You are currently viewing a new version of our website. To view the old version click .
Forests
  • Article
  • Open Access

13 January 2025

Thinning Improves Large Diameter Timber Cultivation but Undermines Ecosystem Multifunctionality in the Short Term

,
,
,
,
,
,
and
1
College of Forestry & Landscape Architecture, South China Agricultural University, Guangzhou 510642, China
2
Key Laboratory of Vegetation Restoration and Management of Degraded Ecosystems, South China Botanical Garden, Chinese Academy of Sciences, Guangzhou 510650, China
3
School of Environment and Ecology, Xiamen University, Xiamen 361102, China
*
Author to whom correspondence should be addressed.
This article belongs to the Special Issue Forest Management: Planning, Decision Making and Implementation

Abstract

Implementing thinning practices can enhance the growth of plantation forests and improve soil health. Nevertheless, the impacts of thinning applications on soil quality, large-diameter timber production of Castanopsis hystrix, and ecosystem multifunctionality are poorly understood. Therefore, we chose two sample plots, unthinned (control) and thinned, to investigate productivity and ecosystem multifunctionality after thinning for six years. Results revealed that thinning significantly reduced the soil’s bulk density, enhanced large-diameter timber growth, and undermined ecosystem multifunctionality in the short term compared to control (unthinning) treatment. Compared to the control, the thinning treatment considerably enhanced the soil organic carbon (0–30 cm soil layer) and tree diameter at breast height (20–30 cm), and enhanced shrub leaf nitrogen (N), shrub root N, herb aboveground N, Gram-positive bacteria (0–10 cm soil layer), and Gram-positive bacteria (20–30 cm soil layer) contents by 29.61%, 65.29%, 44.61%, 274.35%, and 323.44%, respectively. Furthermore, the thinning application could improve the N and P resorption efficiency more than control. Furthermore, compared with control, thinning treatment maximized decomposition and nutrient cycling function by 11.81% and 143.40%, respectively. Moreover, total PLFA content significantly impacts carbon stocks, wood production, and water regulation functions. In conclusion, this study underscores the considerable potential of thinning in augmenting large-diameter timber production by stimulating the positive effects of forest stands. These findings provide valuable insights for ecosystem multifunctionality elevation and the judicious application of thinning to improve forestry productivity, facilitating sustainable development in the forestry sector.

1. Introduction

Forest plantations are vital in timber production, environmental improvement, landscape construction, and climate change mitigation with Earth’s decreasing natural forest areas [1,2,3,4]. Despite the growth of forest plantation areas in China over recent years, challenges persist, including low quality, inadequate structure, poor stand conditions, weak ecological functions, and ongoing supply–demand tensions regarding landscape forests [5,6,7]. Therefore, it is urgent to improve ecosystem multifunctionality and forest land productivity [7]. Improving forest plantation quality could provide ecosystem functions, such as carbon (C) sequestration and emission reduction, biodiversity conservation, water regulation, and soil conservation, contributing to meeting the increased social demands on forests and coping with climate change [8,9,10].
The decline of forestland is both widespread and becoming more severe. Implementing thinning in plantations can enhance the nutrient levels in the soil and positively affect its physical and chemical characteristics, serving as a crucial strategy to address this decline [11,12,13]. Plantation thinning has become essential in forestry production [14,15,16,17,18]. Plantation thinning could significantly enhance the soil’s physical and chemical properties, provide more nutrients for tree growth, and improve tree growth [19]. Scientific thinning is one of the necessary production measures in the current high-yield, high-efficiency, high-quality, and sustainable forestry in China [20,21]. Nevertheless, they cause disadvantages, such as low understory vegetation diversity, limited soil fertility and water cycling, and unreasonable plant community structure after thinning [22,23]. Exploring the impacts of plantation thinning on the ecosystem multifunctionality of plantations has become an important issue in practical forestry production.
Plantation thinning could improve soil structure and fertility, promoting tree growth [24,25]. Current studies reported that thinning could enhance soil quality and increase plant growth and soil respiration [26]; using thinning in forestry production has broad application prospects [27,28]. Related studies showed that thinning could change plant nutrient utilization efficiency and increase soil nutrient content for a more extended period [29,30], thereby improving plant growth potential, enhancing plant resistance and the ability to absorb and utilize soil water and nutrients, and thus improving plant growth [31]. The application of thinning in forestry production has remained relatively understudied, particularly in its impact on the forest ecosystem’s multifunctionality. This knowledge gap highlights the need for further research and investigation into thinning’s potential benefits and limitations in enhancing forest tree timber cultivation. Consequently, there is a pressing need to explore the uncharted territory of thinning’s role in forestry to maximize its potential contributions to sustainable silviculture.
Castanopsis hystrix is one of South China’s main tree species in silvicultural production due to its characteristics, with >50,000 ha planted in the Guangdong and Guangxi Provinces in the last few decades, such as fast growth, high toughness, and timber properties, and has a critical position in forestry development in South China [32]. However, the effects of thinning applications on soil quality, large-diameter timber production of C. hystrix, and ecosystem multifunctionality are poorly understood [32,33,34,35]. Therefore, this research was performed to explore the influence of thinning (40%) on productivity, as well as the ecosystem multifunctionality in C. hystrix plantation forests, through a controlled experiment. Hence, it was assumed that (1) applying thinning would improve C. hystrix plantation forests’ large-diameter timber cultivation; (2) compared with unthinning setup, thinning would improve ecosystem multifunctionality; and (3) highlight the critical factors that significantly affect ecosystem multifunctionality. This study guides the suitable thinning to improve forest large-diameter timber productivity and help to improve ecosystem multifunctionality.

