Next Article in Journal
Impact of Forest City Selection on Green Total Factor Productivity in China under the Background of Sustainable Development
Next Article in Special Issue
Full-Length Transcriptome Assembly of Platycladus orientalis Root Integrated with RNA-Seq to Identify Genes in Response to Root Pruning
Previous Article in Journal
Spatio-Temporal Assessment of Heterogeneity by Logging Intensity in a Federal Concession Area in the Brazilian Amazon
Previous Article in Special Issue
Effects of the Cultivation Substrate pH and Ammonium-to-Nitrate Nitrogen Ratio on the C:N:P Stoichiometry in Leaves of Cunninghamia lanceolata and Schima superba
 
 
Font Type:
Arial Georgia Verdana
Font Size:
Aa Aa Aa
Line Spacing:
Column Width:
Background:
Article

Identification of Catalpa bungei Aquaporin Gene Family Related to Low Temperature Stress

1
College of Horticulture, Hebei Agriculture University, Baoding 071000, China
2
College of Landscape and Tourism, Hebei Agriculture University, Baoding 071000, China
*
Author to whom correspondence should be addressed.
Forests 2024, 15(6), 1063; https://doi.org/10.3390/f15061063
Submission received: 12 May 2024 / Revised: 17 June 2024 / Accepted: 18 June 2024 / Published: 20 June 2024

Abstract

Low temperatures pose a significant threat to plant growth and development. Studies have shown that aquaporins (AQPs), as the main functional proteins on the cell membrane regulating water ingress and egress, play a vital role in maintaining dynamic water balance when plants face cold stress. Catalpa bungei, an important timber and ornamental tree species, has its cultivation range significantly limited by its poor cold tolerance. However, no study has been found aiming to identify its aquaporin gene family. This study aims to fill this gap using two C. bungei cultivars with differing cold tolerance as experimental material: “Qiuza 1”, which is less cold-tolerant, and “Qiuza 2”, which is more cold-tolerant. The plants were subjected to low-temperature stress at 4 °C for 24 h. Using high-throughput molecular sequencing technology, a transcriptome sequencing of the leaves was performed at 0, 6, 12, and 18 h of cold stress. Fifteen candidate aquaporin genes in C. bungei (CbAQP) were identified. Phylogenetic analysis showed that the CbAQP gene family is divided into five subfamilies: 5 PIPs, 4 TIPs, 3 NIPs, 2 SIPs, and 1 XIP. By analyzing AQPs related to cold stress in other plants and the expression patterns of CbAQP genes, 12 CbAQP genes related to cold stress were identified. The genes that responded positively include CbPIP2;5, CbPIP1;2, CbTIP4;1, and CbNIP2;1. The results provide a foundation for further analysis of the biological functions of candidate CbAQP genes related to cold tolerance and offer theoretical support for improving seedling quality, cold-resistant genetic breeding, and expanding its distribution range.

1. Introduction

Water is indispensable at every stage of plant growth and development, and is an essential component for the maintenance of normal physiological functions in cells. Plants constantly undergo water absorption, transmembrane transport, and inter-tissue transfer. Aquaporins (AQPs) are membrane proteins embedded in the biological membrane that efficiently transport water molecules and other small molecular compounds. AQPs can enhance the transmembrane transport efficiency of water molecules, increasing the permeability by more than tenfold [1]. They also regulate the flow of water within cells, with approximately 70%–90% of intracellular water movement facilitated through AQPs [2]. Additionally, AQPs are involved in various physiological and metabolic processes [3,4,5].
Aquaporin primary structures exhibit a high degree of homology between the amino (N) terminus and carboxyl (C) terminus sequences within the protein [6]. Aquaporins have small NPA motifs at both ends composed of highly conserved amino acid residues (Asn–Pro–Ala sequence). In higher plants, AQPs are divided into five subfamilies based on sequence homology, similarity, and subcellular localization: plasma membrane intrinsic proteins (PIPs), tonoplast intrinsic proteins (TIPs), nodulin 26-like intrinsic proteins (NIPs), small basic intrinsic proteins (SIPs), and uncharacterized X intrinsic proteins (XIPs). Two additional subfamilies, GlpF-like intrinsic proteins (GIPs) and hybrid intrinsic proteins (HIPs) are found only in mosses. Studies have demonstrated that aquaporins play a crucial role not only as indispensable mediators in plant water transport but also in maintaining intracellular homeostasis and reducing external damage under abiotic stress [7,8,9].
Low-temperature stress is a common abiotic stress factor that severely limits plant growth and development. Numerous studies have demonstrated a close relationship between aquaporins and plant cold resistance. Low temperatures reduce the water absorption rate of plant roots and water transport within the plant body. Cold-tolerant plants can recover growth after exposure to low temperatures, while cold-sensitive plants may lose their ability to regulate water under cold stress and subsequently die from dehydration during recovery [10]. As one of the main pathways for transmembrane water transport, aquaporins play a crucial role when plants face low-temperature stress [11]. Research has shown that plant aquaporins exhibit a cold-stress response at the beginning of cold stress. For example, transgenic Musa nanas overexpressing MusaPIP1;2 and MusaPIP1;2 exhibits enhanced tolerance to low-temperature stress [12], and transgenic Nicotiana tabacum overexpresses the Triticum aestivum aquaporin gene TaAQP7 (PIP2), showing increased cold and drought tolerance [13,14]. When Oryza sativa is exposed to low temperatures over a long period, it increases the expression of OsPIP2;5 to enhance root hydraulic conductivity (Lpr), thereby mitigating the impact of the cold stress on roots [15]. Studies indicate that plants such as O. sativa [16], M. nana [12,17,18], T. aestivum [13,19], and Sorghum bicolor [20] enhance their cold tolerance by increasing or suppressing the expression of related aquaporin genes under low-temperature stress, with many of the cold-stress-related aquaporin genes being PIP genes.
Catalpa bungei, a large deciduous tree in the Bignoniaceae family, is a traditional and precious native tree species unique to China, mainly used for wood processing and landscape greening, historically referred to as the “King of Woods” [21]. Due to its poor cold tolerance, low temperatures significantly limit its cultivation scope in China. This study aims to identify the aquaporin gene family of C. bungei (CbAQP), analyze their expression patterns, and investigate the changes in the expression of the CbAQP gene family during different cold stress periods, selecting candidate aquaporin genes responsive to low-temperature stress. The results of this study lay the foundation for further research into the biological functions of candidate aquaporin genes related to the cold resistance of C. bungei, provide a theoretical basis for improving the quality of C. bungei seedlings and cold-resistant breeding, and expanding its distribution range to the south and north.

2. Material and Method

2.1. Experimental Materials and Treatments

In this study, “Qiuza 1”, with less cold tolerance, and “Qiuza 2”, with more cold tolerance, were used as experimental materials. These were supplied by Henan Agricultural Science Garden Horticultural Technology Co., Ltd. (Zhengzhou, China) (34°79′ N, 113°68′ E). The plant materials were formally identified by Lou Changcheng, a senior agronomist at the Henan Academy of Agricultural Sciences, and subsequently authenticated by Professor Zhang Gang from Hebei Agricultural University. The experimental materials were seedlings that had been cultured in vitro for three months and then potted and normally managed for three months. The seedlings were maintained in the artificial climate room at the West Campus of Hebei Agricultural University (Baoding, China, 38°50′ N, 115°26′ E).
Uniformly growing seedlings of “Qiuza 1” and “Qiuza 2” were selected for acclimatization culture for 7 days under conditions of 25 °C (day)/17 °C (night) and 16 h (day)/8 h (night). Subsequently, they were moved to a 4 °C artificial climate chamber for 24 h, with the time point of 0 h serving as the control. Three replicates were set up for the experiment. Observations of the morphological changes in the plants at different periods of low-temperature stress were made, with photographs taken for records. Transcriptome sequencing was performed on fully expanded leaves from the middle part of the plants at 0 h, 6 h, 12 h, and 18 h.

2.2. Transcriptome Sequencing and Analysis

2.2.1. RNA Extraction

The young leaves of “Qiuza 1” and “Qiuza 2” were selected. After washing the leaves, the samples were immediately placed into liquid nitrogen and stored in a −80 °C ultra-low temperature freezer in preparation for transcriptome sequencing. The RIN value of the samples used for sequencing was more than 7. Total RNA was extracted using the OminiPlant RNA Kit (DNase I) reagent kit, synthesized by Kangwei Century (Beijing, China).

2.2.2. Complementary DNA (cDNA) Library Construction

Eukaryotic mRNA was enriched using magnetic beads with Oligo (dT). Subsequently, the mRNA was fragmented using a fragmentation buffer. Using mRNA as a template, single-stranded cDNA was synthesized with random hexamers. Next, buffer, deoxy-ribonucleoside triphosphate (dNTPs), DNA polymerase I, and Ribonuclease (RNase) H were added to synthesize double-stranded cDNA, followed by purification of the double-stranded cDNA using AMPure XP beads. The purified double-stranded cDNA underwent end repair, A-tailing, and adapter ligation, followed by size selection using AMPure XP beads. Polymerase chain reaction (PCR) amplification was performed, and the PCR products were purified using AMPure XP beads to obtain the final library. Upon completion of library construction, preliminary quantification was performed using Qubit 2.0. Subsequently, the library was diluted, and the insert size of the library was checked. Once the insert size met expectations, the effective concentration of the library was quantified using Q-PCR (library effective concentration > 2 nM) to ensure library quality.

