Effects of Soil Microorganisms on Carbon Sequestration under Different Mixed Modification Models in Pinus massoniana L. Plantation
Abstract
1. Introduction
2. Materials and Methods
2.1. Overview of the Study Area
2.2. Plot Setup and Sampling
2.3. Determination and Analysis of Soil Physical and Chemical Properties
2.4. Determination and Analysis of Soil Organic Carbon Components
2.5. DNA and Illumina Sequencing
2.6. Data Analysis and Processing
3. Results
3.1. Analysis of Soil Carbon Changes and Correlation between Carbon Components and Organic Carbon Storage in Different Models
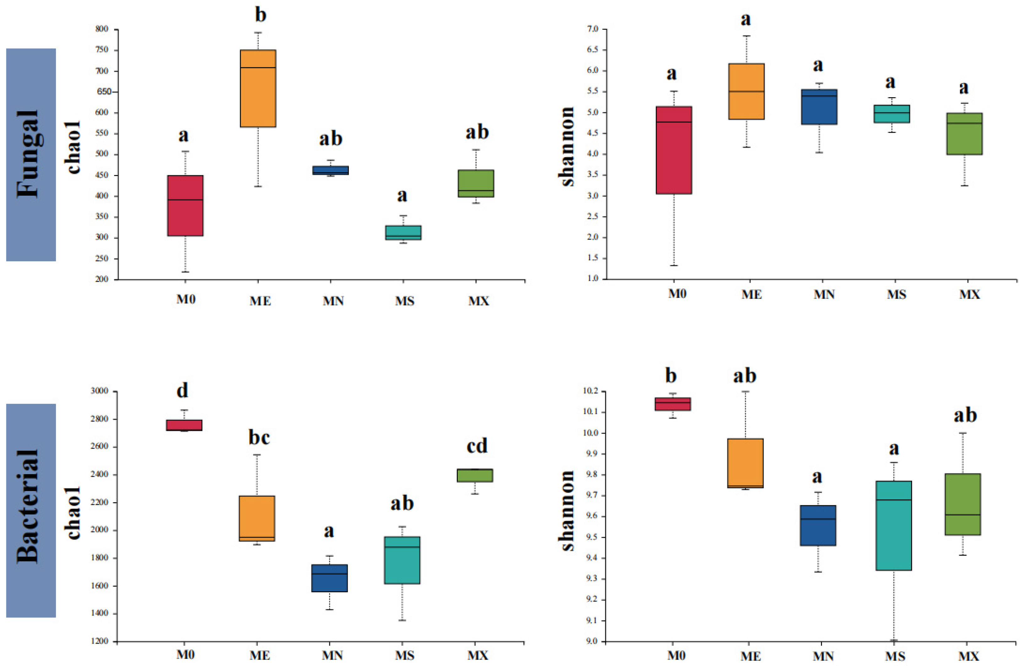
3.2. Microbial Community Composition
3.3. Correlation Analysis of Soil Carbon Components and Microbial Communities
4. Discussion
4.1. Soil Carbon Composition and Reserve Change under Mixed Modification Model
4.2. Soil Microbial Community Composition Interacts with Soil Carbon
5. Conclusions
Supplementary Materials
Author Contributions
Funding
Data Availability Statement
Acknowledgments
Conflicts of Interest
References
- Li, S.; Xu, Z.; Yu, Z.; Fu, Y.; Su, X.; Zou, B.; Wang, S.; Huang, Z.; Wan, X. Litter decomposition and nutrient release are faster under secondary forests than under Chinese fir plantations with forest development. Sci. Rep. 2023, 13, 16805. [Google Scholar] [CrossRef] [PubMed]
- Davidson, E.; Janssens, I. Temperature sensitivity of soil carbon decomposition and feedbacks to climate change. Nature 2006, 440, 165–173. [Google Scholar] [CrossRef] [PubMed]
- Parton, W.; Schimel, D.; Cole, C.; Ojima, D. Analysis of factors controlling soil organic matter levels in Great Plains grasslands. Soil Sci. Soc. Am. J. 1987, 51, 1173–1179. [Google Scholar] [CrossRef]
- Li, Y.; Li, Y.; Chang, S.; Liang, X.; Qin, H.; Chen, J.; Xu, Q. Linking soil fungal community structure and function to soil organic carbon chemical composition in intensively managed subtropical bamboo forests. Soil Biol. Biochem. 2017, 107, 19–31. [Google Scholar] [CrossRef]
- Zhao, S.; Ta, N.; Li, Z.; Yang, Y.; Zhang, X.; Liu, D.; Feng, A.; Wang, X. Varying pyrolysis temperature impacts application effects of biochar on soil labile organic carbon and humic fractions. Appl. Soil Ecol. 2018, 123, 484–493. [Google Scholar] [CrossRef]
- Wani, O.; Kumar, S.; Hussain, N.; Wani, A.; Subhash, B.; Parvej, A.; Mansoor, S. Multi-scale processes influencing global carbon storage and land-carbon-climate nexus: A critical review. Pedosphere 2023, 33, 250–267. [Google Scholar] [CrossRef]
- Liu, C.; Kuchma, O.; Krutovsky, K. Mixed-species versus monocultures in plantation forestry: Development, benefits, ecosystem services and perspectives for the future. Glob. Ecol. Conserv. 2018, 15, e00419. [Google Scholar] [CrossRef]
- Qin, Z.; Liu, R.; He, P.; Wang, C.; Nie, Y.; Shen, W. Effects of mixed broadleaved tree species with pure Pinus massoniana plantation on soil microbial necromass carbon and organic carbon fractions. J. Appl. Ecol. 2024, 35, 141–152. [Google Scholar]
- Farooq, T.; Shakoor, A.; Wu, X.; Li, Y.; Rashid, M.; Zhang, X.; Gilani, M.; Kumar, U.; Chen, X.; Yan, W. Perspectives of plantation forests in the sustainable forest development of China. iFor.-Biogeosci. For. 2021, 14, 166–174. [Google Scholar] [CrossRef]