2. Materials and Methods

2.1. Study Area

This investigation was conducted at Guangdong Houdong Forest Park in Shaoguan City, Guangdong Province, China. The location receives an average precipitation of 1694 mm yearly and maintains an average temperature of 21.7 °C. The forest has a gentle incline of approximately 6% and is situated at elevations ranging from 345 to 1005 m. The soils are classified as oxisols (lateritic red earth) formed from sandstone materials. Previously, a subtropical evergreen forest dominated this area until the C. hystrix plantation was established in the early 2000s. In this planting scheme, 1000 trees were planted per hectare, followed by a thinning treatment of 40% conducted in 2015. Afterward, human disturbances ceased, allowing for the natural growth of the stand.

2.2. Plot Design and Soil Sampling

In July 2022, we identified control (unthinned) and thinning sites with similar topography and soil characteristics (Figure 1). Three plots measuring 600 m2 (20 m × 30 m) were established at each site, resulting in six plots (2 treatments × 3 replicates). To reduce spatial autocorrelation, replicates were spaced 1000 m apart, and plots were located at least 20 m from roads and other forested areas. We identified and characterized shrub and herb species with heights under 1.3 m [33,34]. Various species diversity indices were assessed, including species richness, Simpson’s dominance index, Shannon–Wiener diversity index, and Pielou dominance index [33,34]. The diameter at breast height (DBH) in centimeters and tree height (TH) in meters were measured for all trees present, and the basal area (BA) in m2 per hectare was calculated within the sampling plots. Tree biomass was estimated using the methodology outlined by Li et al. [33,34] (Table S1).
Figure 1. Location of sample sites.
The total biomass of understory vegetation (shrubs and herbs) was determined through destructive harvesting methods [33,34,35]. The understory vegetation and litter samples were collected from three sub-quadrants (2 m × 2 m) and three smaller sub-quadrants (1 m × 1 m), randomly positioned within control and thinning plots. Fresh weight measurements were taken using an electronic balance. Soil samples were collected, combined, and homogenized from three points within each plot type. We excavated soil to a depth of 0–30 cm using a hoe, dividing it into three layers: 0–10 cm, 10–20 cm, and 20–30 cm. Each soil layer sample was placed in a sealed bag for subsequent chemical analysis; samples were labeled using a ring knife.

2.3. Plant and Soil Characteristic Assessments

To assess the soil’s bulk density (BD, g cm−3), the soil was dried until it reached a constant weight. All collected leaf and litter samples were placed in an oven for 72 h to determine their biomass. The carbon (C), nitrogen (N), and phosphorus (P) concentrations in both plant and soil samples were measured using the technique recommended by Li et al. [35]. Additionally, carbon stocks in the soil, trees, understory vegetation, and litter were estimated using Li et al.’s methods [35]. NH4+-N and NO3-N contents in soil were extracted using KCl (1 M) and measured by UV spectrophotometer. The soil’s available nitrogen (AN) was obtained by summing NH4+-N and NO3-N. The activities of soil enzymes such as β-glucosidase (BG), acid phosphomonoesterase (AP), N-acetylglucosaminidase (NAG), cellobiohydrolase (CBH), phenol oxidase (PhOx), and peroxidase (Perox) were measured using the methodology described by Li et al. [35]. The composition of the soil microbial community, which includes total phospholipid fatty acids (PLFAs), bacteria, fungi, Gram-positive bacteria, Gram-negative bacteria, actinomycetes, arbuscular mycorrhizal fungi, and ectomycorrhizal fungi, was assessed through the phospholipid fatty acid method [34,35]. Additionally, the fumigation–extraction technique was utilized to evaluate microbial biomass carbon (MBC), microbial biomass nitrogen (MBN), and microbial biomass phosphorus (MBP) in the soil, following the procedures outlined by Li et al. [35].

2.4. Nutrient Resorption and Utilization Efficiency

Nutrient (N and P) resorption efficiency was calculated as follows [36,37,38]:
Nutrient   resorption   efficiency = N U g r e e n N U s e n e s c e d N U g r e e n × 100 %
where N U g r e e n and N U s e n e s c e d are the plant nutrient (N and P) uptake in green and senesced leaves, respectively.
N and P utilization efficiency (NUEN and NUEP) at the leaf level were calculated with the formula mentioned by Vitousek [39].

2.5. Ecosystem Multifunctionality Measurement

Our previous study proposed a method for calculating ecosystem service functions [34,40]. Ecosystem multifunctionality includes carbon stocks, nutrient cycling, wood production, decomposition, symbiosis, and water regulation functions (Table S2). Ecosystem single-function was calculated by the average of multiple characterizations (standardized to 0–1 scale). Subsequently, ecosystem multifunctionality was measured by the mean of six single-function indices [34].

2.6. Statistical Analysis

The data compilation and analysis were carried out employing Microsoft Excel. Subsequently, a one-way ANOVA was conducted, followed by Duncan’s multiple comparisons test (p < 0.05), utilizing IBM SPSS Statistics 23.0 (SPSS Inc., New York, NY, USA). This procedure was applied individually to various plant indices and soil physicochemical properties. The results were visualized using GraphPad Prism 8 (Systat Software Inc., San Jose, CA, USA). The experimental setup consisted of three replicate pots for each treatment. The graphical representations depict the mean values and the standard error (n = 3). Pearson correlation analysis assessed the relationships between plant indicators and soil properties. The Mantel test was employed to evaluate soil properties’ influence on plants. The statistical interconnections among variables were explored using the “ggplot2”, “vegan”, “ggcor”, “corrplot”, “tidyverse”, “rfPermute”, and “randomForest” packages within R 4.2.1 (R Core Team, 2022).

