Mechanical Performance Degradation of Decaying Straight Mortise and Tenon Joints: Tusi Manor, Yunnan–Tibet Region
Abstract
1. Introduction
2. Materials and Methods
2.1. SMTJs Specimen Fabrication
2.2. Material Property Experiments
2.3. Decayed Method
2.4. Loading Device and Method
3. Experimental Results and Discussion
3.1. Failure Mode
3.2. Hysteresis Curve and Skeleton Curve
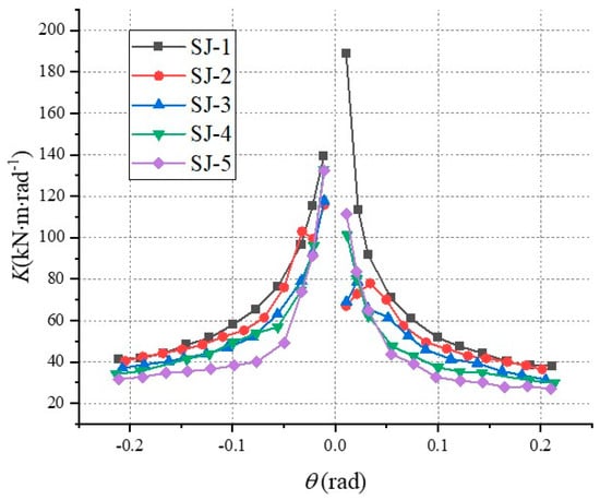
3.3. Strength and Stiffness Degradation
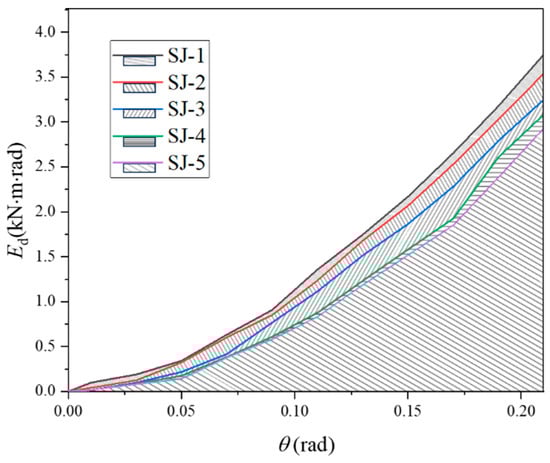
3.4. Degradation of Bearing Capacity and Energy Consumption Capacity
4. Finite Element Analysis
4.1. Model Establishment
4.2. Comparison between Finite Element Simulation Results and Experimental Results
4.2.1. Numerical Analysis
4.2.2. Stress Analysis
5. Conclusions
- (1)
- Under cyclic loading, SMTJs are prone to fracturing when subjected to tension. With increased decay cycles, the failure mode of the tenon remains relatively consistent, though plastic deformation induced by the tenon becomes more pronounced, leading to more severe occurrences of sliding and tenon pulling out. Moreover, the depth of tenon decay is directly proportional to the duration of fungal incubation.
- (2)
- Compared to specimens without fungal decay treatment, specimens treated with fungal decay for 6–24 weeks exhibit degraded mechanical properties. Their transverse compressive strength decreased by 5.33%, 12.33%, 20.88%, and 28.67% after 6, 12, 18, and 24 weeks, respectively, while their ultimate bearing capacity decreased by 5.17%, 11.83%, 17.34%, and 23.54%. Their cumulative energy consumption performance also degraded by 8.38%, 9.51%, 23.13%, and 33.31%, respectively. Notably, there exists a positive correlation between the degradation of mechanical performance in SMTJs and the degradation of transverse compressive strength. The degradation trend observed in SMTJ’s mechanical properties resulting from fungal decay adheres to the characteristics of the sigmoid function. Consequently, a sigmoid function can be established to describe the degradation of transverse compressive strength relative to the extent of mechanical properties degradation.
- (3)
- Utilizing the decay depth gradient can enhance accuracy in fitting internal decay in SMTJs. Combining experimental and finite element simulation results revealed that during short decay cycles, decay in the tenon progressively extends from outer to inner regions. Specifically, fungal decay lasting 6–12 weeks results in an approximately 5 mm depth of tenon damage, while cycles extending 18–24 weeks increase this depth to approximately 10 mm. Among the decay-related phenomena observed, severe degradation of the tenon’s outer surface significantly impacts the joint’s initial stiffness, rendering the structure susceptible to deformation following wood decay.