- Hadden, D.; Grelle, A. Changing temperature response of respiration turns boreal forest from carbon sink into carbon source. Agric. For. Meteorol. 2016, 223, 30–38. [Google Scholar] [CrossRef]
- Cremer, M.; Kern, N.V.; Prietzel, J. Soil organic carbon and nitrogen stocks under pure and mixed stands of European beech, Douglas fir and Norway spruce. For. Ecol. Manag. 2016, 367, 30–40. [Google Scholar] [CrossRef]
- Guo, J.; Feng, H.; McNie, P.; Liu, Q.; Xu, X.; Pan, C.; Yan, K.; Feng, L.; Goitom, E.; Yu, Y. Species mixing improves soil properties and enzymatic activities in Chinese fir plantations: A meta-analysis. Catena 2023, 220, 106723. [Google Scholar] [CrossRef]
- Bai, Y.; Wei, H.; Ming, A.; Shu, W.; Shen, W. Tree species mixing begets admixture of soil microbial communities: Variations along bulk soil, rhizosphere soil and root tissue. Geoderma 2023, 438, 116638. [Google Scholar] [CrossRef]
- Liu, S.; Dai, L.; Wen, Y.; Wang, H. A review on forest ecosystem management towards ecosystem services: Status, challenges, and future perspectives. Acta Ecol. Sin. 2015, 35, 1–9. [Google Scholar]
- Mason, A.; Salomon, M.; Lowe, A.; Cavagnaro, T. Microbial solutions to soil carbon sequestration. J. Clean. Prod. 2023, 417, 137993. [Google Scholar] [CrossRef]
- Wang, W.; Chen, D.; Zhang, Q.; Sun, X.; Zhang, S. Effects of mixed coniferous and broad-leaved litter on bacterial and fungal nitrogen metabolism pathway during litter decomposition. Plant Soil 2020, 451, 307–323. [Google Scholar] [CrossRef]
- Zhou, Z. China Pinus massoniana; Forestry Press: Beijing, China, 2001; pp. 53–60. [Google Scholar]
- Liu, R.; Yao, Y.; Li, Q.; Cai, Z.; Wei, D.; Wang, X.; Zhang, S. Rhizosphere soil microbes benefit carbon and nitrogen sinks under long-term afforestation on the Tibetan Plateau. Catena 2023, 220, 106705. [Google Scholar] [CrossRef]
- Shamrikova, E.V.; Vanchikova, E.V.; Kyzyurova, E.V.; Zhangurov, E.V. Methods for Measuring Organic Carbon Content in Carbonate-Containing Soils: A Review. Eurasian Soil Sci. 2024, 57, 380–394. [Google Scholar] [CrossRef]
- Abhiram, G.; Grafton, M.; Jeyakumar, P.; Bishop, P.; Davies, C.E.; McCurdy, M. The nitrogen dynamics of newly developed lignite-based controlled-release fertilisers in the soil-plant cycle. Plants 2022, 11, 3288. [Google Scholar] [CrossRef] [PubMed]
- Pan, J.; Guo, Q.; Li, H.; Luo, S.; Zhang, Y.; Yao, S.; Fan, X.; Sun, X.; Qi, Y. Dynamics of soil nutrients, microbial community structure, enzymatic activity, and their relationships along a chronosequence of Pinus massoniana plantations. Forests 2024, 12, 376. [Google Scholar] [CrossRef]
- Liang, E.; Cai, D.X.; Zhang, D.C.; Dai, K.; Feng, Z.H.; Liu, S.; Wang, X.B. Terrestrial soil organic carbon storage in China: Estimates and uncertainty. Soil Fertil. Sci. China 2010, 6, 75–79. [Google Scholar]
- Xie, Y.; Zhang, L.; Wang, J.; Chen, M.; Liu, J.; Xiao, S.; Tian, X.; Wu, T. Spatial Heterogeneity of Soil Bacterial Community Structure and Enzyme Activity along an Altitude Gradient in the Fanjingshan Area, Northeastern Guizhou Province, China. Life 2022, 12, 1862. [Google Scholar] [CrossRef] [PubMed]