3. Results

3.1. Tree Diameter at Breast Height and Understory Vegetation Characteristics

After thinning, trees of 20–30 cm DBH accounted for 45.87%, and large-diameter timber larger than 30 cm accounted for 2.70%, while the 20–30 cm and larger than 30 cm diameter at breast height (DBH) trees in the control group were 8.73% and 0 (Table 1). Applying thinning significantly decreased the tree height and density by 32.01% and 39.90% (p < 0.05) compared with control, respectively (Table 2). In comparison to the control, the thinning treatment exhibited an augmentation in understory species richness, the Simpson dominance index, the Shannon–Wiener diversity index, and the Pielou dominance index, with improvements of 2.22%, 0.59%, 1.76%, and 1.32%, respectively. Compared to control, the thinning treatment elicited substantial increments in shrub leaf N, shrub root N, and herb aboveground N contents of 29.61%, 65.29%, and 44.61%, respectively (p < 0.05) (Table 3).
Table 1. DBH distribution of Castanopsis hystrix in C. hystrix plantations under the control and thinning treatments.
Table 2. Characterization of plant communities under two treatments (control and thinning) in the Castanopsis hystrix plantations.
Table 3. Plant C, N, and P content under control and thinning treatments at the Castanopsis hystrix plantation.

3.2. Soil Properties and Enzyme Activities

The thinning treatment significantly increased the SOC of the 0–30 cm soil layer compared to the control (p < 0.05), and the 0–10 cm soil layer NH4+-N, available N, and available P contents increased by 18.82%, 43.25%, and 38.30%, respectively (Figure 2). The pH in 20–30 cm soil significantly increased by 9.41% (p < 0.05). The thinning treatment reduced soil water content in the 0–10 cm, 10–20 cm, and 20–30 cm soil. Compared to the control, the thinning treatment exhibited the BG activity of the 20–30 cm soil layer by 41.41% (p < 0.05). Additionally, the soil enzyme activities decreased with increasing soil depth from 0–10 cm to 20–30 cm (Figure 3).
Figure 2. Effects of control and thinning treatments on soil BD (a, bulk density), soil organic carbon (b), total N (c), total P (d), C:N ratio (e), C:P ratio (f), N:P ratio (g), NH4+-N (h), available N (i), available P (j), pH (k), and soil water content (l) in Castanopsis hystrix plantation forests. Values are mean ± standard error (n = 3). * and *** indicate the significance level between control and thinning treatments at p < 0.05 and p < 0.001, respectively.
Figure 3. Effects of control and thinning treatments on AP activity (a, acid phosphomonoesterase), BG activity (b, β-glucosidase), NAG activity (c, N-acetylglucosaminidase), Perox activity (d, peroxidase), PhOx activity (e, phenol oxidase), and CBH activity (f, cellobiohydrolase) in Castanopsis hystrix plantation forests. Values are mean ± standard error (n = 3). ** indicate the significance level between control and thinning treatments at p < 0.01.

3.3. Soil Microbial Community and Microbial Biomass C, N and P

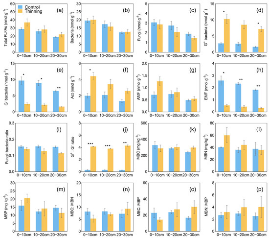
The total PLFAs, bacteria, fungi, Gram-positive, Gram-negative, and EMF contents decreased with increasing soil depth. Compared to the control, the thinning treatment led to significant enhancements in the levels of Gram-positive bacteria content within the 0–10 cm and 20–30 cm, with increments of 274.35% and 323.44% (p < 0.05), respectively (Figure 4). However, the utilization of thinning resulted in substantial decreases in the Gram-negative bacteria and EMF contents of the 0–10 cm, 10–20 cm, and 20–30 cm soil layers, exhibiting decreases from 74.49% and 79.11%, 75.01% and 81.24%, and 74.40% and 81.72% (p < 0.05), respectively. Moreover, in contrast to the control, the thinning treatment prompted remarkable increments in the Gram-positive bacteria/Gram-negative bacteria ratio within the 0–10 cm, 10–20 cm, and 20–30 cm soil layers by 1316.70%, 1223.12%, and 1555.28%, respectively. Moreover, thinning treatments did not significantly affect soil microbial biomass C, N, and P.
Figure 4. Effects of control and thinning treatments on total PLFAs (a), bacteria (b), fungi (c), G+ bacteria (d), G bacteria (e), Act (f), AMF (g), EMF (h), fungi/bacteria ratio (i), G+:G ratio (j), MBC (k), MBN (l), MBP (m), MBC:MBN ratio (n), MBC:MBP ratio (o), and MBN:MBP ratio (p) in Castanopsis hystrix plantation forests. Values are mean ± standard error (n = 3). *, **, and *** indicate the significance level between control and thinning treatments at p < 0.05, p < 0.01, and p < 0.001, respectively.

3.4. Ecosystem Multifunctionality

The calculations found that the ecosystem multifunctionality under the control treatment (0.51) was higher than that under the thinning treatment (0.43). In particular, compared to the control, the thinning treatment reduced symbiosis, water regulation, wood production, and carbon stock functions. Additionally, the thinning treatment manifested an increase of 11.81% in decomposition function and 143.40% in nutrient cycling function compared to the control treatment (Figure 5).
Figure 5. The subordinate function values of ES-multifunctionality (ecosystem multifunctionality), including symbiosis, carbon stocks, wood production, nutrient cycling, decomposition, and water regulation functions, in Castanopsis hystrix plantation forests under the control and thinning treatments.

