Functional Diversity of Soil Microorganisms in Taiga Forests in the Middle and Late Stages of Restoration after Forest Fires
Abstract
1. Introduction
2. Materials and Methods
2.1. Study Area
2.2. Sample Plot and Sample Collection
2.3. Determination of Soil Physical and Chemical Properties
2.4. Determination of Functional Diversity of Soil Microbial Communities
2.5. Data Analysis
3. Results
3.1. Differences in Physicochemical Properties of Soils in Fire Burn Sites
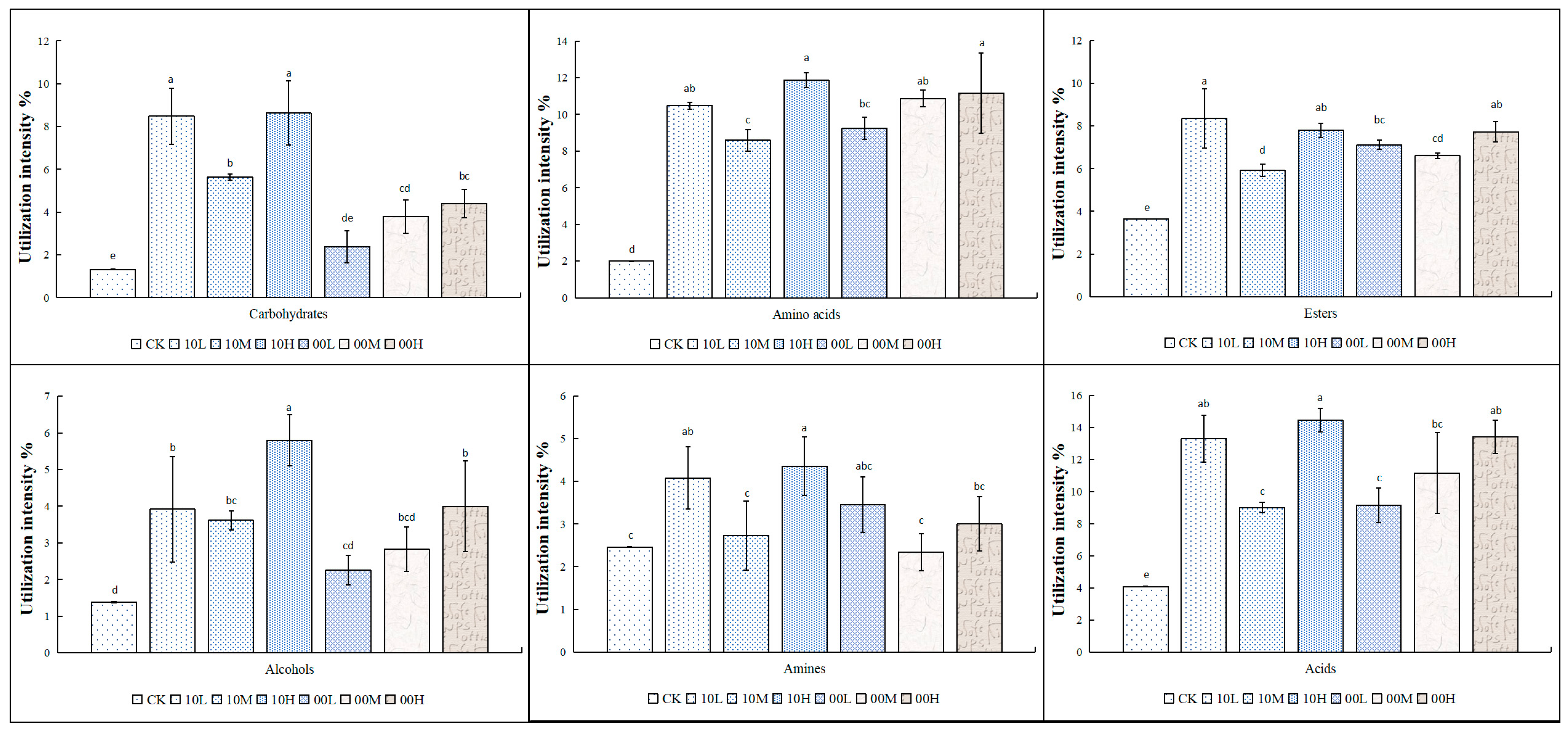
3.2. Characterization of Carbon Source Utilization by Soil Microbial Communities in Fire Burn Sites
3.3. Diversity of Microbial Metabolism in Soils of Fire-Burned Sites
3.4. Principal Coordinate Analysis of Soil Microbial Communities
3.5. Relationship between Soil Microbial Carbon Source Utilization Activity and Soil Physicochemical Properties
4. Discussion
4.1. Effect of Fire on the Carbon Source Utilization Capacity of Soil Microorganisms
4.2. Effect of Fire on the Functional Diversity of Soil Microorganisms
5. Conclusions
- (1)
- Significant differences in soil physicochemical properties were identified in fire burn sites of cold-temperate Larix gmelinii forests during the middle and late stages of restoration.
