Revealing the Effect of Typhoons on the Stability of Residual Soil Slope by Wind Tunnel Test
Abstract
1. Introduction
2. Description of the Study Area
3. Implementation of the Wind Tunnel Model Test
3.1. Principle of the Test and Parameter Determination
3.2. Physical Model Design
3.3. Test Instruments and Setting
3.4. Data Collection and Processing
- (i)
- Vegetation: Taking photos of the vegetation on the slope after each group of experiments, and recording their details, including the dumping number, inclination direction, and angle.
- (ii)
- Crack development: Recording the details of the cracks on the slope surface after each group of experiments, including number, length, and width.
- (iii)
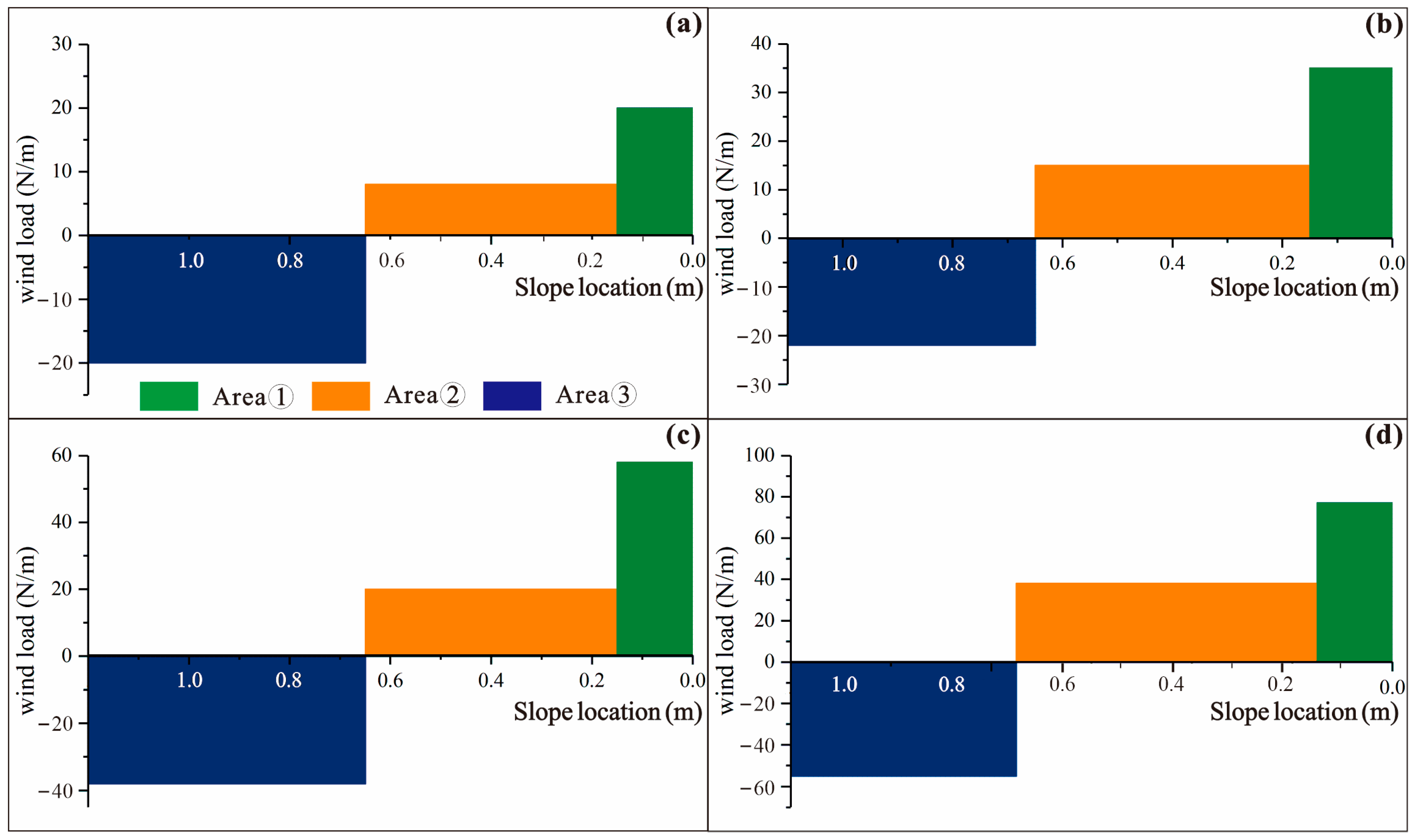
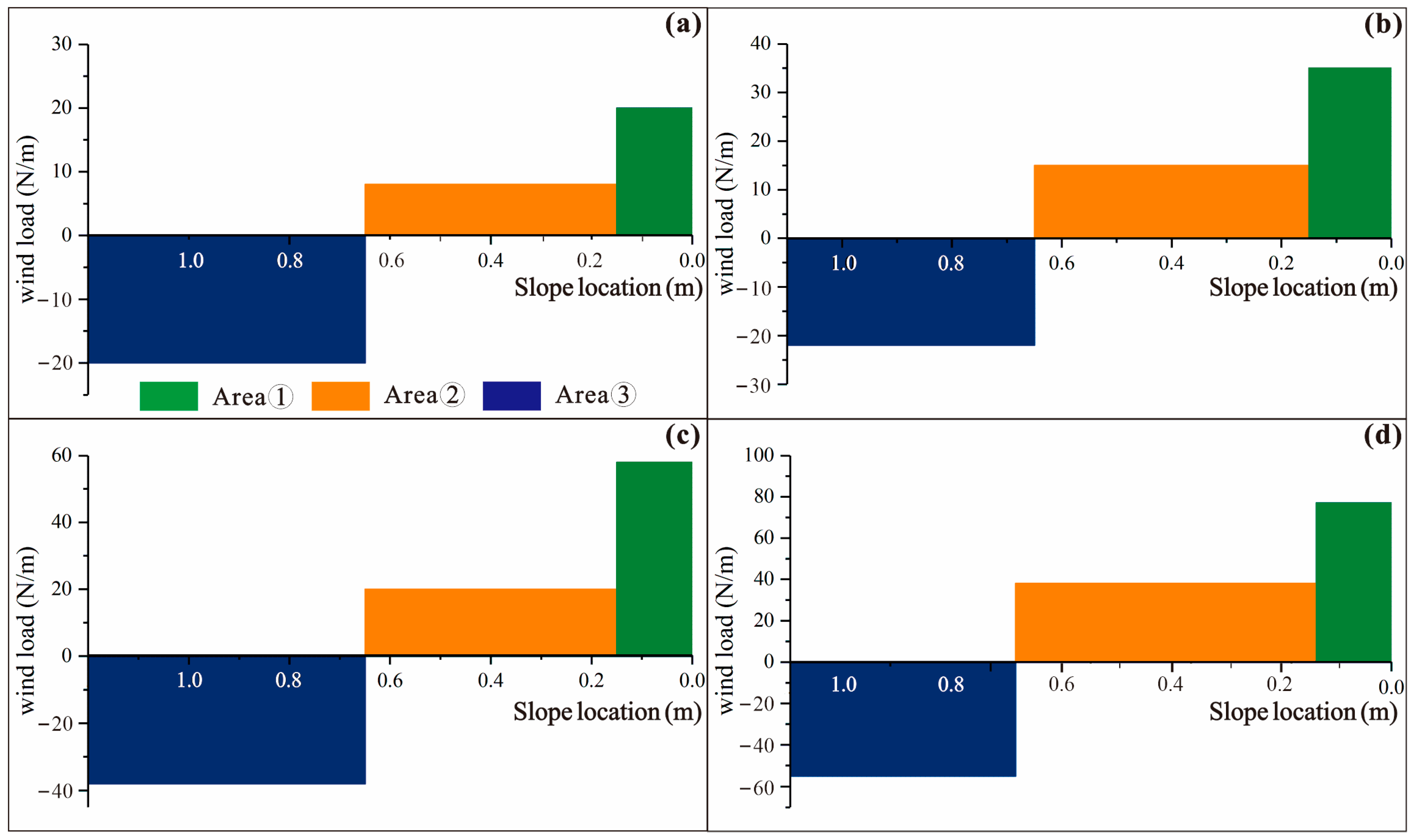
- Wind pressure and wind load: Monitoring and recording wind pressure values on the ground and on the trees. As shown in Figure 5a, the model slope was divided into three profiles for comparison and analysis. After obtaining the wind pressure data of the trees, the MATLAB R2020b software was used to desiccate and thin the data to produce the curves of wind pressure with time for each model tree at different heights. The positive values represented the pressure effect, while the negative values represented the suction effect. To facilitate the calculation of wind load, each tree was divided into three wind pressure zones, namely A, B, and C (Figure 5b). The wind pressure values in these zones were represented by the monitoring data from points a, b, and c (Figure 4a). Moreover, the wind pressure values on the slope surface were represented by the data from the monitoring point on the ground. The wind load value of each area was calculated by multiplying the wind pressure with the force area.
- (iv)
- Permeability coefficient: At the end of each set of experiments, in situ soil samples were taken at the top of the slope location using an iron cylinder, followed by an indoor infiltration test. The cylinders had a diameter of 15 cm and a height of 20 cm, and each sample was taken at a depth of 15 cm. Darcy’s law was used to design the infiltration test [45,46]. An in situ soil sample was placed on a sump with a 2 cm high sidewall, and the sump was filled with water both at the top and at the bottom of the sample. When the sump began to overflow, the sample was left in the sump for an hour. Meanwhile, the upper boundary was filled with water every five minutes, and the amount of water added was calculated. When the amount of water was stabilized, the permeability coefficient of the soil sample was obtained using Darcy’s law.
