Multi-Dimensional Landscape Connectivity Index for Prioritizing Forest Cover Change Scenarios: A Case Study of Southeast China
Abstract
1. Introduction
2. Materials and Methods
2.1. Study Area
2.2. Data Sources and Pre-Processing
2.3. Methods
2.3.1. Dynamics Model of Land Use/Cover Changes
2.3.2. Design of Multi-Scenarios
2.3.3. Simulation of Land Use/Cover Changes
2.3.4. Selection and Calculation of Forest Landscape Connectivity Indices
2.3.5. Construction of a Multi-Dimensional Landscape Connectivity Index
3. Results
3.1. Analysis of Land Use/Cover Change from 2000 to 2030
3.2. Comparison of Forest Landscape Connectivity Indices at the Global Scale
3.3. Comparison of Forest Landscape Connectivity Indices at the Local Scale
4. Discussion
5. Conclusions
- (1)
- By 2030, the FC in all scenarios is projected to surpass 61.4%, with growth observed only in SSP1 (+268.519 km2) and SSP4 (+1793.725 km2), while reductions were evident in SSP2 (−220.938 km2), SSP3 (−219.558 km2), and SSP5 (−520.379 km2). Notably, forest in SSP1 is primarily converted from cropland (99.6%), with the transformation predominantly occurring in Longyan and the northwest of Zhangzhou, Putian, and Quanzhou. In SSP4, the main forest transfers involve cropland (63.6%) and grassland (36.0%). Additionally, the forest loss in SSP4 amounts to 332.807 km2, with over 99.9% converted to cropland.
- (2)
- At a global scale, SSP4 outperforms the other scenarios. From 2020 to 2030, SSP4 consistently achieves high MLCI values across all thresholds. Specifically, at the CONNECT 90 m threshold, SSP1 attains the highest MLCI value of 2.569, followed by SSP4 at 2.092. At the 300, 600, and 1200 m thresholds, SSP4 records the highest MLCI values of 2.207, 2.183, and 2.302, respectively.
- (3)
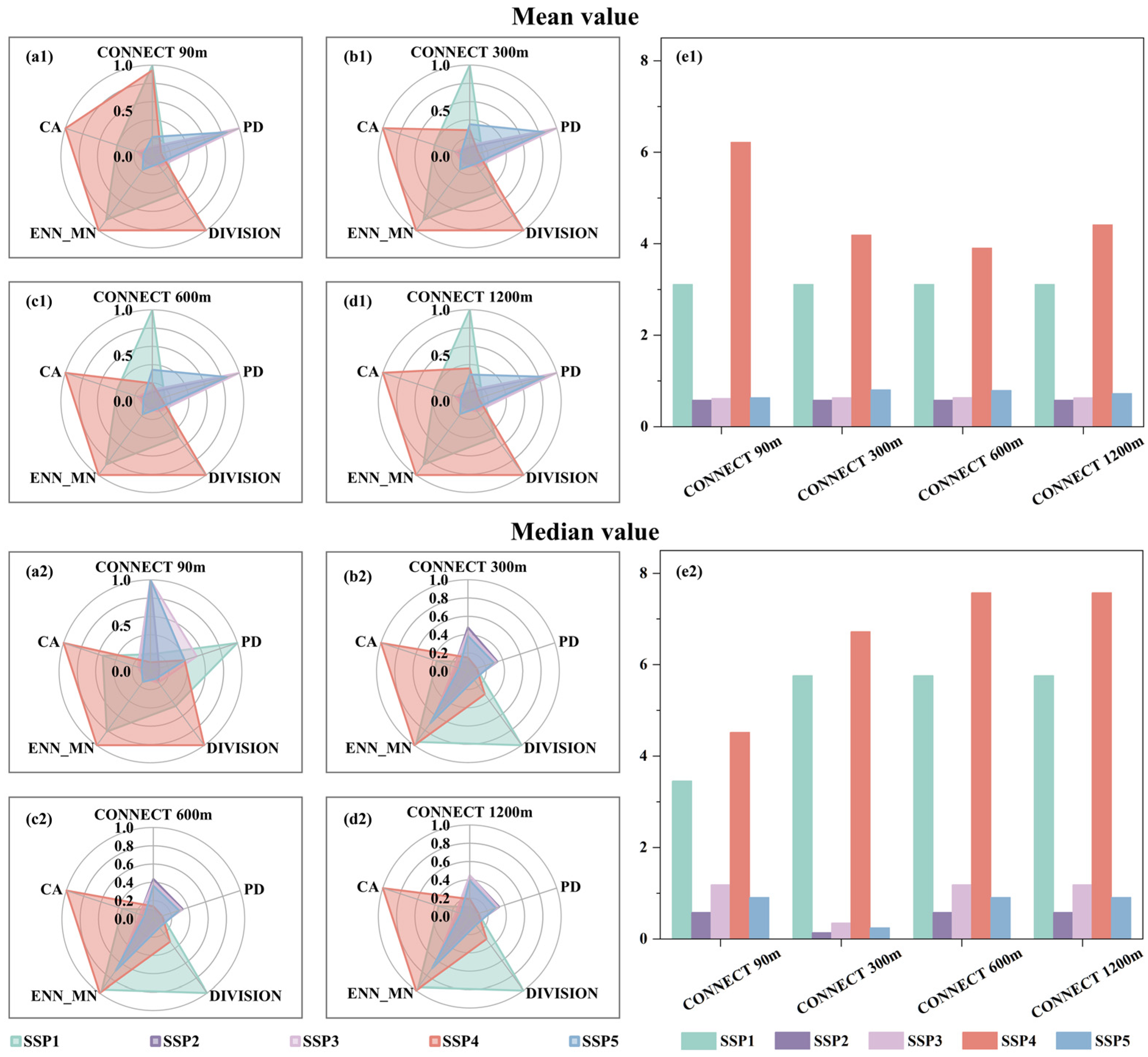
- At a local scale, SSP4 also demonstrates significant superiority. When assessing MLCI values based on the mean FLC indices, SSP4 (3.907–6.219) consistently achieves the highest values across all thresholds, followed by SSP1 (3.111), and the lowest is SSP2 (0.579). Similarly, when considering MLCI values derived from the median FLC indices, SSP4 (4.519–7.573) maintains the highest value, surpassing SSP1 (3.457–5.762) that follows it, and the lowest value of SSP3 (0.354–1.188).
Author Contributions
Funding
Data Availability Statement
Acknowledgments
Conflicts of Interest
References
