A Study on the Characteristics and Influencing Factors of Soundscape Perception in Landscape Spaces of Urban Greenways
Abstract
1. Introduction
- How are soundscapes in urban greenways characterized?
- What are the characteristics of sound source and soundscape perception in different landscape spaces in urban greenways?
- What are the factors influencing soundscape perception in different types of landscape spaces in urban greenways?
2. Data Sources and Processing
2.1. Sample Site Selection
2.2. Questionnaire Design
2.3. Data Collection
2.4. Statistical Analysis
3. Results and Analysis
3.1. Classification of Landscape Space Types
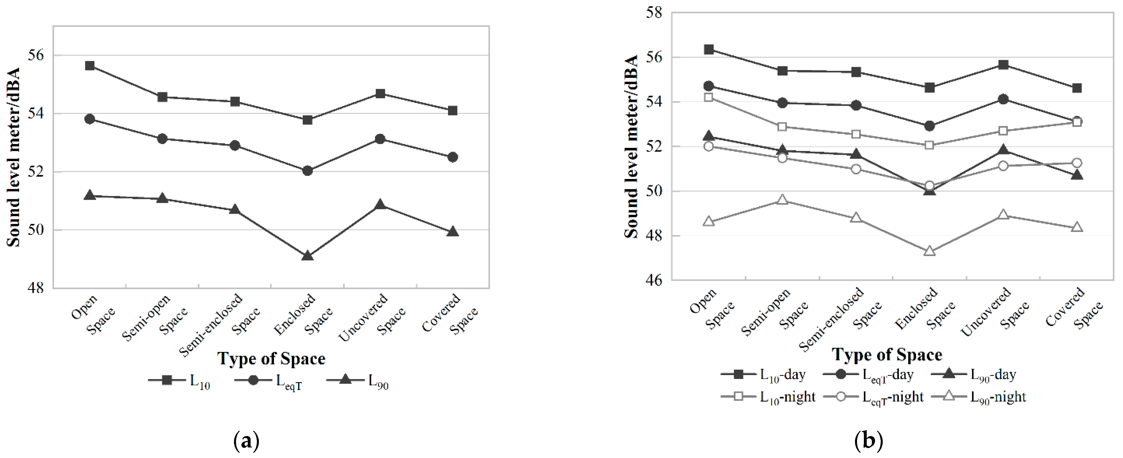
3.2. Characterization of Objective Attributes of the Soundscape in Different Types of Landscape Spaces
3.3. Characterization of Spatial Sound Source Perception in Different Types of Landscapes
3.3.1. Perceived Characterization of Sound Source Dominance
3.3.2. Characterization of Sound Source Harmony Perception
3.3.3. Perceived Variability Analysis of Sound Sources
3.4. Characterization of Overall Soundscape Perception in Different Types of Landscape Spaces
3.4.1. Analysis of Overall Soundscape Perception Dimensions
3.4.2. Analysis of Variability in Overall Soundscape Perception
3.5. Analysis of Influencing Factors of Overall Soundscape Perception in Different Types of Landscape Spaces
3.5.1. Relationship between Sound Source Perception and Overall Soundscape Perception
3.5.2. Relationship between Tourists’ Demographic, Social, and Behavioral Characteristics and Overall Soundscape Perception
4. Discussion
4.1. Perceived Characteristics of Sound Sources in Different Types of Landscape Spaces
4.2. General Soundscape Perception Characteristics of Different Types of Landscape Spaces
4.3. Characteristics of Soundscape Perception among Users with Different Demographic Sociological Characteristics
5. Limitations and Future Work
6. Conclusions
Supplementary Materials
Author Contributions
Funding
Informed Consent Statement
Data Availability Statement
Acknowledgments
Conflicts of Interest
Appendix A


| Point No. | Located Trail | Coverage Type | Enclosure Type | Degree of Coverage | Degree of Enclosure | Cover Material | Enclosure Material | Ground Material | Proximity to Urban Roads |
|---|---|---|---|---|---|---|---|---|---|
| 01 | FD | Uncovered | Semi-enclosed | 1/4 | 2/3 | G | G&C | Steel grating | Nearer |
| 02 | FD | Covered | Semi-enclosed | 2/3 | 3/5 | G | G&C | Steel grating | Nearer |
| 03 | FD | Uncovered | Open | 0 | 1/5 | None | G&C | Steel grating | Nearer |
| 04 | FD | Covered | Enclosed | 3/4 | 4/5 | G&C | G&C | Steel grating | More distant |
| 05 | FD | Covered | Semi-enclosed | 3/4 | 2/3 | C | G&C | Steel grating | More distant |
| 06 | FD | Covered | Enclosed | 3/5 | 4/5 | G | G&C | Steel grating | More distant |
| 07 | FD | Uncovered | Open | 0 | 0 | None | none | Brickyard | Near |
| 08 | FD | Uncovered | Semi-open | 1/4 | 1/3 | G | G&C | Steel grating | Near |
| 09 | FD | Uncovered | Semi-open | 0 | 1/3 | None | G&C | Steel grating | Nearer |
| 10 | FD | Covered | Semi-open | 2/3 | 1/3 | G | G&C | Steel grating | Nearer |
| 11 | FD | Uncovered | Semi-open | 1/3 | 1/3 | G | G&C | Steel grating | More distant |
| 12 | FD | Uncovered | Enclosed | 1/3 | 4/5 | G | G | Brickyard | Distant |
| 13 | FD | Uncovered | Semi-enclosed | 0 | 3/5 | None | G&C | Steel grating | More distant |
| 14 | FD | Covered | Enclosed | 2/3 | 4/5 | G | G&C | Steel grating | Distant |
| 15 | FD | Uncovered | Open | 0 | 1/5 | None | G&C | Steel grating | More distant |
| 16 | FF | Uncovered | Open | 0 | 0 | None | none | Asphalt | Near |
| 17 | FF | Uncovered | Open | 0 | 0 | None | none | Planks | Nearer |
| 18 | FF | Uncovered | Enclosed | 1/3 | 4/5 | G | G | Asphalt | More distant |
| 19 | FF | Uncovered | Semi-enclosed | 1/3 | 3/5 | G | G | Asphalt | More distant |
