Modelling Diameter at Breast Height Distribution for Eight Commercial Species in Natural-Origin Mixed Forests of Ontario, Canada
Abstract
1. Introduction
2. Methods
2.1. Description of Study Area
2.2. Data Source
2.3. Model Development
2.3.1. Fitting Probability Distribution Functions
Log-Normal Probability Distribution Function
Weibull Probability Distribution Function
Gamma Probability Distribution Function
2.3.2. Development of Regression Models
2.4. Model Performances
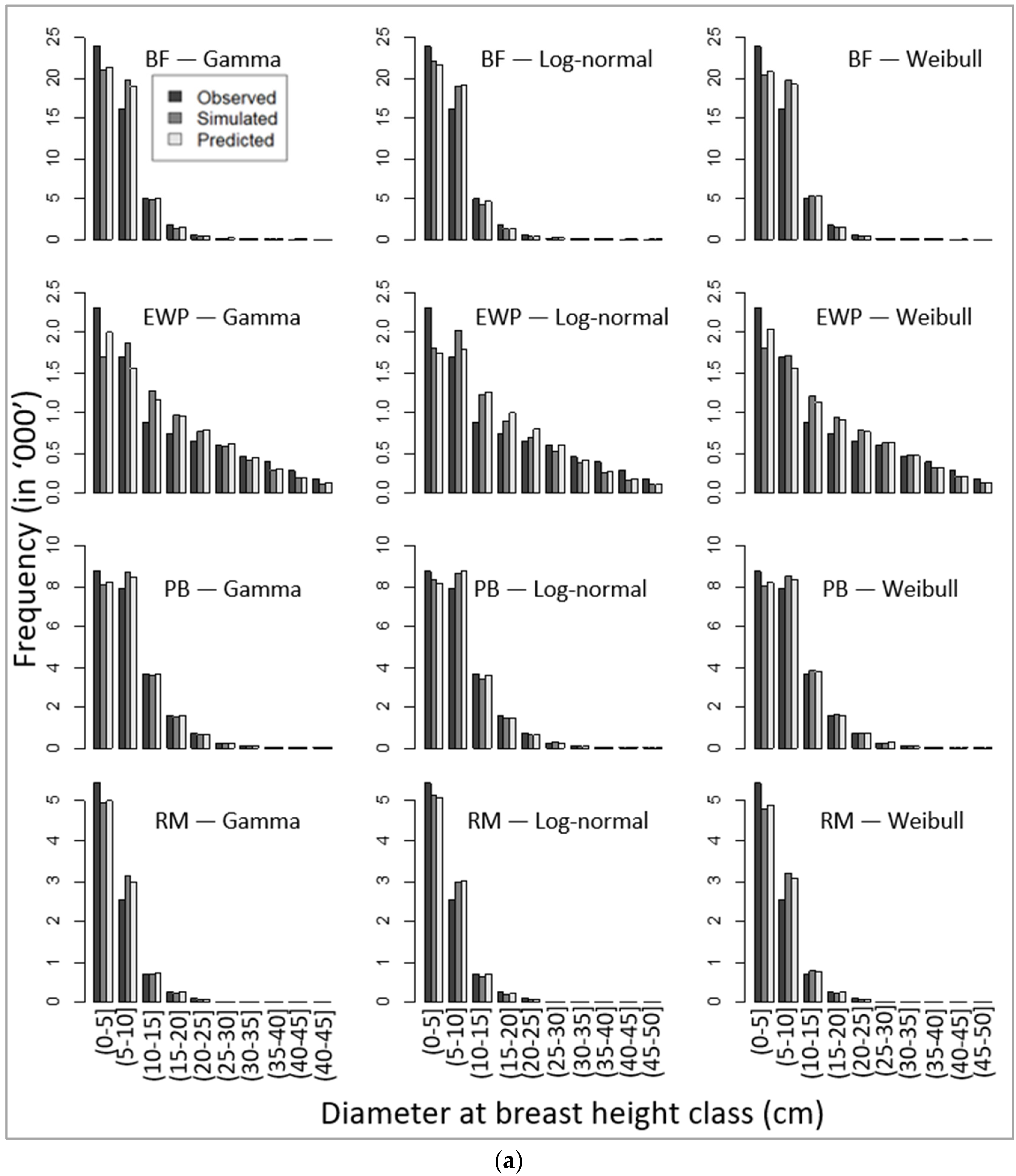
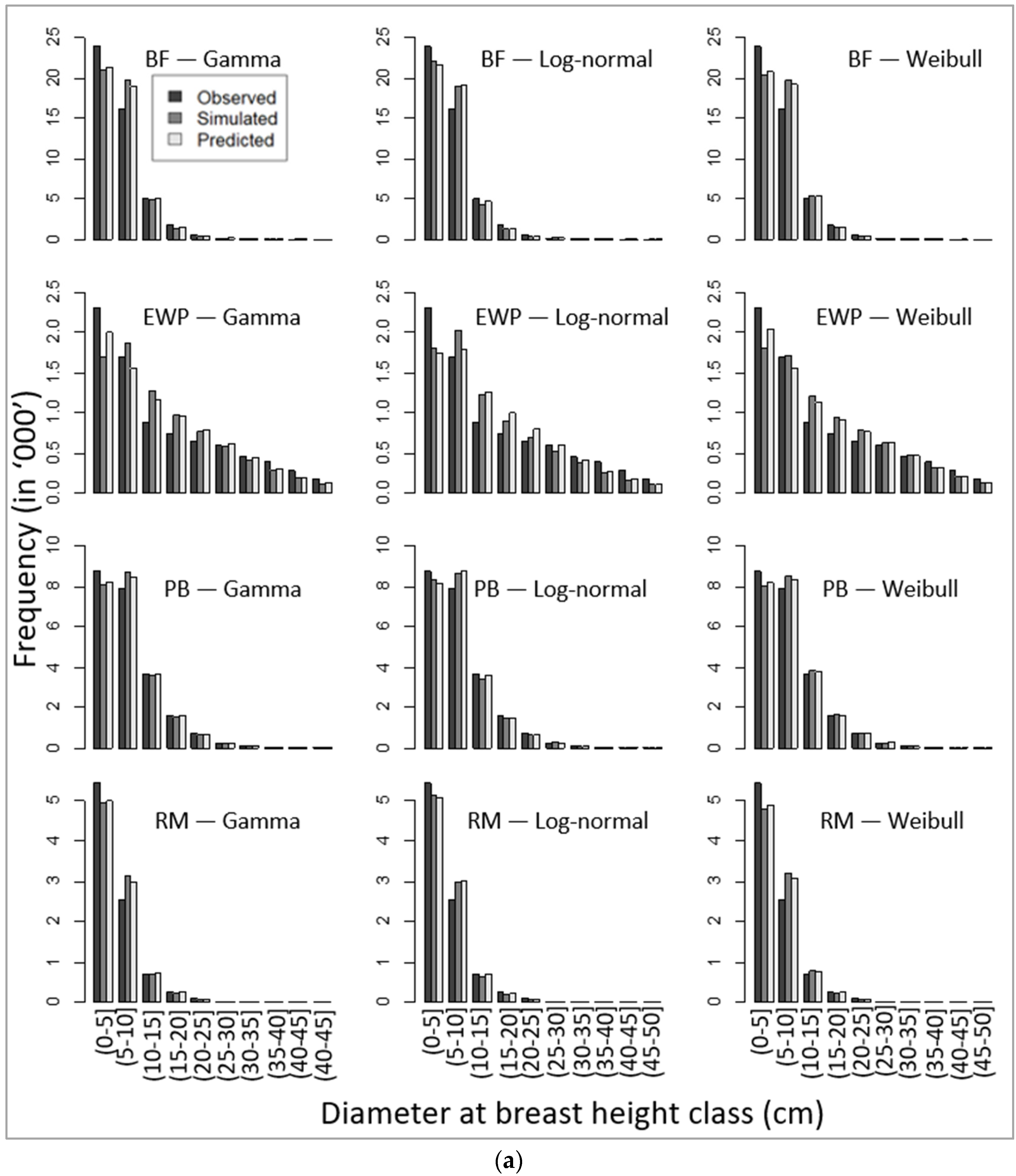
3. Results
3.1. Distribution Fitting
3.2. Fitting Regression Models
4. Discussion
5. Conclusions
Author Contributions
Funding
Data Availability Statement
Acknowledgments
Conflicts of Interest
Appendix A
| Variable | Estimate | Std. Error | z Value | p Value |
|---|---|---|---|---|
| Balsam fir (BF) | ||||
| log (Density Total) | 0.029 | 0.005 | 6.318 | 0.000 |
| QMD Species | 0.114 | 0.001 | 137.195 | 0.000 |
| Longitude | 0.007 | 0.001 | 5.247 | 0.000 |
| Latitude | 0.040 | 0.006 | 6.240 | 0.000 |
| Temperature Mean | 0.068 | 0.016 | 4.350 | 0.000 |
| No. of Growing Days Mean | −0.005 | 0.001 | −3.504 | 0.000 |
| Precipitation SD | 0.000 | 0.000 | −2.276 | 0.023 |
| No. of Growing Days SD | 0.013 | 0.005 | 2.550 | 0.011 |
| Eastern white pine (EWP) | ||||
| log (Density Total) | 0.075 | 0.018 | 4.104 | 0.000 |
| log(Density Species + 1) | 0.000 | 0.000 | −4.947 | 0.000 |
| log (QMD Total) | 0.177 | 0.035 | 4.986 | 0.000 |
| QMD Species | 0.051 | 0.001 | 50.785 | 0.000 |
| Longitude | 0.057 | 0.014 | 3.997 | 0.000 |
| Temperature Mean | 0.083 | 0.019 | 4.371 | 0.000 |
| Moisture Index Mean | 0.208 | 0.059 | 3.504 | 0.000 |
| Precipitation SD | 0.008 | 0.002 | 4.934 | 0.000 |
| Temperature SD | 3.763 | 1.083 | 3.474 | 0.001 |
| Paper birch (PB) | ||||
| BAPH Total | −0.002 | 0.000 | −4.902 | 0.000 |
| log (Density Total) | 0.073 | 0.003 | 24.776 | 0.000 |
| log(Density Species + 1) | 0.000 | 0.000 | 4.188 | 0.000 |
| log (QMD Total) | 0.271 | 0.012 | 22.529 | 0.000 |
| QMD Species | 0.090 | 0.001 | 91.304 | 0.000 |
| Red maple (RM) | ||||
| BAPH Total | −0.004 | 0.001 | −4.595 | 0.000 |
| log (Density Total) | 0.082 | 0.008 | 9.957 | 0.000 |
| log(Density Species + 1) | 0.000 | 0.000 | 1.908 | 0.056 |
| Dominant Height | 0.004 | 0.002 | 1.693 | 0.090 |
| log (QMD Total) | 0.181 | 0.027 | 6.705 | 0.000 |
| QMD Species | 0.100 | 0.003 | 39.759 | 0.000 |
| Red pine (RP) | ||||
| BAPH Total | −0.012 | 0.001 | −8.280 | 0.000 |
| BAPH Species | 0.010 | 0.001 | 7.505 | 0.000 |
| log (Density Total) | 0.245 | 0.021 | 11.531 | 0.000 |
| log(Density Species + 1) | 0.000 | 0.000 | −9.260 | 0.000 |
| log (QMD Total) | 0.740 | 0.049 | 15.031 | 0.000 |
| QMD Species | 0.035 | 0.002 | 21.121 | 0.000 |
| Longitude | 0.019 | 0.003 | 5.790 | 0.000 |
| Precipitation SD | 0.004 | 0.001 | 2.740 | 0.006 |
| Sugar maple (SM) | ||||
| BAPH Total | −0.008 | 0.001 | −7.476 | 0.000 |
| log (Density Total) | 0.056 | 0.020 | 2.729 | 0.006 |