- Liu, S.; Dai, M.; Wen, Y.; Wang, H. A review on forest ecosystem management towards ecosystem services: Status, challenges, and future perspectives. Acta Ecol. Sin. 2015, 35, 0001–0009. [Google Scholar]
- Houballah, M.; Cordonnier, T.; Mathias, J.D. Which infrastructures for which forest function? Analyzing multifunctionality through the social-ecological system framework. Ecol. Soc. 2020, 25, 22. [Google Scholar] [CrossRef]
- Li, Y.; Xiao, X.; Li, X.; Qin, Y.; Dong, J. Multi-scale assessments of forest fragmentation in China. Biodivers. Sci. 2017, 25, 372–381. (In Chinese) [Google Scholar] [CrossRef]
- Department of Forest Resources Management. The seventh national forest resources inventory and forest resources status. For. Resour. Manag. 2010, 1, 1–8. (In Chinese) [Google Scholar] [CrossRef]
- Cui, H.; Liu, M. Analysis on the results of the 9th national forest inventory. J. West China For. Sci. 2020, 49, 90–95. (In Chinese) [Google Scholar] [CrossRef]
- Zou, L.; Wang, J.; Bai, M. Assessing spatial–temporal heterogeneity of China’s landscape fragmentation in 1980–2020. Ecol. Indic. 2022, 136, 11. [Google Scholar] [CrossRef]
- Morán-Ordóñez, A.; Hermoso, V.; Martínez-Salinas, A. Multi-objective forest restoration planning in Costa Rica: Balancing landscape connectivity and ecosystem service provisioning with sustainable development. J. Environ. Manag. 2022, 310, 114717. [Google Scholar] [CrossRef]
- Wang, X.; Zhao, C.; Yang, R.; Jia, H. Dynamic characteristics of sandy vegetation landscape pattern based on dimidiate pixel model. Trans. Chin. Soc. Agric. Eng. 2016, 32, 285–294. [Google Scholar] [CrossRef]
- Deng, Z.; Quan, B.; Zhang, H.; Xie, H.; Zhou, Z. Scenario simulation of land use and cover under safeguarding ecological security: A case study of Chang-Zhu-Tan Metropolitan Area, China. Forests 2023, 14, 2131. [Google Scholar] [CrossRef]
- Cai, G.; Lin, Y.; Zhang, F.; Zhang, S.; Wen, L.; Li, B. Response of ecosystem service value to landscape pattern changes under low-carbon scenario: A case study of Fujian Coastal Areas. Land 2022, 11, 2333. [Google Scholar] [CrossRef]
- Hayes, J.J.; Robeson, S.M. Spatial variability of landscape pattern change following a ponderosa pine wildfire in northeastern New Mexico, USA. Phys. Geogr. 2009, 30, 410–429. [Google Scholar] [CrossRef]
- Zhang, W.; Yuan, Q.; Cai, H. Unravelling urban governance challenges: Objective assessment and expert insights on livability in Longgang District, Shenzhen. Ecol. Indic. 2023, 155, 110989. [Google Scholar] [CrossRef]
