Remote Sensing Estimation of Forest Carbon Stock Based on Machine Learning Algorithms
Abstract
1. Introduction
2. Research Data and Methodology
2.1. Study Area Overview
2.2. Data Acquisition and Preprocessing
2.2.1. Remote Sensing Image Acquisition and Preprocessing
2.2.2. Acquisition and Processing of Ground Survey Data
2.2.3. Calculation of Aboveground Carbon Storage
2.3. Research Methodology
2.3.1. Selection and Analysis of the GEE Classification Algorithm
2.3.2. RF
2.3.3. CART
2.3.4. GBT
2.3.5. SVM
2.4. Feature Factor Selection
2.4.1. Selection of Feature Factors for GEE Classification
2.4.2. Selection of Modeling Feature Factors
2.5. Construction of Forest Aboveground Carbon Storage Estimation Model
Multivariate Linear Models
2.6. Model Validation and Accuracy Assessment
2.6.1. Evaluation of Classification Accuracy for GEE
2.6.2. Model Validation and Accuracy Assessment for Carbon Stock Estimation
2.7. Method Implementation
3. Results
3.1. Classification Results and Accuracy Evaluation
3.1.1. Classification Results
3.1.2. Accuracy Assessment
3.2. Analysis of Model Variable Correlation
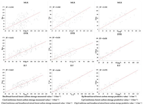
3.3. Estimation of Aboveground Carbon Stock in Forests
3.4. Spatial Distribution Characteristics of Aboveground Carbon Stock in Yunnan Province’s Forests
4. Discussion
5. Conclusions
Author Contributions
Funding
Data Availability Statement
Conflicts of Interest
Appendix A
| Number | Tree Species | Accumulation-Biomass Equation | Carbon Content (%) | Number | Tree Species | Accumulation-Biomass Equation | Carbon Content (%) |
|---|---|---|---|---|---|---|---|
| 1 | Abies fabri (Mast.) Craib. | Y = 0.4642V + 47.499 | 49.99 | 12 | Quercus L. | Y = 1.1453V + 8.5473 | 50.04 |
| 2 | Picea asperata Mast. | Y = 0.4642V + 47.499 | 52.08 | 13 | Betula L. | Y = 1.0687V + 10.237 | 49.14 |
| 3 | Keteleeria fortunei (Murr.) Carr. | Y = 0.4158V + 41.3318 | 49.97 | 14 | Schima superba Gardner & Champ. | Y = 0.7560V + 8.31 | 48.34 |
| 4 | Pinus armandii Franch. | Y = 0.5856V + 18.7435 | 52.25 | 15 | Liquidambar formosana Hance | Y = 0.7560V + 8.31 | 48.34 |
| 5 | Pinus yunnanensis Franch. | Y = 0.5101V + 1.0451 | 51.13 | 16 | Other hard-leaved broad-leaved trees | Y = 0.7560V + 8.31 | 48.34 |
| 6 | Pinus kesiya Royle ex Gordon | Y = 0.5101V + 1.0451 | 52.24 | 17 | Populus przewalskii Maxim. | Y = 0.4969V + 26.9730 | 49.56 |
| 7 | Pinus densata Mast. | Y = 0.517V + 33.238 | 50.09 | 18 | Eucalyptus robusta Sm. | Y = 0.8873V + 4.5539 | 52.53 |
| 8 | Other Pines | Y = 0.5168V + 33.2378 | 51.1 | 19 | Other soft-leaved broad-leaved species | Y = 0.4750V + 30.6030 | 49.56 |
| 9 | Cunninghamia lanceolata (Lamb.) Hook. | Y = 0.3999V + 22.541 | 52.01 | 20 | mixed broad-leaved forest | Y = 0.6255V + 91.003 | 49.0 |
| 10 | Cupressus funebris Endl. | Y = 0.6129V + 46.1451 | 50.34 | 21 | coniferous and broadleaved mixed forest | Y = 0.8019V + 12.2799 | 48.93 |
| 11 | mixed coniferous forest | Y = 0.5168V + 33.2378 | 51.68 |
| Feature Types | Feature Names | Computational Formula |
|---|---|---|
| Vegetation Index | Normalized Difference Vegetation Index (NDVI) | |
