Soybean Meal–Oxidized Lignin as Bio-Hybridized Wood Panel Adhesives with Increased Water Resistance
Abstract
1. Introduction
2. Materials and Methods
2.1. Materials
2.2. Preparation of OL
2.3. OLS Wood Adhesive Preparation
2.4. Preparation of Tri-Ply Plywood and Evaluation of Adhesive Bonding Performance
2.5. Measurements and Characterizations
2.5.1. Fourier Transforms Infrared (FT-IR) Spectroscopy
2.5.2. X-ray Photoelectron Spectroscopy (XPS) Analysis
2.5.3. Gel permeation Chromatography (GPC) Analysis
2.5.4. Dynamic Mechanical Analysis (DMA)
2.5.5. Thermogravimetry (TG) Analysis
2.5.6. Strength of the Plywood
3. Results
3.1. Characterization of L and OL
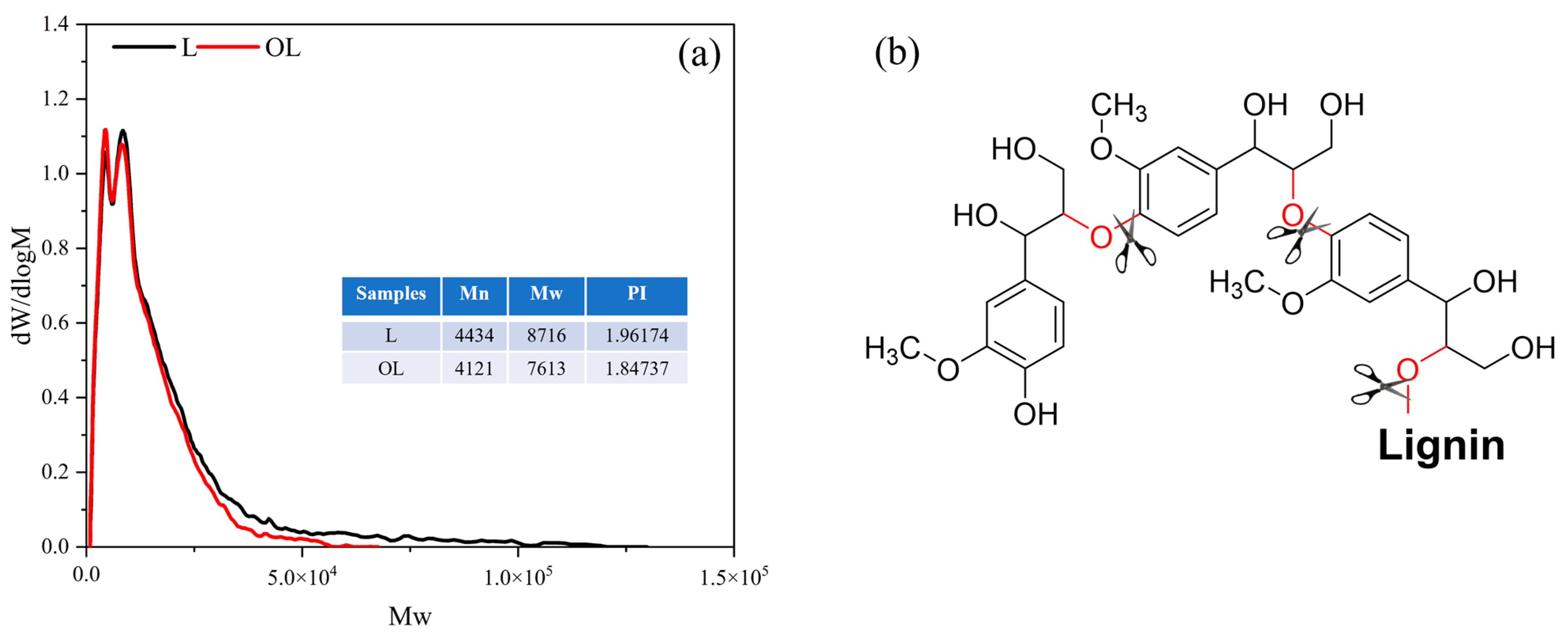
3.1.1. GPC Analysis
3.1.2. FT-IR Analysis
3.1.3. XPS Analysis
3.2. Characterization of OLS
3.2.1. FT-IR Analysis
3.2.2. XPS Analysis
3.3. Bonding Performance of HOLS and OLS Adhesive
3.4. Thermal Properties of OLS Adhesives
3.4.1. DMA Analysis
3.4.2. TG Analysis
4. Conclusions
Author Contributions
Funding
Data Availability Statement
Conflicts of Interest
References
- Li, Z.; Zhao, S.; Wang, Z.; Zhang, S.; Li, J. Biomimetic Water-in-Oil Water/pMDI Emulsion as an Excellent Ecofriendly Adhesive for Bonding Wood-Based Composites. J. Hazard. Mater. 2020, 396, 122722. [Google Scholar] [CrossRef]
- Cademartori, P.H.G.D.; Artner, M.A.; Alves De Freitas, R.; Magalhães, W.L.E. Alumina Nanoparticles as Formaldehyde Scavenger for Urea-Formaldehyde Resin: Rheological and in-Situ Cure Performance. Compos. Part B Eng. 2019, 176, 107281. [Google Scholar] [CrossRef]
- Wang, J.L.; Guo, Y.J.; Long, G.D.; Tang, Y.L.; Tang, Q.B.; Zu, X.T.; Ma, J.Y.; Du, B.; Torun, H.; Fu, Y.Q. Integrated Sensing Layer of Bacterial Cellulose and Polyethyleneimine to Achieve High Sensitivity of ST-Cut Quartz Surface Acoustic Wave Formaldehyde Gas Sensor. J. Hazard. Mater. 2020, 388, 121743. [Google Scholar] [CrossRef]
- Sandhya, P.K.; Sreekala, M.S.; Padmanabhan, M.; Jesitha, K.; Thomas, S. Effect of Starch Reduced Graphene Oxide on Thermal and Mechanical Properties of Phenol Formaldehyde Resin Nanocomposites. Compos. Part B Eng. 2019, 167, 83–92. [Google Scholar] [CrossRef]
- Song, F.; Tang, D.-L.; Wang, X.-L.; Wang, Y.-Z. Biodegradable Soy Protein Isolate-Based Materials: A Review. Biomacromolecules 2011, 12, 3369–3380. [Google Scholar] [CrossRef]