2.2.3. Transcriptome Data Analysis

Paired-end sequencing of the library was performed on the Illumina NovaSeq 6000 system at Tianjin Novogene Biotechnology Co., Ltd., (Tianjin, China); each read was 300 base pairs long.

2.2.4. Transcriptome Data Analysis

The raw image data generated by the sequencer was converted into sequence data, known as raw data, through base calling. Raw data underwent data processing, including removal of adaptor sequences, exclusion of reads with an N content greater than 10%, or removal of reads containing a substantial proportion of low-quality sequences (where bases with a quality value (Q) less than five accounted for more than 50% of the entire read), resulting in clean reads.
All transcriptome data were assembled using Trinity-v2.4.0 software with the following command and parameters: “Trinity --seqType fq --max_memory 300 G --left file_1.fq --right file_2.fq --CPU 50 --full_cleanup --KMER_SIZE 30 --min_kmer_cov 5”. In genes with multiple transcripts, the longest transcript sequence was used as the basis for calculating expression levels. RNA-Seq by Expectation Maximization (RSEM) was employed for transcript abundance calculation, with Transient Multimon Manager (TMM) utilized as the method for inter-sample normalization.

2.3. Identification and Physicochemical Analysis of the Gene Family

Thirty-five aquaporin protein gene sequences from Arabidopsis thaliana and six X intrinsic proteins (XIP) aquaporin protein genes from Populus were downloaded from NCBI (https://www.ncbi.nlm.nih.gov/ (accessed on 6 June 2020)) and used as query sequences [22]. These sequences were then subjected to blast homology analysis against the Chinese C. bungei transcriptome dataset to identify the CbAQP gene family. The screened CbAQP gene family protein sequences were further subjected to physicochemical analysis using the online software ExPASy (https://web.expasy.org/protparam/ (accessed on 7 July 2022)), including analysis of amino acid count, molecular weight, theoretical pI (isoelectric point), aliphatic index, and grand average of hydropathicity (GRAVY).

2.4. Construction of Phylogenetic Trees for the CbAQP Gene Family

Candidate genes were subjected to multiple sequence alignment using the E-INS-I mode of the online software MAFFT v7.487 (https://www.ebi.ac.uk/Tools/msa/mafft/ (accessed on 13 July 2022)), followed by necessary manual adjustments. The TBTOOLS 2.019 software [23] was utilized to construct phylogenetic trees for the CbAQP gene family and for both the CbAQP genes and cold-stress-related aquaporin protein genes. Default parameters were set, and the online software iTOL (https://itol.embl.de/ (accessed on 20 July 2022)) was employed for the beautification of the phylogenetic trees.

2.5. Conserved Motif Analysis

The conserved motifs of the CbAQP gene family were analyzed using the online analysis tool MEME V4.11.3 (https://meme-suite.org/meme/tools/meme (accessed on 30 July 2022)) with default parameters. The output includes motif sequences, positions, widths, and the E-value for each motif.

2.6. Analysis of Gene Expression Patterns

The gene expression patterns of the CbAQP gene family were constructed using the MeV software V4.9.0 [24]. Differential gene expression analysis was conducted on “Qiuza 1” and “Qiuza 2” under different durations of cold stress to preliminarily screen candidate genes.

2.7. Validation of CbAQP Gene Family via Real-Time Quantitative PCR

2.7.1. RNA Extraction and cDNA Synthesis

RNA extraction was performed following the method described in Section 2.2.1. Total RNA from C. bungei leaves treated at different durations of cold stress was extracted using the OmniPlant RNA Kit (DNase I) reagent kit. For RNA reverse transcription, the UEIris II RT-PCR System for First-Strand cDNA Synthesis (with dsDNase) reagent kit, synthesized by Suzhou Yuheng (Suzhou, China) Biotechnology Co., Ltd., was used. The protocol was followed as per the manufacturer’s instructions.

2.7.2. Fluorescent Quantitative RT-qPCR Primer Design

Primers for RT-qPCR were designed using the online software Primer3 Plus (https://www.bioinformatics.nl/cgi-bin/primer3plus/primer3plus.cgi (accessed on 8 August 2022)). The primers were synthesized by Shenggong (Shanghai, China) Biotechnology Co., Ltd. The C. bungei Cbuactin [25] gene was selected as the internal reference gene. Primer information is provided in Table 1.

2.7.3. RT-qPCR Reaction System and Reaction Conditions

According to the instructions for AugeGreenTM qPCR Master Mix, detection was performed using the QuantStudio 5 Real-Time PCR System (Sourced by Thermo Fisher Scientific, Waltham, MA, USA). The configuration of the reaction mixture and the reaction program are shown in Table 2.
Each sample was set up with 3 technical replicates and 3 biological replicates. The results were calculated using the 2−ΔΔCT method to determine gene expression levels.

3. Results

3.1. External Morphological Changes in Two C. bungei Varieties during Cold Stress

Prior to cold stress (0 h), the leaves of both varieties were fully expanded (Figure 1(A1,A2)). However, after exposure to 4 °C cold stress, notable differences were observed. In “Qiuza 1”, leaf margins began to curl upwards at 9 h of stress (Figure 1(D1)), which is a characteristic of injury, followed by a slight downward inclination at 12 h (Figure 1(E1)) is characterized by severe injury. On the other hand, “Qiuza 2” showed leaves curling upwards at 6 h of stress (Figure 1(C2)), with a slight downward bending observed at 24 h (Figure 1(G2)). These morphological alterations suggest varying responses to cold stress between the two C. bungei varieties.

3.2. Identification and Basic Information Analysis of the CbAQP Gene Family

Based on the analysis of the model plant A. thaliana aquaporin protein family and six XIP aquaporin protein genes from Populus (Table 3), fifteen candidate C. bungei aquaporin protein genes were identified (Table 4). The gene ID of C. bungei is renamed based on the homology with A. thaliana (At), O. sativa (Os), and P. trichocarpa (Pt) (Table 5). According to sequence alignment and characterization of related proteins (Table 4), the physicochemical properties of CbAQP family revealed differences. The amount of amino acid of CbAQP family sequences ranged from 144 to 340. The molecular weight of CbAQP family sequences ranged from 16,333.32 to 37,487.66 Da. The theoretical pI of CbAQP family sequences ranged from 5.06 to 10.53, with 11 out of 15 CbAQP having a theoretical pI greater than 7.5. The aliphatic index of CbAQP family sequences ranged from 90.04 to 125.00.

3.3. Phylogenetic Analysis of the CbAQP Gene Family

The CbAQP gene family comprises 15 members that form 5 subfamilies, namely PIPs, TIPs, NIPs, SIPs, and XIPs (Figure 2). The number of members in each subfamily is 5, 4, 3, 2, and 1, respectively. The distribution of subfamily members in the CbAQP gene family closely mirrors the proportions observed in other plant species, showing a gradual decrease in member numbers (Table 6).
In this study, a phylogenetic tree was constructed (Figure 3) based on 35 aquaporin protein genes from A. thaliana (At), 35 aquaporin protein genes from O. sativa (Os), 6 aquaporin protein genes from P. trichocarpa (Pt), 15 candidate CbAQP genes, and other plant aquaporin genes related to cold stress. According to the current findings, it was observed that cold-stress-related aquaporin protein genes in M. nana and G. hirsutum were predominantly distributed in the PIPs subfamily [12,29], while those in A. thaliana [11,31], O. sativa [16,32], Hordeum vulgare, and Brassica rapa [33] were all distributed in the PIPs subfamily.

3.4. Conserved Motif Analysis of the CbAQP Gene Family

Among the 15 candidate CbAQP genes, 12 major conserved motifs were identified (Table 7). The distribution of conserved motifs in the 15 candidate CbAQP genes is illustrated in Figure 4. The CbAQP gene family demonstrates homogeneity, with most subfamilies, such as PIPs, TIPs, NIPs, and XIPs containing motif 1 and motif 2. Additionally, motif 10 is present in members of the TIPs and SIPs subfamilies. Each subfamily also contains its unique yet similar conserved motifs: members of the PIPs subfamily contain motif 7, members of the TIPs subfamily contain motif 3 and motif 4, and members of the SIPs subfamily contain motif 8 and motif 10.
According to the research, it is known that currently, many AQP genes related to cold stress contain common gene sequence fragments (Appendix A and Appendix B), such as IAEFXXT, GIAW, GGMI, LVYCTAG, SGGHINPAVT, and GTFVLVYTVF. IAEFXXT exists in motif5, GIAW and GGMI in motif 6, VYCTAG and SGGHINPAVT in motif 1, and GTFVLVYTVF in motif 2. These motifs are distributed in various subfamilies of the AQP gene family, among which motif 6 only exists in the PIPs subfamily.