| 20 | FF | Uncovered | Open | 0 | 0 | None | none | Asphalt | More distant |
| 21 | FF | Covered | Semi-open | 2/3 | 1/4 | G | G&C | Asphalt | More distant |
| 22 | FF | Uncovered | Semi-enclosed | 0 | 3/4 | None | G | Asphalt | Distant |
| 23 | FF | Uncovered | Semi-open | 0 | 1/4 | None | G&C | Asphalt | More distant |
| 24 | FF | Uncovered | Semi-enclosed | 0 | 2/3 | None | G | Asphalt | Distant |
| 25 | FF | Uncovered | Enclosed | 1/3 | 4/5 | G | G | Asphalt | Distant |
| 26 | FF | Uncovered | Semi-enclosed | 0 | 2/3 | None | G | Asphalt | Distant |
| 27 | FF | Uncovered | Semi-enclosed | 0 | 2/3 | None | G | Asphalt | Distant |
| 28 | FD | Uncovered | Semi-open | 0 | 1/4 | None | C | Steel grating | Nearer |
| 29 | FD | Uncovered | Semi-open | 0 | 1/4 | None | C | Steel grating | Nearer |
| 30 | FD | Covered | Enclosed | 2/3 | 4/5 | G | G&C | Steel grating | Distant |
| 31 | FD | Covered | Semi-enclosed | 2/3 | 2/3 | G | G&C | Steel grating | Distant |
| 32 | FD | Uncovered | Semi-enclosed | 1/3 | 2/3 | G | G&C | Steel grating | Distant |
| 33 | FD | Uncovered | Semi-open | 0 | 1/3 | None | G&C | Steel grating | Distant |
| 34 | FD | Uncovered | Semi-enclosed | 1/4 | 3/5 | G | G&C | Steel grating | Distant |
| 35 | FD | Uncovered | Semi-open | 0 | 1/2 | None | G&C | Steel grating | More distant |
| 36 | FD | Uncovered | Open | 0 | 1/5 | None | G&C | Steel grating | More distant |
| 37 | FD | Uncovered | Semi-open | 0 | 1/3 | None | G&C | Steel grating | More distant |
| 38 | JJ | Uncovered | Semi-open | 0 | 1/3 | None | C | Brickyard | More distant |
| 39 | JJ | Covered | Semi-enclosed | 2/3 | 2/3 | G | G&C | Brickyard | More distant |
| 40 | JJ | Uncovered | Semi-enclosed | 1/4 | 2/3 | G | G&C | Brickyard | More distant |
| 41 | JJ | Uncovered | Semi-open | 0 | 1/3 | None | G&C | Brickyard | More distant |
| 42 | JJ | Uncovered | Semi-open | 0 | 1/3 | None | G&C | Brickyard | More distant |
| 43 | JJ | Uncovered | Semi-open | 0 | 1/4 | None | G&C | Brickyard | More distant |
| 44 | JJ | Covered | Semi-open | 2/3 | 1/3 | G | G&C | Brickyard | More distant |
| 45 | JJ | Uncovered | Semi-open | 0 | 1/4 | None | G&C | Brickyard | More distant |
| 46 | JJ | Covered | Enclosed | 4/5 | 4/5 | C | G&C | Brickyard | Distant |
| 47 | JJ | Covered | Semi-enclosed | 4/5 | 3/5 | G | G&C | Brickyard | Distant |
| 48 | JJ | Uncovered | Semi-enclosed | 1/3 | 3/5 | G | G&C | Brickyard | Distant |
| 49 | JJ | Uncovered | Enclosed | 1/3 | 4/5 | G | G&C | Brickyard | Distant |
| 50 | JJ | Covered | Semi-enclosed | 2/3 | 3/5 | G | G&C | Brickyard | Distant |
Appendix B

References
- Xie, B.; Pang, Z.; He, D.; Lu, Y.; Chen, Y. Effects of neighborhood environment on different aspects of greenway use: Evidence from East Lake Greenway, China. J. Transp. Geogr. 2023, 106, 103488. [Google Scholar] [CrossRef]
- Zhang, L.; Wang, H. Planning an ecological network of Xiamen Island (China) using landscape metrics and network analysis. Landsc. Urban Plan. 2006, 78, 449–456. [Google Scholar] [CrossRef]
- Fan, S.; Chen, X.; Ren, H.; Shen, W.; Xiao, R.; Zhang, Q.; Wu, Z.; Su, Y. Landscape structure and network characteristics of the greenway system in Guangzhou City, South China. Landsc. Ecol. Eng. 2019, 15, 25–35. [Google Scholar] [CrossRef]
- Chen, Y.; Gu, W.; Liu, T.; Yuan, L.; Zeng, M. Increasing the Use of Urban Greenways in Developing Countries: A Case Study on Wutong Greenway in Shenzhen, China. Int. J. Environ. Res. Public Health 2017, 14, 554. [Google Scholar] [CrossRef] [PubMed]
- Teng, M.; Wu, C.; Zhou, Z.; Lord, E.; Zheng, Z. Multipurpose greenway planning for changing cities: A framework integrating priorities and a least-cost path model. Landsc. Urban Plan. 2011, 103, 1–14. [Google Scholar] [CrossRef]
- Lee, J.; Lee, H.; Jeong, D.; Shafer, C.S.; Chon, J. The Relationship between User Perception and Preference of Greenway Trail Characteristics in Urban Areas. Sustainability 2019, 11, 4438. [Google Scholar] [CrossRef]
