Trade-Offs in Plant Functional Traits Driven by Soil Changes under Urban Hardened Surfaces
Abstract
1. Introduction
2. Materials and Methods
2.1. Study Area
2.2. Experimental Design
2.3. Determination Method
2.3.1. Soil Sampling
2.3.2. Determination of Soil Properties
2.4. Determination of Plant Functional Traits
2.5. Statistical Analyses
3. Results
3.1. Impact of Urban Surface Cover on Soil Physical and Chemical Properties
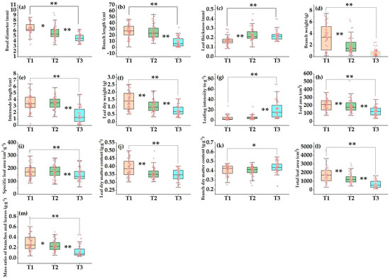
3.2. Effect of Hardened Surface on Plant Functional Traits
3.3. Correlation among Plant Functional Traits
3.4. Effect of Hardened Surface on Correlation Degree of Plant Traits
3.5. The Correlation between the Differences in Soil Properties Caused by Hardened Surface and Plant Functional Traits
4. Discussion
5. Conclusions
Author Contributions
Funding
Data Availability Statement
Conflicts of Interest
References
- Barton, K.E. The ontogenetic dimension of plant functional ecology. Funct. Ecol. 2024, 38, 98–113. [Google Scholar] [CrossRef]
- Verrall, B.; Green, K.; Pickering, C.M. Temporal dynamics in alpine snow patch plants along a snowmelt gradient explained by functional traits and strategies. Oecologia 2023, 201, 155–171. [Google Scholar] [CrossRef] [PubMed]
- Wang, Y.; Li, Z.; Wang, Z.; Gu, J. Functional trait plasticity but not coordination differs in absorptive and transport fine roots in response to soil depth. Forests 2019, 11, 42. [Google Scholar] [CrossRef]
- Zhu, J.Y.; Zhang, Q.Z.; Li, L.Q.; Liu, Y.X.; Li, H.Y.; Xu, C.Y. Traits coordination at leaf and branch level in response to the urban environment. Urban Fore. Urban Green. 2023, 89, 128128. [Google Scholar] [CrossRef]
- Reich, P.B.; Cornelissen, H. The world-wide ‘fast–slow’ plant economics spectrum: A traits manifesto. J. Ecol. 2014, 102, 275–301. [Google Scholar] [CrossRef]
- Fine, P.V.A.; Miller, Z.J.; Mesones, I.; Irazuzta, S.; Appel, H.M.; Stevens, M.H.H. The growth-defense trade-off and habitat specialization by plants in Amazonian forests. Ecology 2006, 87, 150–162. [Google Scholar] [CrossRef]
- Hardin, P.J.; Jensen, R.R. The effect of urban leaf area on summertime urban surface kinetic temperatures: A Terre Haute case study. Urban Fore. Urban Green. 2007, 6, 63–72. [Google Scholar] [CrossRef]
- Li, X.; Zhou, Y.; Asrar, G.R.; Imhoff, M.; Li, X. The surface urban heat island response to urban expansion: A panel analysis for the conterminous united states. Sci. Total Environ. 2017, 605–606, 426–435. [Google Scholar] [CrossRef]
- Lewis, D.B.; Kaye, J.P.; Gries, C.; Kinzig, A.P.; Redman, C.L. Agrarian legacy in soil nutrient pools of urbanizing arid lands. Glob. Chang. Biol. 2006, 12, 703–709. [Google Scholar] [CrossRef]
- Guo, H.; Huang, Q.; Li, X.; Sun, Z.; Zhang, Y. Spatiotemporal analysis of urban environment based on the vegetation–impervious surface–soil model. J. Appl. Remote Sens. 2013, 8, 084597. [Google Scholar] [CrossRef]