- (2)
- Fire significantly increased the carbon source utilization capacity of soil microorganisms.
- (3)
- Fire increased the Shannon index and decreased the Simpson and McIntosh diversity indices of soil microorganisms.
- (4)
- Soil MC, TN, and AK were the main factors influencing the functional diversity of soil microbial communities in middle- and late-stage cold-temperate Larix gmelinii forest fire burn sites.
Author Contributions
Funding
Data Availability Statement
Conflicts of Interest
References
- Ma, W.; Feng, Z.; Cheng, Z.; Chen, S.; Wang, F. Identifying Forest Fire Driving Factors and Related Impacts in China Using Random Forest Algorithm. Forests 2020, 11, 507. [Google Scholar] [CrossRef]
- Wasserman, T.N.; Mueller, S.E. Climate influences on future fire severity: A synthesis of climate-fire interactions and impacts on fire regimes, high-severity fire, and forests in the western United States. Fire Ecol. 2023, 19, 43. [Google Scholar] [CrossRef]
- Fernández-González, A.J.; Martínez-Hidalgo, P.; Cobo-Díaz, J.F.; Villadas, P.J.; Martínez-Molina, E.; Toro, N.; Tringe, S.G.; Fernández-López, M. The rhizosphere microbiome of burned holm-oak: Potential role of the genus Arthrobacter in the recovery of burned soils. Sci. Rep. 2017, 7, 6008. [Google Scholar] [CrossRef]
- Cheng, Z.; Wu, S.; Wei, D.; Pan, H.; Fu, X.; Lu, X.; Yang, L. Current Status of Research on Wildland Fire Impacts on Soil Environment and Soil Organisms and Hotspots Visualization Analysis. Fire 2024, 7, 163. [Google Scholar] [CrossRef]
- Cheng, Z.; Wu, S.; Du, J.; Pan, H.; Lu, X.; Liu, Y.; Yang, L. Variations in the Diversity and Biomass of Soil Bacteria and Fungi under Different Fire Disturbances in the Taiga Forests of Northeastern China. Forests 2023, 14, 2063. [Google Scholar] [CrossRef]
- Mao, H.R.; Li, G.L.; Leng, K.; Sun, L.Y.; Liu, K.L.; Lin, Y.X.; Liu, J.; Xiang, X.J. Effects of core soil microbial taxa on soil carbon source utilization under different long-term fertilization treatments in Ultisol. Soil Ecol. Lett. 2024, 6, 240241. [Google Scholar] [CrossRef]
- Zhu, M.Y.; Liu, Z.D.; Song, Y.Y.; Wang, X.W.; Yuan, J.B.; Li, M.T.; Lou, Y.J.; Gao, Z.L.; Song, C.C. Soil microbial functional diversity is primarily affected by soil nitrogen, salinity and alkalinity in wetland ecosystem. Appl. Soil Ecol. 2024, 199, 105407. [Google Scholar] [CrossRef]
- Lopez, A.M.; Avila, C.C.E.; Vanderroest, J.P.; Roth, H.K.; Fendorf, S.; Borch, T. Molecular insights and impacts of wildfire-induced soil chemical changes. Nat. Rev. Earth Environ. 2024, 5, 431–446. [Google Scholar] [CrossRef]
- Fox, S.; Taylor, M.K.; Callaham, M., Jr.; Jumpponen, A. Fire-excluded and frequently burned longleaf pine forests have contrasting soil microbial communities. For. Ecol. Manag. 2023, 551, 121519. [Google Scholar] [CrossRef]
- Greenwood, L.; Nimmo, D.G.; Egidi, E.; Price, J.N.; McIntosh, R.; Frew, A. Fire shapes fungal guild diversity and composition through direct and indirect pathways. Mol. Ecol. 2023, 32, 4921–4939. [Google Scholar] [CrossRef]