- Jeon, J.Y.; Jo, H.I.; Lee, K. Psycho-physiological restoration with audio-visual interactions through virtual reality simulations of soundscape and landscape experiences in urban, waterfront, and green environments. Sustain. Cities Soc. 2023, 99, 104929. [Google Scholar] [CrossRef]
- Guo, X.; Liu, J.; Albert, C.; Hong, X. Audio-visual interaction and visitor characteristics affect perceived soundscape restorativeness: Case study in five parks in China. Urban For. Urban Green. 2022, 77, 127738. [Google Scholar] [CrossRef]
- Liu, F.; Liu, P.; Kang, J.; Meng, Q.; Wu, Y.; Yang, D. Relationships between landscape characteristics and the restorative quality of soundscapes in urban blue spaces. Appl. Acoust. 2022, 189, 108600. [Google Scholar] [CrossRef]
- Zhao, W.; Li, H.; Zhu, X.; Ge, T. Effect of Birdsong Soundscape on Perceived Restorativeness in an Urban Park. Int. J. Environ. Res. Public Health 2020, 17, 5659. [Google Scholar] [CrossRef]
- Wang, P.; Zhang, C.; Xie, H.; Yang, W.; He, Y. Perception of National Park Soundscape and Its Effects on Visual Aesthetics. Int. J. Environ. Res. Public Health 2022, 19, 5721. [Google Scholar] [CrossRef] [PubMed]
- Engel, M.S.; Paas, B.; Schneider, C.; Pfaffenbach, C.; Fels, J. Perceptual studies on air quality and sound through urban walks. Cities 2018, 83, 173–185. [Google Scholar] [CrossRef]
- Ye, J.; Chen, L.; Zheng, Y. Effect of an Artificial Sound-Based Index on the Perception of Historical Block Environments. Buildings 2023, 13, 2372. [Google Scholar] [CrossRef]
- Liu, J.; Wang, Y.; Zimmer, C.; Kang, J.; Yu, T. Factors associated with soundscape experiences in urban green spaces: A case study in Rostock, Germany. Urban For. Urban Green. 2019, 37, 135–146. [Google Scholar] [CrossRef]
- Jing, Y.; Junming, Z.; Hongda, W.; Yushan, Z. Evaluation of soundscape preference in wetland park. Tech. Acoust. 2022, 41, 734–741. [Google Scholar]
- Zhang, X.; Ba, M.; Kang, J.; Meng, Q. Effect of soundscape dimensions on acoustic comfort in urban open public spaces. Appl. Acoust. 2018, 133, 73–81. [Google Scholar] [CrossRef]
- Xie, H.; He, Y.; Wu, X.; Lu, Y. Interplay between auditory and visual environments in historic districts: A big data approach based on social media. Environ. Plan. B Urban Anal. City Sci. 2022, 49, 1245–1265. [Google Scholar] [CrossRef]
- Liu, J.; Yang, L.; Xiong, Y.; Yang, Y. Effects of soundscape perception on visiting experience in a renovated historical block. Build. Environ. 2019, 165, 106375. [Google Scholar] [CrossRef]
- Ruotolo, F.; Rapuano, M.; Masullo, M.; Maffei, L.; Ruggiero, G.; Iachini, T. Well-being and multisensory urban parks at different ages: The role of interoception and audiovisual perception. J. Environ. Psychol. 2024, 93, 102219. [Google Scholar] [CrossRef]
- Bhandari, N.; Tadepalli, S.; Gopalakrishnan, P. Investigation of acoustic comfort, productivity, and engagement in naturally ventilated university classrooms: Role of background noise and students’ noise sensitivity. Build. Environ. 2024, 249, 111131. [Google Scholar] [CrossRef]
- Liu, L.; Cai, Y.; Jin, L.; Zhu, Y.; Gao, Y.; Ding, Y.; Xia, J.; Zhang, K. Landscape pattern optimization strategy of coastal mountainside greenway from a microclimatic comfort view in hot and humid areas. Urban Clim. 2022, 46, 101297. [Google Scholar] [CrossRef]
- Cong, Y.; Zhu, R.; Yang, L.; Zhang, X.; Liu, Y.; Meng, X.; Gao, W. Correlation Analysis of Thermal Comfort and Landscape Characteristics: A Case Study of the Coastal Greenway in Qingdao, China. Buildings 2022, 12, 541. [Google Scholar] [CrossRef]
- Hu, X.; Zou, X.; Fan, H. Analysis of landscape influencing factors of urban waterfront greenways based on the scenic beauty estimation method, taking Tongjian Lake in Hangzhou as an example. Front. Earth Sci. 2023, 11, 1211775. [Google Scholar] [CrossRef]