- Chen, J.; Chen, S.; Fu, R.; Wang, C.; Li, D.; Jiang, H.; Zhao, J.; Wang, L.; Peng, Y.; Mei, Y. Simulation of water hyacinth growth area based on multi-source geographic information data: An integrated method of WOE and AHP. Ecol. Indic. 2021, 125, 107574. [Google Scholar] [CrossRef]
- Yuan, Y.; Wang, M.; Zhu, Y.; Huang, X.; Xiong, X. Urbanization’s effects on the urban-rural income gap in China: A meta-regression analysis. Land Use Policy 2020, 99, 104995. [Google Scholar] [CrossRef]
- Cunha-Zeri, G.; Guidolini, J.F.; Branco, E.A.; Ometto, J.P. How sustainable is the nitrogen management in Brazil? A sustainability assessment using the Entropy Weight Method. J. Environ. Manag. 2022, 316, 115330. [Google Scholar] [CrossRef]
- Hu, X.; Xu, C.; Chen, J.; Lin, Y.; Lin, S.; Wu, Z.; Qiu, R. A synthetic landscape metric to evaluate urban vegetation quality: A case of Fuzhou City in China. Forests 2022, 13, 1002. [Google Scholar] [CrossRef]
- Liu, Y.; Xu, Y. Geographical identification and classification of multi-dimensional poverty in rural China. Acta Geogr. Sin. 2015, 70, 993–1007. [Google Scholar] [CrossRef]
- Su, F.; Xu, Z.; Shang, H. An Overview of Sustainable Livelihoods Approach. Adv. Earth Sci. 2009, 24, 61–69. [Google Scholar] [CrossRef]
- IPCC. Climate Change 2014: Impacts, Adaptation, and Vulnerability; Cambridge University Press: Cambridge, UK; New York, NY, USA, 2014. [Google Scholar]
- O’Neill, B.C.; Kriegler, E.; Ebi, K.L.; Kemp-Benedict, E.; Riahi, K.; Rothman, D.S.; van Ruijven, B.J.; van Vuuren, D.P.; Birkmann, J.; Kok, K.; et al. The roads ahead: Narratives for shared socioeconomic pathways describing world futures in the 21st century. Glob. Environ. Chang. 2017, 42, 169–180. [Google Scholar] [CrossRef]
- Chen, J.; Liu, Y.; Pan, T.; Liu, Y.; Sun, F.; Ge, Q. Population exposure to droughts in China under the 1.5 °C global warming target. Earth Syst. Dyn. 2018, 9, 1097–1106. [Google Scholar] [CrossRef]
- Li, M.; Zhou, B.; Gao, M.; Chen, Y.; Hao, M.; Hu, G.; Li, X. Spatiotemporal dynamics of global population and heat exposure (2020–2100): Based on improved SSP-consistent population projections. Environ. Res. Lett. 2022, 17, 094007. [Google Scholar] [CrossRef]
- Jing, C.; Su, B.; Chao, Q.; Zai, J.; Wang, Y.; Tao, H.; Jiang, T. Projection of urbanization and economy in the ‘Belt and Road’ countries based on the shared socioeconomic pathways. China Popul. Resour. Environ. 2019, 29, 21–31. [Google Scholar]