- (4)
- Even after 24 weeks of fungal decay, a considerable portion within the tenons of the SMTJs remain unaffected. This resistance contributes to the joint’s favorable rotational performance and allows it to retain a portion of its load-bearing capacity and energy consumption efficiency. In practical engineering scenarios, such as when a limited period of decay is observed in structures such as the Tusi Manor in the Yunnan–Tibet Region, it is feasible to maintain a certain level of safety by implementing preventive measures to halt decay progression.
Author Contributions
Funding
Data Availability Statement
Conflicts of Interest
References
- Liang, S.C. A Pictorial History of Chinese Architecture; MIT Press: Boston, MA, USA, 1984. [Google Scholar]
- Fang, D.P.; Iwasaki, S.; Yu, M.H.; Shen, Q.P.; Miyamoto, Y.; Hikosaka, H. Ancient Chinese timber architecture. I: Experimental study. J. Struct. Eng. 2001, 127, 1348–1357. [Google Scholar] [CrossRef]
- Hua, Y.; Nakatani, N. Historic conservation in Tibetan region amidst rapid urbanization: A case study of Dukezong Old Town. J. Asian Archit. Build. Eng. 2023, 1–15. [Google Scholar] [CrossRef]
- Hou, C.P.; Wu, H.R. Modern and Traditional Smart Improvements of the Traditional Tibetan Architectural Materials and Security. Appl. Mech. Mater. 2013, 353–356, 2817–2821. [Google Scholar] [CrossRef]
- Qin, S.; Yang, N. Strength degradation and service life prediction of timber in ancient Tibetan building. Eur. J. Wood Wood Prod. 2018, 76, 731–747. [Google Scholar] [CrossRef]
- Li, T.; Yang, N. Condition assessment of timber beam in a typical Tibetan heritage building under crowd load. Adv. Struct. Eng. 2021, 24, 1910–1925. [Google Scholar] [CrossRef]
- Dong, J.; Jin, H. The design strategy of green rural housing of Tibetan areas in Yunnan, China. Renew. Energy 2013, 49, 63–67. [Google Scholar] [CrossRef]
- Blanchette, R.A.; Held, B.W.; Jurgens, J.; Stear, A.; Dupont, C. Fungi attacking historic wood of Fort Conger and the Peary Huts in the High Arctic. PLoS ONE 2021, 16, e0246049. [Google Scholar] [CrossRef]
- Li, P.; Yang, N.; Wang, Y. Research on Structural Present State and Damage Reasons of Ancient Tibetan Buildings. Appl. Mech. Mater. 2013, 351–352, 1652–1656. [Google Scholar] [CrossRef]
- Venäläinen, M.; Partanen, H.; Harju, A. The strength loss of Scots pine timber in an accelerated soil contact test. Int. Biodeterior. Biodegrad. 2014, 86, 150–152. [Google Scholar] [CrossRef]
- Kleindienst, Q.; Besserer, A.; Antoine, M.-L.; Perrin, C.; Bocquet, J.-F.; Bléron, L. Predicting the beech wood decay and strength loss in-ground. Int. Biodeterior. Biodegrad. 2017, 123, 96–105. [Google Scholar] [CrossRef]
- Plaschkies, K.; Jacobs, K.; Scheiding, W.; Melcher, E. Investigations on natural durability of important European wood species against wood decay fungi. Part 1: Laboratory tests. Int. Biodeterior. Biodegrad. 2014, 90, 52–56. [Google Scholar] [CrossRef]
- Ueda, R.; Sawata, K.; Takanashi, R.; Sasaki, Y.; Sasaki, T. Degradation of shear performance of screwed joints caused by wood decay. J. Wood Sci. 2020, 66, 42. [Google Scholar] [CrossRef]
- Mi, X.; Li, Y.; Qin, X.; Li, J. Effects of natural weathering on aged wood from historic wooden building: Diagnosis of the oxidative degradation. Herit. Sci. 2023, 11, 109. [Google Scholar] [CrossRef]
- Zhang, D. Natural aging changes in wood properties of deciduous pine components in ancient architecture. J. Civ. Environ. Eng. 2021, 1–9. Available online: http://qks.cqu.edu.cn/cqdxxbcn/article/abstract/tm-202110052 (accessed on 1 April 2024). (In Chinese and English).
