifolia Plantations and Natural Forests. Forests 2025, 16, 14. https://doi.org/10.3390/f16010014
Zheng Y, Fan Q, Geng Y, Chen L, Han X, Wu W, Shi F. Shifts in the Soil Microbial Community and Enzyme Activity Under Picea crassifolia Plantations and Natural Forests. Forests. 2025; 16(1):14. https://doi.org/10.3390/f16010014
Chicago/Turabian StyleZheng, Yunyou, Qiuyun Fan, Yuqing Geng, Lin Chen, Xiang Han, Weitai Wu, and Famiao Shi. 2025. "Shifts in the Soil Microbial Community and Enzyme Activity Under Picea crassifolia Plantations and Natural Forests" Forests 16, no. 1: 14. https://doi.org/10.3390/f16010014
APA StyleZheng, Y., Fan, Q., Geng, Y., Chen, L., Han, X., Wu, W., & Shi, F. (2025). Shifts in the Soil Microbial Community and Enzyme Activity Under Picea crassifolia Plantations and Natural Forests. Forests, 16(1), 14. https://doi.org/10.3390/f16010014