| log (QMD Total) | 0.281 | 0.045 | 6.289 | 0.000 |
| QMD Species | 0.064 | 0.001 | 46.395 | 0.000 |
| No. of Growing Days Mean | 0.003 | 0.001 | 2.097 | 0.036 |
| Trembling aspen (TA) | ||||
| BAPH Species | 0.004 | 0.001 | 4.485 | 0.000 |
| log (Density Total) | 0.093 | 0.009 | 10.633 | 0.000 |
| log(Density Species + 1) | 0.000 | 0.000 | −2.760 | 0.006 |
| log (QMD Total) | 0.412 | 0.021 | 19.367 | 0.000 |
| QMD Species | 0.055 | 0.001 | 50.896 | 0.000 |
| Temperature Mean | 0.022 | 0.007 | 3.222 | 0.001 |
| Temperature SD | 0.407 | 0.084 | 4.836 | 0.000 |
| No. of Growing Days SD | −0.050 | 0.009 | −5.289 | 0.000 |
| White spruce (WS) | ||||
| BAPH Species | −0.010 | 0.003 | −3.829 | 0.000 |
| log (Density Total) | 0.074 | 0.010 | 7.195 | 0.000 |
| log(Density Species + 1) | 0.050 | 0.016 | 3.113 | 0.002 |
| Dominant Height | 0.004 | 0.002 | 2.451 | 0.014 |
| log (QMD Total) | 0.162 | 0.022 | 7.433 | 0.000 |
| QMD Species | 0.080 | 0.002 | 41.674 | 0.000 |
| Variable | Estimate | Std. Error | z Value | p Value |
|---|---|---|---|---|
| Balsam fir (BF) | ||||
| BAPH Species | −0.021 | 0.005 | −4.392 | 0.000 |
| log(Density Species + 1) | 0.000 | 0.000 | 5.699 | 0.000 |
| Dominant Height | 0.004 | 0.002 | 1.763 | 0.078 |
| QMD Species | 0.174 | 0.005 | 33.606 | 0.000 |
| Latitude | −0.017 | 0.005 | −3.650 | 0.000 |
| Temperature Mean | −0.033 | 0.010 | −3.396 | 0.001 |
| Moisture Index Mean | 0.126 | 0.049 | 2.589 | 0.010 |
| Eastern white pine (EWP) | ||||
| Intercept | −14.257 | 2.176 | −6.552 | 0.000 |
| BAPH Total | −0.021 | 0.005 | −4.595 | 0.000 |
| log (Density Total) | 0.761 | 0.116 | 6.580 | 0.000 |
| log (QMD Total) | 1.404 | 0.235 | 5.976 | 0.000 |
| QMD Species | 0.028 | 0.003 | 11.238 | 0.000 |
| No. of Growing Days Mean | 0.022 | 0.005 | 4.823 | 0.000 |
| Temperature SD | 3.219 | 0.937 | 3.436 | 0.001 |
| Paper birch (PB) | ||||
| BAPH Total | −0.009 | 0.003 | −3.653 | 0.000 |
| BAPH Species | −0.023 | 0.006 | −3.569 | 0.000 |
| log (Density Total) | 0.162 | 0.040 | 4.034 | 0.000 |
| log(Density Species + 1) | 0.000 | 0.000 | 3.670 | 0.000 |
| Dominant Height | −0.008 | 0.004 | −1.870 | 0.062 |
| log (QMD Total) | 0.679 | 0.088 | 7.724 | 0.000 |
| QMD Species | 0.105 | 0.005 | 19.696 | 0.000 |
| No. of Growing Days Mean | −0.008 | 0.002 | −4.589 | 0.000 |
| Moisture Index Mean | −0.233 | 0.076 | −3.087 | 0.002 |
| Red maple (RM) | ||||
| Intercept | 19.675 | 6.678 | 2.946 | 0.003 |
| log(Density Species + 1) | 0.071 | 0.032 | 2.246 | 0.025 |
| log (QMD Total) | 0.272 | 0.091 | 2.985 | 0.003 |
| QMD Species | 0.133 | 0.007 | 19.387 | 0.000 |
| Longitude | −0.045 | 0.022 | −1.998 | 0.046 |
| Latitude | −0.464 | 0.162 | −2.863 | 0.004 |
| Elevation | −0.003 | 0.001 | −3.705 | 0.000 |
| Temperature Mean | −0.482 | 0.139 | −3.467 | 0.001 |
| Red pine (RP) | ||||
| BAPH Total | −0.023 | 0.006 | −4.094 | 0.000 |
| log (Density Total) | 0.986 | 0.114 | 8.621 | 0.000 |
| log(Density Species + 1) | −0.134 | 0.055 | −2.442 | 0.015 |
| log (QMD Total) | 1.769 | 0.221 | 8.007 | 0.000 |