3.5. Correlation of Ecosystem Multifunctionality with Soil and Plant Properties

Compared with control, thinning application could improve the plant N resorption efficiency and P resorption efficiency (p < 0.05) while not significantly affecting N use efficiency (NUEN) and P use efficiency (PUEp) (Figure 6). Through Mantel test analysis, noteworthy observations were made regarding the significant correlations between plant nutrient contents and available N, MBN, and Gram-negative bacteria in both control and thinning treatments (p < 0.05, Figure 7). The plant carbon stocks also exhibited a statistically significant correlation with EMF (p < 0.05). At the same time, plant community characteristics displayed a significant correlation with EMF and the Gram-positive/Gram-negative ratio (p < 0.05, Mantel’s r ≥ 0.5).
Figure 6. Effects of control and thinning treatments on N (nitrogen) resorption efficiency (a), P (phosphorus) resorption efficiency (b), NUEN (c), and NUEp (d) in Castanopsis hystrix plantation forests. Values are mean ± standard error (n = 3). * indicate the significance level between control and thinning treatments at p < 0.05.
Figure 7. Correlation analysis of soil properties (available N and available P), soil enzyme activities (AP, BG, and NAG activities), microbial community (total PLFAs, bacteria, G+ bacteria, G bacteria, fungi, Act, AMF, EMF, F:B ratio, and G+:G ratio) with plant nutrient contents, plant carbon stocks, and plant community characteristics in Castanopsis hystrix plantation forests under the control and thinning treatments. *, **, and *** indicate that the significance level is at p < 0.05, p < 0.01, and p < 0.001, respectively. Total PLFAs, total phospholipid fatty acids; Act, actinomycete; AMF, arbuscular mycorrhizal fungi; EMF, ectomycorrhizal fungi; F:B ratio, fungi/bacteria ratio; G+:G ratio, G+ bacteria/G bacteria ratio.
Employing the random forest model, further insights emerged. In the case of the control and thinning treatment, soil attributes, including total N, MBC:MBN, SOC, and Gram-positive bacteria, were identified as the main factors impacting ecosystem multifunctionality (Figure 8). These findings collectively contribute to an enhanced understanding of the complex interplay between soil properties and plant communities and their consequential effects on ecosystem multifunctionality. Moreover, linear regression analysis showed a significant positive correlation between ecosystem multifunctionality and NAG activity and total PLFA content in control and thinning treatments (p < 0.05, Figure 9). The obtained results, as depicted in Figure 9, highlight the significant impact of total PLFA content on the carbon stocks, wood production, and the water regulation function (p < 0.01).
Figure 8. The random forest model predicts the key soil factors affecting the ecosystem multifunctionality under the control and thinning treatments. A higher percentage of increase in mean square error (MSE) values implies more important predictors. SOC, soil organic carbon; EMF, ectomycorrhizal fungi; AP activity, acid phosphomonoesterase.
Figure 9. Linear regression analysis of ecosystem multifunctionality (symbiosis, carbon stocks, wood production, nutrient cycling, decomposition, and water regulation) with soil and plant properties ((a) correlation between NAG activity and ecosystem multifunctionality; (b) correlation between total PLFAs and ecosystem multifunctionality; (c) correlation between total PLFAs and carbon stocks; (d) correlation between AMF and carbon stocks; (e) correlation between total PLFAs and wood production; (f) correlation between bacteria and wood production; (g) correlation between bark carbon stocks and nutrient cycling; (h) correlation between G bacteria and nutrient cycling; (i) correlation between EMF and nutrient cycling; (j) correlation between stand density and nutrient cycling; (k) correlation between NAG activity and water regulation; (l) correlation between total PLFAs and water regulation; (m) correlation between Act and water regulation; (n) correlation between AMF and water regulation; (o) correlation between Pielou evenness and symbiosis) in Castanopsis hystrix plantation forests under the control and thinning treatments. * and ** indicate that the significance level is at p < 0.05 and p < 0.01, respectively.

4. Discussion

4.1. Effects of Thinning on Plant and Soil Properties

The previous body of literature has consistently indicated that thinning application has the potential to enhance plant growth parameters such as DBH [41]. In the present study, the application of thinning contributed to the increased tree DBH (20–30 cm). Notably, thinning treatments exhibited superior efficacy in promoting shrub leaf N, shrub root N, and herb aboveground N contents compared to control. This outcome is congruent with prior research that underscores the superiority of thinning in augmenting large-diameter timber cultivation relative to unthinning applications [41,42].
The intricate interplay between soil microbial activity, microbial biomass C, N, and P, and their capacity to transfer and transport nutrients and plant growth has been well established [43]. Unthinning treatment may enhance the soil environment, encompassing moisture, and diversify Gram-negative bacteria and EMF populations [40]. This study showed that the unthinning treatment proved more efficacious in stimulating symbiosis function than thinning treatments.
The potential effects of thinning on enhancing plant properties have been explored in various studies [44]. This investigation focuses on elucidating the impact of thinning treatment on plant community and nutrient content, with particular attention to vegetation carbon stock levels. The reduction of carbon stocks in plant communities following thinning treatment can be attributed to the effects of tree density, which substantiates tree DBH growth. Notably, plant P resorption efficiency was markedly elevated in response to the thinning treatment compared to control treatments. This observation underscores the superior ability of thinning to enhance plant P assimilation, likely due to vigorous plant growth.
Soil BD, pH, and water-holding capacity could directly affect plant root growth and nutrient uptake [45]. Soil BD in South China is generally higher than that of soils in other regions of China [32]. Therefore, reducing soil BD plays an important role in soil improvement in South China. Studies have shown that thinning could reduce soil BD and increase soil pH [46]. This study found that thinning application decreased BD and water content in the soil layer by 0–30 cm and increased pH in the soil layer by 20–30 cm. These findings were consistent with other studies’ results [46,47,48].