3.5. The Analysis of Expression Patterns of CbAQP Genes

The study examined the expression levels of 15 AQP genes in the two cultivars “Qiuza 1” and “Qiuza 2” under low-temperature stress at 0 h, 6 h, 12 h, and 18 h. It was found that three AQP genes, CbTIP1;1, CbTIP1;2, and CbSIP2;1, showed no expression in both cultivars. Therefore, further analysis was conducted on the expression levels of the remaining 12 aquaporin genes (Figure 5).
In “Qiuza 1” (Figure 5, A0, A6, A12 and A18), the expression of 12 genes was clustered into two branches. One branch consists of CbNIP6;1, CbNIP5;1, and CbTIP2;1, which overall show a trend of decreasing gene expression levels with the extension of cold stress duration. The other branch exhibits an overall increase in expression levels as the cold-stress duration extends and is further divided into three sub-branches. The first sub-branch, represented by CbXIP3;1, shows a gradually increasing trend in expression levels, with a significant rise at 12 h and peaking at 18 h with a value of 3.44. The second sub-branch, including CbPIP2;6, CbPIP1;4, CbPIP1;3, and CbSIP2;2, overall reaches its highest expression level of 8.54 at 6 h of cold stress, followed by a gradual decrease in expression levels over time, yet the subsequent levels remain significantly higher than that of the control. The third sub-branch, containing CbPIP2;5, CbTIP4;1, CbPIP1;2, and CbNIP2;1, shows a trend where the expression levels peak at 6 h of cold stress, decrease at 12 h, and then increase again at 18 h. Genes CbPIP1;2, CbNIP2;1, and CbXIP3;1, among those with overall increasing expression levels, all have higher expression levels at 18 h compared to 6 h, with the high expression occurring later in time. Notably, CbNIP2;1 shows a 27.93% increase in expression level at 18 h over 6 h, and gene CbXIP3;1 is the only AQP gene exhibiting a continuous upward trend.
In “Qiuza 2” (Figure 5, B0, B6, B12 and B18), the expression of 12 Catalpa genes was clustered into two branches. One branch consists of CbPIP2;5, CbPIP1;3, CbTIP2;1, CbNIP5;1, and CbNIP6;1, which overall show a transition from high to low gene expression levels as the cold stress progresses. This branch is further divided into two sub-branches. The first sub-branch, including CbTIP2;1, CbNIP5;1, and CbNIP6;1, has a consistent expression pattern where each exhibits high expression prior to cold stress, with expression levels gradually decreasing as the cold stress duration extends. The second sub-branch, composed of CbPIP2;5 and CbPIP1;3, shows a trend of initial increase followed by a decrease in expression levels. They maintain relatively low expression levels before the cold stress, experience an increase in expression at 6 h of the cold stress, and then rapidly decrease to levels below that of the control as the cold stress continues. At 18 h, there is a slight increase in expression, but levels remain below that of the control.
The other branch includes CbTIP4;1, CbNIP2;1, CbXIP3;1, CbPIP2;6, CbPIP1;4, CbPIP1;2, and CbSIP2;2. Overall, as the duration of cold stress extends, the expression levels show a trend of initially increasing and then decreasing, with peak expression levels for most occurring at 6 h. Exceptionally, CbNIP2;1 exhibits a different expression pattern, with its peak expression level appearing at 12 h. This branch is further divided into two sub-branches. The first sub-branch comprises CbTIP4;1 and CbNIP2;1. CbTIP4;1 reaches its peak expression level at 6 h, whereas CbNIP2;1 peaks at 12 h. The second sub-branch, consisting of CbPIP2;6, CbPIP1;4, CbPIP1;2, CbSIP2;2, and CbXIP3;1, all exhibit peak expression levels at 6 h of cold stress.
From the perspective of expression levels, CbTIP4;1 exhibits the most significant difference between “Qiuza 1” and “Qiuza 2”. At 0 h, the expression level in “Qiuza 2” was already seven times higher than in “Qiuza 1”. In “Qiuza 2”, the expression level at 6 h of cold stress increases by 1.85 times compared to 0 h, then slightly decreases at 12 h, and by 18 h, it is only 24.33% higher than the expression at 0 h. In contrast, in “Qiuza 1”, the expression level of CbTIP4;1 at 6 h of cold stress is 14.79 times that of 0 h. However, at 12 h, the expression level dramatically decreases to 4.95 times that of 0 h, and then at 18 h, it sharply rises again, reaching 13.8 times the expression level at 0 h.
Through the analysis of the relative expression patterns of aquaporin proteins in “Qiuza 1” and “Qiuza 2” (Figure 5), as well as the phylogenetic and cold-stress-related analysis of AQP (Figure 3), this study has identified 12 catalpa AQP genes that respond to cold stress. These genes are CbPIP1;3, CbPIP2;6, CbPIP2;5, CbPIP1;2, CbPIP1;4, CbTIP2;1, CbTIP4;1, CbNIP5;1, CbNIP2;1, CbNIP6;1, CbSIP2;2, and CbXIP3;1.

3.6. Validation of CbAQP Candidate Genes’ Expression in Response to Cold

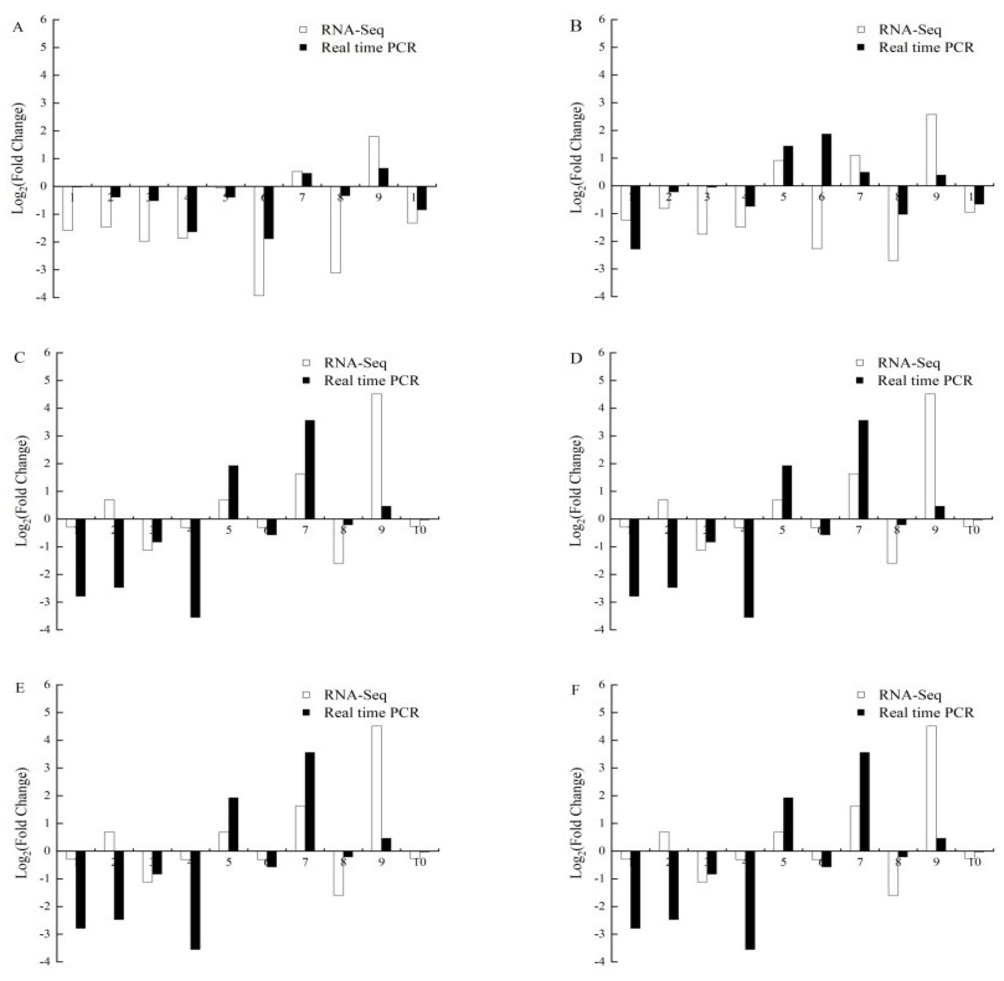
To verify the accuracy of RNA-seq data, RT-qPCR validation was conducted on 10 selected C. bungei candidate differentially expressed genes, with primer information provided in Table 1. As illustrated in Figure 6, although there were minor differences in the fold change of individual genes between RT-qPCR results and RNA-seq data, the overall trends of upregulation or downregulation in expression were consistent between the two methods. Furthermore, correlation analysis between RT-qPCR results and RNA-seq data revealed a very high correlation in the relative expression trends of 9 genes with the results obtained from RNA-seq sequencing (“Qiuza 1”: R2 = 0.7156; “Qiuza 2”: R2 = 0.7825). This indicates that the transcriptome sequencing results are highly accurate. The comparison of results between the two methods is shown in Figure 7.