| Latitude | −0.184 | 0.027 | −6.802 | 0.000 |
| Sugar maple (SM) | ||||
| Intercept | −5.088 | 3.687 | −1.380 | 0.168 |
| log(Density Species + 1) | 0.000 | 0.000 | 5.885 | 0.000 |
| log (QMD Total) | −0.235 | 0.082 | −2.867 | 0.004 |
| QMD Species | 0.084 | 0.004 | 22.554 | 0.000 |
| Latitude | 0.227 | 0.088 | 2.589 | 0.010 |
| Precipitation Mean | 0.001 | 0.000 | 2.307 | 0.021 |
| Temperature Mean | 0.550 | 0.166 | 3.301 | 0.001 |
| No. of Growing Days Mean | −0.038 | 0.012 | −3.191 | 0.001 |
| Trembling aspen (TA) | ||||
| Intercept | −5.140 | 0.887 | −5.795 | 0.000 |
| BAPH Total | −0.018 | 0.004 | −4.906 | 0.000 |
| log (Density Total) | 0.485 | 0.070 | 6.970 | 0.000 |
| Dominant Height | 0.011 | 0.004 | 2.571 | 0.010 |
| log (QMD Total) | 1.090 | 0.134 | 8.142 | 0.000 |
| QMD Species | 0.046 | 0.003 | 14.717 | 0.000 |
| Precipitation SD | −0.003 | 0.001 | −2.324 | 0.020 |
| Temperature SD | 0.816 | 0.299 | 2.732 | 0.006 |
| No. of Growing Days SD | −0.077 | 0.032 | −2.398 | 0.016 |
| White spruce (WS) | ||||
| Intercept | −1.867 | 0.831 | −2.245 | 0.025 |
| BAPH Species | −0.049 | 0.008 | −5.990 | 0.000 |
| log (Density Total) | 0.258 | 0.059 | 4.416 | 0.000 |
| log(Density Species + 1) | 0.144 | 0.048 | 3.002 | 0.003 |
| log (QMD Total) | 0.323 | 0.109 | 2.964 | 0.003 |
| QMD Species | 0.120 | 0.006 | 20.941 | 0.000 |
| Temperature SD | −1.508 | 0.393 | −3.834 | 0.000 |
References
- Hara, T.; Kimura, M.; Kikuzawa, K. Growth patterns of tree height and stem diameter in populations of Abies veitchii, A. mariesii and Betula ermanii. J. Ecol. 1991, 79, 1085–1098. [Google Scholar] [CrossRef]
- Sterck, F.J.; Bongers, F. Ontogenetic changes in size, allometry, and mechanical design of tropical rain forest trees. Am. J. Bot. 1998, 85, 266–272. [Google Scholar] [CrossRef]
- Burkhart, H.E.; Tomé, M. Modeling Forest Trees and Stands; Springer Science & Business Media: Berlin, Germany, 2012; 458p. [Google Scholar]
- Crookston, N.L.; Dixon, G.E. The forest vegetation simulator: A review of its applications, structure, and content. Comput. Electron. Agric. 2005, 49, 60–80. [Google Scholar] [CrossRef]
- Johnson, K.; Comeau, P.; Bokalo, M. Best Practices for Using the Mixedwood Growth Model (MGM21–VS8. 2.21. 39/Rev6378). 2022. Available online: https://mgm.ualberta.ca/wp-content/uploads/sites/60/2022/02/MGM21_Best_Practices_Feb_28_22.pdf (accessed on 2 January 2023).
- Pothier, D.; Auger, I. NATURA-2009: Un Modèle de Prévision de la Croissance à l’échelle du Peuplement Pour les Forêts du Québec; Ministère des Ressources Naturelles et de la Faune, Direction de la Recherche Forestière: Quebec, QC, Canada, 2011. [Google Scholar]
- Mitchell, K.J.; Stone, M.S.E.; Grout, M.; Di Lucca Nigh, G.D.; Goudie, J.W.; Stone, J.N.; Nussbaum, A.J.; Yanchuk, A.; Stearns-Smith, S.; Brockley, R. TIPSY Version 3.2 [Online]; Ministry of Forests and Range, Research Branch: Victoria, BC, Canada, 2004. Available online: http://www.for.gov.bc.ca/hre/software/tipsy3.htm (accessed on 15 December 2023).