4.2. Effects of Thinning on Ecosystem Multifunctionality

A significant finding from this study is the impact of thinning on C stocks and their distribution within plant parts. Notably, the C stocks of branch, bark, stem, leaf, and root decreased; the overall tree C accumulation markedly decreased (Table S3). Unlike our hypothesis (3), we did not observe higher ecosystem multifunctionality under thinning treatment compared to control. Compared to the control group, applying thinning decreased symbiosis, water regulation, carbon stocks, and wood production functions of the C. hystrix plantation forest ecosystem. Furthermore, there was a decrease in ecosystem multifunctionality compared to the control treatment. Interestingly, this investigation also unveils a notable increase in shrub leaf N, shrub root N, and herb aboveground N contents by incorporating the thinning method (Table 3). Specifically, tree DBH (20-30 cm) was heightened in the context of the thinning treatment. This underscores the potential of thinning application to stimulate the positive effects of forest stands, consequently fostering large-diameter timber growth.
This finding is congruent with the outcomes of Bai et al. [47]. The content and stoichiometric ratios of soil C, N, and P are significant in maintaining optimal plant health and growth dynamics [35]. The soil C:N ratio reflects the soil’s capacity to assimilate carbon via nutrient uptake, characterizing carbon and nitrogen metabolism coordination. Similarly, soil C:P and N:P ratios play vital roles in gauging growth rates and the potential nutrient limitations experienced by plants [35]. In this study, applying thinning demonstrates a substantial augment in soil C:P and N:P ratios. Significantly, comparing the nutrient resorption efficiency of plants under control and thinning application, it can be found that thinning application reduces the N resorption efficiency and P resorption efficiency of plants but does not reduce the tree’s DBH (20–30 cm) when compared with control, which may be because thinning can enhance nutrient cycling, an important application in forestry production to nurturing large-diameter timber and reducing the loss of soil nutrients (Table 1 and Table 2) [41,49].

4.3. Impacts of Soil and Plant Properties on Ecosystem Multifunctionality

Forest ecosystems provide multiple services simultaneously and are characterized by multifunctionality [50,51]. To meet the demand for timber, large-diameter timber cultivation has received attention in China in recent years, and moderate thinning can increase the DBH of trees. The results illustrated a notable undermining of ecosystem multifunctionality due to applying thinning treatment. Prior investigations that affirmed the influence of Gram-negative bacteria on ecosystem multifunctionality enhancement [34], this study emphasizes the augmentative effect of total PLFAs content and NAG activity on ecosystem multifunctionality, as evidenced by the trends displayed in Figure 9. The discernible superiority of the thinning group over the control group in enhancing DBH (20–30 cm) of C. hystrix implies the potential of thinning as a more productive approach. This enhancement can be attributed to improving the forest stand from thinning application, which reduces tree density and improves nutrient cycling [52].
Moreover, the research uncovered a substantial positive relationship between NAG activity, total PLFAs, ACT, AMF, and water regulation function in the control and thinning groups (Figure 9). These findings align with earlier research highlighting the interdependence of microbial activity and soil water dynamics [53,54]. By utilizing random forest modeling as part of a multivariate analysis, this study further elucidated that the enhancements in ecosystem multifunctionality are attributed to the multiple impacts of soil properties, microbial community structure, and plant community. These results indicate that thinning improves large-diameter timber cultivation but undermines ecosystem multifunctionality in the short term [55].

5. Conclusions

In this research, the application of thinning improved the SOC content, enhanced large-diameter timber growth and nutrient uptake, and undermined ecosystem multifunctionality in the short term in comparison to the unthinning treatment, which is manifested by increasing tree DBH (20–30 cm) and understory species diversity in South China. Overall, thinning applications were more effective in promoting large-diameter timber growth and improving N and P resorption efficiency in comparison to the control. Unthinning treatment was optimally effective in improving ecosystem carbon stocks, wood production, water regulation, and symbiosis functions. Additionally, ecosystem multifunctionality changes with NAG activity and total PLFA content, and the factors, including total N, MBC:MBN, SOC, and Gram-positive bacteria, can be used as indicators for optimizing reasonable thinning to improve forestry productivity.

Supplementary Materials

The following supporting information can be downloaded at: https://www.mdpi.com/article/10.3390/f16010134/s1, Table S1. Allometric equations used to calculate the biomass of the various tree components sited by Li et al. (2023) [32]. Table S2. Forest functions and indicators employed for assessing ecosystem multifunctionality, cited by Li et al. (2024) [34]. Table S3. Carbon stocks in tree components (leaf, branch, stem, root, and bark), and total tree layers in Castanopsis hystrix plantation forests under the control and thinning treatments.

Author Contributions

Conceptualization, H.S. and X.L.; methodology, H.S. and X.L.; writing—original draft preparation, H.S. and F.L.; writing—review and editing, H.S., F.L., F.U.H., X.L., Z.S., L.X. and H.L.; software, H.S.; validation, H.S.; formal analysis, H.S. and X.L.; investigation, X.L. and C.M.; data curation, X.L. and F.L.; supervision, X.L.; project administration, H.L.; funding acquisition, H.L. All authors have read and agreed to the published version of the manuscript.

Funding

We would like to thank the National Natural Science Foundation of China (52478053, 52078222), Guangdong Natural Science Foundation (2024A1515010783), the Key Scientific Research Project of Colleges and Universities of Guangdong Education Department in 2020 (2020ZDZX1033), and Philosophy and Social Science Program of Guangdong Province (GD22CYS18) for its support.

Data Availability Statement

The original contributions presented in this study are included in the article and Supplementary Materials. Further inquiries can be directed to the corresponding author.

Conflicts of Interest

The authors declare no conflicts of interest.