- Jang, M.; Kang, C. Urban greenway and compact land use development: A multilevel assessment in Seoul, South Korea. Landsc. Urban Plan. 2015, 143, 160–172. [Google Scholar] [CrossRef]
- Asakawa, S.; Yoshida, K.; Yabe, K. Perceptions of urban stream corridors within the greenway system of Sapporo, Japan. Landsc. Urban Plan. 2004, 68, 167–182. [Google Scholar] [CrossRef]
- Keith, S.J.; Larson, L.R.; Shafer, C.S.; Hallo, J.C.; Fernandez, M. Greenway use and preferences in diverse urban communities: Implications for trail design and management. Landsc. Urban Plan. 2018, 172, 47–59. [Google Scholar] [CrossRef]
- Hunter, R.F.; Cleland, C.; Cleary, A.; Droomers, M.; Wheeler, B.W.; Sinnett, D.; Nieuwenhuijsen, M.J.; Braubach, M. Environmental, health, wellbeing, social and equity effects of urban green space interventions: A meta-narrative evidence synthesis. Environ. Int. 2019, 130, 104923. [Google Scholar] [CrossRef] [PubMed]
- Lopes, I.J.C.; Biondi, D.; Corte, A.P.D.; Reis, A.R.N.; Oliveira, T.G.S. A methodological framework to create an urban greenway network promoting avian connectivity: A case study of Curitiba City. Urban For. Urban Green. 2023, 87, 128050. [Google Scholar] [CrossRef]
- Zhao, X.; Mao, Y.; Hu, A. The characteristics of acoustic landscape in different landscape spaces of Huanhuaxi Park. J. Appl. Acoust. 2022, 41, 359–372. [Google Scholar]
- Lian, Y.Q.; Ou, D.Y.; Pan, S.S.; Ren, L.Y. An Evaluation Study on Soundscape of Different Landscape Space Types. Build. Sci. 2020, 36, 57–63. [Google Scholar]
- Li, J.; Liu, F.; Tong, H.; Wang, X. Soundscape Perception Characteristics and Influence Factors of Plant Landscape. Chin. Landsc. Archit. 2023, 39, 43–49. [Google Scholar]
- Fang, X.; Qi, Y.; Hedblom, M.; Gao, T.; Qiu, L. Do soundscape perceptions vary over length of stay within urban parks? J. Outdoor Recreat. Tour. 2024, 45, 100728. [Google Scholar] [CrossRef]
- Li, K.; Liu, M. Combined influence of multi-sensory comfort in winter open spaces and its association with environmental factors: Wuhan as a case study. Build. Environ. 2024, 248, 111037. [Google Scholar] [CrossRef]
- Rey Gozalo, G.; Barrigón Morillas, J.M.; Montes González, D.; Atanasio Moraga, P. Relationships among satisfaction, noise perception, and use of urban green spaces. Sci. Total Environ. 2018, 624, 438–450. [Google Scholar] [CrossRef] [PubMed]
- Pijanowski, B.C.; Farina, A.; Gage, S.H.; Dumyahn, S.L.; Krause, B.L. What is soundscape ecology? An introduction and overview of an emerging new science. Landsc. Ecol. 2011, 26, 1213–1232. [Google Scholar] [CrossRef]
- Liu, J.; Kang, J.; Luo, T.; Behm, H. Landscape effects on soundscape experience in city parks. Sci. Total Environ. 2013, 454–455, 474–481. [Google Scholar] [CrossRef] [PubMed]
- Kang, J.; Zhang, M. Semantic differential analysis of the soundscape in urban open public spaces. Build. Environ. 2010, 45, 150–157. [Google Scholar] [CrossRef]
- Aletta, F.; Kang, J.; Axelsson, Ö. Soundscape descriptors and a conceptual framework for developing predictive soundscape models. Landsc. Urban Plan. 2016, 149, 65–74. [Google Scholar] [CrossRef]
- Axelsson, Ö.; Nilsson, M.E.; Berglund, B. A principal components model of soundscape perception. J. Acoust. Soc. Am. 2010, 128, 2836–2846. [Google Scholar] [CrossRef]
- Hong, J.Y.; Jeon, J.Y. Influence of urban contexts on soundscape perceptions: A structural equation modeling approach. Landsc. Urban Plan. 2015, 141, 78–87. [Google Scholar] [CrossRef]
- Hume, K.; Ahtamad, M. Physiological responses to and subjective estimates of soundscape elements. Appl. Acoust. 2013, 74, 275–281. [Google Scholar] [CrossRef]
- Liu, J.; Xiong, Y.; Wang, Y.; Luo, T. Soundscape effects on visiting experience in city park: A case study in Fuzhou, China. Urban For. Urban Green. 2018, 31, 38–47. [Google Scholar] [CrossRef]
- GB 3096-2008; Environmental Quality Standard for Noise. China Environment Publishing Group: Beijing, China, 2008.
