Fractionation of Inorganic Phosphorus in Cold Temperate Forest Soils: Associating Mechanisms of Soil Aggregate Protection and Recovery Periods after Forest Fire Disturbance
Abstract
1. Introduction
2. Materials and Methods
2.1. Study Area
2.2. Soil Sample Collection
2.3. Soil Grouping Method and P Fractionation
3. Results
3.1. P Fractionation and Influencing Factors in Bulk Soils
3.1.1. TP and P Fractionation
3.1.2. Influencing Factors
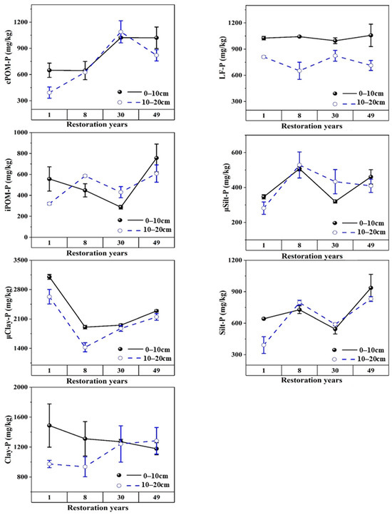
3.2. P Fractionation in Soil Aggregates
4. Discussion
4.1. P Fractionation Characteristics in Bulk Soils
4.1.1. The Trend for TP during Different Restoration Periods
4.1.2. The Characteristics of P Fractionation
4.2. P Fractionation Characteristics in Soil Aggregates
4.2.1. TP Characteristics
4.2.2. P fractionation Characteristics
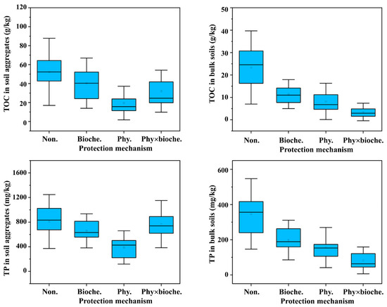
4.3. Soil Aggregate Protection Mechanisms
4.3.1. Characteristics of C and P under Various Protection Mechanisms
4.3.2. Association between C and P under Various Protection Mechanisms
5. Conclusions
Supplementary Materials
Author Contributions
Funding
Data Availability Statement
Conflicts of Interest
References
- Zhao, Q.; Zeng, D. Phosphorus cycling in terrestrial ecosystems and its controlling factors. Acta Phytoecol. Sin. 2005, 29, 153–163. [Google Scholar]
- Lü, C.W.; Wang, B.; He, J.; Vogt, R.D.; Zhou, B.; Guan, R.; Zuo, L.; Wang, W.Y.; Xie, Z.L.; Wang, J.H.; et al. Responses of organic phosphorus fractionation to environmental conditions and lake evolution. Environ. Sci. Technol. 2016, 50, 5007–5016. [Google Scholar] [CrossRef]
- Bolan, N.S. Organic phosphorus in the environment. J. Environ. Qual. 2005, 34, 1930–1931. [Google Scholar] [CrossRef]
- Sah, R.N.; Mikkelsen, D.S. Phosphorus behavior in flooded-drained soils. I. Effects on phosphorus sorption. Soil Sci. Soc. Am. J. 1989, 53, 1718–1722. [Google Scholar] [CrossRef]
- Sah, R.N.; Mikkelsen, D.S. Transformations of inorganic phosphorus during the flooding and draining cycles of soil. Soil Sci. Soc. Am. J. 1986, 50, 62–67. [Google Scholar] [CrossRef]
- Ryan, J.; Hasan, H.M.; Baasiri, M.; Tabbara, H.S. Availability and transformation of applied phosphorus in calcareous Lebanese soils. Soil Sci. Soc. Am. J. 1985, 49, 1215–1220. [Google Scholar] [CrossRef]
- Cheng, C.; Cao, C.Y. Transformations and availability of inorganic phosphorus in calcareous soils during flooding and draining alternating process. Acta Pet. Sin. 1997, 34, 382–391. [Google Scholar]
- Li, F.Y.; Gao, Z.Q. Study of phosphorus biological availability in the soil-plant rhizosphere. Chin. J. Ecol. 1997, 5, 58–61. [Google Scholar]
- Zhang, J.Y.; Zhao, H.L. Changes in soil particles fraction and their effects on stability of soil-vegetation system in restoration processes of degraded sandy grassland. Ecol. Environ. Sci. 2009, 18, 1395–1401. [Google Scholar]
- Kleber, M.; Bourg, L.C.; Coward, E.K.; Hansel, C.M.; Myneni, S.C.B.; Nunan, N. Dynamic interactions at the mineral–organic matter interface. Nat. Rev. Earth Environ. 2021, 2, 402–421. [Google Scholar] [CrossRef]
- Shabtai, L.A.; Wilhelm, R.C.; Schweizer, S.A.; Höschen, C.; Buckley, D.H.; Lehmann, J. Calcium promotes persistent soil organic matter by altering microbial transformation of plant litter. Nat. Commun. 2023, 14, 6609. [Google Scholar] [CrossRef] [PubMed]