4. Discussion

Leaves are highly sensitive and adaptable to environmental changes during plant evolution [34]. Their external morphology can intuitively and rapidly reflect the growth status of the plant and its sensitivity to adversity [35]. Low temperatures disrupt the normal physiological metabolism of plants, affecting the transport of water between cells, resulting in symptoms such as leaf curling and wilting due to dehydration. In this study, under cold stress, the external morphology of the leaves of the less cold-tolerant “Qiuza 1” exhibited damage symptoms later than the more cold-tolerant “Qiuza 2”. However, as the duration of cold stress increased, “Qiuza 1” showed severe damage symptoms earlier than “Qiuza 2”. This suggests that “Qiuza 1” has weaker cold tolerance compared to “Qiuza 2” under prolonged cold conditions. This characteristic of delayed initial damage but earlier severe damage under prolonged cold treatment is inconsistent with the weak cold tolerance observed by Huang et al. [36] and Wei [37]. This may indicate that C. bungei has a unique mechanism in response to cold tolerance.
In vertebrates, there are approximately 11 to 13 AQPs, and the number of AQPs in most plants ranges from 30 to 50 [38]. Although the number of genes encoding aquaporin proteins in C. bungei is relatively small, the overall distribution ratio of aquaporin protein genes within subfamilies is consistent with A. thaliana. Through transcriptome sequencing, this study identified 15 aquaporin protein genes in C. bungei, which can be classified into 5 subfamilies: PIPs, TIPs, NIPs, SIPs, and XIPs. The specific number of CbAQP gene family members awaits further validation through genome sequencing.
In the evolution of plants, XIP genes are prone to events such as substitution of Ar/R selective filtering sites, insertion and loss of the C loop, and loss of introns [30]. Currently, XIP subfamilies are absent in monocotyledonous plants such as O. sativa, Zea mays, and S. bicolor, as well as in some dicotyledonous plants like A. thaliana. However, XIP subfamilies are present in dicotyledonous plants such as P. trichocarpa, G. hirsutum, and C. sativus (Table 3). This study found that a XIP gene also exists in dicotyledonous C. bungei, suggesting that XIP subfamilies may only exist in dicotyledonous plants in the plant kingdom. Evolutionary analysis indicates that CbAQPs have a closer relationship with AQPs in A. thaliana than with those in O. sativa, which is consistent with the current view of the differentiation between monocotyledons and dicotyledons in plant evolution [39].
The study found that PIPs exhibit high selectivity in transporting substrates and play an important role in maintaining the water balance in plant cells. Whether plant plasma membrane aquaporin proteins can accurately locate to the plasma membrane determines their ability to function as water channel proteins. Among the 12 cold-related genes screened in this study, 5 belong to the PIPs subfamily, indicating that the water balance in C. bungei under low-temperature stress mainly relies on the PIPs subfamily of aquaporin proteins. This result is consistent with previous research findings on aquaporin proteins responding to low-temperature stress [40]. What sets this study apart from other research is that genes in the NIPs and TIPs subfamilies of the CbAQP gene family also respond to low-temperature stress.
When plants are subjected to low-temperature stress, the water balance within the plant is disrupted. Aquaporin protein, as a key factor in transmembrane water transport, actively responds to low-temperature stress. However, the response pattern of plant aquaporin proteins may vary depending on the species, organ, and subfamily, indicating that aquaporin proteins may have different functions within plants. Seong et al. [11] found that overexpression of PIP2;5 in A. thaliana resulted in increased tolerance to low temperatures in stems, leaves, and roots compared to wild-type plants. Matsumoto et al. [32] chemically treated O. sativa to abolish its cold resistance and found that PIP1 was closely associated with the plant’s cold resistance.
Under 4 °C low-temperature treatment conditions, overexpression of OsPIP1;3 can enhance the cold resistance of O. sativa [41]. Researchers have also found that although the water permeability of PIP1;3 is lower than that of OsPIP2;2 and OsPIP2;4, co-expression of PIP1;3 with either OsPIP2;2 or OsPIP2;4 significantly enhances the water permeability of OsPIP2;2 or OsPIP2;4. Interaction between PIP1 and PIP2 in O. sativa significantly enhances the plant’s cold resistance. After low-temperature stress treatment, overexpression of the MusaPIP1;2 gene in M. nanas improves resistance to various stresses, including low-temperature stress [17]. Overexpression of MaPIP2;7 reduces the levels of malondialdehyde (MDA) and ion leakage in plants while increasing the levels of chlorophyll, proline, soluble sugars, and abscisic acid (ABA), thereby enhancing tolerance to various stresses such as cold [18]. Overexpression of genes such as TaAQP7 (PIP2), MaSIP2;1, and OsPIP2;7 regulates osmotic balance in plants, reduces membrane damage and oxidation, and enhances cold tolerance by regulating levels of hormones such as ABA and GA.
Based on the CbAQP genes and cold-stress-related aquaporin genes (Figure 4), the CbAQP gene CbPIP2;5 shows the highest similarity to the A. thaliana aquaporin AtPIP2;5. Jang et al. found that AtPIP2;5 is the main aquaporin responding to low-temperature stress when overexpressed in A. thaliana and N. tabacum [42]. In both A. thaliana and N. tabacum subjected to low-temperature stress, the expression of PIP2;5 was highly induced on the first day of low-temperature stress (compared to days 1, 7, and 14), followed by a gradual decrease in expression during continued low-temperature stress. The expression pattern of the CbAQP gene CbPIP2;5 is highly consistent with that of AtPIP2;5, suggesting that CbPIP2;5 plays a crucial role in response to low-temperature stress in CbAQP. Comparing the expression levels of CbPIP2;5 in the two CbAQP varieties at the same stage, it was found that the expression level of CbPIP2;5 in the less cold-resistant variety “Qiuza 1” was significantly higher than that in the more cold-resistant variety “Qiuza 2” when facing low-temperature stress. This indicates that to maintain water homeostasis within the plant, CbAQP upregulates PIP2;5 expression to maintain root water permeability and water transport within the plant, enabling rapid response to low-temperature stress. However, with prolonged exposure to low temperatures, overexpression of PIP2;5 reduces the sensitivity of plant roots to low temperatures, which is not conducive to long-term adaptation of CbAQP to low-temperature environments. In this study, under cold stress, the time at which “Qiuza 1” exhibited upward curling at the leaf edges was later than “Qiuza 2”. However, the time at which “Qiuza 1” showed slight downward leaf curling was earlier than “Qiuza 2”. These changes in external morphology were consistent with the expression patterns and functions of CbPIP2;5. Overexpression of the T. aestivum aquaporin gene TdPIP2;1 effectively enhances T. aestivum’s stress resistance [43], while increased expression of OsPIP2;5, OsPIP2;8, OsPIP2;3, and OsPIP2;7 in O. sativa effectively enhances its cold resistance [15], which is consistent with the short-term cold stress response observed in CbAQP.
The CbAQP gene CbPIP1;2 belongs to the PIPs subfamily and shows the highest similarity to the A. thaliana AQPs AtPIP1;4 and AtPIP1;5. It is reported that AtPIP1;4 exhibits a certain functional synergy with AtPIP2;5 and affects root water permeability by upregulating expression [11]. AtPIP1;4 also demonstrates higher sensitivity to low temperatures, and its overexpression can maintain the high water permeability of cells. CbPIP1;2 exhibits peak expression at 18 h of low-temperature stress in the less cold-resistant “Qiuza 1”, while in the more cold-resistant “Qiuza 2”, peak expression occurs at 6 h of low-temperature stress. The delayed peak expression in “Qiuza 1” suggests that “Qiuza 2” responds more rapidly to low temperatures. Additionally, the expression level of CbPIP1;2 in “Qiuza 1” shows a fluctuating upward trend, indicating that prolonged periods of high water permeability may lead to increased vulnerability to damage during the later stages of low-temperature stress.
The CbAQP gene CbTIP4;1 belongs to the TIPs subfamily, which is an important subfamily of plant aquaporins. Overexpression of the ginseng PgTIP gene in A. thaliana significantly alters nutrient growth and reproductive development and reduces resistance to low-temperature stress. When facing low-temperature stress, the expression level of CbTIP4;1 in “Qiuza 1” significantly increases, far exceeding that in “Qiuza 2”. Therefore, we believe that the high expression of CbTIP4;1 may reduce the cold resistance of C. bungei. In low-temperature environments, plant tissues usually freeze due to heterogeneous ice nucleation occurring extracellularly [44]. Because the water potential of ice is lower than that of water, the cell sap moves out of the cell along the gradient, leading to cell dehydration. It can be speculated that plant cold resistance should include mechanisms to resist cell dehydration induced by freezing. The downregulation of TIPs may be part of this strategy. Therefore, the overexpression of TIPs in plant cells may reduce the cold resistance of plants.
The CbAQP CbNIP2;1 belongs to the NIPs subfamily, and there are few reports on the response of the NIPs subfamily to low-temperature environments in plants. Based on the family properties of Nodulin26 intrinsic membrane protein of NIPs, we speculate that the CbNIP2;1 gene may affect the absorption and release of metal ions by plant cell ion channels, thereby affecting the concentration of solutes in plant cells and changing the ion concentration of plant cells in low-temperature environments. CbNIP2;1 peaks in expression at 6 h and 12 h in “Qiuza 1” and “Qiuza 2”, respectively, with overall expression levels in “Qiuza 2” significantly higher than in “Qiuza 1” (p < 0.05). This result is consistent with Verma’s study in O. sativa [45], indicating that the high expression level of CbNIP2;1 helps to improve plant cold resistance. However, further research is needed to determine how CbNIP2;1 specifically affects plant ion channels.
In this study, by comparing the CbAQP genes with other reported cold-related aquaporin genes and analyzing the changes in CbAQP during four periods of low-temperature stress, we identified the specific expression patterns of individual members of this gene family during low-temperature stress. Among the 15 CbAQP genes, we found 12 CbAQP genes responsive to low-temperature stress, including 5 in the CbPIPs subfamily, 2 in the CbTIPs subfamily, 3 in the CbNIPs subfamily, 1 in the CbSIPs subfamily, and 1 in the CbXIPs subfamily. Based on reported sequences related to cold stress, we found that the sequences CIAW and GGMI in motif 6 are unique to the CbAQP PIPs subfamily, suggesting that these two gene sequences may not be key sequences in the response of CbAQP to low-temperature stress. The motifs IAFEXXT, SGGHINPAVT, and GTFVLVYTVF are distributed in motifs 1 and 2, and motifs 1 and 2 are simultaneously present in the PIPs, TIPs, and NIPs subfamilies of CbAQP. We speculate that these gene sequences may play a role when C. bungei faces low-temperature stress. Upon analyzing the gene sequences of CbTIP4;1, CbNIP2;1, CbPIP1;2, and CbPIP2;5, we found that the sequences IXEXIAT and EIXXTF are highly conserved among AQPs in different subfamilies. Therefore, we speculate that these two gene sequences may play a key role when C. bungei faces low-temperature stress. The absorption and transportation of water by plant roots directly depend on the transcriptional regulation of aquaporins and other factors that change the permeability of cell membranes to water. Facing low-temperature stress, C. bungei regulates the expression levels of AQP genes and the corresponding protein activities to adjust the water permeability of roots, thereby maintaining water balance within the plant and ensuring normal physiological activities.