- Zheng, Q.; Cui, X.Y.; Di, X.Y.; Jin, S. Effects of Different Forest Fire Intensities on Microbial Community Functional Diversity in Forest Soil in Daxing’anling. Sci. Silvae Sin. 2012, 5, 95–100. [Google Scholar] [CrossRef]
- Velasco, A.G.V.; Probanza, A.; Mañero, F.J.G.; Treviño, A.C.; Moreno, J.M.; Garcia, J.A.L. Effect of fire and retardant on soil microbial activity and functional diversity in a Mediterranean pasture. Geoderma 2009, 153, 186–193. [Google Scholar] [CrossRef]
- Li, M.L.; Song, Z.P.; Liu, Y.H.; Wang, H.L. Effects of fire intensity on leaf functional traits and functional diversity of Larix gmelinii community. Chin. J. Appl. Ecol. 2019, 30, 4021–4030. [Google Scholar] [CrossRef]
- Xu, Y.H. Influences of Wildfire on Soil Microbial Community in a Shrubby Ecosystem. Master’s Thesis, Shihezi University, Shihezi, China, 2010. [Google Scholar]
- Zhong, C.; Guo, M.; Zhou, F.F.; Li, J.N.; Yu, F.B.; Guo, F.T.; Li, W.S. Forest succession trajectories after fires in valleys and on slopes in the Greater Khingan Mountains, China. J. For. Res. 2023, 34, 623–640. [Google Scholar] [CrossRef]
- Wang, Y.L.; Zhao, Y.L.; Xu, Y.; Ma, J.J.; Babalola, B.J.; Fan, Y.J. Ectomycorrhizal fungal communities associated with Larix gemelinii Rupr. in the Great Khingan Mountains, China. PeerJ 2021, 9, e11230. [Google Scholar] [CrossRef] [PubMed]
- Yang, X.Y.; Wang, B.; Zhang, P.J. Estimation of Leaf Nitrogen of Betula platyphylla in Burned Area of Daxing’anling, Inner Mongolia. For. Grassl. Resour. Res. 2021, 6, 90–96. [Google Scholar] [CrossRef]
- Ning, J.B.; Weng, Y.T.; Di, X.Y.; Yang, G. Rapid Determination Method for Swamp Meadow Surface Fuel Loads of Daxing’an Mountains. J. Northeast. For. Univ. 2018, 46, 44–48. [Google Scholar] [CrossRef]
- Cao, J.; Liang, D.Z.; Zhao, Y.S.; Xin, Y. Methane Flux and Affecting Factors in the Process of Vegetation Restoration in Burned Area of Great Xing’an Mountains. J. Northwest For. Univ. 2021, 36, 173–178. [Google Scholar] [CrossRef]
- Han, Z.M.; Xin, Y.; Zhao, Y.S. Soil Phosphate-dissolving Microorganisms in the Process of Vegetation Restoration in Burned Area of Daxing’an Mountains. J. Northeast. For. Univ. 2020, 48, 55–60+71. [Google Scholar] [CrossRef]
- Wang, Z.C.; Li, Y.X.; Meng, Y.B.; Wang, C. Responses of spatial distribution patterns and associations of Larix gmelinii and Populus davidiana mixed forests in Daxing’an mountains to different tending thinning intensities. J. Cent. South Univ. For. Technol. 2022, 42, 75–83+107. [Google Scholar] [CrossRef]
- Yang, L.B.; Jiang, Y.B.; Zhou, T.; Cui, F.X.; Zhu, D.G.; Xu, F. Efects of litter fall on soil fungal diversity under snow cover in the Greater Xing’an Mountains. Res. Environ. Sci. 2022, 35, 1037–1044. [Google Scholar] [CrossRef]
- Jiang, Y.B.; Yang, L.B.; Wu, S.; Zhou, T. Warming changes the composition and diversity of fungal communities in permafrost. Ann. Microbiol. 2023, 73, 7. [Google Scholar] [CrossRef]
- Yue, X.; Dun, X.J.; Cui, D.J.; Guo, X.D.; Song, X.Y.; Liu, L.; Wang, L.L.; Jiang, C.; Xu, J.W.; Li, S.M. Effects of Different Fire Intensities on Forest Soil Nutrients. Shandong Agric. Sci. 2018, 50, 72–76. [Google Scholar] [CrossRef]