- Wang, F.; Wang, J.; Chu, F.; Wang, C.; Jin, C.; Wang, S.; Pang, J. Combinations of Soy Protein and Polyacrylate Emulsions as Wood Adhesives. Int. J. Adhes. Adhes. 2018, 82, 160–165. [Google Scholar] [CrossRef]
- Xie, D.-Y.; Song, F.; Zhang, M.; Wang, X.-L.; Wang, Y.-Z. Roles of Soft Segment Length in Structure and Property of Soy Protein Isolate/Waterborne Polyurethane Blend Films. Ind. Eng. Chem. Res. 2016, 55, 1229–1235. [Google Scholar] [CrossRef]
- Wang, Z.; Zhao, S.; Pang, H.; Zhang, W.; Zhang, S.; Li, J. Developing Eco-Friendly High-Strength Soy Adhesives with Improved Ductility through Multiphase Core–Shell Hyperbranched Polysiloxane. ACS Sustain. Chem. Eng. 2019, 7, 7784–7794. [Google Scholar] [CrossRef]
- Zheng, P.; Chen, N.; Mahfuzul Islam, S.M.; Ju, L.-K.; Liu, J.; Zhou, J.; Chen, L.; Zeng, H.; Lin, Q. Development of Self-Cross-Linked Soy Adhesive by Enzyme Complex from Aspergillus niger for Production of All-Biomass Composite Materials. ACS Sustain. Chem. Eng. 2019, 7, 3909–3916. [Google Scholar] [CrossRef]
- Jin, S.; Song, X.; Li, K.; Xia, C.; Li, J. A Mussel-inspired Strategy toward Antimicrobial and Bacterially Anti-adhesive Soy Protein Surface. Polym. Compos. 2020, 41, 633–644. [Google Scholar] [CrossRef]
- Jia, Z.; Yang, Y. Surface Modification of Polyacrylonitrile (PAN) Fibers by Grafting of Natural Polymer-Soybean Protein (SP). Polym. Bull. 2007, 59, 13–23. [Google Scholar] [CrossRef]
- Gu, W.; Liu, X.; Ye, Q.; Gao, Q.; Gong, S.; Li, J.; Shi, S.Q. Bio-Inspired Co-Deposition Strategy of Aramid Fibers to Improve Performance of Soy Protein Isolate-Based Adhesive. Ind. Crop. Prod. 2020, 150, 112424. [Google Scholar] [CrossRef]
- Huang, X.; Netravali, A. Biodegradable Green Composites Made Using Bamboo Micro/Nano-Fibrils and Chemically Modified Soy Protein Resin. Compos. Sci. Technol. 2009, 69, 1009–1015. [Google Scholar] [CrossRef]
- Wu, Z.; Xi, X.; Lei, H.; Liang, J.; Liao, J.; Du, G. Study on Soy-Based Adhesives Enhanced by Phenol Formaldehyde Cross-Linker. Polymers 2019, 11, 365. [Google Scholar] [CrossRef] [PubMed]
- Xu, C.; Xu, Y.; Chen, M.; Zhang, Y.; Li, J.; Gao, Q.; Shi, S.Q. Soy Protein Adhesive with Bio-Based Epoxidized Daidzein for High Strength and Mildew Resistance. Chem. Eng. J. 2020, 390, 124622. [Google Scholar] [CrossRef]
- Mi, Y.; Bai, Y.; Gao, D.; Gao, Z.; Gu, H.; Yang, W. Controllable Crosslinking System of Soy Protein-based Adhesives via Soybean Polysaccharide for Wood Composites. J. Appl. Polym. Sci 2022, 139, e53161. [Google Scholar] [CrossRef]