5. Conclusions

This study was the first to investigate the expression of aquaporin protein genes in two C. bungei varieties with different cold resistance under low-temperature stress. In total, 15 aquaporin protein genes were identified and classified into 5 subfamilies, including 5 PIPs, 4 TIPs, 3 NIPs, 2 SIPs, and 1 XIPs, based on phylogenetic analysis. Conservation analysis of conserved motifs revealed that the PIPs, TIPs, and NIPs subfamilies in the CbAQP gene family maintain high conservation during evolution. We identified 12 cold-responsive genes in the CbAQP gene family under low-temperature stress. Among these 12 genes, four were found to be actively related to low-temperature stress in C. bungei. These genes are CbPIP2;5, CbPIP1;2, CbTIP4;1, and CbNIP2;1. These four CbAQP genes may play crucial roles in C. bungei responses to low-temperature stress. The results of this study provide a foundation for future research on the functional validation and molecular regulatory mechanisms of candidate genes. Additionally, these findings offer a theoretical basis for improving the quality of C. bungei seedlings, enhancing cold-resistant genetic breeding, and expanding its distribution range to the south and north.

Author Contributions

T.L., J.Z., S.N., J.Q. and B.D. designed the experiments. T.L., J.Z., H.Z., Z.C., T.M. and Y.M. performed the experiments and collected the data. T.L., J.Z., S.N., J.Q. and Z.C. analyzed the data. T.L. wrote the manuscript. S.N., J.Q. and B.D. revised the manuscript. All authors have read and agreed to the published version of the manuscript.

Funding

This research was supported by Hebei Agriculture Research System (HBCT2024200404) and Hebei Province key research and development plan project tasks (22326510D).

Data Availability Statement

The original data presented in the study are openly available in (National Center for Biotechnology Information) at (PRJNA1110610).

Conflicts of Interest

All the authors declare no conflicts of interest.

Appendix A

Table A1. Fifty conserved motif data (note: “motif sequences” refer to the protein motifs characterized by specific amino acid sequences within the AQP library. “Sites” denote the frequency of these motifs within the library. “Width” indicates the span of the motif in terms of amino acids. The “E value” represents the statistical significance of the motif, with lower E values indicating higher reliability of the results).
Table A1. Fifty conserved motif data (note: “motif sequences” refer to the protein motifs characterized by specific amino acid sequences within the AQP library. “Sites” denote the frequency of these motifs within the library. “Width” indicates the span of the motif in terms of amino acids. The “E value” represents the statistical significance of the motif, with lower E values indicating higher reliability of the results).
Motif TypeMotif SequencesSitesWidthE-Value
Motif1DKDYKDPPPAPLFDPGELKSWSFYRAGIAEFIATLLFLYVTVLTVIGYKR68503.4 × 10−2729
Motif2KGFQKSYYQRLGGGANTVADGYSKGTGLGAEIIGTFVLVYTVFSATDPKR70502.4 × 10−2726
Motif3PIGFAVFLVHLATIPITGTGINPA141241.8 × 10−1766
Motif4GISGGHINPAVTFGL131151.0 × 10−1304
Motif5WDDHWIFWVGPFIGA135151.9 × 10−1229
Motif6APNMCAGVGILGIAWAFGGMIFALVYCTA65296.7 × 10−1420
Motif7RAVLYIVAQCLGAIC140153.8 × 10−1036
Motif8QALVMEIIITFGLMFVVYAVATDPRAGGELAG67326.5 × 10−903
Motif9RSLGPAVIYNK132112.6 × 10−639
Motif10AEFYHTFVLRFAGCK133151.8 × 10−624
Motif11RDSHVPVLAPL69111.1 × 10−565
Motif12MEGKEEDVRVGANKFPERQPI29214.3 × 10−481
Motif13LTNGGAGGPVGLVGIAVAHGLAVFVMVYS59292.3 × 10−411
Motif14FLARKVSL7081.1 × 10−312
Motif15TLRLLFGLDNDVCSGKHDVFVGSSPSGSD11291.4 × 10−180
Motif16ACLLLKFATGGLAVP27153.5 × 10−119
Motif17MAKEVEEEGGG48115.9 × 10−97
Motif18SGAWVYNFIRFTDKPLREITK18211.5 × 10−91
Motif19LGSFRSNA3282.8 × 10−83
Motif20GLAGLIYEDVFIGSY27156.1 × 10−76
Motif21MRKIALGSPGEAFSPDSJKAY22214.3 × 10−94
Motif22PRPLKKQDSLPLVSVPFLQKL10215.5 × 10−73
Motif23ASSRRFPW3486.2 × 10−73
Motif24ASFALKGLLHPIMSGGVTVPS14213.4 × 10−69
Motif25GALALKAVVNSEIEQTFSLGGCTLTYYA5416.2 × 10−56
Motif26SFNPLGAAAFYVAGVFSDSJFSLAIRIPAQAIGAAGGAITIMEVIPEKYK5507.5 × 10−43
Motif27VGIVLGLLVFYSTTVTATKGYAAGLNP7291.4 × 10−42
Motif28KLSSFKLRRJQSQDMASPLNV11213.2 × 10−44
Motif29GTSAQS2666.6 × 10−30
Motif30SRSNTRPNYSNEIHDIDVVTAQT5231.2 × 10−26
Motif31KGNCKDSQGGMETAICSSPSIVCLTQKLI3294.5 × 10−26
Motif32HEQLPTTD1485.9 × 10−26
Motif33AVGGHITL2482.4 × 10−24
Motif34MGRIKLVVGDLVISFMWVWASALVGIQVH7294.1 × 10−20
Motif35AAWLFRVIFPPPPPEQKKQKK6212.6 × 10−19
Motif36IGVLTYRSISLKTRPCPSPVSPSVSSLLR3298.3 × 10−21
Motif37MDDISVSKSNHGNVVVLNIKASSLADTSL3292.7 × 10−24
Motif38LLHRKSLKELFPPFLLRKVY7202.5 × 10−19
Motif39ASLTLRLMFGGTPEAFFGTTP7213.3 × 10−17
Motif40IVISTIETQTKTPNL9151.1 × 10−13
Motif41GWAYAYGSHNT6113.9 × 10−11
Motif42DEESLYSGNKIQPFATTP4185.0 × 10−11
Motif43YGVNADIMATKPALSCVSAFF3212.6 × 10−12
Motif44NQNYFICSSPTDINGKCNVTC2216.5 × 10−11
Motif45PSLQVGVHHGAJSEGILSF6191.1 × 10−10
Motif46QSDPTVNT783.0 × 10−9
Motif47YTKIIPRQLSHTIE5143.5 × 10−9
Motif48LHCGPHQNLGN3113.2 × 10−9
Motif49CCSCCSLPRDSHQSHPFQVQD2214.4 × 10−9
Motif50GFSRTDPSGEIVRYLFSIISMFIFAYLQQ3296.3 × 10−8

Appendix B

Figure A1. Fifty conserved motif data.
Figure A1. Fifty conserved motif data.
Forests 15 01063 g0a1