| Normalized Water Index (NDWI) | ||
| Ratio Vegetation Index (RVI) | ||
| Difference Vegetation Index (DVI) | ||
| Ratio Vegetation Index 1 (RVI65) | ||
| Ratio Vegetation Index 2 (RVI75) | ||
| Soil-Adjusted Vegetation Index (SAVI) | ||
| Non-Linear Vegetation Index (NLI) | ||
| Atmospherically Resistant Vegetation Index (ARVI) | ||
| Enhanced Vegetation Index (EVI) | ||
| Texture characteristics | Mean | |
| Variance | ||
| Homogeneity | ||
| Contrast | ||
| Dissimilarity | ||
| Entropy | ||
| Second Moment | ||
| Correlation | ||
| Topographic features | Elevation, slope, aspect | DEM data extraction in the study area |
| Tasseled Cap Transformation | Brightness | GEE Platform Database Extraction |
| Greenness | ||
| Wetness | ||
| Band | Single-band | b1, b2, b3, b4, b5, b6, b7 |



References
- Malhi, Y.; Baldocchi, D.D.; Jarvis, P.G. The carbon balance of tropical, temperate and boreal forests. Plant Cell Environ. 1999, 22, 453. [Google Scholar] [CrossRef]
- Abdollahnejad, A.; Panagiotidis, D.; Surovy, P.; Modlinger, R. Investigating the Correlation between Multisource Remote Sensing Data for Predicting Potential Spread of Ips typographus L. Spots in Healthy Trees. Remote Sens. 2021, 13, 4953. [Google Scholar] [CrossRef]
- Fassnacht, F.E.; Hartig, F.; Latifi, H.; Berger, C.; Hernández, J.; Corvalán, P.; Koch, B. Importance of sample size, data type and prediction method for remote sensing-based estimations of aboveground forest biomass. Remote Sens. Environ. 2014, 154, 102–114. [Google Scholar] [CrossRef]
- Zheng, D.; Heath, L.S.; Ducey, M.J. Spatial distribution of forest aboveground biomass estimated from remote sensing and forest inventory data in New England, USA. J. Appl. Remote Sens. 2008, 2, 21502. [Google Scholar]
- Gallaun, H.; Zanchi, G.; Nabuurs, G.J.; Hengeveld, G.; Schardt, M.; Verkerk, P.J. EU-wide maps of growing stock and above-ground biomass in forests based on remote sensing and field measurements. For. Ecol. Manag. 2010, 260, 252–261. [Google Scholar] [CrossRef]
- Osborne, J.W.; Waters, E. Four Assumptions Of Multiple Regression That Researchers Should Always Test. Pract. Assess. Res. Eval. 2002, 8, 23. [Google Scholar]
- Lu, L.; Zhou, X.; Yu, Z.; Han, S.; Wang, X. Plot-level Forest Height Inversion Using Airborne LiDAR Data Based on the Random Forest. J. Geo-Inf. Sci. 2016, 18, 1133–1140. [Google Scholar]
- Zhao, Y.; Guo, X.; Zhen, Z. Estimation of aboveground biomass of natural secondary forests based on optical—ALS variable combination and non—Parametric models. J. Nanjing For. Univ. (Nat. Sci. Ed.) 2021, 45, 49–57. [Google Scholar]
- Zhao, Y.; Cai, X.; Zhen, Z. Estimation of aboveground biomass of natural secondary forest based on bias-corrected random forest and multi-source data. J. Cent. South Univ. For. Technol. 2021, 41, 96–106+141. [Google Scholar]
- Gao, S.; Chen, Y.; Chen, Z.; Lei, J.; Wu, T. Carbon storage and its spatial distribution characteristics of forest ecosystems in Hainan Island, China. Acta Ecol. Sin. 2023, 43, 3558–3570. [Google Scholar]