- (v)
- Slope stability: In order to analyze and compare the effect of wind on the sliding force and slope stability under different situations, the residual thrust [47] and safety factor were calculated.
4. Results and Discussion
4.1. Vegetation Damage
4.2. Analysis of Wind Pressure
4.3. Analysis of Wind Load
4.4. Permeability Coefficient and Stability
4.5. Limitations and Future Works
5. Conclusions
Supplementary Materials
Author Contributions
Funding
Data Availability Statement
Conflicts of Interest
References
- Abancó, C.; Bennett, G.L.; Matthews, A.J.; Matera, M.A.M.; Tan, F.J. The role of geomorphology, rainfall and soil moisture in the occurrence of landslides triggered by 2018 Typhoon Mangkhut in the Philippines. Nat. Hazards Earth Syst. Sci. 2021, 21, 1531–1550. [Google Scholar]
- Chang, K.T.; Chiang, S.H.; Hsu, M.L. Modeling typhoon- and earthquake-induced landslides in a mountainous watershed using logistic regression. Geomorphology 2007, 89, 335–347. [Google Scholar] [CrossRef]
- Guo, Z.; Tian, B.; He, J.; Xu, C.; Zeng, T.; Zhu, Y. Hazard assessment for regional typhoon-triggered landslides by using physically-based model—A case study from southeastern China. Georisk Assess. Manag. Risk Eng. Syst. Geohazards 2023, 17, 740–754. [Google Scholar] [CrossRef]
- Qin, H.; He, J.; Guo, J.; Cai, L. Developmental characteristics of rainfall-induced landslides from 1999 to 2016 in Wenzhou City of China. Front. Earth Sci. 2022, 10, 1005199. [Google Scholar] [CrossRef]
- Froude, M.J.; Petley, D.N. Global fatal landslide occurrence from 2004 to 2016. Nat. Hazards Earth Syst. Sci. 2018, 18, 2161–2181. [Google Scholar] [CrossRef]
- Guo, Z.; Chen, L.; Yin, K.; Shrestha, D.P.; Zhang, L. Quantitative risk assessment of slow-moving landslides from the viewpoint of decision-making: A case study of the Three Gorges Reservoir in China. Eng. Geol. 2020, 273, 105667. [Google Scholar] [CrossRef]
- Ouyang, C.; Zhao, W.; Xu, Q.; Peng, D.; Li, W.; Wang, D.; Zhou, S.; Hou, S. Failure mechanisms and characteristics of the 2016 catastrophic rockslide at Su village, Lishui, China. Landslides 2018, 15, 1391–1400. [Google Scholar] [CrossRef]