- Kim, H.M.; Jung, J.Y.; Yergeau, E.; Hwang, C.Y.; Hinzman, L.; Nam, S.; Hong, S.G.; Kim, O.S.; Chun, J.; Lee, Y.K. Bacterial community structure and soil properties of a subarctic tundra soil in Council, Alaska. FEMS Microbiol. Ecol. 2014, 89, 465–475. [Google Scholar] [CrossRef] [PubMed]
- Wear, E.K.; Wilbanks, E.G.; Nelson, C.E.; Carlson, C.A. Primer selection impacts specific population abundances but not community dynamics in a monthly time-series 16S rRNA gene amplicon analysis of coastal marine bacterioplankton. Environ. Microbiol. 2018, 20, 2709–2726. [Google Scholar] [CrossRef]
- Ade, L.J.; Hu, L.; Zi, H.B.; Wang, C.T.; Lerdau, M.; Dong, S.K. Efect of snowpack on the soil bacteria of alpine meadows in the Qinghai-Tibetan Plateau of China. Catena 2018, 164, 13–22. [Google Scholar] [CrossRef]
- Hu, W.G.; Zhang, Q.; Li, D.Y.; Cheng, G.; Mu, J.; Wu, Q.B.; Niu, F.; An, L.Z.; Feng, H.Y. Diversity and community structure of fungi through a permafrost core profle from the Qinghai-Tibet Plateau of China. J. Basic Microbiol. 2015, 54, 1331–1341. [Google Scholar] [CrossRef]
- Ge, Z.W.; Du, H.J.; Gao, Y.L.; Qiu, W.F. Analysis on Metabolic Functions of Stored Rice Microbial Communities by BIOLOG ECO Microplates. Front. Microbiol. 2018, 9, 1375. [Google Scholar] [CrossRef]
- Jiang, L.L.; Han, G.M.; Lan, Y.; Liu, S.N.; Gao, J.P.; Yang, X.; Meng, J.; Chen, W.F. Corn cob biochar increases soil culturable bacterial abundance without enhancing their capacities in utilizing carbon sources in Biolog Eco-plates. J. Integr. Agric. 2017, 16, 713–724. [Google Scholar] [CrossRef]
- Weng, X.H.; Li, J.Y.; Sui, X.; Li, M.S.; Yin, W.P.; Ma, W.C.; Yang, L.B.; Mu, L.Q. Soil microbial functional diversity responses to different vegetation types in the Heilongjiang Zhongyangzhan Black-billed Capercaillie Nature Reserve. Ann. Microbiol. 2021, 71, 26. [Google Scholar] [CrossRef]
- Jin, Z.; Lei, J.; Li, S.; Xu, X. Metabolic characteristics of microbial communities of Aeolian sandy soils induced by saline water drip irrigation in shelter forests. Eur. J. Soil Sci. 2015, 66, 476–484. [Google Scholar] [CrossRef]
- Li, D.L.; Chen, J.W.; Zhang, H.; Li, J.J. Effects of Pb and Cd on forest soil bacterial functional diversity and community structure. Acta Ecol. Sin. 2021, 41, 8472–8483. [Google Scholar] [CrossRef]
- Jin, Z.; Ji, F.Y.; Xu, X.; Xu, X.Y.; Chen, Q.K.; Li, Q. Microbial and metabolic characterization of a denitrifying phosphorus-uptake/side stream phosphorus removal system for treating domestic sewage. Biodegradation 2014, 25, 777–786. [Google Scholar] [CrossRef] [PubMed]
- Feng, Y.H.; Xu, T.L.; Wang, W.; Sun, S.M.; Zhang, M.M.; Song, F.Q. Nitrogen addition changed soil fungal community structure and increased the biomass of functional fungi in Korean pine plantations in temperate northeast China. Sci. Total Environ. 2024, 927, 172349. [Google Scholar] [CrossRef] [PubMed]
- Wu, J.P.; Guo, F.L.; Jiao, Z.B.; Zhou, J.; Qiu, Z.M. The effect of monoculture and rotation planting on soil bacterial community structure at different elevation in Hubei. Soil Use Manag. 2021, 37, 667–676. [Google Scholar] [CrossRef]