- Zhang, X.; Chen, J.; Lin, Q.; Yao, Y.; Liu, J. Research on Soundscape Evaluation of Urban Leisure Trail Based on Grounded Theory—Take Fuzhou Fu Road as an Example. Archit. Cult. 2019, 11, 88–90. [Google Scholar]
- Zhu, T.; Hong, X.; Guo, X.; Liu, J. Spatio-Temporal Dynamic Characteristics and Planning Strategies of Soundscape in Forest Park. Landsc. Archit. 2022, 29, 90–95. [Google Scholar]
- Szeremeta, B.; Zannin, P.H.T. Analysis and evaluation of soundscapes in public parks through interviews and measurement of noise. Sci. Total Environ. 2009, 407, 6143–6149. [Google Scholar] [CrossRef] [PubMed]
- Song, C.; Ikei, H.; Miyazaki, Y. Physiological effects of forest-related visual, olfactory, and combined stimuli on humans: An additive combined effect. Urban For. Urban Green. 2019, 44, 126437. [Google Scholar] [CrossRef]
- Ba, M.; Kang, J. Perception and Behaviour under the Audio-olfactory Interaction in Urban Public Open Spaces. South Archit. 2022, 10, 19–29. [Google Scholar]
- Yu, L.; Kang, J. Factors influencing the sound preference in urban open spaces. Appl. Acoust. 2010, 71, 622–633. [Google Scholar] [CrossRef]
- Yu, L.; Kang, J. Effects of social, demographical and behavioral factors on the sound level evaluation in urban open spaces. J. Acoust. Soc. Am. 2008, 123, 772–783. [Google Scholar] [CrossRef]
- Patón, D.; Delgado, P.; Galet, C.; Muriel, J.; Méndez-Suárez, M.; Hidalgo-Sánchez, M. Using acoustic perception to water sounds in the planning of urban gardens. Build. Environ. 2020, 168, 106510. [Google Scholar] [CrossRef]
- Liu, J.; Kang, J.; Behm, H.; Luo, T. Effects of landscape on soundscape perception: Soundwalks in city parks. Landsc. Urban Plan. 2014, 123, 30–40. [Google Scholar] [CrossRef]
- Vladimir, M.; Madalina, C. Optimizing urban landscapes in regard to noise pollution. Procedia Manuf. 2019, 32, 161–166. [Google Scholar] [CrossRef]
- Wong, N.H.; Kwang Tan, A.Y.; Tan, P.Y.; Chiang, K.; Wong, N.C. Acoustics evaluation of vertical greenery systems for building walls. Build. Environ. 2010, 45, 411–420. [Google Scholar] [CrossRef]
- Kim, M.; Yang, H.; Kang, J. A case study on controlling sound fields in a courtyard by landscape designs. Landsc. Urban Plan. 2014, 123, 10–20. [Google Scholar] [CrossRef]
- Tian, L.; Winterbottom, D.; Liu, J. Soundscape Optimization Strategies Based on Landscape Elements in Urban Parks: A Case Study of Greenlake Park in Kunming. Sustainability 2023, 15, 10155. [Google Scholar] [CrossRef]
- Shi, L.; Du, M.; Liu, L. A review of ecological benefits of vertical greenery system. Acta Ecol. Sin. 2023, 43, 5200–5210. [Google Scholar]
- Li, G.; Xiong, J.; Xu, M.; Dong, L. Comprehensive study on the noise reduction ability and the visual effect on the edge of green space of Beijing urban park. J. Beijing For. Univ. 2017, 39, 93–104. [Google Scholar]
- Davis, M.J.M.; Tenpierik, M.J.; Ramírez, F.R.; Pérez, M.E. More than just a Green Facade: The sound absorption properties of a vertical garden with and without plants. Build. Environ. 2017, 116, 64–72. [Google Scholar] [CrossRef]
- Kułaga, K.; Budka, M. Nocturnal singing by diurnal birds in a temperate region of central Europe. J. Ornithol. 2020, 161, 1143–1152. [Google Scholar] [CrossRef]
- Jeon, J.Y.; Hong, J.Y. Classification of urban park soundscapes through perceptions of the acoustical environments. Landsc. Urban Plan. 2015, 141, 100–111. [Google Scholar] [CrossRef]