- Georgiou, K.; Koven, C.D.; Wieder, W.R.; Hartman, M.D.; Riley, W.J.; Pett-Ridge, J.; Bouskill, N.J.; Abramoff, R.Z.; Slessarev, E.W.; Ahlström, A.; et al. Emergent temperature sensitivity of soil organic carbon driven by mineral associations. Nat. Geosci. 2024, 17, 205–212. [Google Scholar] [CrossRef]
- Wang, X.B.; Cai, D.X.; Zhang, Z.T.; Gao, X.K. Fertilizer, retention and their movement. Agric. Res. Arid Areas 1997, 15, 67–71. [Google Scholar]
- Zhao, Y.P.; Liu, C.Z.; Li, X.Q.; Ma, L.X.; Zhai, G.Q.; Feng, X.J. Sphagnum increases soil’s sequestration capacity of mineral-associated organic carbon via activating metal oxides. Nat. Commun. 2023, 14, 5052. [Google Scholar] [CrossRef] [PubMed]
- Six, J.; Conant, R.T.; Paul, E.A.; Paustian, K. Stabilization mechanisms of soil organic matter: Implications for C-saturation of soils. Plant Soil. 2002, 241, 155–176. [Google Scholar] [CrossRef]
- Stewart, C.E.; Plante, A.F.; Paustian, K.; Conant, R.T.; Six, J. Soil carbon saturation: Linking concept and measurable carbon pools. Soil Sci. Soc. Am. J. 2008, 72, 379–392. [Google Scholar] [CrossRef]
- Xu, X. The Research by Ditribution of Organic Carbon and Total Nitrogen and Adsorption of Zn in Different Fractions under Warming Condition. Master’s Thesis, Nanjing Agricultural University, Nanjing, China, 2018. [Google Scholar]
- Ranatunga, T.D.; Reddy, S.S.; Taylor, R.W. Phosphorus distribution in soil aggregate size fractions in a poultry litter applied soil and potential environmental impacts. Geoderma 2013, 192, 446–452. [Google Scholar] [CrossRef]
- Nesper, M.; Bünemann, E.K.; Fonte, S.J.; Rao, I.M.; Velásquez, J.E.; Ramirez, B.; Hegglin, D.; Frossard, E.; Oberson, A. Pasture degradation decreases organic P content of tropical soils due to soil structural decline. Geoderma 2015, 257–258, 123–133. [Google Scholar] [CrossRef]
- Wang, R.; Creamer, C.A.; Wang, X.; He, P.; Xu, Z.W.; Jiang, Y. The effects of a 9-year nitrogen and water addition on soil aggregate phosphorus and sulfur availability in a semi-arid grassland. Ecol. Indic. 2016, 61, 806–814. [Google Scholar] [CrossRef]
- Cui, H.; Ou, Y.; Wang, L.X.; Wu, H.T.; Yan, B.X.; Li, Y.X. Distribution and release of phosphorus fractions associated with soil aggregate structure in restored wetlands. Chemosphere 2019, 223, 319–329. [Google Scholar] [CrossRef]
- Chen, E.; Zhou, L.; Wu, G. Performances of soil microaggregates in storing and supplying moisture and nutrients and role of their compositional proportion in judging fertility level. Acta Petrol. Sin. 1994, 31, 18–25. [Google Scholar]
- Sapkota, S.; Ghimire, R.; Schutte, B.J.; Idowu, O.J.; Angadi, S. Soil aggregates and associated carbon and nitrogen storage in circular grass buffer integrated cropping systems. J. Soils Sediments 2024, 24, 1665–1679. [Google Scholar] [CrossRef]
- Kubar, K.A.; Kalhoro, S.A.; Memon, S.A.; Nehela, Y.; Korai, P.K.; Ahmed, M.; Narejo, M.N. Dynamics of organic carbon fractions, soil fertility, and aggregates affected by diverse land-use cultivation systems in semiarid degraded land. J. Soil Sci. Plant Nutr. 2024, 24, 524–536. [Google Scholar] [CrossRef]
- Worrell, R.; Hampson, A. The influence of some forest operations on the sustainable management of forest soils—A review. Forestry 1997, 70, 61–85. [Google Scholar] [CrossRef]