- Demina, S.; Vasenev, V.; Ivashchenko, K.; Ananyeva, N.; Dovletyarova, E. Microbial properties of urban soils with different land-use history in new Moscow. Soil Sci. 2018, 183, 132–140. [Google Scholar] [CrossRef]
- Xiao, R.; Tian, Y.; Xu, G. Spatial gradient of urban green field influenced by soil sealing. Sci. Total Environ. 2020, 735, 139490. [Google Scholar] [CrossRef]
- Miyamoto, S.; Chacon, A.; Hossain, M.; Martinez, I. Soil salinity of urban turf areas irrigated with saline water. Landscape Urban Plan. 2006, 71, 233–241. [Google Scholar] [CrossRef]
- Pickett, S.T.A.; Cadenasso, M.L.; Grove, J.M. Urban ecological systems: Scientific foundations and a decade of progress. J. Environ. Manag. 2011, 92, 331–362. [Google Scholar] [CrossRef]
- De Lucia, B.; Cristiano, G.; Vecchietti, L.; Bruno, L. Effect of different rates of composted organic amendment on urban soil properties, growth and nutrient status of three mediterranean native hedge species. Urban Fore. Urban Green. 2013, 12, 537–545. [Google Scholar] [CrossRef]
- Kargar, M.; Jutras, P.; Clark, O.G.; Hendershot, W.H.; Prasher, S.O. Macro-nutrient availability in surface soil of urban tree pits influenced by land use, soil age, and soil organic matter content. Urban Ecosyst. 2015, 18, 921–936. [Google Scholar] [CrossRef]
- Montague, T.; Kjelgren, R. Energy balance of six common landscape surfaces and the influence of surface properties on gas exchange of four containerized tree species. Sci. Hortic. 2004, 100, 229–249. [Google Scholar] [CrossRef]
- Hassan, M.O.; Hassan, Y.M. Effect of human activities on floristic composition and diversity of desert and urban vegetation in a new urbanized desert ecosystem. Heliyon 2019, 5, e02283. [Google Scholar] [CrossRef] [PubMed]
- Li, J.Y.; Dou, X.L.; Hu, Y.H.; Gan, D.X.; Li, F. Variation in soil organic carbon mineralization under various land cover types in urban areas. Acta Ecol. Sin. 2018, 38, 112–121. (In Chinese) [Google Scholar]
- Byrne, L.B. Habitat structure: A fundamental concept and framework for urban soil ecology. Urban Ecosyst. 2007, 10, 255–274. [Google Scholar] [CrossRef]
- Decina, S.M.; Templer, P.H.; Hutyra, L.R. Variability, drivers, and effects of atmospheric nitrogen inputs across an urban area: Emerging patterns among human activities, the atmosphere, and soils. Sci. Total Environ. 2017, 609, 1524–1534. [Google Scholar] [CrossRef] [PubMed]
- Zhao, D.; Li, F.; Wang, R.S. Effects of ground surface hardening on plant eco-physiological processes in urban landscapes. Acta Ecol. Sin. 2010, 30, 3923–3932. (In Chinese) [Google Scholar]
- Fu, Z.H.; Huyan, J.Q.; Li, F.; Song, Y.S.; Zhao, D.; Li, H. Impacts of different surface covers on soil respiration in urban areas. Acta Ecol. Sin. 2013, 33, 5500–5508. (In Chinese) [Google Scholar]