- Jiang, T.; Su, B.; Wang, Y.; Wang, G.; Luo, Y.; Zai, J.; Huang, J.; Gao, M.; Lin, Q.; Liu, S.; et al. Gridded datasets for population and economy under Shared Socioeconomic Pathways for 2020–2100. Clim. Chang. Res. 2022, 18, 381–383. [Google Scholar] [CrossRef]
- Tang, Q.; Yu, P.; Chen, Z.; Bai, S.; Chen, Y. Simulation of land use change based on shared socioeconomic pathways. Res. Soil Water Conserv. 2022, 29, 301–310. [Google Scholar] [CrossRef]
- Van Dessela, W.; Van Rompaeya, A.; Szilassib, P. Sensitivity analysis of logistic regression parameterization for land use and land cover probability estimation. Int. J. Geogr. Inf. Sci. 2011, 25, 489–508. [Google Scholar] [CrossRef]
- Wu, H.; Li, Z.; Clarke, K.C.; Shi, W.; Fang, L.; Lin, A.; Zhou, J. Examining the sensitivity of spatial scale in cellular automata Markov chain simulation of land use change. Int. J. Geogr. Inf. Sci. 2019, 33, 1040–1061. [Google Scholar] [CrossRef]
- Basse, R.M.; Omrani, H.; Charif, O.; Gerber, P.; Bódis, K. Land use changes modelling using advanced methods: Cellular automata and artificial neural networks. The spatial and explicit representation of land cover dynamics at the cross-border region scale. Appl. Geogr. 2014, 53, 160–171. [Google Scholar] [CrossRef]
- Li, X.; Chen, G.; Liu, X.; Liang, X.; Wang, S.; Chen, Y.; Pei, F.; Xu, X. A new global land-use and land-cover change product at a 1-km resolution for 2010 to 2100 based on human-environment interactions. Ann. Am. Assoc. Geogr. 2017, 107, 1040–1059. [Google Scholar] [CrossRef]
- Liang, X.; Guan, Q.; Keith, C.; Liu, S.; Wang, B.; Yao, Y. Understanding the drivers of sustainable land expansion using a patchgenerating land use simulation (PLUS) model: A case study in Wuhan, China. Comput. Environ. Urban Syst. 2021, 85, 101569. [Google Scholar] [CrossRef]
- Li, Y.; Xia, Z.; Zhang, L. Carbon emission prediction and spatial optimization of land use in Chengdu-Chongqing economic circle in 2030 based on SSPs multi-scenarios. Ecol. Environ. Sci. 2023, 32, 535–544. [Google Scholar] [CrossRef]
- Chen, Z.; Yu, P.; Chen, Y.; Jiang, S.; Bai, S.; Gu, S. Spatio-temporal changes of water resources ecosystem services in the Hanjiang River Basin based on the shared socioeconomic pathway. Chin. J. Eco-Agric. 2021, 29, 1800–1814. [Google Scholar] [CrossRef]
- Fujian Provincial Bureau of Statistics. Statistical Bulletin on National Economic and Social Development of Fujian Province; Fujian Provincial Bureau of Statistics: Fuzhou, China, 2021.