- Gao, M.; Zhu, Y.J.; Dong, X.B.; Wang, Y.M. Effects of tending felling on soil chemical properties of timber stands in Xiaoxing’an Mountains. J. For. Univ. 2013, 41, 17–18, 39. [Google Scholar]
- Phillips, C.A.; Rogers, B.M.; Elder, M.; Cooperdock, S.; Moubarak, M.; Randerson, J.T.; Frumhoff, P.C. Escalating carbon emissions from north American boreal forest wildfires and the climate mitigation potential of fire management. Sci. Adv. 2022, 8, eabl7161. [Google Scholar] [CrossRef]
- Gajendiran, K.; Kandasamy, S.; Narayanan, M. Influences of wildfire on the forest ecosystem and climate change: A comprehensive study. Environ. Res. 2024, 240, 117537. [Google Scholar] [CrossRef]
- Pellegrini, A.F.A.; Harden, J.; Georgiou, K.; Hemes, K.S.; Malhotra, A.; Nolan, C.J.; Jackson, R.B. Fire effects on the persistence of soil organic matter and long-term carbon storage. Nat. Geosci. 2022, 15, 5–13. [Google Scholar] [CrossRef]
- Wang, A. Improved NDVI Time Series to Access the Temporal and Spatial Dynamics of Post-Fire Forest Recovery. Master’s Thesis, Harbin Normal University, Harbin, China, 2018. [Google Scholar]
- DeLuca, T.H.; MacKenzie, M.D.; Gundale, M.J.; Holben, W.E. Wildfire-produced charcoal directly influences nitrogen cycling in ponderosa pine forests. Soil Sci. Soc. Am. J. 2006, 70, 448–453. [Google Scholar] [CrossRef]
- Li, T.; Cui, L.Z.; Liu, L.L.; Chen, Y.; Liu, H.D.; Song, X.F.; Xu, Z.H. Advances in the study of global forest wildfires. J. Soils Sediments 2023, 23, 2654–2668. [Google Scholar] [CrossRef]
- Xiao, R.H.; Man, X.L.; Duan, B.X. Carbon and nitrogen stocks in three types of larix gmelinii forests in Daxing’an Mountains. Forests 2020, 11, 305. [Google Scholar] [CrossRef]
- Wang, B.; Gong, Z.Q.; Meng, M.; Zhang, Q.L. The soil aggregates and associated organic carbon across the Greater Khingan Mountains: Spatial patterns and impacting factors. Forests 2022, 13, 1267. [Google Scholar] [CrossRef]
- Liu, B. Study on Phytolith and Sequestration Effect of Soil of Different Forest Types in Cold Temperate Zone. Master’s Thesis, Inner Mongolia University, Hohhot, China, 2019. [Google Scholar]
- Wang, Z. The Response of Soil Respiration to Wildfire Interference and Burned Area Management in the Permafrost Region of Daxing’an Mountains. Ph.D. Thesis, Inner Mongolia Agricultural University, Hohhot, China, 2020. [Google Scholar]
- Yu, Z. Forest Soil Phytolith and Its Storages Effect in Cold Temperate Zone Based on Forest Age. Master’s Thesis, Inner Mongolia University, Hohhot, China, 2019. [Google Scholar]
- Wang, B.; Zhou, Y.; Zhang, Q.L. Effects of larix gmelinii stand age on composition and organic carbon content of soil aggregates. Chin. J. Ecol. 2021, 40, 1618–1628. [Google Scholar]
- Stewart, C.E.; Paustian, K.; Conant, R.T.; Plante, A.F.; Six, J. Soil carbon saturation: Implications for measurable carbon pool dynamics in long-term incubations. Soil Biol. Biochem. 2009, 41, 357–366. [Google Scholar] [CrossRef]
- Zhu, G.W.; Qin, B.Q. Chemical sequential extraction of phosphorus in lake sediments. J. Agro-Environ. Sci. 2003, 22, 349–352. [Google Scholar]
- Li, Y.; Wu, D.N.; Xue, Y.X. A development sequential extraction method for different forms of phosphorus in the sediments and its environmental geochemical significance. Mar. Environ. Sci. 1998, 17, 16–21. [Google Scholar]