- Siitonen, M. Experiences in the use of forest management planning models. Silva Fenn. 1993, 27, 167–178. [Google Scholar] [CrossRef]
- Avery, T.E.; Burkhart, H.E. Forest Measurements, 5th ed.; Waveland Press, Inc.: Long Grove, IL, USA, 2015; p. 456. [Google Scholar]
- Drew, T.J.; Flewelling, J.W. Some recent Japanese theories of yield density relationships and their application to Monterey pine plantations. For. Sci. 1977, 23, 517–534. [Google Scholar]
- Flewelling, J.W.; Wiley, K.N.; Drew, T.J. Stand Density Management in Western Hemlock; Weyerhaeuser Corporation: Vancouver, BC, Canada; Western Forestry Research Centre: Vancouver, BC, Canada, 1980. [Google Scholar]
- Gingrich, S.F. Measuring and evaluating stocking and stand density in upland hardwood forests in the Central States. For. Sci. 1967, 13, 38–53. [Google Scholar]
- Larsen, D.R.; Dey, D.C.; Faust, T. A stocking diagram for midwestern eastern cottonwood-silver maple-American sycamore bottomland forests. N. J. Appl. For. 2010, 27, 132–139. [Google Scholar] [CrossRef]
- Eriksson, S.; Hammer, M. The challenge of combining timber production and biodiversity conservation for long-term ecosystem functioning—A case study of Swedish boreal forestry. For. Ecol. Manag. 2006, 237, 208–217. [Google Scholar] [CrossRef]
- Oliver, C.D.; Larson, B.C. Forest Stand Dynamics: Updated Edition; John Wiley and Sons: Hoboken, NJ, USA, 1996. [Google Scholar]
- Hunter Jr, M.L. Natural fire regimes as spatial models for managing boreal forests. Biol. Conserv. 1993, 65, 115–120. [Google Scholar] [CrossRef]
- Harvey, B.D.; Leduc, A.; Gauthier, S.; Bergeron, Y. Stand-landscape integration in natural disturbance-based management of the southern boreal forest. For. Ecol. Manag. 2002, 155, 369–385. [Google Scholar] [CrossRef]
- Grondin, P.; Noël, J.; Hotte, D. Raréfaction de L’épinette Blanche dans la Sapinière de la Forêt Boréale; Grondin et, P., Cimon, A., Eds.; Les Enjeux de Biodiversité Relatifs à la Composition Forestière; Ministère des Ressources Naturelles, de la Faune et des Parcs, Direction de la Recherche Forestière et Direction de l’Environnement Forestier: Quebec, QC, Canada, 2003; pp. 67–84. Available online: https://diffusion.mern.gouv.qc.ca/public/Biblio/Mono/2011/08/1086366.pdf (accessed on 2 January 2023).
- Pretzsch, H.; Zenner, E.K. Toward managing mixed species stands: From parametrization to prescription. For. Ecosyst. 2017, 4, 19. [Google Scholar] [CrossRef]
- Sharma, M. Modelling climate effects on diameter growth of red pine trees in boreal Ontario, Canada. Trees For. People 2021, 4, 100064. [Google Scholar] [CrossRef]
- Latterini, F.; Pawlik, L.; Stefanoni, W.; Dyderski, M.K. The effects of geomorphology, soil and climate on the trajectory of aboveground biomass accumulation of beech (Fagus sylvatica L.) at the southern range margin. Catena 2024, 237, 107787. [Google Scholar] [CrossRef]
- Liu, C.; Zhang, S.Y.; Lei, Y.; Newton, P.F.; Zhang, L. Evaluation of three methods for predicting diameter distributions of black spruce (Picea mariana) plantations in central Canada. Can. J. For. Res. 2004, 34, 2424–2432. [Google Scholar] [CrossRef]
- Liu, C.; Beaulieu, J.; Pregent, G.; Zhang, S.Y. Applications and comparison of six methods for predicting parameters of the Weibull function in unthinned Picea glauca plantations. Scand. J. For. Res. 2009, 24, 67–75. [Google Scholar] [CrossRef]
- Duchateau, E.; Schneider, R.; Tremblay, S.; Dupont-Leduc, L. Density and diameter distributions of saplings in naturally regenerated and planted coniferous stands in Québec after various approaches of commercial thinning. Ann. For. Sci. 2020, 77, 38. [Google Scholar] [CrossRef]
- Hyink, D.M.; Moser, J.W. A generalized framework for projecting forest yield and stand structure using diameter distributions. For. Sci. 1983, 29, 85–95. [Google Scholar]
- Mauro, F.; García-Abril, A.; Ayuga-Téllez, E.; Rojo-Alboreca, A.; Valbuena, R.; Manzanera, J.A. Comparison of two parameter recovery methods for the transformation of Pinus sylvestris yield tables into a diameter distribution model. Ann. For. Sci. 2021, 78, 12. [Google Scholar] [CrossRef]
- [OMNR] Ontario Ministry of Natural Resources. Forest Resources of Ontario 2006: State of the Forest Report 2006; Ontario Ministry of Natural Resources, Queen’s Printer: Ontario, ON, Canada, 2006; 159p. [Google Scholar]
- Morris, D.M.; Reid, D.E.; Kwiaton, M.; Hunt, S.L.; Gordon, A.M. Comparing growth patterns of jack pine and black spruce in mixed natural stands and plantations. Ecoscience 2014, 21, 1–10. [Google Scholar] [CrossRef]
- Sharma, M.; Reid, D.E. Stand height/site index equations for jack pine and black spruce trees grown in natural stands. For. Sci. 2017, 64, 33–40. [Google Scholar] [CrossRef]
- Newton, P.F.; Lei, Y.; Zhang, S.Y. Stand-level diameter distribution yield model for black spruce plantations. For. Ecol. Manag. 2005, 209, 181–192. [Google Scholar] [CrossRef]
- Newton, P.F.; Amponsah, I.G. Evaluation of Weibull-based parameter prediction equation systems for black spruce and jack pine stand types within the context of developing structural stand density management diagrams. Can. J. For. Res. 2005, 35, 2996–3010. [Google Scholar] [CrossRef]
- Rijal, B.; Sharma, M. Modelling diameter at breast height distribution of jack pine and black spruce natural stands in eastern Canada. Can. J. For. Res. 2023, 54, 5. [Google Scholar] [CrossRef]
- Baldwin, D.J.B.; Desloges, J.R.; Band, L.E. Physical geography of Ontario. In Ecology of a Managed Terrestrial Landscape: Patterns and Processes of Forest Landscapes in Ontario; Perera, A.H., Euler, D.L., Thompson, I.D., Eds.; University of British Columbia Press: Vancouver, BC, Canada, 2000; pp. 12–29. 336p. [Google Scholar]
- Thompson, I.D. Forest Vegetation of Ontario: Factors Influencing Landscape Change. In Ecology of a Managed Terrestrial Landscape: Patterns and Processes of Forest Landscapes in Ontario; Perera, A.H., Euler, D.L., Thompson, I.D., Eds.; UBC Press: Vancouver, BC, Canada, 2000; pp. 30–53+336. [Google Scholar]
- Rowe, J.S. Forest Regions of Canada. Canadian Forestry Service Publication 1300; Department of Environment: Ottawa, ON, Canada, 1972; 172p.