- Fazekasová, D.; Fazekas, J. Functional diversity of soil microorganisms in the conditions of an ecological farming system. Folia Oecologica 2019, 46, 146–152. [Google Scholar] [CrossRef]
- Jones, D.L.; Hill, P.W.; Smith, A.R.; Farrell, M.; Ge, T.; Banning, N.C.; Murphy, D.V. Role of substrate supply on microbial carbon use efficiency and its role in interpreting soil microbial community-level physiological profiles (CLPP). Soil Biol. Biochem. 2018, 123, 1–6. [Google Scholar] [CrossRef]
- Sun, M.M.; Luo, Y.M.; Christie, P.; Jia, Z.J.; Li, Z.G.; Teng, Y. Methyl-β-cyclodextrin enhanced biodegradation of polycyclic aromatic hydrocarbons and associated microbial activity in contaminated soil. J. Environ. Sci. 2012, 24, 926–933. [Google Scholar] [CrossRef]
- Zheng, W.N.; Fan, X.P.; Chen, H.; Ye, M.J.; Yin, C.; Wu, C.Y.; Liang, Y.C. The response patterns of r- and K-strategist bacteria to long-term organic and inorganic fertilization regimes within the microbial food web are closely linked to rice production. Sci. Total Environ. 2024, 942, 173681. [Google Scholar] [CrossRef]
- Furuta, K.; Byrne, J.; Luat, K.; Cheung, C.; Carter, D.O.; Tipton, L.; Uptmor, K.A.P. Volatile organic compounds produced during postmortem processes can be linked via chromatographic profiles to individual postmortem bacterial species. J. Chromatogr. A 2024, 1728, 465017. [Google Scholar] [CrossRef]
- Liu, M.; Wang, C.T.; Zi, H.B.; Hu, L.; Yang, X.Z.; Yang, Y.F. Effects of fire disturbance on the functional diversity of soil microbial Effects of fi re disturbance on the functional diversity of soil microbial community in alpine meadows community in alpine meadows. Chin. J. Appl. Environ. Biol. 2016, 22, 263–270. [Google Scholar] [CrossRef]
- Sun, H.R.; Liu, J.Y.; Wu, J.H.; Hu, H.Y.; Chen, Q.B.; Fang, H.Y.; Tao, K. Effects of alpine grassland degradation on soil microbial community structure and metabolic activity in the Qinghai-Tibet Plateau. Appl. Soil Ecol. 2024, 200, 105458. [Google Scholar] [CrossRef]
- Frossard, A.; De Maeyer, L.; Adamczyk, M.; Svenning, M.; Verleyen, E.; Frey, B. Microbial carbon use and associated changes in microbial community structure in high-Arctic tundra soils under elevated temperature. Soil Biol. Biochem. 2021, 162, 108419. [Google Scholar] [CrossRef]
- Ji, L.; Yang, Y.C.; Yang, L.X. Seasonal variations in soil fungal communities and co-occurrence networks along an altitudinal gradient in the cold temperate zone of China: A case study on Oakley Mountain. Catena 2021, 204, 105448. [Google Scholar] [CrossRef]
- Brown, A.L.; Koo, E.; Reisner, J. Estimating stratospheric carbon from fires during a regional nuclear exchange. Fire Saf. J. 2023, 141, 103877. [Google Scholar] [CrossRef]
- Castrillo, G.; Teixeira, P.J.P.L.; Paredes, S.H.; Law, T.F.; de Lorenzo, L.; Feltcher, M.E.; Finkel, O.M.; Breakfield, N.W.; Mieczkowski, P.; Jones, C.D.; et al. Root microbiota drive direct integration of phosphate stress and immunity. Nature 2017, 543, 513–518. [Google Scholar] [CrossRef] [PubMed]
- Negri, S.; Giannetta, B.; Till, J.; de Souza, D.O.; Said-Pullicino, D.; Bonifacio, E. Fire simulation effects on the transformation of iron minerals in alpine soils. Geoderma 2024, 444, 116858. [Google Scholar] [CrossRef]