- Tan, L.X.; Kang, D.J.; Liu, C.; Zhu, L.Z.; Shen, Q.S.; Chen, K.N. Mechanisms of phosphorus source-sink transformation across the sediment-water interface of a hilly and mountainous reservoir. Chin. Environ. Sci. 2024, 44, 2137–2147. [Google Scholar]
- Xiang, S.L.; Chu, M.H.; Liu, L.Z.; Zhu, L.; Wu, Y.M.; Liang, P.Y. Characteristics and release risk of phosphorus fractions in sediments of Nanchang section of Ganjiang river, Lake Poyang Basin. J. Lake Sci. 2024, 36, 1–12. [Google Scholar]
- Lü, A.F.; Tian, H.Q.; Liu, Y.Q. State of the art in quantifying fire disturbance and ecosystem carbon cycle. Acta Ecol. Sin. 2005, 25, 2734–2743. [Google Scholar]
- Yang, Y.; Zhang, X.T.; Xiao, L.; Yang, Y.B.; Wang, K.; Du, H.J.; Zhang, J.Y.; Wang, W.J. Effect of forest-fire rehabilitation time on plant diversity in Daxing’an Mountains, northeastern China. Bull. Bot. Res. 2019, 39, 514–520. [Google Scholar]
- Xia, Y.H.; Zhang, X.P.; Dai, J.J.; Wang, R.; Luo, Z.D. Time-lag effects between meteorological factors and transpiration of Cinnamomun camphora in the subtropical monsoon region. J. Soil Water Conserv. 2021, 35, 194–203. [Google Scholar]
- Matzner, E.; Ulrich, B. Rates of deposition, of soil internal production and of turnover of protons in two forest ecosystems. Z. Pflanzenernaehr. Bodenkd. 1984, 147, 290–308. [Google Scholar] [CrossRef]
- Guo, Z.L.; Li, L.; Liu, X.Y.; Li, J.; Cao, X.Y. Analysis of the inorganic phosphorus sorption characteristics of two kinds of iron oxides. Period. Ocean Univ. Chin. 2021, 51, 42–48. [Google Scholar]
- Liu, H.Y.; Huang, J.G. Dynamics of soil properties under secondary succession forest communities in Mt. Jinyun. Chin. J. Appl. Ecol. 2005, 16, 37–42. [Google Scholar]
- D’Angelo, E.M.; Reddy, K.R. Diagenesis of organic matter in a wetland receiving hypereutrophic lake water: I. Distribution of dissolved nutrients in the soil and water column. J. Environ. Qual. 1994, 23, 928–936. [Google Scholar] [CrossRef] [PubMed]
- Ma, H.; Zhao, B.Y.; Li, L.; Xie, F.; Zhou, H.J.; Zheng, Q.; Wang, X.H.; He, J.; Lü, C.W. Fractionation trends of phosphorus associating with iron fractions: An explanation by the simultaneous extraction procedure. Soil Till. Res. 2019, 190, 41–49. [Google Scholar] [CrossRef]
- Cao, L.; Ji, F.; Lin, M.; Wang, T.; Li, S. Impact of organic matter on phosphorus release in sediments from the fluctuating zone of three gorges reservoir area. Res. Environ. Sci. 2011, 24, 185–190. [Google Scholar]
- Cambardella, C.A.; Elliott, E.T. Particulate soil organic-matter changes across a grassland cultivation sequence. Soil Sci. Soc. Am. J. 1992, 56, 777–783. [Google Scholar] [CrossRef]
- Yu, X. Effects of Exogenous Carbon on Particulate Organic Carbon and Enzyme Activities. Master’s Thesis, Fujian Agriculture and Forestry University, Xiamen, China, 2014. [Google Scholar]
- Zhou, R. The Speciation of Phosphorus in Sediments of the Yellow River and Its Main Inflow Sands. Master’s Thesis, Inner Mongolia University, Hohhot, China, 2007. [Google Scholar]
- Redel, Y.; Rubio, R.; Godoy, R.; Borie, F. Phosphorus fractions and phosphatase activity in an Andisol under different forest ecosystems. Geoderma 2008, 145, 216–221. [Google Scholar] [CrossRef]