- Eswaran, H. Global carbon stock. In Global Climate Change and Pedogenic Carbonates; CRC Press: Boca Raton, FL, USA, 2000. [Google Scholar]
- Fourqurean, J.W.; Duarte, C.M.; Kennedy, H.; Marbà, N.; Holmer, M.; Mateo, M.; Apostolaki, E.T.; Kendrick, G.A.; Jensen, D.K.; McGlathery, K.J. Seagrass ecosystems as a globally significant carbon stock. Nat. Geosci. 2012, 5, 505–509. [Google Scholar] [CrossRef]
- Ramachandran, A.; Jayakumar, S.; Haroon, R.M.; Bhaskaran, A.; Arockiasamy, D.I. Carbon sequestration: Estimation of carbon stock in natural forests using geospatial technology in the Eastern Ghats of Tamil Nadu, India. Curr. Sci. 2007, 92, 323–331. [Google Scholar]
- Verma, R.K.; Kumar, D.; Shilpa. Estimation of Biomass and Soil Carbon Stock in Pinus roxburghii and Quercus leucotrichophora Forests of District Shimla, Himachal Pradesh. Indian J. For. 2019, 42, 295–298. [Google Scholar]
- Pala, N.A.; Negi, A.K.; Gokhale, Y.; Aziem, S.; Vikrant, K.; Todaria, N. Carbon Stock Estimation for Tree Species of Sem Mukhem Sacred Forest in Garhwal Himalaya, India. J. For. Res. 2013, 24, 457–460. [Google Scholar] [CrossRef]
- Chen, Y.; Zhang, S.; Zhang, Z. Estimation of Organic Carbon Density and Carbon Storage in the Leqing Bay Salt Marsh Wetlands. Mar. Environ. Sci. 2023, 42, 38–45. [Google Scholar]
- Yang, M.; Yang, X.; Zhao, Y.; Huangqing, D.; Li, C.; Cao, W.; Chen, A.; Gu, Q.; Li, Z.; Wang, S. Estimated carbon storage and influencing factors of alpine grassland in the source region of the Yellow River. Acta Ecol. Sin. 2023, 43, 3546–3557. [Google Scholar]
- Dai, Q.; Liu, S.; Liu, W. Comparison of Land Cover Intelligent Classification Algorithms Based on GEE Cloud Platform and Multi-source Data. Geogr. Geo-Inf. Sci. 2020, 36, 26–31. [Google Scholar]
- Li, W.; Yue, C. A GEE Based Survey on the Changes in Forest Coverage in Yunnan Province. J. Northwest For. Univ. 2022, 37, 182–187. [Google Scholar]
- Tu, H.; Zhou, H.; Ma, G.; Zhang, R.; Yang, S. Characteristics of Forest Carbon Storage in Yunnan Based on the Ninth Forest Inventory Data. J. Northwest For. Univ. 2023, 38, 185–193. [Google Scholar]
- Yang, K.; Guan, D. Changes in forest biomass carbon stock in the Pearl River Delta between 1989 and 2003. J. Environ. Sci. Engl. Ed. 2008, 20, 1439–1444. [Google Scholar] [CrossRef] [PubMed]
- Sun, W.; Shi, X.; Yu, D.; Wang, K.; Wang, H. Estimation of Soil Organic Carbon Storage Based on 1:1M Soil Database of China—A Case in Northeast China. Geogr. Sci. 2004, 24, 568–572. [Google Scholar]
- Yang, Q. Estimating Forest Carbon Storage in Xiuyan County by Forest Stock Volume Biomass Model. Green Sci. Technol. 2021, 23, 20–22. [Google Scholar]
- Breiman, L. Random forests. Mach. Learn. 2001, 45, 5–32. [Google Scholar] [CrossRef]
- Breiman, L.; Friedman, J.H.; Olshen, R. Classification and Regression Trees; Routledge: London, UK, 2017. [Google Scholar]
- Christmann, A.; Steinwart, I. Support Vector Machines; Theory and Applications; Springer: Berlin/Heidelberg, Germany, 1970. [Google Scholar]
- Ren, Y.; Wang, H.; Xu, D. Estimation of Aboveground Biomass of Arbor Forest Based on Landsat 8 Image. For. Resour. Manag. 2018, 6, 38–44. [Google Scholar]