References

  1. Trumbore, S.; Brando, P.; Hartmann, H. Forest health and global change. Science 2015, 349, 814–818. [Google Scholar] [CrossRef] [PubMed]
  2. Ma, Y.; Wei, J.; Wang, W.; Huang, C.; Feng, C.; Xu, D.; Haider, F.U.; Li, X. Monitoring changes in composition and diversity of forest vegetation layers after the cessation of management for renaturalization. Forests 2024, 15, 907. [Google Scholar] [CrossRef]
  3. Baccini, A.; Walker, W.; Carvalho, L.; Farina, M.; Sulla-Menashe, D.; Houghton, R.A. Tropical forests are a net carbon source based on aboveground measurements of gain and loss. Science 2017, 358, 230–234. [Google Scholar] [CrossRef] [PubMed]
  4. Giam, X. Global biodiversity loss from tropical deforestation. Proc. Natl. Acad. Sci. USA 2017, 114, 5775. [Google Scholar] [CrossRef] [PubMed]
  5. Menz, M.H.; Dixon, K.W.; Hobbs, R.J. Hurdles and opportunities for landscape-scale restoration. Science 2013, 339, 526–527. [Google Scholar] [CrossRef] [PubMed]
  6. Wu, G.; Li, X.; Zhou, S.; Liu, X.; Lie, Z.; Aguila, L.C.R.; Xu, W.; Liu, J. Soil organic carbon sources exhibit different patterns with stand age in rhizosphere and non-rhizosphere soils. Catena 2025, 248, 108579. [Google Scholar] [CrossRef]
  7. Mori, A.S.; Lertzman, K.P.; Gustafsson, L. Biodiversity and ecosystem services in forest ecosystems. J. Appl. Ecol. 2017, 54, 12–27. [Google Scholar] [CrossRef]
  8. Harrison, S.; Spasojevic, M.J.; Li, D. Climate and plant community diversity in space and time. Proc. Natl. Acad. Sci. USA 2020, 117, 4464. [Google Scholar] [CrossRef] [PubMed]
  9. López-Bedoya, P.A.; Bohada-Murillo, M.; Ángel-Vallejo, M.C.; Audino, L.D.; Davis, A.L.; Gurr, G.; Noriega, J.A. Primary forest loss and degradation reduces biodiversity and ecosystem functioning: A global meta-analysis using dung beetles as an indicator taxon. J App. Ecol. 2022, 59, 1572–1585. [Google Scholar] [CrossRef]
  10. Yan, P.; Fernández-Martínez, M.; Van Meerbeek, K.; Yu, G.; Migliavacca, M.; He, N. The essential role of biodiversity in the key axes of ecosystem function. Global Change Biol. 2023, 29, 4569–4585. [Google Scholar] [CrossRef]
  11. Chen, H.Y.H.; Biswas, S.R.; Sobey, T.M.; Brassard, B.W.; Bartels, S.F. Reclamation strategies for mined forest soils and overstory drive understorey vegetation. J. Appl. Ecol. 2018, 55, 926–936. [Google Scholar] [CrossRef]
  12. Fakhry, A.M.; Khazzan, M.M.; Aljedaani, G.S. Impact of disturbance on species diversity and composition of Cyperus conglomeratus plant community in southern Jeddah, Saudi Arabia. J. King Saud Univ.Sci. 2020, 32, 600–605. [Google Scholar] [CrossRef]
  13. Rembold, K.; Mangopo, H.; Tjitrosoedirdjo, S.S.; Kreft, H. Plant diversity, forest dependency, and alien plant invasions in tropical agricultural landscapes. Biol. Conserv. 2017, 213, 234–242. [Google Scholar] [CrossRef]
  14. Zhang, X.; Chen, L.; Wang, Y.; Jiang, P.; Hu, Y.; Ouyang, S.; Wu, H.; Lei, P.; Kuzyakov, Y.; Xiang, W. Plantations thinning: A meta-analysis of consequences for soil properties and microbial functions. Sci. Total Environ. 2023, 877, 162894. [Google Scholar] [CrossRef]
  15. Deng, C.; Zhang, S.; Lu, Y.; Froese, R.E.; Xu, X.; Zeng, J.; Ming, A.; Liu, X.; Xie, Y.; Li, Q. Thinning effects on forest evolution in Masson pine (Pinus massoniana Lamb.) conversion from pure plantations into mixed forests. For. Ecol. Manag. 2020, 477, 118503. [Google Scholar] [CrossRef]
  16. Takayama, N.; Saito, H.; Fujiwara, A.; Horiuchi, M. The effect of slight thinning of managed coniferous forest on landscape appreciation and psychological restoration. Prog. Earth Planet. Sci. 2017, 4, 17. [Google Scholar] [CrossRef]
  17. Kitagawa, R.; Ueno, M.; Masaki, T. Thinning affects understorey tree community assembly in monoculture plantations by facilitating stochastic immigration from the landscape. App. Veg. Sci. 2017, 20, 673–682. [Google Scholar] [CrossRef]
  18. Li, X.; Li, Y.; Zhang, J.; Peng, S.; Chen, Y.; Cao, Y. The effects of forest thinning on understory diversity in China: A meta-analysis. Land Degrad. Dev. 2020, 31, 1225–1240. [Google Scholar] [CrossRef]
  19. Moreau, G.; Auty, D.; Pothier, D.; Shi, J.; Lu, J.; Achim, A.; Xiang, W. Long-term tree and stand growth dynamics after thinning of various intensities in a temperate mixed forest. For. Ecol. Manag. 2020, 473, 118311. [Google Scholar] [CrossRef]
  20. Keenan, R.J.; Weston, C.J.; Volkova, L. Potential for forest thinning to reduce risk and increase resilience to wildfire in Australian temperate Eucalyptus forests. Curr. Opin. Environ. Sci. Health 2021, 23, 100280. [Google Scholar] [CrossRef]