- Su, H.; Ma, H.; Wang, C. Effects of soundscape on Chinese children’s social interaction measured by self-reported behavioral expectations. Appl. Acoust. 2023, 207, 109350. [Google Scholar] [CrossRef]
- Bruce, N.S.; Davies, W.J. The effects of expectation on the perception of soundscapes. Appl. Acoust. 2014, 85, 1–11. [Google Scholar] [CrossRef]
- Gan, Y.; Zheng, Y.; Zhang, L. Audio-Visual Analysis of Visitors’ Landscape Preference for City Parks: A Case Study from Zhangzhou, China. Forests 2022, 13, 1376. [Google Scholar] [CrossRef]
- Lu, X.; Tang, J.; Zhu, P.; Guo, F.; Cai, J.; Zhang, H. Spatial variations in pedestrian soundscape evaluation of traffic noise. Environ. Impact Assess. Rev. 2020, 83, 106399. [Google Scholar] [CrossRef]
- Aletta, F.; Kang, J. Soundscape approach integrating noise mapping techniques: A case study in Brighton, UK. Noise Mapp. 2015, 2, 1–12. [Google Scholar] [CrossRef]
- Liu, J.; Kang, J.; Luo, T.; Behm, H.; Coppack, T. Spatiotemporal variability of soundscapes in a multiple functional urban area. Landsc. Urban Plan. 2013, 115, 1–9. [Google Scholar] [CrossRef]
- Jeon, J.Y.; Jo, H.I. Effects of audio-visual interactions on soundscape and landscape perception and their influence on satisfaction with the urban environment. Build. Environ. 2020, 169, 106544. [Google Scholar] [CrossRef]
- Ratcliffe, E.; Gatersleben, B.; Sowden, P.T. Bird sounds and their contributions to perceived attention restoration and stress recovery. J. Environ. Psychol. 2013, 36, 221–228. [Google Scholar] [CrossRef]
- Koole, A.; Nagtegaal, A.P.; Homans, N.C.; Hofman, A.; Baatenburg De Jong, R.J.; Goedegebure, A. Using the Digits-In-Noise Test to Estimate Age-Related Hearing Loss. Ear Hear. 2016, 37, 508–513. [Google Scholar] [CrossRef]
- Kastenholz, E.; Marques, C.P.; Carneiro, M.J. Place attachment through sensory-rich, emotion-generating place experiences in rural tourism. J. Destin. Mark. Manag. 2020, 17, 100455. [Google Scholar] [CrossRef]
- Chubchuwong, M.; Beise-Zee, R.; Speece, M.W. The Effect of Nature-based Tourism, Destination Attachment and Property Ownership on Environmental-friendliness of Visitors: A Study in Thailand. Asia Pac. J. Tour. Res. 2015, 20, 656–679. [Google Scholar] [CrossRef]
- De Vos, J. Satisfaction-induced travel behaviour. Transp. Res. Part F Traffic Psychol. Behav. 2019, 63, 12–21. [Google Scholar] [CrossRef]
- Ode Sang, Å.; Sang, N.; Hedblom, M.; Sevelin, G.; Knez, I.; Gunnarsson, B. Are path choices of people moving through urban green spaces explained by gender and age? Implications for planning and management. Urban For. Urban Green. 2020, 49, 126628. [Google Scholar] [CrossRef]





| Sound Category | Sound Source | Abbreviations |
|---|---|---|
| Natural sound | Sound of frogs | SF |
| Cicadas singing | CS | |
| Birds singing | BS | |
| The sound of wind blowing leaves | TR | |
| Artificial sound | The sound of talking | AT |
| Footsteps | FS | |
| Children playing | PC | |
| Sweeping sounds | SS | |
| Music | MN | |
| Mechanical sound | Sounds of traffic | ST |
| Sound of machines | MS |
| Model Equation |
|---|
| Type of Space | Combinatorial Approach | Number of Collection Points | Schematic Representation of Collection Points | |
|---|---|---|---|---|
| Type of Coverage | Uncovered | 0 ≤ d/L ≤ 1/2 | 191 | ![]() |
| Covered | 1/2 < d/L ≤ 1 | 73 | ![]() | |
| Type of enclosure | Open | 0 ≤ i/L < 1/4 | 44 | ![]() |
| Semi-open | 1/4 ≤ i/L ≤ 1/2 | 79 | ![]() | |
| Semi-enclosed | 1/2 < i/L ≤ 3/4 | 97 | ![]() | |
| Enclosed | 3/4 < i/L ≤ 1 | 44 | ![]() | |
| Sound Source | Covered-Type Space | Enclosed-Type Space | ||