- Xu, M.; Qiu, H. Experimental Study on the Properties of Old Wood Materials in Ancient Buildings. Eng. Seism. Reinf. Renov. 2011, 33, 53–55+31. (In Chinese) [Google Scholar]
- Kim, G.-H.; Barnes, H.M.; Lyon, D.E. Effect of Decay on the Mechanical Properties of Full-Sized Lumber. Holzforschung 1994, 48, 145–149. [Google Scholar] [CrossRef]
- Yang, N.; Wang, Z.; Chang, P. Experimental Study on Mechanical Properties of Flawless Old Samples of Tibetan Poplar. J. Build. Struct. 2022, 43, 168–176. [Google Scholar]
- Singh, J.; White, N. Timber Decay in Buildings: Pathology and Control. J. Perform. Constr. Facil. 1997, 11, 3–12. [Google Scholar] [CrossRef]
- King, W.S.; Yen, J.Y.R.; Yen, Y.N.A. Joint characteristics of traditional Chinese wooden frames. Eng. Struct. 1996, 18, 635–644. [Google Scholar] [CrossRef]
- Zhang, B.; Xie, Q.; Liu, Y.; Zhang, L.; Li, S. Effects of gaps on the seismic performance of traditional timber frames with straight mortise-tenon joint: Experimental tests, energy dissipation mechanism and hysteretic model. J. Build. Eng. 2022, 58, 105019. [Google Scholar] [CrossRef]
- Bai, F.; Dong, F.; Sui, Y.; Xue, J.; Wu, C.; Song, D.; Hu, C. Experimental study on fracture damage and seismic performance of loose through-tenon joints in ancient timber structures. Constr. Build. Mater. 2023, 394, 132228. [Google Scholar] [CrossRef]
- Yang, Q.; Yu, P.; Law, S.-S. Load resisting mechanism of the mortise-tenon connection with gaps under in-plane forces and moments. Eng. Struct. 2020, 219, 110755. [Google Scholar] [CrossRef]
- Vassiliou, V.; Barboutis, I.; Kamperidou, V. Strength of corner and middle joints of upholstered furniture frames constructed with black locust and beech wood. Wood Res. 2016, 61, 495–504. [Google Scholar]
- Okamoto, S.; Nakatani, M.; Akiyama, N.; Tanaka, K.; Mori, T. Verification of the shear performance of mortise and tenon joints with top and bottom notches at the beam end. J. Wood Sci. 2021, 67, 47. [Google Scholar] [CrossRef]
- Guo, T.; Yang, N.; Yan, H.; Bai, F. Experimental study of moment carrying behavior of typical Tibetan timber beam-column joints. Adv. Struct. Eng. 2021, 24, 2402–2412. [Google Scholar] [CrossRef]
- Poletti, E.; Vasconcelos, G.; Branco, J.M.; Isopescu, B. Effects of extreme environmental exposure conditions on the mechanical behaviour of traditional carpentry joints. Constr. Build. Mater. 2019, 213, 61–78. [Google Scholar] [CrossRef]
- Zhang, C.; Chun, Q.; Lin, Y.; Han, Y.; Jia, X. Quantitative assessment method of structural safety for complex timber structures with decay diseases. J. Build. Eng. 2021, 44, 103355. [Google Scholar] [CrossRef]
- Udele, K.E.; Morrell, J.J.; Cappellazzi, J.; Sinha, A. Characterizing properties of fungal-decayed cross laminated timber (CLT) connection assemblies. Constr. Build. Mater. 2023, 409, 134080. [Google Scholar] [CrossRef]
- Ma, L.; Xue, J.; Zhang, X. Seismic Performance Evaluation of Damaged Ancient Timber Structures with Looseness Mortise-Tenon Joints. Int. J. Archit. Herit. 2023, 17, 2054–2068. [Google Scholar] [CrossRef]
- Chen, L.-K.; Li, S.-C.; Wang, Y.-T.; Zhao, Y.-J.; Zhang, M.; Song, X.-Y.; Li, X.-W.; Wu, T.; Jiang, L.-Z. Experimental Study on the Seismic Behaviour of Mortise-Tenon Joints of the Ancient Timbers. Struct. Eng. Int. 2017, 27, 512–519. [Google Scholar] [CrossRef]
- ISO 13061-1:2014; Physical and Mechanical Properties of Wood-Test Methods for Small Clear Wood Specimens—Part 1: Determination of Moisture Content for Physical and Mechanical Tests. ISO: Geneva, Switzerland, 2014.