- Zeng, T.; Guo, Z.; Wang, L.; Jin, B.; Wu, F.; Guo, R. Tempo-Spatial Landslide Susceptibility Assessment from the Perspective of Human Engineering Activity. Remote Sens. 2023, 15, 4111. [Google Scholar] [CrossRef]
- Song, Y.; Liu, L.; Yan, P.; Cao, T. A review of soil erodibility in water and wind erosion research. Ecol. Environ. 2005, 15, 167–176. [Google Scholar]
- Dialynas, Y.G.; Bastola, S.; Bras, R.L.; Marin-Spiotta, E.; Silver, W.L.; Arnone, E.; Noto, L.V. Impact of hydrologically driven hillslope erosion and landslide occurrence on soil organic carbon dynamics in tropical watersheds. Water Resour. Res. 2016, 52, 8895–8919. [Google Scholar] [CrossRef]
- Zhang, S.; Li, C.; Peng, J.; Zhou, Y.; Wang, S.; Chen, Y.; Tang, Y. Fatal landslides in China from 1940 to 2020: Occurrences and vulnerabilities. Landslides 2023, 20, 1243–1264. [Google Scholar] [CrossRef]
- Elliott, R.J.; Strobl, E.; Sun, P. The local impact of typhoons on economic activity in China: A view from outer space. J. Urban Econ. 2015, 88, 50–66. [Google Scholar] [CrossRef]
- Ren, R.; Yu, D.; Wang, L.; Wang, K.; Wang, H.; He, S. Typhoon triggered operation tunnel debris flow disaster in coastal areas of SE China. Geomat. Nat. Hazards Risk 2019, 10, 562–575. [Google Scholar] [CrossRef]
- Tsai, T.T.; Tsai, Y.J.; Shieh, C.L.; Wang, J.H.C. Triggering Rainfall of Large-Scale Landslides in Taiwan: Statistical Analysis of Satellite Imagery for Early Warning Systems. Water 2022, 14, 3358. [Google Scholar] [CrossRef]
- Jones, J.N.; Bennett, G.L.; Abancó, C.; Matera, M.A.M.; Tan, F.J. Multi-event assessment of typhoon-triggered landslide susceptibility in the Philippines. Nat. Hazards Earth Syst. Sci. 2023, 23, 1095–1115. [Google Scholar] [CrossRef]
- Cui, Y.; Jin, J.; Huang, Q.; Yuan, K.; Xu, C. A data-driven model for spatial shallow landslide probability of occurrence due to a typhoon in Ningguo City, Anhui Province, China. Forests 2022, 13, 732. [Google Scholar] [CrossRef]
- Shou, K.J.; Yang, C.M. Predictive analysis of landslide susceptibility under climate change conditions—A study on the Chingshui River Watershed of Taiwan. Eng. Geol. 2015, 192, 46–62. [Google Scholar] [CrossRef]
- Medina, V.; Hürlimann, M.; Guo, Z.; Lloret, A.; Vaunat, J. Fast physically-based model for rainfall-induced landslide susceptibility assessment at regional scale. Catena 2021, 201, 105213. [Google Scholar] [CrossRef]