References

  1. Obroucheva, N.V.; Sin’kevich, I.A. Aquaporins and cell growth. Russ. J. Plant Physiol. 2010, 57, 153–165. [Google Scholar] [CrossRef]
  2. Henzler, T.; Waterhouse, R.N.; Smyth, A.J.; Carvajal, M.; Cooke, D.T.; Schaeffner, A.R.; Steudle, E.; Clarkson, D.T. Diurnal variations in hydraulic conductivity and root pressure can be correlated with the expression of putative aquaporins in the roots of Lotus Japonicus. Planta 1999, 210, 50–60. [Google Scholar] [CrossRef]
  3. Kaldenhoff, R.; Fischer, M. Aquaporins in plants. Acta Physiol. 2006, 187, 169–176. [Google Scholar] [CrossRef]
  4. Tamura, K.; Stecher, G.; Kumar, S. MEGA11: Molecular evolutionary genetics analysis version 11. Mol. Biol. Evol. 2021, 7, 3022–3027. [Google Scholar] [CrossRef]
  5. Saja-Garbarz, D.; Libik-Konieczny, M.; Fellner, M.; Jurczyk, B.; Janowiak, F. Silicon-induced alterations in the expression of aquaporins and antioxidant system activity in well-watered and drought-stressed oilseed rape. Plant Physiol. Biochem. 2022, 174, 73–86. [Google Scholar] [CrossRef]
  6. Li, R. Characterization of Aquaporin Genes in Tomato during Drought Stress Ang Fruit Development Process. Ph.D. Thesis, China Agricultural University, Beijing, China, 2015. [Google Scholar]
  7. Ayadi, M.; Cavez, D.; Miled, N.; Chaumont, F.; Masmoudi, K. Identification and characterization of two plasma membrane aquaporins in durum wheat (Triticum turgidum L. subsp. durum) and their role in abiotic stress tolerance. Plant Physiol. Biochem. 2011, 49, 1029–1039. [Google Scholar] [CrossRef]
  8. Chen, J.Z.; Lin, L.R.; Lv, G.A. An index of soil drought intensity and degree: An application on corn and a comparison with CWSI. Agric. Water Manag. 2010, 97, 865–871. [Google Scholar] [CrossRef]
  9. Rodrigues, O.; Reshetnyak, G.; Grondin, A.; Saijo, Y.; Leonhardt, N.; Maurel, C.; Verdoucq, L. Aquaporins facilitate hydrogen peroxide entry into guard cells to mediate ABA- and Pathogen-Triggered stomatal closure. Proc. Natl. Acad. Sci. USA 2017, 114, 201704754. [Google Scholar] [CrossRef]
  10. Maurel, C.; Nacry, P. Root architecture and hydraulics converge for acclimation to changing water availability. Nat. Plants 2020, 6, 744–749. [Google Scholar] [CrossRef]
  11. Lee, S.H.; Chung, G.C.; Jang, J.Y.; Ahn, S.J.; Zwiazek, J. Overexpression of PIP2;5 aquaporin alleviates effects of low root temperature on cell hydraulic conductivity and growth in Arabidopsis. Plant Physiol. 2012, 159, 479–488. [Google Scholar] [CrossRef]
  12. Hu, W.; Hou, X.W.; Huang, C.; Yan, Y.; Tie, W.W.; Ding, Z.H.; Wei, Y.X.; Liu, J.H.; Miao, H.X.; Lu, Z.W.; et al. Genome-Wide identification and expression analyses of aquaporin gene family during development and abiotic stress in Banana. Int. J. Mol. Sci. 2015, 16, 19728–19751. [Google Scholar] [CrossRef]
  13. Huang, C.; Zhou, S.; Hu, W.; Deng, X.; Wei, S.; Yang, G.; He, G. The wheat aquaporin gene TaAQP7 confers tolerance to cold stress in transgenic tobacco. Z. Für Naturforschung C 2014, 69, 142–148. [Google Scholar] [CrossRef]
  14. Zhou, S.; Hu, W.; Deng, X.; Ma, Z.; Chen, L.; Huang, C.; Wang, C.; Wang, J. Overexpression of the wheat aquaporin gene, TaAQP7, enhances drought tolerance in transgenic tobacco. PLoS ONE 2012, 7, e052439. [Google Scholar] [CrossRef]
  15. Tsuneo, K.; Junko, I.; Hidehiro, H.; Kiyoshi, N.; Keiko, F.; Arifa, A.; Katsuko, T.; Maki, K.; Mari, M. Influence of low air humidity and low root temperature on water uptake, growth and aquaporin expression in rice plants. Plant Cell Physiol. 2012, 53, 1418–1431. [Google Scholar] [CrossRef]
  16. Yu, X.; Peng, Y.H.; Zhang, M.H.; Shao, Y.J.; Su, W.A.; Tang, Z.C. Water relations and an expression analysis of plasma membrane intrinsic proteins in sensitive and tolerant rice during chilling and recovery. Cell Res. 2006, 16, 599–608. [Google Scholar] [CrossRef]
  17. Xu, Y.; Li, J.; Song, S.; Liu, J.; Jin, Z. A novel aquaporin gene MaSIP2-1 confers tolerance to drought and cold stresses in transgenic banana. Mol. Breed. 2020, 40, 62. [Google Scholar] [CrossRef]
  18. Xu, Y.; Hu, W.; Liu, J.; Song, S.; Hou, X.; Jia, C.; Jin, Z. An aquaporin gene MaPIP2-7 is involved in tolerance to drought, cold and salt stresses in transgenic banana (Musa acuminata L.). Plant Physiol. Biochem. 2020, 147, 66–76. [Google Scholar] [CrossRef]
  19. Xu, C.; Wang, M.; Zhou, L.; Quan, T.; Xia, G. Heterologous expression of the wheat aquaporin gene TaTIP2;2 compromises the abiotic stress tolerance of Arabidopsis thaliana. PLoS ONE 2013, 8, e79618. [Google Scholar] [CrossRef]
  20. Reddy, P.S.; Rao, T.S.R.B.; Sharma, K.K.; Vadez, V. Genome-wide identification and characterization of the aquaporin gene family in Sorghum bicolor (L.). Plant Gene 2015, 1, 18–28. [Google Scholar] [CrossRef]
  21. Wei, L.B.; Dong, J.H.; Shi, W.J.; Qian, J.; Di, B. Comprehensive Evaluation of Cold Resistance of Four Catalpa spp. Seedlings. Mol. Plant Breed. 2021, 1, 17. Available online: https://kns.cnki.net/kcms/detail/46.1068.S.20211009.1135.002.html (accessed on 2 July 2022).
  22. Lopez, D.; Bronner, G.; Brunel, N.; Auguin, D.; Bourgerie, S.; Brignolas, F.; Venisse, J.S. Insights into Populus XIP aquaporins: Evolutionary expansion, protein functionality, and environmental regulation. J. Exp. Bot. 2012, 63, 2217–2230. [Google Scholar] [CrossRef]
  23. Chen, C.; Chen, H.; He, Y.; Xia, R. TBtools, a Toolkit for Biologists integrating various HTS-data handling tools with a user-friendly interface. BioRxiv 2018. [Google Scholar] [CrossRef]
  24. Saeed, A.I.; Sharov, V.; White, J.; Li, J.; Liang, W.; Bhagabati, N.; Braisted, J.; Klapa, M.; Quackenbush, J. TM4: A free, open-source system for microarray data management and analysis. Biotechniques 2003, 34, 374–378. [Google Scholar] [CrossRef]
  25. Zhao, J.M.; Fan, E.Q.; Liu, Y.; Wang, Z.; Wang, J.H.; Qv, G.Z. Cloning and bioinformatics analysis of CbuATX1, CbuATX1-like and CbuATX2 genes from Catalpa bungei. Bull. Bot. Res. 2022, 42, 47–61. [Google Scholar] [CrossRef]
  26. Quigley, F.; Rosenberg, J.M.; Shachar-Hill, Y.; Bohnert, H. From genome to function: The Arabidopsis aquaporins. Genome Biol. 2001, 3, 97–108. [Google Scholar] [CrossRef]
  27. Sakurai, J.; Ishikawa, F.; Yamaguchi, T.; Uemura, M.; Maeshima, M. Identification of 33 rice aquaporin genes and analysis of their expression and function. Plant Cell Physiol. 2005, 46, 1568–1577. [Google Scholar] [CrossRef]
  28. Zhu, Y.X.; Yang, L.; Liu, N.; Yang, J.; Zhou, X.K.; Xia, Y.C.; He, Y.; He, Y.Q. Genome-wide identification, structure characterization, and expression pattern profiling of aquaporin gene family in cucumber. BMC Plant Biol. 2019, 19, 1–23. [Google Scholar] [CrossRef] [PubMed]
  29. Park, W.; Scheffler, B.E.; Bauer, P.J.; Campbell, B.T. Identification of the family of aquaporin genes and their expression in upland cotton (Gossypium hirsutum L.). BMC Plant Biol. 2010, 10, 142. [Google Scholar] [CrossRef] [PubMed]
  30. Gupta, A.B.; Sankararamakrishnan, R. Genome-wide analysis of major intrinsic proteins in the tree plant Populus trichocarpa: Characterization of XIP subfamily of aquaporins from evolutionary perspective. BMC Plant Biol. 2009, 9, 134. [Google Scholar] [CrossRef] [PubMed]
  31. Rahman, A.; Kawamura, Y.; Maeshima, M.; Rahman, A.; Uemura, M. Plasma membrane aquaporin members PIPs act in concert to regulate cold acclimation and freezing tolerance responses in Arabidopsis thaliana. Plant Cell Physiol. 2020, 61, 787–802. [Google Scholar] [CrossRef]
  32. Matsumoto, T.; Lian, H.L.; Su, W.A.; Tanaka, D.; Liu, C.W.; Iwasaki, I.; Kitagawa, Y. Role of the aquaporin PIP1 subfamily in the chilling tolerance of rice. Plant Cell Physiol. 2009, 50, 216–229. [Google Scholar] [CrossRef]
  33. Kayum, M.A.; Park, J.I.; Nath, U.K.; Biswas, M.K.; Kim, H.T.; Nou, I.S. Genome-wide expression profiling of aquaporin genes confer responses to abiotic and biotic stresses in Brassica rapa. BMC Plant Biol. 2017, 17, 23. [Google Scholar] [CrossRef]
  34. Fei, X.; Guo, W.H.; Xu, W.H.; Wei, Y.H.; Wang, R.Q. Leaf morphology correlates with water and light availability: What consequences for simple and compound leaves? Prog. Nat. Sci. 2009, 19, 1789–1798. [Google Scholar] [CrossRef]
  35. Farooqi, M.Q.U.; Zahra, Z.; Lee, J.K. Molecular genetic approaches for the identification of candidate cold stress tolerance genes. In Cold Tolerance in Plants: Physiological, Molecular and Genetic Perspectives; Wani, S.H., Herath, V., Eds.; Springer International Publishing: Cham, Switzerland, 2018; pp. 37–51. [Google Scholar] [CrossRef]
  36. Huang, Z.; He, J.; Xia, D.; Zhong, X.J.; Li, X.; Sun, L.X.; Cai, S.Z. Evaluation of physiological responses and tolerance to low-temperature stress of four Iceland poppy (Papaver nudicaule) varieties. Plant Interact. 2016, 11, 117–123. [Google Scholar] [CrossRef][Green Version]
  37. Wei, W.J. Identification of Low Temperature Tolerance of Different Spring Cabbage Cultivars. Ph.D. Thesis, Northwest A&F University, Xi’an, China, 2023. [Google Scholar]
  38. Li, Q.Y. Genome-Wide Identification and Transcrriptome Analysis of Aquaporin Gene Family in Nicotiana tabacum. Ph.D. Thesis, Shandong Agricultural University, Taian, China, 2020. [Google Scholar]
  39. Parkin, J. The families of flowering plants. Nature 1926, 117, 478–479. [Google Scholar] [CrossRef]
  40. Kumar, K.; Mosa, K.A.; Meselhy, A.G.; Dhankher, O.P. Molecular insights into the plasma membrane intrinsic proteins roles for abiotic stress and metalloids tolerance and transport in plants. Indian J. Plant Physiol. 2018, 23, 721–730. [Google Scholar] [CrossRef]
  41. Tao, L.; Wang, B.; Xin, S.; Li, W.; Huang, S.; Liu, L.; Cui, J.; Zhang, Q.; Cheng, X. A cluster of mutagenesis revealed an osmotic regulatory role of the OsPIP1 genes in enhancing rice salt tolerance. Crop J. 2023, 11, 1204–1217. [Google Scholar] [CrossRef]