  21. Settineri, G.; Mallamaci, C.; Mitrović, M.; Sidari, M.; Muscolo, A. Effects of different thinning intensities on soil carbon storage in Pinus laricio forest of Apennine South Italy. Eur. J. Forest Res. 2018, 137, 131–141. [Google Scholar] [CrossRef]
  22. Moreau, G.; Chagnon, C.; Achim, A.; Caspersen, J.; D’Orangeville, L.; Sánchez-Pinillos, M.; Thiffault, N. Opportunities and limitations of thinning to increase resistance and resilience of trees and forests to global change. Forestry 2020, 95, 595–615. [Google Scholar] [CrossRef]
  23. Witzell, J.; Bergström, D.; Bergsten, U. Variable corridor thinning-a cost-effective key to provision of multiple ecosystem services from young boreal conifer forests? Scand. J. Forest Res. 2019, 34, 497–507. [Google Scholar] [CrossRef]
  24. Zhao, B.; Ballantyne, A.P.; Meng, S.; Zhao, G.; Zheng, Z.; Zhu, J.; Cao, J.; Zhang, Y.; Zhao, X. Understory plant removal counteracts tree thinning effect on soil respiration in a temperate forest. Global Change Biol. 2020, 28, 6102–6113. [Google Scholar] [CrossRef] [PubMed]
  25. Zhou, Z.; Wang, C.; Jin, Y.; Sun, Z. Impacts of thinning on soil carbon and nutrients and related extracellular enzymes in a larch plantation. For. Ecol. Manag. 2019, 450, 117523. [Google Scholar] [CrossRef]
  26. Yang, L.; Qin, J.; Geng, Y.; Zhang, C.; Pan, J.; Niu, S.; Tian, D.; Zhao, X.; Wang, J. Long-term effects of forest thinning on soil respiration and its components in a pine plantation. For. Ecol. Manag. 2022, 513, 120189. [Google Scholar] [CrossRef]
  27. Wang, Z.; Yang, H.; Wang, D.; Zhao, Z. Response of height growth of regenerating trees in a Pinus tabulaeformis Carr. plantation to different thinning intensities. For. Ecol. Manag. 2019, 444, 280–289. [Google Scholar] [CrossRef]
  28. Wang, D.; Olatunji, O.A.; Xiao, J. Thinning increased fine root production, biomass, turnover rate and understory vegetation yield in a Chinese fir plantation. For. Ecol. Manag. 2019, 440, 92–100. [Google Scholar] [CrossRef]
  29. Liu, Y.; Liu, Y.; Qi, S.; Fan, Z.; Xue, Y.; Tang, Q.; Liu, Z.; Zheng, X.; Wu, C.; Xi, B.; et al. Thinning vs. pruning: Impacts on sap flow density and water use efficiency in young populus tomentosa plantations in Northern China. Forests 2024, 15, 536. [Google Scholar] [CrossRef]
  30. Jiang, J.; Lu, Y.; Chen, B.; Ming, A.; Pang, L. Nutrient resorption and C: N: P stoichiometry responses of a Pinus massoniana plantation to various thinning intensities in Southern China. Forests 2022, 13, 1699. [Google Scholar] [CrossRef]
  31. Caihong, Z.; Nier, S.; Hao, W.; Honglin, X.; Hailong, S.; Ling, Y. Effects of thinning on soil nutrient availability and fungal community composition in a plantation medium-aged pure forest of Picea koraiensis. Sci. Rep. 2023, 13, 2492. [Google Scholar] [CrossRef]
  32. Li, X.; Aguila, L.C.R.; Luo, J.; Liu, Y.; Wu, T.; Lie, Z.; Liu, X.; Cheng, Y.; Jiang, F.; Liu, J. Carbon storage capacity of Castanopsis hystrix plantations at different stand-ages in South China. Sci. Total Environ. 2023, 894, 164974. [Google Scholar] [CrossRef] [PubMed]
  33. Li, X.; Aguila, L.C.R.; Wu, D.; Lie, Z.; Xu, W.; Tang, X.; Liu, J. Carbon sequestration and storage capacity of Chinese fir at different stand ages. Sci. Total Environ. 2023, 904, 166962. [Google Scholar] [CrossRef] [PubMed]
  34. Li, X.; Liu, Y.; Wu, G.; Lie, Z.; Sheng, H.; Aguila, L.C.R.; Khan, M.S.; Liu, X.; Zhou, S.; Wu, T.; et al. Mixed plantations do not necessarily provide higher ecosystem multifunctionality than monoculture plantations. Sci. Total Environ. 2024, 914, 170156. [Google Scholar] [CrossRef]
  35. Li, X.; Wu, T.; Wu, G.; Aguila, L.C.R.; Liu, X.; Liu, Y.; Cheng, Y.; Jiang, F.; Lie, Z.; Liu, J. Increasing stand age increases N deficiency but alleviates relative P limitations in Castanopsis hystrix plantations in southern China. Land Degrad. Dev. 2024, 35, 2173–2183. [Google Scholar] [CrossRef]
  36. See, C.R.; Yanai, R.D.; Fisk, M.C.; Vadeboncoeur, M.A.; Quintero, B.A.; Fahey, T.J. Soil nitrogen affects phosphorus recycling: Foliar resorption and plant-soil feedbacks in a northern hardwood forest. Ecology 2015, 96, 2488–2498. [Google Scholar] [CrossRef] [PubMed]
  37. Bremner, J.M.; Mulvaney, C.S. Nitrogen-total. In Methods of Soil Analysis: Part 2 Chemical and Microbiological Properties; American Society of Agronomy, Soil Science Society of America: Madison, WI, USA, 1982; Volume 9, pp. 595–624. [Google Scholar]
  38. Han, W.; Tang, L.; Chen, Y.; Fang, J. Relationship between the relative limitation and resorption efficiency of nitrogen vs phosphorus in woody plants. PLoS ONE 2013, 8, e83366. [Google Scholar] [CrossRef] [PubMed]