- Pan, J.; Li, M. Textural features analysis of high-resolution remote sensing in age based on the in formation abundance. J. Nanjing For. Univ. Nat. Sci. Ed. 2010, 34, 129–134. [Google Scholar]
- Echert, S. Improved forest biomass and carbon estimations using texture measures from World View-2 satellite data. Remote Sens. 2012, 4, 810–829. [Google Scholar] [CrossRef]
- Meng, J.; Li, S.; Wang, W.; Liu, Q.; Xie, S.; Ma, W. Estimation of forest structural diversity using the spectral and textural information derived fromSPOT-5 satellite images. Remote Sens. 2016, 8, 125. [Google Scholar] [CrossRef]
- Nichol, J.E.; Sarker, M.L.R. Improved biomass estimation using the texture parameters of two high-resolution optical sensors. IEEE Trans. Geosci. Remote Sens. 2011, 49, 930–948. [Google Scholar] [CrossRef]
- Xu, T.; Cao, L.; She, G. Feature Extraction and Forest Biomass Estimation based on Landsat 8 OLI. Remote Sens. Technol. Appl. 2015, 30, 226–234. [Google Scholar]
- Huang, D. Characteristics of Carbon Stock and Its SpatiaI Differentiation in the Forest Ecosystem of Sichuan. Ph.D. Thesis, Sichuan Agricultural University, Yaan, China, 2008. [Google Scholar]
- Tian, J. Research on Remote Sensing Estimation Method of Aboveground Forest Carbon Stock at District and County Level Based on Forest Type. Ph.D. Thesis, Nanjing Forestry University, Nanjing, China, 2023. [Google Scholar]
- Liu, Y. The Study of Semisupervised Ensembled Support Vector Machines for Land Cover Classificatio. Ph.D. Thesis, Graduate University of the Chinese Academy of Sciences, Beijing, China, 2013. [Google Scholar]
- Yang, C. The Research of Land Cover Lnformation Extraction with Remote Sensing Data Based on Machine Learning. Ph.D. Thesis, Jilin University, Changchun, China, 2010. [Google Scholar]
- Lu, R.; Liu, S.; Kang, W.; Feng, K.; Guo, Z.; Zhi, Y. Combining the GEE platform and machine learning algorithm for desert information extraction. Desert China 2023, 43, 3–11. [Google Scholar]
- Ghimire, B.; Rogan, J.; Miller, J. Contextual land-cover classification: Incorporating spatial dependence in landcover classification models using random forests and the Getis statistic. Remote Sens. Lett. 2010, 1, 45–54. [Google Scholar] [CrossRef]
- Duro, D.C.; Franklin, S.E.; Dubé, M.G. A comparison of pixel-based and object -based image analysis with selected machine learning algorithms for the classification of agricul tural landscapes using SPOT-5. Remote Sens. Environ. 2012, 118, 259–272. [Google Scholar] [CrossRef]
- Chen, T.; Guestrin, C. XGBoost: A Scalable Tree Boosting System. In KDD ‘16, Proceedings of the 22nd ACM SIGKDD International Conference on Knowledge Discovery and Data Mining, New York, NY, USA, 13–17 August 2016; ACM: New York, NY, USA, 2016; pp. 785–794. [Google Scholar]
- Freeman, E.A.; Moisen, G.G.; Coulston, J.W.; Wilson, B.T. Random forests and stochastic gradient boosting for predicting tree canopy cover:comparing tuning processes and model performance. Can. J. For. Res. 2016, 46, 323–339. [Google Scholar] [CrossRef]