- ISO 13061-2:2014; Physical and Mechanical Properties of Wood—Test Methods for Small Clearwood Specifications—Part 2: Determination of Density for Physical and Mechanical Tests. ISO: Geneva, Switzerland, 2014.
- GB/T 1927.2-2021; Test Methods for Physical and Mechanical Properties of Small Clear Wood Specimens—Part 2: Sampling Methods and General Requirements. Standardization Administration of the People’s Republic of China: Beijing, China, 2021.
- GB/T 1927.13-2022; Test Methods for Physical and Mechanical Properties of Small Clear Wood Specimens—Part 13: Determination of the Modulus of Elasticity in Compression Perpendicular to Grain. Standardization Administration of the People’s Republic of China: Beijing, China, 2022.
- D5379/D5379 M-12; Test Method for Shear Properties of Composite Materials by the V-Notched Beam Method. ASTM International: West Conshohocken, PA, USA, 2012.
- Yoshihara, H.; Ohsaki, H.; Kubojima, Y.; Ohta, M. Applicability of the losipescu shear test on the measurement of the shear properties of wood. J. Wood Sci. 1999, 45, 24–29. [Google Scholar] [CrossRef]
- Zhang, L.; Yang, N. Evaluation of a modified Iosipescu shear test method for determining the shear properties of clear wood. Wood Sci. Technol. 2017, 51, 323–343. [Google Scholar] [CrossRef]
- GB/T 13942.1-2009; Forestry RIoWICAo, Durability of Wood—Part 1: Method for Laboratory Test of Natural Decay Resistance, General Administration of Quality Supervision, Inspection and Quarantine of the People’s Republic of China. Standardization Administration of the People’s Republic of China: Beijing, China, 2009; p. 12.
- Hu, L.; Liu, L.; Wang, G.; Wu, J. Identification of decaying fungi on beams and columns of buildings in the Old Town of Lijiang. Mycol. Res. 2016, 14, 153–156. [Google Scholar]
- Yang, Z.; Jiang, Z.; Reng, H.; Qin, D. An Accelerated Laboratory Test Method to Assess Wood Decay. China Wood Ind. 2007, 21, 12–14. (In Chinese) [Google Scholar]
- JGJ/T 101-2015; China Academy of Building Research; Institute of Engineering Mechanics, China Earthquake Administration. Tongji University, Specification of Test Methods For Earthquake Resistant Building: Shanghai, China, 1996.
- GB 50165-1992; Sichuan Institute of Building Research; National Technical Committee for Timber and Composite Materials Standards. Technical Code for Maintenance and Strengthen of Ancient Timber Buildings. Standardization Administration of the People’s Republic of China: Beijing, China, 1992.
- Ma, L.; Xue, J.; Dai, W.; Zhang, X.; Zhao, X. Moment-rotation relationship of mortise-through-tenon connections in historic timber structures. Constr. Build. Mater. 2020, 232, 117285. [Google Scholar] [CrossRef]
- Mazhar, N.; Malik, F.M.; Raza, A.; Khan, R. Predefined-time control of nonlinear systems: A sigmoid function based sliding manifold design approach. Alex. Eng. J. 2022, 61, 6831–6841. [Google Scholar] [CrossRef]





















| Time (Week) | Mechanical Property (MPa) | Poisson’s Ratio | |||||||||
|---|---|---|---|---|---|---|---|---|---|---|---|