- Khatri-Chhetri, U.; Thompson, K.; Quideau, S.; Boyce, M.; Chang, S.; Bork, E.; Carlyle, C. Adaptive multi-paddock grazing increases mineral associated soil carbon in Northern grasslands. Agric. Ecosyst. Environ. 2024, 369, 109000. [Google Scholar] [CrossRef]
- Callahan, B.; McMurdie, P.; Rosen, M.; Han, A.; Johnson, A. Holmes SP DADA2: High-resolution sample inference from Illumina amplicon data. Nat. Methods 2016, 13, 581–583. [Google Scholar] [CrossRef] [PubMed]
- Bokulich, N.; Kaehler, B.; Rideout, J.; Dillon, M.; Bolyen, E.; Knight, R.; Gavin, A.; Caporaso, J.G. Optimizing taxonomic classification of marker-gene amplicon sequences with QIIME 2’s q2-feature-classifier plugin. Microbiome 2018, 6, 90. [Google Scholar] [CrossRef] [PubMed]
- Haiyan, W.; Jiangqi, W.; Guang, L.; Lijuan, Y. Changes in soil carbon fractions and enzyme activities under different vegetation types of the northern Loess Plateau. Ecol. Evol. 2020, 10, 12211–12223. [Google Scholar]
- Ali, A.; Ahmad, A.; Akhtar, K.; Teng, M.; Zeng, W.; Yan, Z.; Zhou, Z. Patterns of biomass, carbon, and soil properties in masson pine (Pinus massoniana Lamb) plantations with different stand ages and management practices. Forests 2019, 10, 645. [Google Scholar] [CrossRef]
- Wang, B.; Zhang, P.; Zhang, Q. Relationship between soil total organic carbon and physicochemical propertiesin Larix gmelinii forests at different ages. J. Northwest A F Univ.-Nat. Sci. Ed. 2021, 49, 36–45. [Google Scholar]
- Ye, Y.; Juan, L.; Liang, Y. Soil microbial community and physicochemical properties together drive soil organic carbon in Cunninghamia lanceolata plantations of different stand ages. PeerJ 2022, 10, e13873. [Google Scholar]
- Ansari, M.; Choudhury, B.; Mandal, S.; Jat, S.; Meitei, C. Converting primary forests to cultivated lands: Long-term effects on the vertical distribution of soil carbon and biological activity in the foothills of Eastern Himalaya. J. Environ. Manag. 2022, 301, 113886. [Google Scholar] [CrossRef]
- Gao, F.; Cui, X.; Sang, Y.; Song, J. Changes in soil organic carbon and total nitrogen as affected by primary forest conversion. For. Ecol. Manag. 2020, 463, 118013. [Google Scholar]
- Zhang, M.; Bai, X.; Wang, Y.; Li, Y.; Cui, Y.; Hu, S. Soil microbial trait-based strategies drive the storage and stability of the soil carbon pool in Robinia pseudoacacia plantations. Catena 2023, 222, 106894. [Google Scholar]
- Lyu, M.; Homyak, P.M.; Xie, J.; Peñuelas, J.; Ryan, M.G.; Xiong, X.; Jordi, S.; Lin, W.; Wang, M.; Chen, G.; et al. Litter quality controls tradeoffs in soil carbon decomposition and replenishment in a subtropical forest. J. Ecol. 2023, 111, 2181–2193. [Google Scholar]
- Lavallee, J.; Soong, J.; Cotrufo, M. Conceptualizing soil organic matter into particulate and mineral-associated forms to address global change in the 21st century. Glob. Chang. Biol. 2020, 26, 261–273. [Google Scholar]
- Yu, H.; Wei, X.; Tan, W. High nitrogen enrichment increases the allocation of new organic carbon to deep soil layers. Geoderma 2022, 406, 115515. [Google Scholar]
- Manici, L.; Caputo, F.; Fornasier, F.; Paletto, A.; Ceotto, E.; De, M. Ascomycota and Basidiomycota fungal phyla as indicators of land use efficiency for soil organic carbon accrual with woody plantations. Ecol. Indic. 2024, 160, 111796. [Google Scholar]