- Elith, J.; Leathwick, J.R.; Hastie, T. A working guide to boosted regression trees. J. Anim. Ecol. 2008, 77, 802–813. [Google Scholar] [CrossRef] [PubMed]
- Probst, P.; Boulesteix, A.L. To tune or not to tune the number of trees in random forest. J. Mach. Learn. Res. 2017, 18, 1–18. [Google Scholar]
- Liaw, A.; Wiener, M. Classification and Regression by randomForest. R News 2002, 23, 18–22. [Google Scholar]
- Rodriguez-Galiano, V.; Sanchez-Castillo, M.; Chica-Olmo, M.; Chica-Rivas, M. Machine learning predictive models for mineral prospectivity: An evaluation of neural networks, random forest, regression trees and support vector machines. Ore Geol. Rev. 2015, 71, 804–818. [Google Scholar] [CrossRef]
- Li, Q.; Li, Y. A novel method of predicting gamma-turns using SVM and multiple alignment profiles. In Proceedings of the 2005 International Symposium on Intelligent Signal Processing and Communication Systems, Hong Kong, China, 13–16 December 2005. [Google Scholar]
- Le Toan, T.; Beaudoin, A.; Riom, J.; Guyon, D. Relating forest biomass to SAR data. IEEE Trans. Geosci. Remote Sens. 1992, 30, 403–411. [Google Scholar] [CrossRef]
- Dong, J.; Kaufmann, R.K.; Myneni, R.B.; Tucker, C.J.; Kauppi, P.E.; Liski, J.; Buermann, W.; Alexeyev, V.; Hughes, M.K. Remote sensing estimates of boreal and temperate forest woody biomass: Carbon pools, sources, and sinks. Remote Sens. Environ. 2003, 84, 393–410. [Google Scholar] [CrossRef]
- Ali, I.; Greifeneder, F.; Stamenkovic, J.; Neumann, M.; Notarnicol, C. Review of Machine Learning Approaches for Biomass and Soil Moisture Retrievals from Remote Sensing Data. Remote Sens. 2015, 7, 16398–16421. [Google Scholar] [CrossRef]
- Baghdadi, N.; Le Maire, G.; Bailly, J.S.; Ose, K.; Nouvellon, Y.; Zribi, M.; Lemos, C.; Hakamada, R. Evaluation of ALOS/PALSARL-Band Data for the Estimation of Eucalyptus Plantations Aboveground Biomass in Brazil. IEEE J. Sel. Top. Appl. Earth Obs. Remote Sens. 2015, 8, 3802–3811. [Google Scholar] [CrossRef]
- Li, Y.; Li, M.; Li, C.; Li, C.; Liu, Z. Forest aboveground biomass estimation using Landsat 8 and Sentinel-1A data with machine learning algorithms. Sci. Rep. 2020, 10, 9952–9962. [Google Scholar] [CrossRef] [PubMed]
- Safari, A.; Sohrabi, H.; Powell, S.; Shataee, S. A comparative assessment of multi-temporal Landsat 8 and machine learning algorithms for estimating aboveground carbon stock in coppice oak forests. Int. J. Remote Sens. 2017, 38, 6407–6432. [Google Scholar] [CrossRef]
- Gao, Y.; Lu, D.; Li, G.; Wang, G.; Chen, Q.; Liu, L.; Li, D. Comparative Analysis of Modeling Algorithms for Forest Aboveground Biomass Estimation in a Subtropical Region. Remote Sens. 2018, 10, 627. [Google Scholar] [CrossRef]
- Li, C.; Li, Y.; Li, M. Improving Forest Aboveground Biomass (AGB) Estimation by Incorporating Crown Density and Using Landsat 8 OLI Images of a Subtropical Forest in Western Hunan in Central China. Forests 2019, 10, 104. [Google Scholar] [CrossRef]