- Trandafir, A.C.; Sidle, R.C.; Gomi, T.; Kamai, T. Monitored and simulated variations in matric suction during rainfall in a residual soil slope. Environ. Geol. 2008, 55, 951–961. [Google Scholar] [CrossRef]
- Kamran, M.; Hu, X.; Hussain, M.A.; Sanaullah, M.; Ali, R.; He, K. Dynamic Response and Deformation Behavior of Kadui-2 Landslide Influenced by Reservoir Impoundment and Rainfall, Baoxing, China. J. Earth Sci. 2023, 34, 911–923. [Google Scholar] [CrossRef]
- Lin, C.H.; Lin, M.L. Evolution of the large landslide induced by Typhoon Morakot: A case study in the Butangbunasi River, southern Taiwan using the discrete element method. Eng. Geol. 2015, 197, 172–187. [Google Scholar] [CrossRef]
- Guo, Z.; Torra, O.; Hürlimann, M.; Medina, V.; Puig-Polo, C. FSLAM: A QGIS plugin for fast regional susceptibility assessment of rainfall-induced landslides. Environ. Model. Softw. 2022, 150, 105354. [Google Scholar] [CrossRef]
- Guo, Z.; Tian, B.; Zhu, Y.; He, J.; Zhang, T. How do the landslide and non-landslide sampling strategies impact landslide susceptibility assessment?—A case study at catchment scale from China. J. Rock Mech. Geotech. Eng. 2024, 16, 877–894. [Google Scholar] [CrossRef]
- Guo, Z.; Ferrer, J.V.; Hürlimann, M.; Medina, V.; Puig-Polo, C.; Yin, K.; Huang, D. Shallow landslide susceptibility assessment under future climate and land cover changes: A case study from southwest China. Geosci. Front. 2023, 14, 101542. [Google Scholar] [CrossRef]
- Baumann, M.; Ozdogan, M.; Wolter, P.T.; Krylov, A.; Vladimirova, N.; Radeloff, V.C. Landsat remote sensing of forest windfall disturbance. Remote Sens. Environ. 2014, 143, 171–179. [Google Scholar] [CrossRef]
- Peterson, C.J.; De Mello Ribeiro, G.H.P.; Negrón-Juárez, R.; Marra, D.M.; Chambers, J.Q.; Higuchi, N.; Lima, A.; Cannon, J.B. Critical wind speeds suggest wind could be an important disturbance agent in Amazonian forests. Forestry 2019, 92, 444–459. [Google Scholar] [CrossRef]
- Gonzalez-Ollauri, A.; Mickovski, S.B. Hydrological effect of vegetation against rainfall-induced landslides. J. Hydrol. 2017, 549, 374–387. [Google Scholar] [CrossRef]
- Rulli, M.C.; Meneguzzo, F.; Rosso, R. Wind control of storm-triggered shallow landslides. Geophys. Res. Lett. 2007, 34, L03402. [Google Scholar]