- Yu, W.W.; Chen, Y.Y.; Wang, M.; Wang, X.K. Effects of land pavement on the structure and function of soil microbial community under different tree species. Acta Ecol. Sin. 2019, 39, 1258–1271. (In Chinese) [Google Scholar]
- Yu, W.W.; Chen, Y.Y.; Yang, N.; Cui, B.W.; Wang, X.K. Effects of pavements on soil microbial biomass carbon and nitrogen in non-rhizosphere and rhizosphere of Pinus tabulaeformis and Fraxinus chinensis. Acta Ecol. Sin. 2020, 40, 1376–1382. (In Chinese) [Google Scholar]
- Greenwood, S.; Ruiz-Benito, P.; Martínez-Vilalta, J.; Lloret, F.; Kitzberger, T.; Allen, C.D. Tree mortality across biomes is promoted by drought intensity, lower wood density and higher specific leaf area. Ecol. Lett. 2017, 20, 539–553. [Google Scholar] [CrossRef] [PubMed]
- Zhu, J.Y.; Zhu, H.; Cao, Y.J.; Li, J.H.; Zhu, Q.Y.; Yao, J.M.; Xu, C.Y. Effect of simulated warming on leaf functional traits of urban greening plants. BMC Plant Biol. 2020, 20, 139. [Google Scholar] [CrossRef]
- Maes, W.H.; Achten, W.M.J.; Reubens, B.; Raes, D.; Samson, R.; Muys, B. Plant-water relationships and growth strategies of Jatropha curcas L. seedlings under different levels of drought stress. J. Arid Environ. 2009, 10, 877–884. [Google Scholar] [CrossRef]
- Poorter, L.; Bongers, F. Leaf traits are good predictors of plant performance across 53 rain forest species. Ecology 2006, 87, 1733–1743. [Google Scholar] [CrossRef]
- Knight, C.A.; Ackerly, D.D. Evolution and plasticity of photosynthetic thermal tolerance, specific leaf area and leaf size: Congeneric species from desert and coastal environments. New Phytol. 2021, 160, 337–347. [Google Scholar] [CrossRef]
- Ding, N.; Yang, W.; Zhou, Y. Different responses of functional traits and diversity of stream macroinvertebrates to environmental and spatial factors in the Xishuangbanna watershed of the upper Mekong River Basin, China. Sci. Total Environ. 2017, 574, 288–299. [Google Scholar] [CrossRef] [PubMed]
- Hatangi, Y.; Nshimba, H.; Stoffelen, L.V.F. Leaf traits of understory woody species in the Congo Basin forests changed over a 60-year period. Plant Ecol. Evol. 2023, 156, 339–351. [Google Scholar] [CrossRef]
- Morrow, C.J.; Jaeger, S.J.; Lindroth, R.L. Intraspecific variation in plant economic traits predicts trembling aspen resistance to a generalist insect herbivore. Oecologia 2022, 199, 119–128. [Google Scholar] [CrossRef] [PubMed]
- Nicolas, M.; Erwin, D.; Eric, B.; Didier, D.; Jean-Michel, P.; Delmotte, F.M. Impact of successive drought and re-watering cycles on growth and specific leaf area of two populus × canadensis (Moench) clones, ‘dorskamp’ and ‘luisa_avanzo’. Tree Physiol. 2003, 18, 1225–1235. [Google Scholar]




| BD | BL | LT | BW | IL | LDW | LI | LA | SLA | LDMC | BDMC | TLA | ||