- Pang, H.; Zhao, S.; Wang, Z.; Zhang, W.; Zhang, S.; Li, J. Development of Soy Protein-Based Adhesive with High Water Resistance and Bonding Strength by Waterborne Epoxy Crosslinking Strategy. Int. J. Adhes. Adhes. 2020, 100, 102600. [Google Scholar] [CrossRef]
- Sun, Y.; Li, Z.; Yan, Q.; Zhang, S.; Shi, X.; Li, S.; Chen, S. Complex Coacervation Behavior between Cationic Polyamides and Anionic Epoxy Resins Endowed Improved Cold-Pressing Performance of Soy Protein Adhesive. Constr. Build. Mater. 2023, 387, 131532. [Google Scholar] [CrossRef]
- Dodangeh, F.; Seyed Dorraji, M.S.; Rasoulifard, M.H.; Ashjari, H.R. Synthesis and Characterization of Alkoxy Silane Modified Polyurethane Wood Adhesive Based on Epoxidized Soybean Oil Polyester Polyol. Compos. Part B Eng. 2020, 187, 107857. [Google Scholar] [CrossRef]
- Jiang, W.; Kumar, A.; Adamopoulos, S. Liquefaction of Lignocellulosic Materials and Its Applications in Wood Adhesives—A Review. Ind. Crop. Prod. 2018, 124, 325–342. [Google Scholar] [CrossRef]
- Hemmilä, V.; Adamopoulos, S.; Karlsson, O.; Kumar, A. Development of Sustainable Bio-Adhesives for Engineered Wood Panels—A Review. RSC Adv. 2017, 7, 38604–38630. [Google Scholar] [CrossRef]
- Román, J.K.; Wilker, J.J. Cooking Chemistry Transforms Proteins into High-Strength Adhesives. J. Am. Chem. Soc. 2019, 141, 1359–1365. [Google Scholar] [CrossRef] [PubMed]
- Chen, M.; Luo, J.; Shi, R.; Zhang, J.; Gao, Q.; Li, J. Improved Adhesion Performance of Soy Protein-Based Adhesives with a Larch Tannin-Based Resin. Polymers 2017, 9, 408. [Google Scholar] [CrossRef] [PubMed]
- Li, Y.; Cai, L.; Chen, H.; Gao, Q.; Li, J. Preparation and Properties of Soybean Protein Adhesive Modified by Chitosan/Tannic-Silver Nanocomposite. Wood Mater. Sci. Eng. 2023, 18, 852–859. [Google Scholar] [CrossRef]
- Hao, Z.; Xi, X.; Hou, D.; Lei, H.; Li, C.; Xu, G.; Du, G. A Fully Bio-Based Soy Protein Wood Adhesive Modified by Citric Acid with High Water Tolerance. Int. J. Biol. Macromol. 2023, 253, 127135. [Google Scholar] [CrossRef] [PubMed]
- Lee, H.; Lee, B.P.; Messersmith, P.B. A Reversible Wet/Dry Adhesive Inspired by Mussels and Geckos. Nature 2007, 448, 338–341. [Google Scholar] [CrossRef] [PubMed]
- Montazerian, H.; Mitra, S.; Hassani Najafabadi, A.; Seyedmahmoud, R.; Zheng, Y.; Dokmeci, M.R.; Annabi, N.; Khademhosseini, A.; Weiss, P.S. Catechol Conjugation for Bioadhesion in Photo-Cross-Linkable Biomaterials. ACS Mater. Lett. 2023, 5, 1672–1683. [Google Scholar] [CrossRef]