  39. Vitousek, P. Nutrient cycling and nutrient use efficiency. Am. Nat. 1982, 119, 553–572. [Google Scholar] [CrossRef]
  40. Shi, X.; Wang, J.; Lucas-Borja, M.E.; Wang, Z.; Li, X.; Huang, Z. Microbial diversity regulates ecosystem multifunctionality during natural secondary succession. J. Appl. Ecol. 2021, 58, 2833–2842. [Google Scholar] [CrossRef]
  41. Ulvcrona, K.A.; Karlsson, K.; Ulvcrona, T. Identifying the biological effects of pre-commercial thinning on diameter growth in young Scots pine stands. Scand. J. Forest Res. 2014, 29, 427–435. [Google Scholar] [CrossRef]
  42. Aldea, J.; del Río, M.; Cattaneo, N.; Riofrío, J.; Ordóñez, C.; Uzquiano, S.; Bravo, F. Short-term effect of thinning on inter-and intra-annual radial increment in Mediterranean Scots pine-oak mixed forests. For. Ecol. Manag. 2023, 549, 121462. [Google Scholar] [CrossRef]
  43. Haider, F.U.; Coulter, J.A.; Cheema, S.A.; Farooq, M.; Wu, J.; Zhang, R.; Shuaijie, G.; Cai, L. Co-application of biochar and microorganisms improves soybean performance and remediate cadmium-contaminated soil. Ecotox. Environ. Safe. 2021, 214, 112112. [Google Scholar] [CrossRef]
  44. Zhang, H.; Liu, S.; Yu, J.; Li, J.; Shangguan, Z.; Deng, L. Thinning increases forest ecosystem carbon stocks. For. Ecol. Manag. 2024, 555, 121702. [Google Scholar] [CrossRef]
  45. Wang, T.; Xu, Q.; Gao, D.; Zhang, B.; Zuo, H.; Jiang, J. Effects of thinning and understory removal on the soil water-holding capacity in Pinus massoniana plantations. Sci. Rep. 2021, 11, 13029. [Google Scholar] [CrossRef]
  46. Meng, L.; Cui, Z.; Huang, Z.; Lucas-Borja, M.E.; Dunkerley, D.; Wu, G. Thinning effects on forest production and rainfall redistribution: Reduced soil water deficit and improved sustainability of semiarid plantation forestlands. Land Degrad. Dev. 2022, 33, 3163–3173. [Google Scholar] [CrossRef]
  47. Bai, S.; Dempsey, R.; Reverchon, F.; Blumfield, T.J.; Ryan, S.; Cernusak, L.A. Effects of forest thinning on soil-plant carbon and nitrogen dynamics. Plant Soil 2017, 411, 437–449. [Google Scholar] [CrossRef]
  48. Vesterdal, L.; Dalsgaard, M.; Felby, C.; Raulund-Rasmussen, K.; Jørgensen, B.B. Effects of thinning and soil properties on accumulation of carbon, nitrogen and phosphorus in the forest floor of Norway spruce stands. For. Ecol. Manag. 1995, 77, 1–10. [Google Scholar] [CrossRef]
  49. Huang, W.; Song, B.; Liu, Y.; Liu, J.; Wang, X. Multifunctional evaluation of spruce-fir forest based on different thinning intensities. Forests 2024, 15, 1703. [Google Scholar] [CrossRef]
  50. Tebenkova, D.N.; Lukina, N.V.; Chumachenko, S.I.; Danilova, M.A.; Kuznetsova, A.I.; Gornov, A.V.; Shevchenko, N.E.; Kataev, A.D.; Gagarin, Y.N. Multifunctionality and biodiversity of forest ecosystems. Contemp. Probl. Ecol. 2020, 13, 709–719. [Google Scholar] [CrossRef]
  51. Tebenkova, D.N.; Lukina, N.V.; Kataev, A.D.; Chumachenko, S.I.; Kiselyova, V.V.; Kolycheva, A.A.; Shanin, V.N.; Gagarin, Y.N.; Kuznetsova, A.I. Scenario development for the imitation modelling of forest ecosystem services. For. Sci. Iss. 2023, 6, 136. [Google Scholar] [CrossRef]
  52. Zhang, K.; Zou, H.; Lei, X.; Zeng, J.; Lan, J.; Guo, X.; Gao, D.; Liu, X.; Zhang, H. Impact of management measures on multiple ecosystem function trade-offs and their dynamics in subtropic Pinus massoniana plantations. Forests 2024, 15, 1224. [Google Scholar] [CrossRef]
  53. Schjønning, P.; Thomsen, I.K.; Petersen, S.O.; Kristensen, K.; Christensen, B.T. Relating soil microbial activity to water content and tillage-induced differences in soil structure. Geoderma 2011, 163, 256–264. [Google Scholar] [CrossRef]
  54. Zhou, S.; Lie, Z.; Liu, X.; Zhu, Y.; Josep, P.; Roy, N.; Su, X.; Liu, Z.; Chu, G.; Meng, Z.; et al. Distinct patterns of soil bacterial and fungal community assemblages in subtropical forest ecosystems under warming. Global Chang. Biol. 2023, 29, 1501–1513. [Google Scholar] [CrossRef]
  55. Simon, D.C.; Ameztegui, A. Modelling the influence of thinning intensity and frequency on the future provision of ecosystem services in Mediterranean mountain pine forests. Eur. J. Forest Res. 2023, 142, 521–535. [Google Scholar] [CrossRef]
Disclaimer/Publisher’s Note: The statements, opinions and data contained in all publications are solely those of the individual author(s) and contributor(s) and not of MDPI and/or the editor(s). MDPI and/or the editor(s) disclaim responsibility for any injury to people or property resulting from any ideas, methods, instructions or products referred to in the content.

Article Metrics

Citations

Article Access Statistics

Multiple requests from the same IP address are counted as one view.