|---|---|---|---|---|---|---|---|---|---|---|---|---|---|
| BL | T1 | 0.750 | |||||||||||
| T2 | 0.611 | ||||||||||||
| T3 | 0.519 | ||||||||||||
| LT | T1 | −0.152 | 0.031 | ||||||||||
| T2 | 0.220 | 0.278 | |||||||||||
| T3 | 0.274 | 0.388 | |||||||||||
| BW | T1 | 0.318 | 0.547 | 0.207 | |||||||||
| T2 | 0.806 | 0.718 | 0.226 | ||||||||||
| T3 | 0.716 | 0.856 | 0.490 | ||||||||||
| IL | T1 | 0.693 | 0.815 | −0.008 | 0.378 | ||||||||
| T2 | 0.393 | 0.807 | 0.142 | 0.566 | |||||||||
| T3 | 0.521 | 0.919 | 0.454 | 0.848 | |||||||||
| LDW | T1 | 0.266 | 0.497 | 0.041 | 0.465 | 0.369 | |||||||
| T2 | 0.468 | 0.224 | 0.203 | 0.579 | 0.302 | ||||||||
| T3 | 0.247 | 0.269 | 0.271 | 0.274 | 0.521 | ||||||||
| LI | T1 | −0.620 | −0.795 | −0.078 | −0.405 | −0.779 | −0.497 | ||||||
| T2 | −0.567 | −0.482 | −0.073 | −0.630 | −0.595 | −0.482 | |||||||
| T3 | −0.365 | −0.587 | −0.280 | −0.668 | −0.757 | −0.506 | |||||||
| LA | T1 | 0.441 | 0.617 | −0.088 | 0.352 | 0.570 | 0.512 | −0.643 | |||||
| T2 | 0.640 | 0.458 | 0.381 | 0.636 | 0.488 | 0.570 | −0.464 | ||||||
| T3 | 0.302 | 0.363 | 0.197 | 0.411 | 0.578 | 0.493 | −0.664 | ||||||
| SLA | T1 | 0.219 | 0.101 | −0.095 | −0.188 | 0.134 | −0.549 | −0.081 | 0.284 | ||||
| T2 | 0.106 | 0.237 | 0.039 | 0.022 | 0.153 | −0.544 | 0.003 | 0.243 | |||||
| T3 | 0.015 | 0.010 | −0.171 | 0.075 | 0.042 | −0.539 | −0.189 | 0.345 | |||||
| LDMC | T1 | −0.031 | 0.142 | −0.002 | 0.191 | 0.169 | 0.376 | −0.286 | 0.308 | −0.254 | |||
| T2 | 0.094 | −0.110 | −0.189 | 0.073 | −0.143 | −0.058 | 0.034 | −0.247 | −0.078 | ||||
| T3 | −0.055 | 0.230 | 0.187 | 0.204 | 0.337 | 0.402 | −0.318 | 0.242 | −0.237 | ||||
| BDMC | T1 | 0.081 | −0.079 | −0.137 | −0.288 | −0.019 | −0.195 | −0.028 | −0.181 | 0.072 | −0.083 | ||
| T2 | −0.388 | −0.654 | −0.394 | −0.490 | −0.601 | −0.245 | 0.314 | −0.341 | −0.008 | 0.056 | |||
| T3 | −0.051 | −0.530 | 0.014 | −0.201 | −0.463 | −0.106 | 0.300 | −0.183 | −0.051 | −0.273 | |||
| TLA | T1 | 0.417 | 0.696 | −0.055 | 0.411 | 0.377 | 0.557 | −0.592 | 0.871 | 0.183 | 0.265 | −0.209 | |
| T2 | 0.769 | 0.707 | 0.447 | 0.759 | 0.447 | 0.462 | −0.413 | 0.846 | 0.257 | −0.195 | −0.454 | ||
| T3 | 0.515 | 0.754 | 0.300 | 0.736 | 0.799 | 0.384 | −0.713 | 0.813 | 0.288 | 0.121 | −0.382 | ||
| MRBL | T1 | 0.585 | 0.618 | 0.085 | 0.085 | 0.657 | −0.162 | −0.522 | 0.377 | 0.655 | −0.042 | 0.000 | 0.291 |
| T2 | 0.417 | 0.522 | −0.055 | 0.523 | 0.474 | −0.184 | −0.455 | 0.188 | 0.620 | 0.202 | −0.198 | 0.259 | |
| T3 | 0.560 | 0.529 | 0.295 | 0.777 | 0.591 | −0.154 | −0.591 | 0.345 | 0.522 | 0.132 | −0.070 | 0.525 |
| BD | BL | LT | BW | IL | LDW | LI | LA | SLA | LDMC | BDMC | TLA | MRBL | |
|---|---|---|---|---|---|---|---|---|---|---|---|---|---|
| SBD | −0.507 * | −0.464 * | 0.138 | −0.479 * | −0.510 * | −0.335 * | 0.486 * | −0.411 * | −0.012 | −0.275 * | 0.244 * | −0.423 * | −0.443 * |