- Lo Presti, M.; Rizzo, G.; Farinola, G.M.; Omenetto, F.G. Bioinspired Biomaterial Composite for All-Water-Based High-Performance Adhesives (Adv. Sci. 16/2021). Adv. Sci. 2021, 8, 2170100. [Google Scholar] [CrossRef]
- Qian, Y.; Zhou, Y.; Lu, M.; Guo, X.; Yang, D.; Lou, H.; Qiu, X.; Guo, C.F. Direct Construction of Catechol Lignin for Engineering Long-Acting Conductive, Adhesive, and UV-Blocking Hydrogel Bioelectronics. Small Methods 2021, 5, 2001311. [Google Scholar] [CrossRef] [PubMed]
- Kong, X.; Liu, C.; Fan, Y.; Li, M.; Xiao, R. Depolymerization of Methylene Linkage in Condensed Lignin with Commercial Zeolite in Water. ACS Catal. 2023, 13, 10048–10055. [Google Scholar] [CrossRef]
- Cannatelli, M.D.; Ragauskas, A.J. Conversion of Lignin into Value-Added Materials and Chemicals via Laccase-Assisted Copolymerization. Appl. Microbiol. Biotechnol. 2016, 100, 8685–8691. [Google Scholar] [CrossRef]
- Sathawong, S.; Sridach, W.; Techato, K. Lignin: Isolation and Preparing the Lignin Based Hydrogel. J. Environ. Chem. Eng. 2018, 6, 5879–5888. [Google Scholar] [CrossRef]
- Liu, Z.; Liu, T.; Li, Y.; Zhang, X.; Xu, Y.; Li, J.; Gao, Q. Performance of Soybean Protein Adhesive Cross-Linked by Lignin and Cuprum. J. Clean. Prod. 2022, 366, 132906. [Google Scholar] [CrossRef]
- Wei, Y.; Song, M.; Yu, L.; Tang, X. Preparation of ZnO-Loaded Lignin-Based Carbon Fiber for the Electrocatalytic Oxidation of Hydroquinone. Catalysts 2017, 7, 180. [Google Scholar] [CrossRef]
- Long, L.; Yang, F.; Lv, B.; Chen, C.; Xiang, Z. Determination of bonding strength. In Test Methods for Physical and Chemical Properties of Wood-Based Panels and Veneered Wood-Based Panels (GB/T 17657-2013), 2nd ed.; General Administration of Quality Supervision, Inspection and Quarantine of the People’s Republic of China; Standardization Administration of the People’s Republic of China: Beijing, China, 2022; pp. 29–31. [Google Scholar]
- Long, L.; Duan, X.; Cao, Z.; Gu, S.; Liu, Y.; Xu, J. Physical and chemical properties. In Plywood for General Use (GB/T 9846-2015), 2nd ed.; China Standard Publishing Co.: Beijing, China, 2015; pp. 2–9. [Google Scholar]
- Da Costa Sousa, L.; Jin, M.; Chundawat, S.P.S.; Bokade, V.; Tang, X.; Azarpira, A.; Lu, F.; Avci, U.; Humpula, J.; Uppugundla, N.; et al. Next-Generation Ammonia Pretreatment Enhances Cellulosic Biofuel Production. Energy Environ. Sci. 2016, 9, 1215–1223. [Google Scholar] [CrossRef]