|---|---|---|---|---|
| SDD | SHD | SDD | SHD | |
| SF | 1.252 | 0.342 | 6.541 | 1.533 |
| CS | 0.499 | 0.285 | 19.577 *** | 1.385 |
| BS | 2.466 | 4.799 * | 12.890 * | 4.086 |
| TR | 12.156 *** | 1.635 | 2.918 | 5.820 |
| AT | 6.315 * | 1.065 | 21.175 *** | 2.955 |
| FS | 0.907 | 0.388 | 14.297 * | 5.013 |
| PC | 0.183 | 0.281 | 21.053 *** | 8.667 * |
| SS | 0.168 | 1.734 | 3.714 | 5.154 |
| MN | 6.844 * | 0.086 | 6.571 | 3.858 |
| ST | 0.579 | 1.413 | 17.371 *** | 3.228 |
| MS | 1.060 | 0.000 | 15.719 * | 5.559 |
| Norm | Sound Source | K1–K2 | K1–K3 | K1–K4 | K2–K3 | K2–K4 | K3–K4 |
|---|---|---|---|---|---|---|---|
| SDD | CS | 2.471 | 1.073 | 0.013 | 4.354 *** | 2.486 | −1.058 |
| BS | 2.726 | 1.610 | −0.329 | −1.452 | −3.099 * | −1.996 | |
| AT | 4.372 *** | −3.698 ** | −3.524 ** | 0.991 | 0.378 | −0.435 | |
| FS | −2.525 | −0.349 | 0.090 | −3.553 ** | −2.423 | 0.454 | |
| PC | 4.495 *** | −3.612 ** | −2.478 | 1.247 | 1.686 | 0.706 | |
| ST | 1.947 | −2.876 * | −4.037 *** | −1.032 | −2.628 | −1.859 | |
| MS | −2.150 | −0.281 | −1.299 | −3.006 * | −3.622 ** | −1.243 | |
| SHD | PC | 2.672 * | −2.099 | −0.739 | 0.799 | 1.834 | 1.232 |
| Common Divisor | Factor | Ingredient | Variance Contribution/% | |
|---|---|---|---|---|
| 1 | 2 | |||
| F1 (Soundscape pleasure) | Pleasant | 0.831 | — | 50.329 |
| Harmonious | 0.843 | — | ||
| Comfortable | 0.820 | — | ||
| F2 (Soundscape richness) | Rich | — | 0.811 | 17.623 |
| Varied | — | 0.900 | ||
| Quiet | — | — | ||
| Norm | Covered-Type Space | Enclosed-Type Space |
|---|---|---|
| Soundscape pleasantness | 2.986 | 8.459 * |
| Soundscape richness | 2.536 | 8.493 * |
| Norm | K1–K2 | K1–K3 | K1–K4 | K2–K3 | K2–K4 | K3–K4 |
|---|---|---|---|---|---|---|
| Soundscape pleasantness | −2.334 | 2.419 | 2.648 * | 0.004 | 0.667 | 0.687 |
| Soundscape richness | −2.693 * | 1.466 | 2.199 | −1.585 | −0.200 | 1.114 |
| Type of Sound Source Sense | Spatial Type | Dependent Variable | |
|---|---|---|---|
| Pleasure F1 | Richness F2 | ||
| Degree of Superiority | No coverage | SF (−0.125 *) AT (−0.180 **) FS (−0.126 *) PC (−0.154 *) MN (−0.132 *) ST (−0.200 **) MS (−0.169 **) | AT (−0.142 *) PC (−0.124 *) ST (−0.144 *) |
| Covered | BS (0.136 *) FS (0.123 *) | BS (0.123 *) FS (0.126 *) | |
| Enclosed | — | — | |
| Semi-enclosed | — | — | |
| Semi-open | — | BS (0.130 *) AT (0.123 *) FS (0.128 *) MN (0.121 *) | |
| Open | SF (−0.171 **) CS (−0.163 **) BS (−0.173 **) TR (−0.164 **) AT (−0.186 **) FS (−0.183 **) PC (−0.180 **) SS (−0.172 **) MN (−0.177 **) ST (−0.188 **) MS (−0.184 **) | SF (−0.144 *) CS (−0.137 *) BS (−0.141 *) TR (−0.138 *) AT (−0.150 *) FS (−0.135 *) PC (−0.148 *) SS (−0.133 *) MN (−0.148 *) ST (−0.156 *) MS (−0.150 *) | |
| Degree of Harmony | No coverage | — | — |
| Covered | SF (0.141 *) BS (0.137 *) TR (0.145 *) SS (−0.203 **) ST (−0.206 **) MS (−0.126 *) | SS (−0.217 **) ST (−0.190 **) | |
| Enclosed | ST (−0.137 *) | PC (−0.124 *) ST (−0.137 *) | |
| Semi-enclosed | — | CS (−0.138 *) SS (−0.235 **) | |
| Semi-open | CS (0.138 *) TR (0.156 *) MS (−0.126 *) | BS (0.158 *) TR (0.173 **) MS (−0.169 **) | |
| Open | SF (−0.145 *) CS (−0.139 *) BS (−0.162 **) TR (−0.143 *) MN (−0.151 *) ST (0.135 *) | BS (−0.139 *) TR (−0.136 *) ST (0.135 *) | |
| Spatial Type | Dependent Variable | Independent Variable | Beta | t | VIF | R2 | F-Value | |
|---|---|---|---|---|---|---|---|---|
| Type of coverage | No coverage | Pleasure | ST a | −0.278 | −4.692 *** | 1.000 | 0.078 | 22.012 *** |