- Martyna, S.G.; Pedro, R.V.; Nicolas, A.; Christian, T.; Heiko, B.; Christiane, S. Non-Parametric Retrieval of Aboveground Biomass in Siberian Boreal Forests with ALOS PALSAR Interferometric Coherence and Backscatter Intensity. J. Imaging 2015, 2, 3390. [Google Scholar] [CrossRef]
- Lu, D.; Batistella, M.; Moran, E. Satellite Estimation of Aboveground Biomass and Impacts of Forest Stand Structure. Photogramm. Eng. Remote Sens. 2005, 71, 967–974. [Google Scholar] [CrossRef]
- Yan, T.; Peng, Y.; Wang, X.; Gong, H. Estimation of Carbon Storage and Density of Forest Ecosystem in Yunnan Province. West. For. Sci. 2015, 44, 62–67. [Google Scholar]
- Tang, H.; Xu, Y.; Ai, J. Carbon Storage and Carbon Density of Forest Vegetation and Their Spatial Distribution Pattern in Yunnan Province. For. Resour. Manag. 2019, 37–43. [Google Scholar] [CrossRef]
- Han, T. Forest Biomass Estimation by Using Remote Sensing in Yunnan Province. Master’s Thesis, Inner Mongolia Normal University, Inner Mongolia, China, 2014. [Google Scholar]
- Wu, M.; Dong, G.; Tai, L.; Hu, D.; Cheng, W.; Fan, S. Change detection of main spring crops area in Jining based on Landsat 8 images. J. Jiangsu Agric. Sci. 2018, 34, 559–569. [Google Scholar]
- Wu, D.; Wu, M.; Chen, J.; Dong, G.; Cheng, W. Based on the Landsat images of Soumo township fir forest carbon reserves estimation and their dynamic changes on the ground. Ecol. Sci. 2019, 38, 111–122. [Google Scholar]








| Serial No. | Type | Number of Sample Plots |
|---|---|---|
| 1 | Broad-leaved forest | 557 |
| 2 | Coniferous forest | 365 |
| 3 | Mixed coniferous and broad-leaved forest | 150 |
| 4 | Water bodies | 90 |
| 5 | Builtup area | 120 |
| 6 | Cultivated land | 120 |
| 7 | Others | 130 |
| Total | 1532 |
Disclaimer/Publisher’s Note: The statements, opinions and data contained in all publications are solely those of the individual author(s) and contributor(s) and not of MDPI and/or the editor(s). MDPI and/or the editor(s) disclaim responsibility for any injury to people or property resulting from any ideas, methods, instructions or products referred to in the content. |
© 2024 by the authors. Licensee MDPI, Basel, Switzerland. This article is an open access article distributed under the terms and conditions of the Creative Commons Attribution (CC BY) license (https://creativecommons.org/licenses/by/4.0/).
Share and Cite
Cheng, F.; Ou, G.; Wang, M.; Liu, C. Remote Sensing Estimation of Forest Carbon Stock Based on Machine Learning Algorithms. Forests 2024, 15, 681. https://doi.org/10.3390/f15040681
Cheng F, Ou G, Wang M, Liu C. Remote Sensing Estimation of Forest Carbon Stock Based on Machine Learning Algorithms. Forests. 2024; 15(4):681. https://doi.org/10.3390/f15040681
Chicago/Turabian StyleCheng, Fengyun, Guanglong Ou, Meng Wang, and Chang Liu. 2024. "Remote Sensing Estimation of Forest Carbon Stock Based on Machine Learning Algorithms" Forests 15, no. 4: 681. https://doi.org/10.3390/f15040681
APA StyleCheng, F., Ou, G., Wang, M., & Liu, C. (2024). Remote Sensing Estimation of Forest Carbon Stock Based on Machine Learning Algorithms. Forests, 15(4), 681. https://doi.org/10.3390/f15040681