- Wen, J.-L.; Yuan, T.-Q.; Sun, S.-L.; Xu, F.; Sun, R.-C. Understanding the Chemical Transformations of Lignin during Ionic Liquid Pretreatment. Green Chem. 2014, 16, 181–190. [Google Scholar] [CrossRef]
- Shao, Q.; Zhao, C. Assessment of the Lignin-Derived Inhibition of Enzymatic Hydrolysis by Adding Untreated and Ammonia-Fiber-Expansion-Treated Lignin Isolated from Switchgrass. Energy Fuels 2016, 30, 9517–9523. [Google Scholar] [CrossRef]
- Shuai, L.; Amiri, M.T.; Questell-Santiago, Y.M.; Héroguel, F.; Li, Y.; Kim, H.; Meilan, R.; Chapple, C.; Ralph, J.; Luterbacher, J.S. Formaldehyde Stabilization Facilitates Lignin Monomer Production during Biomass Depolymerization. Science 2016, 354, 329–333. [Google Scholar] [CrossRef]
- Zhao, C.; Qiao, X.; Shao, Q.; Hassan, M.; Ma, Z.; Yao, L. Synergistic Effect of Hydrogen Peroxide and Ammonia on Lignin. Ind. Crop. Prod. 2020, 146, 112177. [Google Scholar] [CrossRef]
- Bansode, A.; Portilla Villarreal, L.A.; Wang, Y.; Asafu-Adjaye, O.; Via, B.K.; Farag, R.; Vega Erramuspe, I.B.; Auad, M.L. Kraft Lignin Periodate Oxidation for Biobased Wood Panel Resins. ACS Appl. Polym. Mater. 2023, 5, 4118–4126. [Google Scholar] [CrossRef]
- Zhao, Y.; Zhang, Q.; Lei, H.; Zhou, X.; Du, G.; Pizzi, A.; Xi, X. Preparation and Fire Resistance Modification on Tannin-Based Non-Isocyanate Polyurethane (NIPU) Rigid Foams. Int. J. Biol. Macromol. 2024, 258, 128994. [Google Scholar] [CrossRef]
- Gosselink, R.J.A.; Van Dam, J.E.G.; De Jong, E.; Gellerstedt, G.; Scott, E.L.; Sanders, J.P.M. Effect of Periodate on Lignin for Wood Adhesive Application. Holzforschung 2011, 65, 155–162. [Google Scholar] [CrossRef]
- Song, J.; Chen, S.; Zhang, Q.; Xi, X.; Lei, H.; Du, G.; Pizzi, A. Preparation and Characterization of the Bonding Performance of a Starch-Based Water Resistance Adhesive by Schiff Base Reaction. Int. J. Biol. Macromol. 2023, 251, 126254. [Google Scholar] [CrossRef]
- Wang, L.; Li, X.; Gao, F.; Liu, S.; Wu, Y.; Liu, Y.; Zhang, D. Effects of Jet Milling Pretreatment and Esterification with Octenyl Succinic Anhydride on Physicochemical Properties of Corn Starch. Foods 2022, 11, 2893. [Google Scholar] [CrossRef]
- Lin, H.; Chen, X.; Lei, H.; Zhou, X.; Du, G.; Essawy, H.; Xi, X.; Hou, D.; Song, J.; Cao, M. Synthesis and Characterization of a Bio-Aldehyde-Based Lignin Adhesive with Desirable Water Resistance. Int. J. Biol. Macromol. 2024, 264, 130020. [Google Scholar] [CrossRef]