- [OMNR] Ontario Ministry of Natural Resources and Forestry Growth and Yield Program. PSP and PGP Reference Manual; Sault Ste.: Marie, ON, Canada, 2016; 677p. [Google Scholar]
- Strub, M.R.; Burkhart, H.E. A class-interval-free method for obtaining expected yields from diameter distributions. For. Sci. 1975, 21, 67–69. [Google Scholar]
- Zhang, L.; Packard, K.C.; Liu, C. A comparison of estimation methods for Fitting Weibull and Johnson’s SB distributions to mixed spruce–fir stands in northeastern North America. Can. J. For. Res. 2003, 33, 1340–1347. [Google Scholar] [CrossRef]
- Bliss, C.I.; Reinker, K.A. A lognormal approach to diameter distributions in even-aged stands. For. Sci. 1964, 10, 350–360. [Google Scholar]
- Nelson, T.C. Diameter distribution and growth of loblolly pine. For. Sci. 1964, 10, 105–114. [Google Scholar]
- Bailey, R.L.; Dell, T.R. Quantifying diameter distributions with the Weibull function. For. Sci. 1973, 19, 97–104. [Google Scholar]
- Cao, Q.V. Predicting parameters of a Weibull function for modeling diameter distribution. For. Sci. 2004, 50, 682–685. [Google Scholar] [CrossRef]
- Poudel, K.P.; Cao, Q.V. Evaluation of methods to predict Weibull parameters for characterizing diameter distributions. For. Sci. 2013, 59, 243–252. [Google Scholar] [CrossRef]
- Gorgoso-Varela, J.J.; Adedapo, S.M.; Ogana, F.N. A Comparison of Probability Density Functions Fitted by Moments and Maximum Likelihood Estimation Methods Used for Diameter Distribution Estimation. Forests 2024, 15, 425. [Google Scholar] [CrossRef]
- Paradis, G.; Lebel, L. Diameter Distribution Models for Quebec, Canada; CIRRELT, Centre interuniversitaire de recherche sur les réseaux d’entreprise, la logistique et le transport; Interuniversity Research Centre on Enterprise Networks, Logistics and Transportation: Quebec, QC, Canada, 2017. [Google Scholar]
- Delignette-Muller, M.L.; Dutang, C. Fitdistrplus: An R package for fitting distributions. J. Stat. Softw. 2015, 64, 1–34. [Google Scholar] [CrossRef]
- R Core Team. R: A Language and Environment for Statistical Computing; R Foundation for Statistical Computing: Vienna, Austria, 2020; Available online: https://www.R-project.org/ (accessed on 7 August 2023).
- Hasselman, B. Nleqslv: Solve Systems of Nonlinear Equations_R Package, Version 3.3.4; R Foundation for Statistical Computing: Vienna, Austria, 2023.
- Subedi, N.; Sharma, M. Climate-diameter growth relationships of black spruce and jack pine trees in boreal Ontario. Canada. Glob. Change Biol. 2013, 19, 505–516. [Google Scholar] [CrossRef]
- McCullagh, P.; Nelder, J.A. Generalized Linear Models, 2nd ed.; Chapman & Hall/CRC Press: Boca Raton, FL, USA, 1989. [Google Scholar]
- Schwarz, G. Estimating the dimension of a model. Ann. Stat. 1978, 6, 461–464. [Google Scholar] [CrossRef]
- O’Brien, R.M. A caution regarding rules of thumb for variance inflation factors. Qual. Quant. 2007, 41, 673–690. [Google Scholar] [CrossRef]
- Belsley, D.A.; Kuh, E.; Welsch, R.E. Regression Diagnostics: Identifying Influential Data and Sources of Collinearity; John Wiley & Sons: Hoboken, NJ, USA, 2005; Volume 571. [Google Scholar]
- Brooks, M.E.; Kristensen, K.; van Benthem, K.J.; Magnusson, A.; Berg, C.W.; Nielsen, A.; Skaug, H.J.; Maechler, M.L.; Bolker, B.M. glmmTMB Balances Speed and Flexibility Among Packages for Zero-inflated Generalized Linear Mixed Modeling. R. J. 2017, 9, 378–400. [Google Scholar] [CrossRef]
- Stone, M. Cross-validatory choice and assessment of statistical predictions. J. R. Stat. Soc. Ser. B (Methodol.) 1974, 36, 111–133. [Google Scholar] [CrossRef]
- Yadav, S.; Shukla, S. Analysis of k-fold cross-validation over hold-out validation on colossal datasets for quality classification. In Proceedings of the 2016 IEEE 6th International Conference on Advanced Computing (IACC), Bhimavaram, India, 27–28 February 2016; pp. 78–83. [Google Scholar]
- Weiskittel, A.R.; Hann, D.W.; Kershaw, J.A., Jr.; Vanclay, J.K. Forest Growth and Yield Modelling; John Wiley & Sons, Ltd.: Chichester, UK, 2011. [Google Scholar]
- Qin, J.; Cao, Q.V. Using disaggregation to link individual-tree and whole-stand growth models. Can. J. For. Res. 2006, 36, 953–960. [Google Scholar] [CrossRef]
- Maltamo, M.; Eerikäinen, K.; Pitkänen, J.; Hyyppä, J.; Vehmas, M. Estimation of timber volume and stem density based on scanning laser altimetry and expected tree size distribution functions. Remote Sens. Environ. 2004, 90, 319–330. [Google Scholar] [CrossRef]
- Sheykholeslami, A.; Pasha, K.; Lashaki, K. A study of tree distribution in diameter classes in natural forests of Iran (case study: Liresara forest). Ann. Biol. Res. 2011, 2, 283–290. [Google Scholar]
- Ibrahim, A.D. Evaluation of probability distribution functions for modeling forest tree diameters on agricultural landscapes in Ogun State, Nigeria. Open J. For. 2022, 12, 432–442. [Google Scholar] [CrossRef]