- Whelan, A.W.; Bigelow, S.W.; Staudhammer, C.L.; Starr, G.; Cannon, J.B. Damage prediction for planted longleaf pine in extreme winds. For. Ecol. Manag. 2024, 560, 121828. [Google Scholar] [CrossRef]
- Zhuang, Y.; Xing, A.; Jiang, Y.; Sun, Q.; Yan, J.; Zhang, Y. Typhoon, rainfall and trees jointly cause landslides in coastal regions. Eng. Geol. 2022, 298, 106561. [Google Scholar] [CrossRef]
- Parra, E.; Mohr, C.H.; Korup, O. Predicting Patagonian Landslides: Roles of Forest Cover and Wind Speed. Geophys. Res. Lett. 2021, 48, e2021GL095224. [Google Scholar] [CrossRef]
- Zhuang, Y.; Xing, A.; Petley, D.; Jiang, Y.; Sun, Q.; Bilal, M.; Yan, J. Elucidating the impacts of trees on landslide initiation throughout a typhoon: Preferential infiltration, wind load and root reinforcement. Earth Surf. Process. Landf. 2023, 48, 3128–3141. [Google Scholar] [CrossRef]
- Hürlimann, M.; Guo, Z.; Puig-Polo, C.; Medina, V. Impacts of future climate and land cover changes on landslide susceptibility: Regional scale modelling in the Val d’ Aran region (Pyrenees, Spain). Landslides 2022, 19, 99–118. [Google Scholar] [CrossRef]
- Schwarz, M.; Preti, F.; Giadrossich, F.; Lehmann, P.; Or, D. Quantifying the role of vegetation in slope stability: A case study in Tuscany (Italy). Ecol. Eng. 2010, 36, 285–291. [Google Scholar] [CrossRef]
- Li, S.; Cui, P.; Cheng, P.; Wu, L. Modified Green–Ampt model considering vegetation root effect and redistribution characteristics for slope stability analysis. Water Resour. Manag. 2022, 36, 2395–2410. [Google Scholar] [CrossRef]
- Leung, A.K.; Garg, A.; Ng, C.W.W. Effects of plant roots on soil-water retention and induced suction in vegetated soil. Eng. Geol. 2015, 193, 183–197. [Google Scholar] [CrossRef]
- Reichenbach, P.; Rossi, M.; Malamud, B.D.; Mihir, M.; Guzzetti, F. A review of statistically-based landslide susceptibility models. Earth-Sci. Rev. 2018, 180, 60–91. [Google Scholar] [CrossRef]
- Zhang, M.; Yong, L.; Ren, X.; Zhang, C.; Zhang, T.; Zhang, J.; Shi, X. Field model experiments to determine mechanisms of rainstorm-induced shallow landslides in the Feiyunjiang River basin, China. Eng. Geol. 2019, 262, 105348. [Google Scholar] [CrossRef]
- Kim, M.S.; Onda, Y.; Uchida, T.; Kim, J.K.; Song, Y.S. Effect of seepage on shallow landslides in consideration of changes in topography: Case study including an experimental sandy slope with artificial rainfall. Catena 2018, 161, 50–62. [Google Scholar] [CrossRef]