| Richness | ST a | −0.187 | −3.086 ** | 1.000 | 0.035 | 9.522 ** | ||
| Covered | Pleasure | BS b | 0.220 | 3.691 *** | 1.016 | 0.088 | 8.339 *** | |
| TR b | 0.173 | 2.881 ** | 1.032 | |||||
| SS b | −0.125 | −2.065 * | 1.040 | |||||
| Richness | BS b | 0.176 | 2.894 ** | 1.000 | 0.031 | 8.378 ** | ||
| Type of enclosure | Enclosed | Pleasure | — | — | — | — | — | — |
| Richness | — | — | — | — | — | — | ||
| Semi-enclosed | Pleasure | — | — | — | — | — | — | |
| Richness | SS b | −0.219 | −3.627 *** | 1.000 | 0.048 | 13.152 *** | ||
| Semi-open | Pleasure | BS b | 0.479 | 3.662 *** | 4.721 | 0.054 | 7.463 *** | |
| BS a | −0.351 | −2.685 ** | 4.721 | |||||
| Pleasure | BS b | 0.184 | 3.023 ** | 1.000 | 0.034 | 9.136 ** | ||
| Open | Pleasure | ST a | −0.271 | −4.549 *** | 1.000 | 0.073 | 20.691 *** | |
| Richness | ST a | −0.173 | −2.840 ** | 1.000 | 0.030 | 8.068 ** | ||
| User Characteristics | Sound Source Dominance | Harmony of Sound Sources | Soundscape Perception Evaluation Dimensions |
|---|---|---|---|
| Sex | TR (0.125 *) FS (0.151 *) SS (0.165 **) | — | Harmonious (−0.143 *) |
| Age | SF (−0.147 *) TR (−0.205 **) FS (−0.172 **) MS (−0.135 *) | CS (0.163 **) BS (0.131 *) PC (0.140 *) ST (−0.257 **) | Pleasure (0.142 *) Quiet (0.168 **) |
| Education | MS (0.170 **) | SF (0.134 *) TR (0.161 **) ST (0.140 *) | Quiet (0.131 *) |
| Occupation | — | — | — |
| Stress level | FS (0.146 *) MN (0.161 **) | FS (0.164 **) MN (0.159 **) | — |
| Type of residence | CS (0.233 **) BS (0.141 *) TR (−0.158 *) MS (−0.160 **) | CS (0.171 **) BS (0.162 **) FS (0.132 *) ST (−0.173 **) | — |
| Frequency of visit | CS (−0.167 **) BS (−0.246 **) SS (−0.144 *) | BS (−0.236 **) FS (−0.128 *) | Harmonious (0.166 **) |
| Duration of visit | FS (0.183 **) SS (0.133 *) MN (0.210 **) | PC (−0.144 *) | — |
Disclaimer/Publisher’s Note: The statements, opinions and data contained in all publications are solely those of the individual author(s) and contributor(s) and not of MDPI and/or the editor(s). MDPI and/or the editor(s) disclaim responsibility for any injury to people or property resulting from any ideas, methods, instructions or products referred to in the content. |
© 2024 by the authors. Licensee MDPI, Basel, Switzerland. This article is an open access article distributed under the terms and conditions of the Creative Commons Attribution (CC BY) license (https://creativecommons.org/licenses/by/4.0/).
Share and Cite
Zhang, Y.; Huang, Y.; Zheng, M.; Zhang, H.; Zhang, Q.; He, T.; Ye, J. A Study on the Characteristics and Influencing Factors of Soundscape Perception in Landscape Spaces of Urban Greenways. Forests 2024, 15, 670. https://doi.org/10.3390/f15040670
Zhang Y, Huang Y, Zheng M, Zhang H, Zhang Q, He T, Ye J. A Study on the Characteristics and Influencing Factors of Soundscape Perception in Landscape Spaces of Urban Greenways. Forests. 2024; 15(4):670. https://doi.org/10.3390/f15040670
Chicago/Turabian StyleZhang, Yijing, Yangxin Huang, Meijing Zheng, Hui Zhang, Qiqi Zhang, Tianyou He, and Jing Ye. 2024. "A Study on the Characteristics and Influencing Factors of Soundscape Perception in Landscape Spaces of Urban Greenways" Forests 15, no. 4: 670. https://doi.org/10.3390/f15040670
APA StyleZhang, Y., Huang, Y., Zheng, M., Zhang, H., Zhang, Q., He, T., & Ye, J. (2024). A Study on the Characteristics and Influencing Factors of Soundscape Perception in Landscape Spaces of Urban Greenways. Forests, 15(4), 670. https://doi.org/10.3390/f15040670