- De Baets, S.; van de Weg, M.J.; Lewis, R.; Steinberg, N.; Meersmans, J.; Quine, T.A.; Shaver, G.R.; Hartley, I.P. Investigating the controls on soil organic matter decomposition in tussock tundra soil and permafrost after fire. Soil Biol. Biochem. 2016, 99, 108–116. [Google Scholar] [CrossRef]
- Huang, X.L.; Tang, Z.Y.; Liu, J.M.; Tong, B.L. Rhizosphere microbial community structure and its correlation with soil nutrients in Cinnamomum migao. J. Northeast For. Univ. 2023, 51, 92–97+105. [Google Scholar] [CrossRef]
- Yang, G.S.; Song, C.C.; Guo, Y.D.; Lu, Y.Z.; Song, Y.Y. Influence of fire on soil microbial activity of restoration marsh. J. Soil Water Conserv. 2010, 06, 218–221. [Google Scholar] [CrossRef]
- Li, B.Y. Effects of Different Fire Intensities on Soil Organic Carbon and Soil Nutrients in Pinus Tabulaeformis Forests in Northern China. Master’s Thesis, Beijing Forestry University, Beijing, China, 2018. [Google Scholar]
- Escalas, A.; Hale, L.; Voordeckers, J.W.; Yang, Y.F.; Firestone, M.K.; Alvarez-Cohen, L.; Zhou, J.Z. Microbial functional diversity: From concepts to applications. Ecol. Evol. 2019, 9, 12000–12016. [Google Scholar] [CrossRef] [PubMed]
- Bae, H.; Choung, S.; Oh, J.; Jeong, J. Groundwater and Soil Pollution Caused by Forest Fires, and Its Effects on the Distribution and Transport of Radionuclides in Subsurface Environments: Review. Econ. Environ. Geol. 2023, 56, 501–514. [Google Scholar] [CrossRef]
- Ascoli, D.; Hacket-Pain, A.; LaMontagne, J.M.; Cardil, A.; Conedera, M.; Maringer, J.; Motta, R.; Pearse, I.S.; Vacchiano, G. Climate teleconnections synchronize Picea glauca masting and fire disturbance: Evidence for a fire-related form of environmental prediction. J. Ecol. 2020, 108, 1186–1198. [Google Scholar] [CrossRef]
- Tran, D.V.; Tominaga, A.; Pham, L.T.; Nishikawa, K. Ecological niche modeling shed light on new insights of the speciation processes and historical distribution of Japanese fire-bellied newt Cynops pyrrhogaster (Amphibia: Urodela). Ecol. Inform. 2024, 79, 102443. [Google Scholar] [CrossRef]
- Ding, K.; Zhang, Y.T.; Zhang, J.H.; Chai, X.; Zhou, S.S.; Tong, Z.K. Effects of Chinese fir plantations with different densities on understory vegetation and soil microbial community structure. Chin. J. Plant Ecol. 2021, 45, 62–73. [Google Scholar] [CrossRef]
- Song, M.Y.; Li, Z.P.; Liu, M.; Liu, M.Q.; Jiang, C.Y. Effeets of mixture of forest litter on nutrient contents and functional diversity of microbial community in soil. Chin. J. Ecol. 2014, 33, 2454–2461. [Google Scholar] [CrossRef]
- Su, S.F.; Wang, X.Y.; Lin, Z.P.; Jin, Y.H.; Xue, Y. The characteristics of soil microbial functional diversity of six types of vegetation in tropical regions. J. Yunnan Agric. Univ. Nat. Sci. 2022, 37, 505–514. [Google Scholar] [CrossRef]
- Li, Y.N.; Qian, Z.Y.; Li, D.J. Effects of tree diversity on soil microbial community in a subtropical forest in Southwest China. Eur. J. Soil Biol. 2023, 116, 103490. [Google Scholar] [CrossRef]
- Xiao, T.; Li, P.; Fei, W.B.; Wang, J.D. Effects of vegetation roots on the structure and hydraulic properties of soils: A perspective review. Sci. Total Environ. 2023, 906, 167524. [Google Scholar] [CrossRef]