- Wang, H.; Jiang, J.; Xu, W.; Wang, R.; Xie, W. Physical model test on deformation and failure mechanism of deposit landslide under gradient rainfall. Bull. Eng. Geol. Environ. 2022, 81, 66. [Google Scholar] [CrossRef]
- Wang, Q.; Yi, X. A computational strategy for determining the optimal scaled wind speed in icing wind tunnel experiments. Comput. Fluids 2023, 250, 105734. [Google Scholar] [CrossRef]
- Gao, R.; Yang, J.; Yang, H.; Wang, X. Wind-tunnel experimental study on aeroelastic response of flexible wind turbine blades under different wind conditions. Renew. Energy 2023, 219, 119539. [Google Scholar] [CrossRef]
- Jia, G.W.; Tony, L.T.; Zhan, Y.M. Performance of a large-scale slope model subjected to rising and lowering water levels. Eng. Geol. 2009, 106, 92–103. [Google Scholar] [CrossRef]
- Iverson, R.M. Landslide triggering by rain infiltration. Water Resour. Res. 2000, 36, 1897–1910. [Google Scholar] [CrossRef]
- Lai, J.; Ren, L. Assessing the Size Dependency of Measured Hydraulic Conductivity Using Double-Ring Infiltrometers and Numerical Simulation. Soil Sci. Soc. Am. J. 2007, 71, 1667–1675. [Google Scholar] [CrossRef]
- Noghondar, S.M.; Golkarian, A.; Azari, M.; Lajayer, B.A. Study on soil water retention and infiltration rate: A case study in eastern Iran. Environ. Earth Sci. 2021, 80, 474. [Google Scholar] [CrossRef]
- Su, A.; Feng, M.; Dong, S.; Zou, Z.; Wang, J. Improved Statically Solvable Slice Method for Slope Stability Analysis. J. Earth Sci. 2022, 33, 1190–1203. [Google Scholar] [CrossRef]
- Su, A.; Zou, Z.; Lu, Z.; Wang, J. The inclination of the interslice resultant force in the limit equilibrium slope stability analysis. Eng. Geol. 2018, 240, 140–148. [Google Scholar] [CrossRef]
- Chen, J.; Lei, X.; Zhang, H.; Wang, H.; Hu, W. Laboratory model test study of the hydrological effect on granite residual soil slopes considering different vegetation types. Sci. Rep. 2021, 11, 14668. [Google Scholar] [CrossRef]
- Wu, L.; Cheng, P.; Zhou, J.; Li, S. Analytical solution of rainfall infiltration for vegetated slope in unsaturated soils considering hydro-mechanical effects. Catena 2022, 217, 106472. [Google Scholar] [CrossRef]
- Denchik, N.; Gautier, S.; Dupuy, M.; Batiot-Guilhe, C.; Lopez, M.; Léonardi, V.; Geeraert, M.; Henry, G.; Neyens, D.; Coudray, P.; et al. In-situ geophysical and hydro-geochemical monitoring to infer landslide dynamics (Pégairolles-de-l’Escalette landslide, France). Eng. Geol. 2019, 254, 102–112. [Google Scholar] [CrossRef]