  42. Jang, J.Y.; Lee, S.H.; Rhee, J.Y.; Chung, G.C.; Ahn, S.J.; Kang, H. Transgenic Arabidopsis and tobacco plants overexpressing an aquaporin respond differently to various abiotic stresses. Plant Mol. Biol. 2007, 64, 621–632. [Google Scholar] [CrossRef]
  43. Ayadi, M.; Brini, F.; Masmoudi, K. Overexpression of a Wheat Aquaporin Gene, TdPIP2;1, Enhances Salt and Drought Tolerance in Transgenic Durum Wheat cv. Maali. J. Mol. Sci. 2019, 20, 2389. [Google Scholar] [CrossRef]
  44. Peng, Y.; Lin, W.; Arora, C.R. Overexpression of a Panax ginseng tonoplast aquaporin alters salt tolerance, drought tolerance and cold acclimation ability in transgenic Arabidopsis plants. Planta 2007, 226, 729–740. [Google Scholar] [CrossRef]
  45. Verma, H.; Devi, K.; Baruah, A.R.; Sarma, R.N. Relationship of root aquaporin genes, OsPIP1;3, OsPIP2;4, OsPIP2;5, OsTIP2;1 and OsNIP2;1 expression with drought tolerance in rice. Indian J. Genet. Plant Breed. 2020, 1, 50–57. [Google Scholar] [CrossRef]
Figure 1. Morphological change of leaves of “Qiuza 1” and “Qiuza 2” during the low-temperature stress period (“1” and “2” in the figure denotes “Qiuza 1” and “Quiza 2”, respectively; (AG) represent the low-temperature stress at 4 °C for 0 h, 3 h, 6 h, 9 h, 12 h, 18 h, and 24 h, respectively) (The words on the label in the figure are chinese marks during the experimental processing).
Figure 1. Morphological change of leaves of “Qiuza 1” and “Qiuza 2” during the low-temperature stress period (“1” and “2” in the figure denotes “Qiuza 1” and “Quiza 2”, respectively; (AG) represent the low-temperature stress at 4 °C for 0 h, 3 h, 6 h, 9 h, 12 h, 18 h, and 24 h, respectively) (The words on the label in the figure are chinese marks during the experimental processing).
Forests 15 01063 g001
Figure 2. Phylogenetic analysis of the gene family of CbAQP.
Figure 2. Phylogenetic analysis of the gene family of CbAQP.
Forests 15 01063 g002
Figure 3. Phylogenetic analysis of CbAQP genes and cold-stress-related aquaporin genes.
Figure 3. Phylogenetic analysis of CbAQP genes and cold-stress-related aquaporin genes.
Forests 15 01063 g003
Figure 4. Conserved motif distribution map of CbAQP.
Figure 4. Conserved motif distribution map of CbAQP.
Forests 15 01063 g004
Figure 5. Relative transcript abundance profiles of CbAQP during natural overwintering period (A0, A6, A12, and A18 are the expression level of AQP genes of “Qiuza 1” at low-temperature stress 0 h, 6 h, 12 h, and 18 h, respectively; B0, B6, B12, and B18 are the expression level of AQP genes of “Qiuza 2” at low-temperature stress 0 h, 6 h, 12 h, and 18 h, respectively).
Figure 5. Relative transcript abundance profiles of CbAQP during natural overwintering period (A0, A6, A12, and A18 are the expression level of AQP genes of “Qiuza 1” at low-temperature stress 0 h, 6 h, 12 h, and 18 h, respectively; B0, B6, B12, and B18 are the expression level of AQP genes of “Qiuza 2” at low-temperature stress 0 h, 6 h, 12 h, and 18 h, respectively).
Forests 15 01063 g005
Figure 6. Comparison of differential expression fold changes between RNA-seq and RT-qPCR (1: CbPIP2;6; 2: CbPIP2;5; 3: CbPIP1;2; 4: CbPIP1;4; 5: CbTIP2;1; 6: CbTIP4;1; 7: CbNIP5;1; 8: CbNIP2;1; 9: CbNIP6;1; 10: CbSIP2;2; (AC) “Qiuza 1” treated with 4 °C cold stress for 6 h, 12 h, and 18 h, respectively; (DF): “Qiuza 2” treated with °C cold stress for 6 h, 12 h, and 18 h, respectively”).
Figure 6. Comparison of differential expression fold changes between RNA-seq and RT-qPCR (1: CbPIP2;6; 2: CbPIP2;5; 3: CbPIP1;2; 4: CbPIP1;4; 5: CbTIP2;1; 6: CbTIP4;1; 7: CbNIP5;1; 8: CbNIP2;1; 9: CbNIP6;1; 10: CbSIP2;2; (AC) “Qiuza 1” treated with 4 °C cold stress for 6 h, 12 h, and 18 h, respectively; (DF): “Qiuza 2” treated with °C cold stress for 6 h, 12 h, and 18 h, respectively”).
Forests 15 01063 g006
Figure 7. Correlation analysis between RNA-seq and RT-qPCR ((A): “Qiuza 1”; (B): “Qiuza 2”).
Figure 7. Correlation analysis between RNA-seq and RT-qPCR ((A): “Qiuza 1”; (B): “Qiuza 2”).
Forests 15 01063 g007
Table 1. List of RT-qPCR primers.
Table 1. List of RT-qPCR primers.
Primer NameForward Primer SequenceReverse Primer Sequence
CbuactinF: GATGATGCTCCAAGGGCTGTR: TCCATATCATCCCAGTTGCT
CbPIP2;6F: TCCTGGTTTACACTGTCTTCTCR: CTGCTCCGATGAATGGTC
CbPIP2;5F: TACAGCGGAAAGGACTACCAR: CAGAAACAGGCCGAACGT
CbPIP1;2F: GGGGTGAACAGAGCACCTAAR: GCATGAAACCCTTGACCACT
CbPIP1;4F: GGAGAACAAAGAGGAGGATGR: GCAGTAGACAAGGGCAAAG
CbTIP2;1F: CTGCAATTGCTTTTGGAAGAR: CCGGCAAAGACGAAAATTAAG
CbTIP4;1F: GTCACCCTCGGACTATGCR: CCAACCCAGTAAACCCAAT
CbNIP5;1F: GCTGGCGGTGATGATAGTR: GCGAATAGATAGCTGCTCC
CbNIP2;1F: GCTTAGTGTTAGCGATGAAR: CCTGTGGGTGTAGTTGTG
CbNIP6;1F: CAAGAAAGGTGGGAGCTGAGR: TTCCAAGGAAAATGCCTGAG
CbSIP2;2F: GTTGCATGAATCCAGCCTCTR: TCATTCTTCGGTCGGGATAG
Table 2. RT-qPCR reaction solution configuration and reaction procedure.
Table 2. RT-qPCR reaction solution configuration and reaction procedure.
Composition/Temperature and TimeContent/Circulation
Reaction solution configurationcDNA1 µL
2× AugeGreen Master Mix10 µL
primer F1 μL
primer R1 μL
ddH2O7 μL
Reaction procedure95 °C 120 s--
95 °C 15 s40 cycles
58 °C 60 s
95 °C 10 s--
65 °C 60 s--
97 °C 1 s--
Table 3. 35 Aquaporins of Arabidopsis thaliana and 6 XIP aquaporins of Populus trichocarpa.
Table 3. 35 Aquaporins of Arabidopsis thaliana and 6 XIP aquaporins of Populus trichocarpa.
SubfamilyNameSynonymsNCBI Reference Sequence
PIPAtPIP1;1PIP1AAT3G61430
AtPIP1;2PIP1B;TMPAAT2G45960
AtPIP1;3PIP1C;TMPBAT1G01620
AtPIP1;4TMPCAT4G00430
AtPIP1;5PIP1DAT4G23400
AtPIP2;1PIP2AAT3G53420
AtPIP2;2PIP2B;TMB2BAT2G37170
AtPIP2;3RD28;TMP2CAT2G37180
AtPIP2;4PIP2FAT5G60660
AtPIP2;5PIP2DAT3G54820
AtPIP2;6PIP2EAT2G39010
AtPIP2;7PIP3;SIMIPAT4G35100
AtPIP2;8PIP3BAT2G16850
AtTIPAtTIP1;1GAMMA-TIPAT2G36830
AtTIP1;2TIP2AT3G26520
AtTIP1;3GAMMA-TIP1AT4G01470
AtTIP2;1DELTA-TIPAT3G16240
AtTIP2;2DELTA-TIP2AT4G17340
AtTIP2;3DELTA-TIP3AT5G47450
AtTIP3;1α-TIPAT1G73190
AtTIP3;2BETA-TIPAT1G17810
AtTIP4;1 AT2G25810
AtTIP5;1 AT1G17820
NIPAtNIP1;1NLM1AT4G19030
AtNIP1;2NLM2AT4G18910
AtNIP2;1 AT2G34390
AtNIP3;1 AT1G31885
AtNIP4;1 AT5G37810
AtNIP4;2 AT5G37820
AtNIP5;1 AT4G10380
AtNIP6;1 AT1G80760
AtNIP7;1 AT3G06100
SIPAtSIP1;1SIP1AAT3G04090
AtSIP1;2 AT5G18290
AtSIP2;1 AT3G56950
XIPPtXIP1;1 POPTR_0009s13090
PtXIP1;2 POPTR_0009s13105
PtXIP2;1 POPTR_0009s13110
PtXIP3;1 POPTR_0009s13080
PtXIP3;2 POPTR_0009s13070
PtXIP3;3 POPTR_0004s17430
Table 4. Properties of the AQP family of proteins.
Table 4. Properties of the AQP family of proteins.
SubfamilyGene NameNumber of Amino Acids (aa)Molecular Weight (Da)Theoretical pIAliphatic IndexGrand Average of Hydropathicity
PIPCbPIP1;329331,531.778.9293.990.361
CbPIP2;628530,348.278.23101.720.489
CbPIP2;528330,102.978.62100.710.530
CbPIP1;224426,401.468.3290.040.150
CbPIP1;418519,578.889.64103.950.485
TIPCbTIP1;126727,667.005.80106.100.691
CbTIP1;222523,240.035.59112.360.952
CbTIP2;121221,541.245.06121.420.986
CbTIP4;126027,268.915.63114.420.837
NIPCbNIP5;123724,578.788.89113.670.772
CbNIP2;121322,467.148.01107.140.559
CbNIP6;127629,544.489.2893.700.309
SIPCbSIP2;217820,170.989.48104.040.384
CbSIP2;114416,333.3210.53102.850.637
XIPCbXIP3;134037,487.668.93125.000.785
Table 5. The names of the identified CbAQPs genes.
Table 5. The names of the identified CbAQPs genes.
SubfamilyGene IDNameAt/Os/Pt
SIPCluser-8567.25081CbSIP2;2AtSIP2;2
Cluser-8567.34148CbSIP2;1AtSIP2;1
XIPCluser-8567.37481CbXIP3;1PtXIP3;1
PIPCluser-8567.21102CbPIP1;4AtPIP1;4
Cluser-8567.21827CbPIP1;2OsPIP1;2
Cluser-8567.21828CbPIP1;3OsPIP1;3
Cluser-8567.27409CbPIP2;5AtPIP2;5
Cluser-8567.31896CbPIP2;6AtPIP2;6
NIPCluser-8567.3249CbNIP2;1OsNIP2;1
Cluser-8567.24887CbNIP5;1AtNIP5;1
Cluser-8567.2348CbNIP6;1AtNIP6;1
TIPCluser-8567.5190CbTIP4;1AtTIP4;1
Cluser-8567.23498CbTIP1;1OsTIP1;1
Cluser-8567.23500CbTIP1;2OsTIP1;2
Cluser-8567.31039CbTIP2;1AtTIP2;1
Table 6. Distribution of subfamily members of AQP gene family in various plants.
Table 6. Distribution of subfamily members of AQP gene family in various plants.
Ref.PIPsTIPsNIPsSIPsXIPsTotal Amount of AQP
A. thaliana [26]131093035
O. Sativa [27]1110102033
Cucumis sativus [28]19892139
S. bicolor [20]1413113041
Gossypium hirsutum [29]2823127147
P. Trichocarpa [30]1517116655
M. Nana [12]181793047
C. bungei5432115
Table 7. 12 Conserved motif information of CbAQP (note: motif sequences represent the protein motifs; sites indicate the number of occurrences of this motif in the 15 C. bungei aquaporin proteins; width indicates the width of the motif; E-value indicates the statistical significance of the motif. A smaller E-value indicates a more reliable result).
Table 7. 12 Conserved motif information of CbAQP (note: motif sequences represent the protein motifs; sites indicate the number of occurrences of this motif in the 15 C. bungei aquaporin proteins; width indicates the width of the motif; E-value indicates the statistical significance of the motif. A smaller E-value indicates a more reliable result).
Motif TypeMotif SequencesSitesWidthE-Value
Motif 1VYCTAGISGGHINPAVTFGLFLARHISLTRALFYMVAQLLGAICACGLLK13501.2 × 10−213
Motif 2TGQALVAEIIGTFVLVYTVYAAADDKRKA13297.3 × 10−94
Motif 3LAPLPIGFAVGANILATGPFTGTSMNPARSFGPAVI9361.2 × 10−87
Motif 4SHAWDDHWIFWVGPFIGAAJA9296.0 × 10−71
Motif 5YTDKDYKDPPPAPLFDPGELKSWSFYRAGIAEFIATFLFLYITILTVIG4491.4 × 10−60
Motif 6PDKCGGVGIQGIAWAFGGMIF4218.6 × 10−18
Motif 7FQKGPYQRYGGGANFVAHGYT5212.3 × 10−17
Motif 8WRLLVADFLMSFMWVWSSVLNKIFVHKILGYGAHZVEGEIVRYGVSILNM2507.6 × 10−13
Motif 9ESMAENKEEDVRLGANKFIEKQP2233.9 × 10−10
Motif 10AKLTNGGAYNPAGLIAAAIAHAFALF5264.7 × 10−8
Motif 11RDSHEP862.1 × 10−7
Motif 12YHQFIJRAGPFK4121.1 × 10−6
Disclaimer/Publisher’s Note: The statements, opinions and data contained in all publications are solely those of the individual author(s) and contributor(s) and not of MDPI and/or the editor(s). MDPI and/or the editor(s) disclaim responsibility for any injury to people or property resulting from any ideas, methods, instructions or products referred to in the content.