| TP | 0.414 * | 0.495 * | −0.017 | 0.426 * | 0.517 * | 0.372 * | −0.527 * | 0.438 * | 0.006 | 0.308 * | −0.194 * | 0.474 * | 0.353 * |
| CP | 0.452 * | 0.508 * | −0.018 | 0.438 * | 0.512 * | 0.369 * | −0.506 * | 0.428 * | 0.006 | 0.306 * | −0.190 * | 0.485 * | 0.376 * |
| NP | 0.040 | 0.135 | −0.003 | 0.112 | 0.189 | 0.133 | −0.235 * | 0.176 | 0.003 | 0.111 | −0.074 | 0.130 | 0.059 |
| pH | −0.043 | −0.097 | −0.031 | −0.023 | −0.101 | 0.002 | 0.136 | −0.005 | −0.021 | −0.013 | 0.043 | −0.048 | −0.042 |
| SOC | 0.258 * | 0.417 * | 0.084 | 0.249 * | 0.471 * | 0.189 | −0.436 * | 0.280 * | 0.027 | 0.056 | −0.219 * | 0.316 * | 0.231 * |
| TN | 0.586 * | 0.489 * | −0.284 * | 0.654 * | 0.473 * | 0.528 * | −0.505 * | 0.381 * | −0.184 | 0.410 * | −0.234 * | 0.458 * | 0.425 * |
| TP | 0.244 * | 0.296 * | 0.110 | 0.158 | 0.297 * | 0.207 * | −0.274 * | 0.258 * | 0.051 | −0.008 | −0.134 | 0.295 * | 0.201 * |
| AP | 0.087 | −0.121 | −0.362 * | 0.101 | −0.182 | 0.130 | 0.140 | −0.048 | −0.127 | 0.199 * | 0.132 | −0.025 | −0.005 |
| TK | −0.189 | 0.052 | 0.386 * | −0.229 * | 0.147 | −0.185 | −0.082 | −0.014 | 0.126 | −0.236 | −0.048 | −0.071 | −0.070 |
| AK | 0.198 * | 0.370 * | 0.175 | 0.151 | 0.450 * | 0.086 | −0.402 * | 0.234 * | 0.071 | 0.083 | −0.226 * | 0.235 * | 0.227 * |
| MC | 0.414 * | 0.404 * | −0.258 * | 0.506 * | 0.440 * | 0.471 * | −0.473 * | 0.390 * | −0.170 | 0.290 * | −0.240 * | 0.391 * | 0.344 * |
Disclaimer/Publisher’s Note: The statements, opinions and data contained in all publications are solely those of the individual author(s) and contributor(s) and not of MDPI and/or the editor(s). MDPI and/or the editor(s) disclaim responsibility for any injury to people or property resulting from any ideas, methods, instructions or products referred to in the content. |
© 2024 by the authors. Licensee MDPI, Basel, Switzerland. This article is an open access article distributed under the terms and conditions of the Creative Commons Attribution (CC BY) license (https://creativecommons.org/licenses/by/4.0/).
Share and Cite
Zhu, J.; Li, H. Trade-Offs in Plant Functional Traits Driven by Soil Changes under Urban Hardened Surfaces. Forests 2024, 15, 1491. https://doi.org/10.3390/f15091491
Zhu J, Li H. Trade-Offs in Plant Functional Traits Driven by Soil Changes under Urban Hardened Surfaces. Forests. 2024; 15(9):1491. https://doi.org/10.3390/f15091491
Chicago/Turabian StyleZhu, Jiyou, and Hongyuan Li. 2024. "Trade-Offs in Plant Functional Traits Driven by Soil Changes under Urban Hardened Surfaces" Forests 15, no. 9: 1491. https://doi.org/10.3390/f15091491
APA StyleZhu, J., & Li, H. (2024). Trade-Offs in Plant Functional Traits Driven by Soil Changes under Urban Hardened Surfaces. Forests, 15(9), 1491. https://doi.org/10.3390/f15091491