- Rouvinen, S.; Kuuluvainen, T. Tree diameter distributions in natural and managed old Pinus sylvestris-dominated forests. For. Ecol. Manag. 2005, 208, 45–61. [Google Scholar] [CrossRef]
- Rijal, B.; Power, H.; Auger, I.; Guillemette, F.; Bedard, S.; Schneider, R. Development of tree recruitment models for 10 species groups in the sugar maple-dominated mixed forests of eastern Canada. Can. J. For. Res. 2023, 53, 134–150. [Google Scholar] [CrossRef]






| Species Code | Species | Botanical Name | Sample Number | ||
|---|---|---|---|---|---|
| Spatial Plot | Repeated Plot | Individual Trees | |||
| BF | Balsam fir | Abies balsamea (L.) Mill. | 857 | 1433 | 47,597 |
| EWP | Eastern white pine | Pinus strobus L. | 139 | 472 | 8409 |
| PB | Paper birch | Betula papyrifera Marshall | 783 | 1149 | 23,033 |
| RM | Red maple | Acer rubrum L. | 176 | 454 | 9153 |
| RP | Red pine | Pinus resinosa Aiton | 56 | 165 | 2865 |
| SM | Sugar maple | Acer saccharum Marshall | 136 | 578 | 19,274 |
| TA | Trembling aspen | Populus tremuloides Michx. | 881 | 1211 | 43,953 |
| WS | White spruce | Picea glauca (Moench) Voss | 278 | 423 | 4812 |
| Species | Min. (cm) | Median (cm) | Mean (cm) | Max (cm) | Std. Dev (cm) |
|---|---|---|---|---|---|
| Balsam fir | 1.00 | 5.00 | 5.46 | 57.50 | 4.20 |
| Eastern white pine | 2.50 | 11.00 | 16.34 | 88.50 | 13.98 |
| Paper birch | 2.50 | 6.30 | 8.16 | 58.90 | 5.69 |
| Red pine | 2.50 | 22.60 | 22.04 | 57.30 | 2.31 |
| Red maple | 1.30 | 4.40 | 5.95 | 51.40 | 4.49 |
| Sugar maple | 2.50 | 7.60 | 12.09 | 83.50 | 10.96 |
| Trembling aspen | 2.50 | 7.30 | 9.68 | 64.80 | 7.15 |
| White spruce | 2.50 | 8.00 | 11.03 | 57.20 | 8.43 |
| Species | Min. | Median | Mean | Max | Std. Dev |
|---|---|---|---|---|---|
| Species-wise density (No./ha) | |||||
| Balsam fir | 55.56 | 500.00 | 793.17 | 9975.00 | 872.06 |
| Eastern white pine | 125.00 | 300.00 | 445.39 | 3800.00 | 436.48 |
| Paper birch | 61.77 | 300.00 | 502.23 | 4150.00 | 515.04 |
| Red pine | 125.00 | 325.00 | 434.09 | 2375.00 | 342.42 |
| Red maple | 125.00 | 375.00 | 504.02 | 2975.00 | 425.59 |
| Sugar maple | 125.00 | 775.00 | 833.65 | 2900.00 | 456.37 |
| Trembling aspen | 58.59 | 450.00 | 890.21 | 9475.00 | 1250.45 |
| White spruce | 48.83 | 200.00 | 269.90 | 1800.00 | 188.68 |
| Total stand density (No./ha) | |||||
| Balsam fir | 200.00 | 2100.00 | 2459.68 | 11,250.00 | 1435.08 |
| Eastern white pine | 175.00 | 1800.00 | 1932.20 | 6800.00 | 986.06 |
| Paper birch | 361.45 | 2350.00 | 2763.22 | 12,375.00 | 1689.96 |
| Red pine | 425.00 | 2000.00 | 2078.33 | 6075.00 | 824.39 |
| Red maple | 425.00 | 1900.00 | 2107.27 | 7775.00 | 1069.05 |
| Sugar maple | 175.00 | 1200.00 | 1329.24 | 4000.00 | 632.46 |
| Trembling aspen | 175.00 | 2500.00 | 2853.84 | 17,625.00 | 1837.25 |
| White spruce | 225.00 | 2025.00 | 2343.60 | 11,250.00 | 1445.39 |
| Species-wise basal area (m2/ha) | |||||
| Balsam fir | 0.05 | 2.06 | 3.67 | 33.71 | 4.49 |
| Eastern white pine | 0.09 | 15.32 | 16.17 | 50.91 | 10.15 |
| Paper birch | 0.07 | 1.96 | 3.83 | 31.05 | 4.82 |
| Red pine | 0.29 | 21.67 | 21.73 | 50.36 | 12.69 |
| Red maple | 0.10 | 1.44 | 2.20 | 16.71 | 2.37 |
| Sugar maple | 0.09 | 18.77 | 17.44 | 43.52 | 9.81 |
| Trembling aspen | 0.09 | 6.98 | 9.95 | 45.13 | 9.29 |
| White spruce | 0.11 | 2.51 | 3.89 | 39.07 | 4.61 |
| Stand level basal area (m2/ha) | |||||
| Basam fir | 0.42 | 26.65 | 26.83 | 67.95 | 11.37 |
| Eastern white pine | 0.93 | 32.42 | 32.07 | 67.95 | 11.49 |
| Paper birch | 0.87 | 24.62 | 24.95 | 67.95 | 10.27 |
| Red pine | 1.32 | 38.20 | 37.56 | 67.95 | 12.08 |
| Red maple | 4.23 | 29.70 | 30.07 | 61.08 | 10.10 |
| Sugar maple | 5.48 | 26.86 | 27.01 | 51.52 | 6.94 |
| Trembling aspen | 0.44 | 25.04 | 25.29 | 61.79 | 9.95 |
| White spruce | 6.13 | 28.86 | 29.15 | 65.23 | 10.37 |
| Probability Distribution | Estimation Method | Parameter | Species Code | |||||||
|---|---|---|---|---|---|---|---|---|---|---|
| BF | EWP | PB | RM | RP | SM | TA | WS | |||
| Gamma | Fitted | Shape | 3.232 | 1.411 | 2.611 | 2.947 | 2.382 | 1.540 | 2.387 | 2.011 |
| Rate | 0.501 | 0.086 | 0.320 | 0.495 | 0.108 | 0.127 | 0.247 | 0.182 | ||
| Recovered | Shape | 2.362 | 1.367 | 2.056 | 1.759 | 3.204 | 1.217 | 1.830 | 1.710 | |
| Rate | 0.366 | 0.084 | 0.252 | 0.296 | 0.145 | 0.101 | 0.189 | 0.155 | ||
| Log-normal | Fitted | Mean | 1.703 | 2.399 | 1.895 | 1.604 | 2.869 | 2.134 | 2.046 | 2.132 |
| Standard deviation | 0.545 | 0.922 | 0.625 | 0.552 | 0.755 | 0.838 | 0.655 | 0.732 | ||
| Recovered | Mean | 1.689 | 2.519 | 1.901 | 1.559 | 2.957 | 2.193 | 2.052 | 2.170 | |
| Standard deviation | 0.542 | 0.676 | 0.575 | 0.612 | 0.476 | 0.707 | 0.603 | 0.619 | ||
| Weibull | Fitted | Shape | 1.701 | 1.200 | 1.580 | 1.542 | 1.816 | 1.212 | 1.503 | 1.417 |
| Scale | 7.308 | 17.437 | 9.172 | 6.693 | 24.729 | 12.984 | 10.830 | 12.225 | ||
| Recovered | Shape | 1.595 | 1.185 | 1.479 | 1.359 | 1.882 | 1.112 | 1.388 | 1.338 | |