- Zhu, K.; Wang, Q.; Zhang, Y.; Zarif, N.; Ma, S.; Xu, L. Variation in soil bacterial and fungal community composition at different successional stages of a broad-leaved Korean pine forest in the Lesser Hinggan Mountains. Forests 2022, 13, 625. [Google Scholar] [CrossRef]
- Chang, F.; Jia, F.; Lv, R.; Li, Y.; Wang, Y.; Jia, Q.; Zhen, L. Soil bacterial communities reflect changes in soil properties during the tillage years of newly created farmland on the Loess Plateau. Appl. Soil Ecol. 2021, 161, 103853. [Google Scholar]
- Luo, J.; Guo, X.; Tao, Q.; Li, J.; Liu, Y.; Du, Y.; Liu, Y.; Liang, Y.; Li, T. Succession of the composition and co-occurrence networks of rhizosphere microbiota is linked to Cd/Zn hyperaccumulation. Soil Biol. Biochem. 2021, 153, 1–12. [Google Scholar]
- Matiru, V.; Dakora, F. Potential use of rhizobial bacteria as promoters of plant growth for increased yield in landraces of African cereal crops. Afr. J. Biotechnol. 2004, 3, 1–7. [Google Scholar]
- Pu, Q.; Tan, Z.; Peng, G.; Li, Y.; Liu, L.; Zhang, H. Advances in rhizobia taxonomy. Microbiol. China 2016, 43, 619–633. [Google Scholar]
- Witzgall, K.; Vidal, A.; Schubert, D.; Höschen, C.; Schweizer, S.; Buegger, F.; Pouteau, V.; ChenuMueller, C. Particulate organic matter as a functional soil component for persistent soil organic carbon. Nat. Commun. 2021, 12, 4115. [Google Scholar]







Disclaimer/Publisher’s Note: The statements, opinions and data contained in all publications are solely those of the individual author(s) and contributor(s) and not of MDPI and/or the editor(s). MDPI and/or the editor(s) disclaim responsibility for any injury to people or property resulting from any ideas, methods, instructions or products referred to in the content. |
© 2024 by the authors. Licensee MDPI, Basel, Switzerland. This article is an open access article distributed under the terms and conditions of the Creative Commons Attribution (CC BY) license (https://creativecommons.org/licenses/by/4.0/).
Share and Cite
Chen, M.; Yuan, C.; He, S.; Chen, J.; Luo, J.; Ding, F.; Yan, G. Effects of Soil Microorganisms on Carbon Sequestration under Different Mixed Modification Models in Pinus massoniana L. Plantation. Forests 2024, 15, 1053. https://doi.org/10.3390/f15061053
Chen M, Yuan C, He S, Chen J, Luo J, Ding F, Yan G. Effects of Soil Microorganisms on Carbon Sequestration under Different Mixed Modification Models in Pinus massoniana L. Plantation. Forests. 2024; 15(6):1053. https://doi.org/10.3390/f15061053
Chicago/Turabian StyleChen, Meng, Congjun Yuan, Shuang He, Jin Chen, Jun Luo, Fangjun Ding, and Guohua Yan. 2024. "Effects of Soil Microorganisms on Carbon Sequestration under Different Mixed Modification Models in Pinus massoniana L. Plantation" Forests 15, no. 6: 1053. https://doi.org/10.3390/f15061053
APA StyleChen, M., Yuan, C., He, S., Chen, J., Luo, J., Ding, F., & Yan, G. (2024). Effects of Soil Microorganisms on Carbon Sequestration under Different Mixed Modification Models in Pinus massoniana L. Plantation. Forests, 15(6), 1053. https://doi.org/10.3390/f15061053