| Fire Intensity | Flame Height | Victimization of Standing Timber | Severity |
|---|---|---|---|
| Low fire (L) | ≤1.5 m | ≤30% | Burned bark and stems, tree with green leaf cover |
| Moderate fire (M) | 1.5–3 m | 30%–70% | Charred stems, trees still have green leaf cover |
| High fire (H) | ≥3 m | ≥70% | Burned canopy, no green leaf cover |
| Factors | CK | 10L | 10M | 10H | 00L | 00M | 00H |
|---|---|---|---|---|---|---|---|
| MC | 0.26 ± 0.0 c | 0.15 ± 0.0 e | 0.53 ± 0.02 a | 0.34 ± 0.0 b | 0.17 ± 0.0 d | 0.25 ± 0.0 c | 0.16 ± 0.0 de |
| pH | 3.93 ± 0.06 f | 5.01 ± 0.02 c | 5.38 ± 0.05 a | 4.39 ± 0.06 d | 5.21 ± 0.08 b | 4.02 ± 0.01 e | 5.41 ± 0.02 a |
| SOC | 11.89 ± 0.41 f | 8.01 ± 0.31 g | 88.30 ± 0.62 b | 108.61 ± 1.5 a | 78.56 ± 1.45 c | 52.20 ± 0.72 d | 48.14 ± 0.29 e |
| TN | 1.65 ± 0.03 f | 1.62 ± 0.01 f | 7.27 ± 0.2 b | 7.71 ± 0.18 a | 3.97 ± 0.02 d | 4.49 ± 0.09 c | 3.22 ± 0.00 e |
| AN | 50.92 ± 0.88 e | 60.26 ± 2.39 d | 181.75 ± 3.24 a | 140.84 ± 3.82 b | 104.87 ± 2.99 c | 143.33 ± 3.23 b | 103.68 ± 2.22 c |
| AK | 173.72 ± 2.01 f | 253.6 ± 3.98 e | 281.96 ± 4.60 c | 488.10 ± 4.78 a | 268.07 ± 2.36 d | 278.71 ± 1.08 c | 444.40 ± 0.66 b |
| Factors | r2 | p |
|---|---|---|
| MC | 0.3859 | 0.019 * |
| pH | 0.1873 | 0.156 |
| SOC | 0.2713 | 0.057 |
| TN | 0.3479 | 0.021 * |
| AN | 0.152 | 0.236 |
| AK | 0.5518 | 0.002 ** |
Disclaimer/Publisher’s Note: The statements, opinions and data contained in all publications are solely those of the individual author(s) and contributor(s) and not of MDPI and/or the editor(s). MDPI and/or the editor(s) disclaim responsibility for any injury to people or property resulting from any ideas, methods, instructions or products referred to in the content. |
© 2024 by the authors. Licensee MDPI, Basel, Switzerland. This article is an open access article distributed under the terms and conditions of the Creative Commons Attribution (CC BY) license (https://creativecommons.org/licenses/by/4.0/).
Share and Cite
Cheng, Z.; Gao, M.; Pan, H.; Fu, X.; Wei, D.; Lu, X.; Wu, S.; Yang, L. Functional Diversity of Soil Microorganisms in Taiga Forests in the Middle and Late Stages of Restoration after Forest Fires. Forests 2024, 15, 1220. https://doi.org/10.3390/f15071220
Cheng Z, Gao M, Pan H, Fu X, Wei D, Lu X, Wu S, Yang L. Functional Diversity of Soil Microorganisms in Taiga Forests in the Middle and Late Stages of Restoration after Forest Fires. Forests. 2024; 15(7):1220. https://doi.org/10.3390/f15071220
Chicago/Turabian StyleCheng, Zhichao, Mingliang Gao, Hong Pan, Xiaoyu Fu, Dan Wei, Xinming Lu, Song Wu, and Libin Yang. 2024. "Functional Diversity of Soil Microorganisms in Taiga Forests in the Middle and Late Stages of Restoration after Forest Fires" Forests 15, no. 7: 1220. https://doi.org/10.3390/f15071220
APA StyleCheng, Z., Gao, M., Pan, H., Fu, X., Wei, D., Lu, X., Wu, S., & Yang, L. (2024). Functional Diversity of Soil Microorganisms in Taiga Forests in the Middle and Late Stages of Restoration after Forest Fires. Forests, 15(7), 1220. https://doi.org/10.3390/f15071220