| Scale | 7.200 | 17.313 | 9.018 | 6.497 | 24.832 | 12.578 | 10.604 | 12.007 | ||
| Species | Total No. of Sample Plot | Number of Superior Plots | ||
|---|---|---|---|---|
| Gamma | Log-Normal | Weibull | ||
| Balsam fir | 1433 | 168 | 1005 (70%) | 260 |
| Eastern white pine | 472 | 45 | 231 (49%) | 196 |
| Paper birch | 1149 | 158 | 701 (61%) | 290 |
| Red pine | 165 | 11 | 38 | 116 (70%) |
| Red maple | 454 | 26 | 352 (77%) | 76 |
| Sugar maple | 578 | 55 | 408 (71%) | 115 |
| Trembling aspen | 1211 | 233 | 514 (42%) | 464 |
| White spruce | 423 | 37 | 236 (56%) | 150 |
| Species (Code) | Statistics | Gamma | Log-Normal | Weibull | |||||||||
|---|---|---|---|---|---|---|---|---|---|---|---|---|---|
| Fitted | Recovered | Fitted | Recovered | Fitted | Recovered | ||||||||
| Shape | Rate | Shape | Rate | Mean | Std.Dev | Mean | Std.Dev | Shape | Scale | Shape | Scale | ||
| BF | Median | 5.145 | 0.817 | 4.493 | 0.685 | 1.666 | 0.444 | 1.660 | 0.436 | 5.145 | 0.817 | 2.261 | 6.661 |
| 5% | 2.246 | 0.232 | 1.583 | 0.197 | 1.263 | 0.225 | 1.248 | 0.225 | 2.246 | 0.232 | 1.283 | 4.022 | |
| 95% | 19.821 | 4.759 | 17.336 | 4.254 | 2.357 | 0.694 | 2.389 | 0.660 | 19.821 | 4.759 | 4.707 | 13.692 | |
| EWP | Median | 3.458 | 0.210 | 3.689 | 0.191 | 2.797 | 0.567 | 2.888 | 0.470 | 3.484 | 0.210 | 2.031 | 22.488 |
| 5% | 1.059 | 0.058 | 0.686 | 0.053 | 1.582 | 0.240 | 1.542 | 0.225 | 1.056 | 0.058 | 0.815 | 6.020 | |
| 95% | 18.062 | 1.182 | 16.426 | 1.047 | 3.560 | 1.057 | 3.565 | 0.933 | 19.032 | 1.190 | 4.571 | 42.043 | |
| PB | Median | 7.170 | 0.923 | 6.564 | 0.823 | 1.872 | 0.381 | 1.884 | 0.363 | 7.170 | 0.923 | 2.778 | 8.211 |
| 5% | 2.306 | 0.228 | 1.713 | 0.185 | 1.233 | 0.175 | 1.226 | 0.178 | 2.306 | 0.228 | 1.340 | 3.899 | |
| 95% | 31.933 | 5.979 | 26.977 | 5.248 | 2.888 | 0.676 | 2.897 | 0.648 | 31.933 | 5.979 | 5.985 | 21.192 | |
| RM | Median | 5.840 | 0.963 | 4.755 | 0.772 | 1.576 | 0.414 | 1.564 | 0.419 | 5.840 | 0.963 | 2.332 | 6.082 |
| 5% | 1.905 | 0.210 | 1.146 | 0.151 | 1.187 | 0.196 | 1.165 | 0.202 | 1.905 | 0.210 | 1.077 | 3.736 | |
| 95% | 25.406 | 6.100 | 20.223 | 5.073 | 2.504 | 0.714 | 2.529 | 0.759 | 25.406 | 6.100 | 5.118 | 15.704 | |
| RP | Median | 8.852 | 0.374 | 8.723 | 0.366 | 3.167 | 0.358 | 3.176 | 0.306 | 8.852 | 0.374 | 19.501 | 25.871 |
| 5% | 1.920 | 0.105 | 1.906 | 0.114 | 2.109 | 0.130 | 2.141 | 0.121 | 1.920 | 0.105 | 6.268 | 9.518 | |
| 95% | 62.278 | 2.444 | 57.955 | 2.191 | 3.678 | 0.804 | 3.677 | 0.631 | 62.278 | 2.444 | 32.341 | 40.794 | |
| SM | Median | 2.076 | 0.166 | 1.788 | 0.133 | 2.179 | 0.716 | 2.234 | 0.653 | 2.076 | 0.166 | 1.371 | 12.643 |
| 5% | 1.145 | 0.075 | 0.665 | 0.061 | 1.553 | 0.316 | 1.492 | 0.291 | 1.145 | 0.075 | 0.801 | 5.756 | |
| 95% | 11.206 | 1.218 | 10.621 | 1.076 | 3.029 | 1.001 | 3.059 | 0.945 | 11.206 | 1.218 | 3.607 | 26.087 | |
| TA | Median | 10.177 | 1.003 | 9.985 | 0.964 | 2.284 | 0.320 | 2.298 | 0.301 | 10.177 | 1.003 | 3.489 | 11.728 |
| 5% | 2.188 | 0.157 | 2.040 | 0.158 | 1.357 | 0.142 | 1.340 | 0.141 | 2.188 | 0.157 | 1.473 | 4.523 | |
| 95% | 49.690 | 4.007 | 43.706 | 3.700 | 3.359 | 0.718 | 3.359 | 0.608 | 49.690 | 4.007 | 7.777 | 31.540 | |
| WS | Median | 11.728 | 0.435 | 4.310 | 0.397 | 2.114 | 0.479 | 2.129 | 0.431 | 4.811 | 0.435 | 2.211 | 11.077 |
| 5% | 4.523 | 0.109 | 1.172 | 0.095 | 1.352 | 0.231 | 1.334 | 0.231 | 1.502 | 0.109 | 1.090 | 4.592 | |
| 95% | 31.540 | 3.461 | 17.105 | 3.105 | 3.059 | 0.863 | 3.066 | 0.741 | 18.689 | 3.461 | 4.672 | 25.452 | |
| (a) Estimates for Species—Mean | ||||||||
|---|---|---|---|---|---|---|---|---|
| Parameters | BF | EWP | PB | RM | RP | SM | TA | WS |
| Intercept | - | - | - | - | - | - | - | - |
| BAPH Total | - | - | −0.0023 | −0.0041 | −0.0120 | −0.0081 | 0.0038 | - |
| BAPH Species | - | - | - | - | 0.0095 | - | - | −0.0102 |
| log (Density Total) | 0.0291 | 0.0753 | 0.0728 | 0.0819 | 0.2445 | 0.0558 | 0.0934 | 0.0741 |
| Density Species (Respective) | - | −0.0001 | 0.0000 | 0.0000 | −0.0003 | - | 0.0000 | 0.0504 |
| log (QMD Total) | - | 0.1769 | 0.2710 | 0.1807 | 0.7400 | 0.2809 | 0.4125 | 0.1623 |
| QMD Species | 0.1143 | 0.0515 | 0.0897 | 0.0998 | 0.0352 | 0.0645 | 0.0554 | 0.0805 |
| Dominant Height | - | - | - | 0.0039 | - | - | - | 0.0042 |
| Longitude | 0.0070 | 0.0569 | - | - | 0.0193 | - | - | - |
| Latitude | 0.0396 | - | - | - | - | - | - | - |
| Elevation | - | - | - | - | - | - | - | - |
| Temperature: Mean | 0.0675 | 0.0832 | - | - | - | - | 0.0215 | - |
| Temperature: Standard Deviation | - | 3.7628 | - | - | - | - | 0.4068 | - |
| No. of Growing Days: Mean | −0.0048 | - | - | - | - | - | - | - |
| Precipitation: Standard Deviation | −0.0004 | 0.0075 | - | - | 0.0036 | - | - | - |
| No. of Growing Days: Standard Deviation | 0.0130 | - | - | - | - | - | −0.0501 | - |
| Moisture Index: Mean | - | 0.2077 | - | - | - | 0.0025 | - | - |