- Wang, B.; Liao, J.; Zhu, W.; Qiu, Q.; Wang, L.; Tang, L. The weight of neighborhood setting of the FLUS model based on a historical scenario: A case study of land use simulation of urban agglomeration of the Golden Triangle of Southern Fujian in 20. Acta Ecol. Sin. 2019, 39, 4284–4298. [Google Scholar]
- Kebaili Bargaoui, Z.; Chebbi, A. Comparison of two kriging interpolation methods applied to spatiotemporal rainfall. J. Hydrol. 2009, 365, 56–73. [Google Scholar] [CrossRef]
- Gao, J. Downscaling global spatial population projections from 1/8-degree to 1-km grid cells. In Enviromental Science, Geography; National Center for Atmospheric Research: Boulder, CO, USA, 2017. [Google Scholar] [CrossRef]
- Zhen, Y.; Wu, Z.; Yin, Z.; Yang, X.; Zhao, X. Study on spatio-temporal change of land use in Zoige County, Sichuan Province. Ecol. Sci. 2022, 41, 41–49. [Google Scholar] [CrossRef]
- Fu, J.; Cao, G.; Guo, W. Land use change and its driving force on the southern slope of Qilian Mountains from 1980 to 2018. Chin. J. Appl. Ecol. 2020, 31, 2699–2709. [Google Scholar] [CrossRef]
- Cui, X.; Guo, Y. Analysis on the spatio-temporal dynamic evolution of land use structure of western urban agglomerations in the past 40 years. J. Arid Land Resour. Environ. 2022, 36, 16–24. [Google Scholar] [CrossRef]
- Yao, Y.; Liu, X.; Li, X.; Liu, P.; Hong, Y.; Zhang, Y.; Mai, K. Simulating urban land-use changes at a large scale by integrating dynamic land parcel subdivision and vector-based cellular automata. Taylor Fr. 2017, 31, 2452–2479. [Google Scholar] [CrossRef]
- Congalton, R.G. A review of assessing the accuracy of classifications of remotely sensed data. Remote Sens. Environ. 1991, 37, 35–46. [Google Scholar] [CrossRef]
- Lin, J.; Li, X.; Li, S.; Wen, Y. What is the influence of landscape metric selection on the calibration of land-use/cover simulation models? Environ. Model. Softw. 2020, 129, 104719. [Google Scholar] [CrossRef]
- Liang, X.; Liu, X.; Li, D.; Zhao, H.; Chen, G. Urban growth simulation by incorporating planning policies into a CA-based future land-use simulation model. Int. J. Geogr. Inf. Sci. 2018, 32, 2294–2316. [Google Scholar] [CrossRef]
- Sun, J.; Zhang, Y.; Qin, W.; Chai, G. Estimation and Simulation of Forest Carbon Stock in Northeast China Forestry Based on Future Climate Change and LUCC. Remote Sens. 2022, 14, 3653. [Google Scholar] [CrossRef]
- Li, X.; Bu, R.; Chang, Y.; Hu, Y.; Wen, Q.; Wang, X.; Xu, C.; Li, Y.; He, H. The response of landscape metrics against pattern scenarios. Acta Ecol. Sin. 2004, 24, 123–134. [Google Scholar]
- Wu, J.; Shen, W.; Sun, W.; Tueller, P. Empirical patterns of the effects of changing scale on landscape metrics. Landsc. Ecol. 2002, 17, 761–782. [Google Scholar] [CrossRef]
- Wu, J. Landscape ecology: Concepts and theories. Chin. J. Ecol. 2000, 19, 42–52. [Google Scholar] [CrossRef]
- Hou, L.; Liu, T. Study on the landscape pattern of southwest transition zone from mountainous to hilly areas under the influence of multi-dimensional terrain factors: A case study of the middle and upper reaches of Fujiang River Basin. J. Ecol. Rural. Environ. 2020, 36, 741–751. [Google Scholar] [CrossRef]
- Zhang, L.; Deng, C.; Kang, R.; Yin, H.; Xu, T. Josef Kaufmann, H. Assessing the responses of ecosystem patterns, structures and functions to drought under climate change in the Yellow River Basin, China. Sci. Total Environ. 2024, 929, 172603. [Google Scholar] [CrossRef]