- Zhang, L.; Wu, Y.; Wu, N.; Kong, L.; Liu, L.; Hu, H.Y. The soil phosphorus form under different vegetation types near timber line during non-growing season. Acta Ecol. Sin. 2010, 30, 3457–3464. [Google Scholar]
- Oades, J.M. Soil organic matter and structural stability: Mechanisms and implications for management. Plant Soil. 1984, 76, 319–337. [Google Scholar] [CrossRef]
- Angers, D.A.; Recous, S.; Aita, C. Fate of carbon and nitrogen in water-stable aggregates during decomposition of 13C 15N-labelled wheat straw in situ. Eur. J. Soil Sci. 1997, 48, 295–300. [Google Scholar] [CrossRef]
- Zhang, Y. Stabilization Mechanisms of Soil Organic Carbon in Chinese Fir Plantations. Ph.D. Thesis, Fujian Agriculture and Forestry University, Xiamen, China, 2017. [Google Scholar]
- Jastrow, J.D. Soil aggregate formation and the accrual of particulate and mineral-associated organic matter. Soil Biol. Biochem. 1996, 28, 665–676. [Google Scholar] [CrossRef]
- Dungait, J.A.J.; Hopkins, D.W.; Gregory, A.S.; Whitmore, A.P. Soil organic matter turnover is governed by accessibility not recalcitrance. Glob. Chang. Biol. 2012, 18, 1781–1796. [Google Scholar] [CrossRef]
- Mujuru, L.; Gotora, T.; Velthorst, E.J.; Nyamangara, J.; Hoosbeek, M.R. Soil carbon and nitrogen sequestration over an age sequence of Pinus patula plantations in Zimbabwean Eastern Highlands. For. Ecol. Manag. 2014, 313, 254–265. [Google Scholar] [CrossRef]
- Gu, B.H.; Schmitt, J.G.; Chen, Z.H.; Liang, L.H.; McCarthy, J.F. Adsorption and desorption of natural organic matter on iron oxide: Mechanisms and models. Environ. Sci. Technol. 1994, 28, 38–46. [Google Scholar] [CrossRef]








Disclaimer/Publisher’s Note: The statements, opinions and data contained in all publications are solely those of the individual author(s) and contributor(s) and not of MDPI and/or the editor(s). MDPI and/or the editor(s) disclaim responsibility for any injury to people or property resulting from any ideas, methods, instructions or products referred to in the content. |
© 2024 by the authors. Licensee MDPI, Basel, Switzerland. This article is an open access article distributed under the terms and conditions of the Creative Commons Attribution (CC BY) license (https://creativecommons.org/licenses/by/4.0/).
Share and Cite
Wang, B.; Li, R.; Wang, Z.; Sa, R. Fractionation of Inorganic Phosphorus in Cold Temperate Forest Soils: Associating Mechanisms of Soil Aggregate Protection and Recovery Periods after Forest Fire Disturbance. Forests 2024, 15, 875. https://doi.org/10.3390/f15050875
Wang B, Li R, Wang Z, Sa R. Fractionation of Inorganic Phosphorus in Cold Temperate Forest Soils: Associating Mechanisms of Soil Aggregate Protection and Recovery Periods after Forest Fire Disturbance. Forests. 2024; 15(5):875. https://doi.org/10.3390/f15050875
Chicago/Turabian StyleWang, Bing, Ruihua Li, Zihao Wang, and Rula Sa. 2024. "Fractionation of Inorganic Phosphorus in Cold Temperate Forest Soils: Associating Mechanisms of Soil Aggregate Protection and Recovery Periods after Forest Fire Disturbance" Forests 15, no. 5: 875. https://doi.org/10.3390/f15050875
APA StyleWang, B., Li, R., Wang, Z., & Sa, R. (2024). Fractionation of Inorganic Phosphorus in Cold Temperate Forest Soils: Associating Mechanisms of Soil Aggregate Protection and Recovery Periods after Forest Fire Disturbance. Forests, 15(5), 875. https://doi.org/10.3390/f15050875