| fc | fr | EL | ER | ET | GLR | GLT | GRT | μLR | μLT | μRT | |
| 0 (COV) | 65.1 (7.9) | 6.07 (3.3) | 9156 (6.4 | 693 (7.8) | 534 (9.2) | 312 (7.7) | 271 (6.9) | 10.4 (9.2) | 0.63 (11.8) | 0.39 (11.2) | 0.42 (13.2) |
| 6 (COV) | 62.5 (10.4) | 5.78 (8.7) | 8744 (7.2) | 679 9.1) | 498 (10.5) | 310 (9.8) | 268 (14.2) | 9.8 (10.6) | 0.64 (15.2) | 0.41 (16.7) | 0.42 (17.1) |
| 12 (COV) | 59.8 (11.2) | 5.52 (11.2) | 8208 (9.6) | 656 (8.9) | 451 (10.9) | 307 (11.3) | 258 (16.7) | 9.1 (14.4) | 0.64 (15.4) | 0.41 (15.9) | 0.43 (21.3) |
| 18 (COV) | 55.1 (10.9) | 5.21 (11.7) | 7864 (9.6) | 640 (11.3) | 444 (16.3) | 298 (14.6) | 237 (15.6) | 8.2 (16.4) | 0.65 (22.3) | 0.42 (17.4) | 0.44 (19.6) |
| 24 (COV) | 51.2 (18.3) | 5.09 (12.5) | 7770 (10.8) | 615 (13.3) | 441 (17.9) | 277 (19.8) | 221 (15.6) | 7.4 (18.4) | 0.65 (23.3) | 0.43 (18.3) | 0.44 (20.4) |
| Error Analysis | Culture Time (Week) | |||||||||
|---|---|---|---|---|---|---|---|---|---|---|
| Ultimate Moment (kN·m) | Initial Stiffness (kN·m·rad−1) | |||||||||
| 0 | 6 | 12 | 18 | 24 | 0 | 6 | 12 | 18 | 24 | |
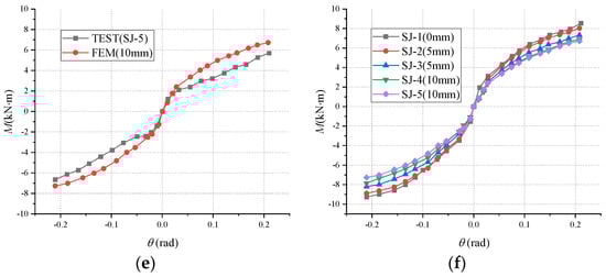
| TEST | −8.71 | −8.26 | −7.68 | −7.20 | −6.66 | 326.8 | 243.7 | 213.9 | 197.1 | 182.9 |
| FEM | −9.26 | −8.89 | −8.21 | −7.85 | −7.26 | 336.9 | 248.8 | 226 | 211.7 | 193.5 |
| Error value (%) | 6.31 | 7.62 | 6.90 | 9.02 | 9.01 | 3.1 | 2.1 | 5.6 | 7.4 | 5.8 |
Disclaimer/Publisher’s Note: The statements, opinions and data contained in all publications are solely those of the individual author(s) and contributor(s) and not of MDPI and/or the editor(s). MDPI and/or the editor(s) disclaim responsibility for any injury to people or property resulting from any ideas, methods, instructions or products referred to in the content. |
© 2024 by the authors. Licensee MDPI, Basel, Switzerland. This article is an open access article distributed under the terms and conditions of the Creative Commons Attribution (CC BY) license (https://creativecommons.org/licenses/by/4.0/).
Share and Cite
Su, Y.; Nong, Z.; Liu, H.; Mao, S.; Jiang, P.; Qiang, M.; Wu, Z. Mechanical Performance Degradation of Decaying Straight Mortise and Tenon Joints: Tusi Manor, Yunnan–Tibet Region. Forests 2024, 15, 667. https://doi.org/10.3390/f15040667
Su Y, Nong Z, Liu H, Mao S, Jiang P, Qiang M, Wu Z. Mechanical Performance Degradation of Decaying Straight Mortise and Tenon Joints: Tusi Manor, Yunnan–Tibet Region. Forests. 2024; 15(4):667. https://doi.org/10.3390/f15040667
Chicago/Turabian StyleSu, Yanwei, Zhengquan Nong, Heng Liu, Shihua Mao, Puyan Jiang, Mingli Qiang, and Zhangkang Wu. 2024. "Mechanical Performance Degradation of Decaying Straight Mortise and Tenon Joints: Tusi Manor, Yunnan–Tibet Region" Forests 15, no. 4: 667. https://doi.org/10.3390/f15040667
APA StyleSu, Y., Nong, Z., Liu, H., Mao, S., Jiang, P., Qiang, M., & Wu, Z. (2024). Mechanical Performance Degradation of Decaying Straight Mortise and Tenon Joints: Tusi Manor, Yunnan–Tibet Region. Forests, 15(4), 667. https://doi.org/10.3390/f15040667