- Yang, H.; Zhao, X.; Wang, L. Review of data normalization methods. Comput. Eng. Appl. 2023, 59, 13–22. [Google Scholar] [CrossRef]
- Lu, M.; Zhang, Y.; Liang, F.; Wu, Y. Spatial relationship between land use patterns and ecosystem services value—Case study of Nanjing. Land 2022, 11, 1168. [Google Scholar] [CrossRef]
- Chen, Y.; Li, X.; Liu, X.; Ai, B. Modeling urban land-use dynamics in a fast developing city using the modified logistic cellular automaton with a patch-based simulation strategy. Int. J. Geogr. Inf. Sci. 2013, 28, 234–255. [Google Scholar] [CrossRef]
- Pontius, R.G.; Boersma, W.; Castella, J.-C.; Clarke, K.; de Nijs, T.; Dietzel, C.; Duan, Z.; Fotsing, E.; Goldstein, N.; Kok, K.; et al. Comparing the input, output, and validation maps for several models of land change. Ann. Reg. Sci. 2008, 42, 11–37. [Google Scholar] [CrossRef]












| Name | Resolution | Year | Sources |
|---|---|---|---|
| Land use/cover (LUC) | 30 m | 2000–2020 | RESDC (https://www.resdc.cn, accessed on 9 July 2023) |
| Digital elevation model (DEM) | 30 m | — | Geospatial data cloud (http://www.gscloud.cn, accessed on 9 July 2023) |
| Precipitation | 1 km | 2020 | National Earth system science data center (http://www.geodata.cn, accessed on 12 July 2023) |
| Temperature | |||
| Population | 1 km | 2019 | Resource environmental science data registry and publishing system (http://www.resdc.cn/DOI, accessed on 13 July 2023) |
| Population and gross domestic product (GDP) | |||
| Shared socio-economic pathways (SSPs) database | 0.5° | NUIST disaster risk research team of Prof. Jiang T., graduate school of management (https://www.scidb.cn/en/detail?dataSetId=73c1ddbd79e54638bd0ca2a6bd48e3ff, accessed on 15 July 2023) |
| Scenarios | Conditions |
|---|---|
| SSP1 | Green and sustainable developments and strict regulation of LUCC. |
| SSP2 | Continuing current social development and moderately regulating LUCC. |
| SSP3 | Continuous regional competition and limited regulatory efforts for LUCC. |
| SSP4 | Uneven development in different regions, well-regulated efforts for LUCC in middle-income and high-income countries, and poor development in low-income countries. |
| SSP5 | Development relying mainly on fossil fuels and moderate supervision of LUCC. |
| Cropland | Forest | Grassland | Water Area | Built-Up Land | Unused Land | |
|---|---|---|---|---|---|---|
| SSP1 | ||||||
| Cropland | 1 | 1 | 1 | 0 | 1 | 1 |
| Forest | 0 | 1 | 0 | 0 | 0 | 1 |
| Grassland | 0 | 1 | 1 | 0 | 0 | 1 |
| Water area | 0 | 0 | 0 | 1 | 1 | 1 |
| Built-up land | 1 | 1 | 1 | 0 | 1 | 1 |
| Unused land | 1 | 1 | 1 | 1 | 1 | 1 |
| SSP2 | ||||||
| Cropland | 1 | 0 | 0 | 0 | 1 | 1 |
| Forest | 0 | 1 | 0 | 0 | 1 | 1 |
| Grassland | 0 | 0 | 1 | 0 | 1 | 1 |
| Water area | 0 | 0 | 0 | 1 | 1 | 1 |
| Built-up land | 0 | 0 | 0 | 0 | 1 | 1 |
| Unused land | 1 | 1 | 1 | 1 | 1 | 1 |
| SSP3 | ||||||
| Cropland | 1 | 0 | 0 | 0 | 1 | 1 |
| Forest | 1 | 1 | 1 | 0 | 1 | 1 |
| Grassland | 1 | 0 | 1 | 0 | 1 | 1 |
| Water area | 0 | 0 | 0 | 1 | 0 | 1 |
| Built-up land | 1 | 0 | 0 | 0 | 1 | 1 |
| Unused land | 1 | 1 | 1 | 1 | 1 | 1 |
| SSP4 | ||||||
| Cropland | 1 | 1 | 1 | 0 | 1 | 1 |
| Forest | 0 | 1 | 1 | 0 | 0 | 1 |
| Grassland | 0 | 1 | 1 | 0 | 0 | 1 |
| Water area | 0 | 0 | 0 | 1 | 0 | 1 |
| Built-up land | 0 | 0 | 0 | 0 | 1 | 1 |