| Random effect | 0.0608 | 0.1588 | 0.1124 | 0.1575 | 0.0905 | 0.1148 | 0.1510 | 0.1086 |
| Residual standard deviation | 0.0606 | 0.0819 | 0.0661 | 0.0817 | 0.0553 | 0.0790 | 0.0776 | 0.0755 |
| (b) Estimates for Species—Standard Deviation | ||||||||
| Parameters | BF | EWP | PB | RM | RP | SM | TA | WS |
| Intercept | - | −14.2566 | - | 19.6753 | −0.0226 | −5.0884 | −5.1396 | −1.8670 |
| BAPH Total | - | −0.0211 | −0.0092 | - | - | - | −0.0183 | - |
| BAPH Species | −0.0210 | - | −0.0227 | - | - | - | - | −0.0489 |
| log (Density Total) | - | 0.7612 | 0.1621 | - | 0.9856 | - | 0.4854 | 0.2585 |
| Density Species (Respective) | 0.0001 | - | 0.0002 | 0.0708 | −0.1343 | 0.0002 | - | 0.1443 |
| log (QMD Total) | - | 1.4041 | 0.6792 | 0.2721 | 1.7694 | −0.2352 | 1.0895 | 0.3235 |
| QMD Species | 0.1743 | 0.0283 | 0.1049 | 0.1335 | - | 0.0844 | 0.0457 | 0.1198 |
| Dominant Height | 0.0037 | - | −0.0081 | - | - | - | 0.0113 | - |
| Longitude | - | - | - | −0.0447 | - | - | - | - |
| Latitude | −0.0167 | - | - | −0.4636 | −0.1843 | 0.2268 | - | - |
| Elevation | - | - | - | −0.0030 | - | - | - | - |
| Temperature: Mean | −0.0326 | - | - | −0.4820 | - | 0.5496 | - | - |
| Temperature: Standard Deviation | - | 3.2186 | - | - | - | - | 0.8155 | −1.5078 |
| Precipitation: Mean | - | - | - | - | - | 0.0007 | - | - |
| No. of Growing Days: Mean | - | 0.0221 | −0.0082 | - | - | −0.0380 | - | - |
| Precipitation: Standard Deviation | - | - | - | - | - | - | −0.0026 | - |
| No. of Growing Days: Standard Deviation | - | - | - | - | - | - | −0.0774 | - |
| Moisture Index: Mean | 0.1264 | - | −0.2333 | - | - | - | - | - |
| Random effect | 0.1718 | 0.3392 | 0.3237 | 0.2811 | 0.2814 | 0.2620 | 0.3525 | 0.3174 |
| Residual standard deviation | 0.2700 | 0.2474 | 0.2990 | 0.3096 | 0.2793 | 0.2171 | 0.2482 | 0.2374 |
| Species | Mean Bias | Mean Absolute Bias | R2 | ||||||
|---|---|---|---|---|---|---|---|---|---|
| Median | 5% | 95% | Median | 5% | 95% | Median | 5% | 95% | |
| (a) Model performance for DBH mean (cm) | |||||||||
| BF | 0.046 | −0.488 | 0.439 | 0.481 | 0.420 | 0.564 | 0.906 | 0.828 | 0.947 |
| EWP | −0.213 | −5.204 | 3.773 | 2.742 | 2.005 | 4.354 | 0.844 | 0.000 | 0.927 |
| PB | −0.046 | −1.081 | 0.884 | 1.034 | 0.821 | 1.389 | 0.786 | 0.564 | 0.933 |
| RM | −0.427 | −4.388 | 1.143 | 0.885 | 0.567 | 4.453 | 0.758 | 0.000 | 0.947 |
| RP | 1.134 | −7.437 | 5.492 | 1.807 | 1.276 | 3.869 | 0.915 | 0.631 | 0.968 |
| SM | −0.071 | −2.526 | 1.669 | 1.394 | 1.039 | 1.837 | 0.852 | 0.722 | 0.923 |
| TA | −0.183 | −1.915 | 1.452 | 1.794 | 1.422 | 2.311 | 0.776 | 0.578 | 0.913 |
| WS | 0.008 | −1.978 | 1.540 | 1.236 | 0.987 | 1.620 | 0.909 | 0.823 | 0.950 |
| (b) Model performance for DBH standard deviation (cm) | |||||||||
| BF | −0.044 | −0.560 | 0.310 | 0.871 | 0.722 | 1.098 | 0.349 | 0.000 | 0.680 |
| EWP | 0.803 | −0.424 | 1.785 | 3.092 | 2.555 | 3.662 | 0.281 | 0.000 | 0.500 |
| PB | −0.233 | −0.862 | 0.315 | 1.338 | 1.096 | 1.745 | 0.182 | 0.000 | 0.621 |
| RM | −0.222 | −7.427 | 0.923 | 1.298 | 0.845 | 8.229 | 0.188 | 0.000 | 0.652 |
| RP | 0.495 | −0.441 | 1.426 | 2.724 | 2.097 | 3.652 | 0.000 | 0.000 | 0.351 |
| SM | 0.126 | −1.977 | 1.482 | 2.353 | 1.821 | 3.192 | 0.408 | 0.000 | 0.687 |
| TA | −0.128 | −0.648 | 0.372 | 1.503 | 1.254 | 1.769 | 0.461 | 0.249 | 0.599 |
| WS | 0.106 | −1.016 | 0.966 | 1.798 | 1.471 | 2.294 | 0.388 | 0.000 | 0.673 |
Disclaimer/Publisher’s Note: The statements, opinions and data contained in all publications are solely those of the individual author(s) and contributor(s) and not of MDPI and/or the editor(s). MDPI and/or the editor(s) disclaim responsibility for any injury to people or property resulting from any ideas, methods, instructions or products referred to in the content. |
© 2024 by the authors. Licensee MDPI, Basel, Switzerland. This article is an open access article distributed under the terms and conditions of the Creative Commons Attribution (CC BY) license (https://creativecommons.org/licenses/by/4.0/).
Share and Cite
Rijal, B.; Sharma, M. Modelling Diameter at Breast Height Distribution for Eight Commercial Species in Natural-Origin Mixed Forests of Ontario, Canada. Forests 2024, 15, 977. https://doi.org/10.3390/f15060977
Rijal B, Sharma M. Modelling Diameter at Breast Height Distribution for Eight Commercial Species in Natural-Origin Mixed Forests of Ontario, Canada. Forests. 2024; 15(6):977. https://doi.org/10.3390/f15060977
Chicago/Turabian StyleRijal, Baburam, and Mahadev Sharma. 2024. "Modelling Diameter at Breast Height Distribution for Eight Commercial Species in Natural-Origin Mixed Forests of Ontario, Canada" Forests 15, no. 6: 977. https://doi.org/10.3390/f15060977
APA StyleRijal, B., & Sharma, M. (2024). Modelling Diameter at Breast Height Distribution for Eight Commercial Species in Natural-Origin Mixed Forests of Ontario, Canada. Forests, 15(6), 977. https://doi.org/10.3390/f15060977