Share and Cite

MDPI and ACS Style

Li, T.; Zhang, J.; Zhang, H.; Niu, S.; Qian, J.; Chen, Z.; Ma, T.; Meng, Y.; Di, B. Identification of Catalpa bungei Aquaporin Gene Family Related to Low Temperature Stress. Forests 2024, 15, 1063. https://doi.org/10.3390/f15061063

AMA Style

Li T, Zhang J, Zhang H, Niu S, Qian J, Chen Z, Ma T, Meng Y, Di B. Identification of Catalpa bungei Aquaporin Gene Family Related to Low Temperature Stress. Forests. 2024; 15(6):1063. https://doi.org/10.3390/f15061063

Chicago/Turabian Style

Li, Tianyi, Jing Zhang, Hongtao Zhang, Shance Niu, Ji Qian, Zhaoyang Chen, Tianyi Ma, Yu Meng, and Bao Di. 2024. "Identification of Catalpa bungei Aquaporin Gene Family Related to Low Temperature Stress" Forests 15, no. 6: 1063. https://doi.org/10.3390/f15061063

APA Style

Li, T., Zhang, J., Zhang, H., Niu, S., Qian, J., Chen, Z., Ma, T., Meng, Y., & Di, B. (2024). Identification of Catalpa bungei Aquaporin Gene Family Related to Low Temperature Stress. Forests, 15(6), 1063. https://doi.org/10.3390/f15061063

Note that from the first issue of 2016, this journal uses article numbers instead of page numbers. See further details here.

Article Metrics

Back to TopTop