- Lei, H.; Wu, Z.; Cao, M.; Du, G. Study on the Soy Protein-Based Wood Adhesive Modified by Hydroxymethyl Phenol. Polymers 2016, 8, 256. [Google Scholar] [CrossRef]
- Li, J.; Lei, H.; Xi, X.; Li, C.; Hou, D.; Song, J.; Du, G. A Sustainable Tannin-Citric Acid Wood Adhesive with Favorable Bonding Properties and Water Resistance. Ind. Crop. Prod. 2023, 201, 116933. [Google Scholar] [CrossRef]












| Name | C1s/% | N1s/% | O1s/% |
|---|---|---|---|
| L | 73.24 | 2.06 | 24.7 |
| OL | 71.69 | 1.44 | 26.87 |
| Name | C1s/% | N1s/% | O1s/% |
|---|---|---|---|
| SM | 65.41 | 8.06 | 26.53 |
| OL | 71.69 | 1.44 | 26.87 |
| OLS | 66.38 | 7.61 | 26.01 |
Disclaimer/Publisher’s Note: The statements, opinions and data contained in all publications are solely those of the individual author(s) and contributor(s) and not of MDPI and/or the editor(s). MDPI and/or the editor(s) disclaim responsibility for any injury to people or property resulting from any ideas, methods, instructions or products referred to in the content. |
© 2024 by the authors. Licensee MDPI, Basel, Switzerland. This article is an open access article distributed under the terms and conditions of the Creative Commons Attribution (CC BY) license (https://creativecommons.org/licenses/by/4.0/).
Share and Cite
Zhang, W.; Liu, C.; Du, Z.; Wang, H.; Du, G.; Essawy, H.; Lei, H.; Xi, X.; Zhou, X.; Cao, M. Soybean Meal–Oxidized Lignin as Bio-Hybridized Wood Panel Adhesives with Increased Water Resistance. Forests 2024, 15, 1036. https://doi.org/10.3390/f15061036
Zhang W, Liu C, Du Z, Wang H, Du G, Essawy H, Lei H, Xi X, Zhou X, Cao M. Soybean Meal–Oxidized Lignin as Bio-Hybridized Wood Panel Adhesives with Increased Water Resistance. Forests. 2024; 15(6):1036. https://doi.org/10.3390/f15061036
Chicago/Turabian StyleZhang, Wenbin, Chengyuan Liu, Zhiyuan Du, Hui Wang, Guanben Du, Hisham Essawy, Hong Lei, Xuedong Xi, Xiaojian Zhou, and Ming Cao. 2024. "Soybean Meal–Oxidized Lignin as Bio-Hybridized Wood Panel Adhesives with Increased Water Resistance" Forests 15, no. 6: 1036. https://doi.org/10.3390/f15061036
APA StyleZhang, W., Liu, C., Du, Z., Wang, H., Du, G., Essawy, H., Lei, H., Xi, X., Zhou, X., & Cao, M. (2024). Soybean Meal–Oxidized Lignin as Bio-Hybridized Wood Panel Adhesives with Increased Water Resistance. Forests, 15(6), 1036. https://doi.org/10.3390/f15061036