| Unused land | 1 | 1 | 1 | 1 | 1 | 1 |
| SSP5 | ||||||
| Cropland | 1 | 1 | 0 | 0 | 0 | 1 |
| Forest | 1 | 1 | 1 | 0 | 1 | 1 |
| Grassland | 1 | 0 | 1 | 0 | 1 | 1 |
| Water area | 0 | 0 | 0 | 1 | 0 | 1 |
| Built-up land | 1 | 0 | 0 | 0 | 1 | 1 |
| Unused land | 1 | 1 | 1 | 0 | 1 | 1 |
| Indices | Formulas | Description |
|---|---|---|
| Class area (CA) | CA represents the area of the patch type, measured in hectares (hm2), and is calculated by dividing the sum of patch type areas (m2) by 10,000. aij denotes the area of patch ij (m2). | |
| Patch density (PD) | PD refers to the patch density, indicating the number of patches per 100 hectares. The higher the PD value, the higher the forest landscape fragmentation. ni signifies the value of patch i. A represents the total area of the landscape (m2). | |
| Landscape division index (DIVISION) | DIVISION represents the extent of dispersion of similar patches, serving as a metric to quantify the level of landscape fragmentation. A higher DIVISION value indicates greater landscape segregation. Value range: [0,1). | |
| Mean nearest-neighbor index (ENN_MN) | ENN_MN denotes the distance (m) between similar patches, judging if they are structurally connected. A larger value represents a larger distance between patches. hij is the nearest proximity of the patch, ij, to the same class patch. | |
| Connectance index (CONNECT) | CONNECT represents the number of nodes between specific patch classes divided by the number of potential nodes. The higher the patch connectivity, the greater the CONNECT value. Cijk denotes the connection between patches j and k linked to i within a critical distance. |
Disclaimer/Publisher’s Note: The statements, opinions and data contained in all publications are solely those of the individual author(s) and contributor(s) and not of MDPI and/or the editor(s). MDPI and/or the editor(s) disclaim responsibility for any injury to people or property resulting from any ideas, methods, instructions or products referred to in the content. |
© 2024 by the authors. Licensee MDPI, Basel, Switzerland. This article is an open access article distributed under the terms and conditions of the Creative Commons Attribution (CC BY) license (https://creativecommons.org/licenses/by/4.0/).
Share and Cite
He, Z.; Lin, Z.; Xu, Q.; Ding, S.; Bao, X.; Li, X.; Hu, X.; Li, J. Multi-Dimensional Landscape Connectivity Index for Prioritizing Forest Cover Change Scenarios: A Case Study of Southeast China. Forests 2024, 15, 1490. https://doi.org/10.3390/f15091490
He Z, Lin Z, Xu Q, Ding S, Bao X, Li X, Hu X, Li J. Multi-Dimensional Landscape Connectivity Index for Prioritizing Forest Cover Change Scenarios: A Case Study of Southeast China. Forests. 2024; 15(9):1490. https://doi.org/10.3390/f15091490
Chicago/Turabian StyleHe, Zhu, Zhihui Lin, Qianle Xu, Shanshan Ding, Xiaochun Bao, Xuefei Li, Xisheng Hu, and Jian Li. 2024. "Multi-Dimensional Landscape Connectivity Index for Prioritizing Forest Cover Change Scenarios: A Case Study of Southeast China" Forests 15, no. 9: 1490. https://doi.org/10.3390/f15091490
APA StyleHe, Z., Lin, Z., Xu, Q., Ding, S., Bao, X., Li, X., Hu, X., & Li, J. (2024). Multi-Dimensional Landscape Connectivity Index for Prioritizing Forest Cover Change Scenarios: A Case Study of Southeast China. Forests, 15(9), 1490. https://doi.org/10.3390/f15091490