- Lora, M.; Camporese, M.; Troch, P.A.; Salandin, P. Rainfall-triggered shallow landslides: Infiltration dynamics in a physical hillslope model. Hydrol. Process. 2016, 30, 3239–3251. [Google Scholar] [CrossRef]












| Type | Geometric Parameter | Vegetation Parameter | Physical and Mechanical Parameters | ||||||
|---|---|---|---|---|---|---|---|---|---|
| Parameter | Landslide Length | Landslide Width | Sliding Depth | Vegetation Height | Vegetation Root Depth | Density | Cohesion | Friction Angle | Moisture Content |
| prototype | 25 m | 16 m | 4 m | 9.5 m | 2.5 m | 1.8 g/cm3 | 30 kPa | 28° | 15% |
| model | 1.56 m | 1 m | 0.25 m | 0.6 m | 0.15 m | 1.8 g/cm3 | 2 kPa | 28° | 15% |
Disclaimer/Publisher’s Note: The statements, opinions and data contained in all publications are solely those of the individual author(s) and contributor(s) and not of MDPI and/or the editor(s). MDPI and/or the editor(s) disclaim responsibility for any injury to people or property resulting from any ideas, methods, instructions or products referred to in the content. |
© 2024 by the authors. Licensee MDPI, Basel, Switzerland. This article is an open access article distributed under the terms and conditions of the Creative Commons Attribution (CC BY) license (https://creativecommons.org/licenses/by/4.0/).
Share and Cite
Guo, Z.; Liu, Y.; Zhang, T.; Zhang, J.; Wang, H.; He, J.; Li, G.; Tian, B. Revealing the Effect of Typhoons on the Stability of Residual Soil Slope by Wind Tunnel Test. Forests 2024, 15, 791. https://doi.org/10.3390/f15050791
Guo Z, Liu Y, Zhang T, Zhang J, Wang H, He J, Li G, Tian B. Revealing the Effect of Typhoons on the Stability of Residual Soil Slope by Wind Tunnel Test. Forests. 2024; 15(5):791. https://doi.org/10.3390/f15050791
Chicago/Turabian StyleGuo, Zizheng, Yuanbo Liu, Taili Zhang, Juehao Zhang, Haojie Wang, Jun He, Guangming Li, and Bixia Tian. 2024. "Revealing the Effect of Typhoons on the Stability of Residual Soil Slope by Wind Tunnel Test" Forests 15, no. 5: 791. https://doi.org/10.3390/f15050791
APA StyleGuo, Z., Liu, Y., Zhang, T., Zhang, J., Wang, H., He, J., Li, G., & Tian, B. (2024). Revealing the Effect of Typhoons on the Stability of Residual Soil Slope by Wind Tunnel Test. Forests, 15(5), 791. https://doi.org/10.3390/f15050791
