The Optimization of the Steam-Heat-Treated Process of Rattan (Calamus simplicifolius) Based on the Response Surface Analysis and Its Chemical Changes
Abstract
1. Introduction
2. Materials and Methods
2.1. Sample Preparation
2.2. Methods
2.2.1. Heat Treatment
2.2.2. Response Surface Design
2.2.3. Verification of Steam Heat Treatment Conditions
2.2.4. Impact Toughness
- C—impact toughness of the specimen, kJ/m2;
- Q—sample-absorbed energy, J;
- d—specimen diameter, mm.
2.2.5. The Determination of Chemical Composition
2.2.6. X-ray Diffraction (XRD)
- CrI—Crystallinity (%);
- I002—The maximum intensity of the (002) lattice diffraction angle;
- Iam—The scattering intensity of the non-crystalline background diffraction.
2.2.7. FTIR
2.2.8. TG-FTIR
- A—The weight loss rate;
- m0—Initial total mass of the sample;
- m1—Residual mass of the sample recorded by TG.
3. Results
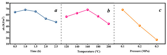
3.1. The Single-Factor Analysis
3.2. The Response Surface Optimization of Steam Heat Treatment Condition
3.2.1. Experimental Design for the Response Surface Method and Results
3.2.2. Interaction Analysis of Each Factor
3.3. Chemical Composition Changes
3.4. X-ray Diffraction (XRD) Analysis
3.5. Fourier Transform Infrared (FTIR) Spectra
3.6. Thermogravimetry (TG)
3.7. The Influence of Heat Treatment on Impact Toughness
4. Conclusions
Author Contributions
Funding
Data Availability Statement
Conflicts of Interest
References
- Vorontsova, M.S.; Clark, L.G.; Dransfield, J.; Govaerts, R.; Baker, W.J. World Checklist of Bamboos and Rattans; INBAR: Beijing, China; Royal Botanic Gardens: Kew, UK, 2016. [Google Scholar]
- Jiang, Z.; Wang, K. Handbook of Rattan in China; Science Press: Beijing, China, 2018; ISBN 9787030572257. [Google Scholar]
- Wang, K.-L. Myrialepis, a newly recorded genus in China. Plant Sci. J. 2018, 36, 11–16. [Google Scholar]
- Bhat, K.M.; Thulasidas, P.K.; Mohamed, C.P. Strength properties of ten South Indian canes. J. Trop. For. Sci. 1992, 5, 26–34. [Google Scholar]
- Lv, W.H.; Jiang, Z.H.; Liu, X.E.; Liu, J.L. Causes and Removal of Da emonorops margaritae Cane’s Discoloration. Adv. Mater. Res. 2013, 634, 909–912. [Google Scholar] [CrossRef]
- Hamid, N.H.; Hale, M. Decay threshold of acetylated rattan against white and brown rot fungi. Int. Wood Prod. J. 2012, 3, 96–106. [Google Scholar] [CrossRef]
- Sanusi, D. Rotan: Kekayaan Belantara Indonesia; Firstbox Media: Jakarta, Indonesia, 2019. [Google Scholar]
- Yang, L.; Liu, X.; Jiang, Z.; Tian, G.; Yang, S.; Shang, L. Compressive strength parallel to the grain in relation to moisture content in Calamus simplicifolius cane. For. Prod. J. 2020, 70, 309–316. [Google Scholar]
- Sandberg, D.; Haller, P.; Navi, P. Thermo-hydro and thermo-hydro-mechanical wood processing: An opportunity for future environmentally friendly wood products. Wood Mater. Sci. Eng. 2013, 8, 64–88. [Google Scholar] [CrossRef]
- Han, X.; Lou, Z.; Yuan, C.; Wu, X.; Liu, J.; Weng, F.; Li, Y. Study on the effect of two-step saturated steam heat treatment process on the properties of reconstituted bamboo. J. Renew. Mater. 2022, 10, 3313. [Google Scholar] [CrossRef]
- Wang, D.; Lin, L.; Fu, F. Fracture mechanisms of moso bamboo (Phyllostachys pubescens) under longitudinal tensile loading. Ind. Crops Prod. 2020, 153, 112574. [Google Scholar] [CrossRef]
- Li, D. Effect of High Temperature Heat Treatment on Properties of Single Leaf Vine; Anhui Agricultural University: Hefei, China, 2018. [Google Scholar]
- Kučerová, V.; Lagaňa, R.; Hýrošová, T. Changes in chemical and optical properties of silver fir (Abies alba L.) wood due to thermal treatment. J. Wood Sci. 2019, 65, 21. [Google Scholar] [CrossRef]
- Hoseinzadeh, F.; Zabihzadeh, S.M.; Dastoorian, F. Creep behavior of heat treated beech wood and the relation to its chemical structure. Constr. Build. Mater. 2019, 226, 220–226. [Google Scholar] [CrossRef]
- Yuan, T.; Huang, Y.; Zhang, T.; Wang, X.; Li, Y. Change in micro-morphology and micro-mechanical properties of thermally modified Moso bamboo. Polymers 2022, 14, 646. [Google Scholar] [CrossRef] [PubMed]
- Esteves, B.; Ferreira, H.; Viana, H.; Ferreira, J.; Domingos, I.; Cruz-Lopes, L.; Jones, D.; Nunes, L. Termite resistance, chemical and mechanical characterization of Paulownia tomentosa wood before and after heat treatment. Forests 2021, 12, 1114. [Google Scholar] [CrossRef]
- Gao, Q.; Feng, Z.; He, Y.; Hou, Y.; Ren, H.; Su, M.; Ni, L.; Liu, Z. Pyrolysis self-activation: An environmentally friendly method to transform biowaste into activated carbon for arsenic removal. Bioresour. Technol. 2023, 368, 128353. [Google Scholar] [CrossRef] [PubMed]
- Zhang, Y.; Yu, Y.; Lu, Y.; Yu, W.; Wang, S. Effects of heat treatment on surface physicochemical properties and sorption behavior of bamboo (Phyllostachys edulis). Constr. Build. Mater. 2021, 282, 122683. [Google Scholar] [CrossRef]
- Wu, S.C.; Wang, Y.C. The anatomical structure and mechanical properties of Calamus orientalis. For. Prod. Ind. 1990, 9, 79–89. [Google Scholar]
- Ahmed, S.A.; Hosseinpourpia, R.; Brischke, C.; Adamopoulos, S. Anatomical, physical, chemical, and biological durability properties of two rattan species of different diameter classes. Forests 2022, 13, 132. [Google Scholar] [CrossRef]
- Lee, S.H.; Ashaari, Z.; Lum, W.C.; Halip, J.A.; Ang, A.F.; Tan, L.P.; Chin, K.L.; Tahir, P.M. Thermal treatment of wood using vegetable oils: A review. Constr. Build. Mater. 2018, 181, 408–419. [Google Scholar] [CrossRef]
- Tian, C.; Wu, D. Mechanical properties of ZSM-5 extruded catalysts: Calcination process optimization using response surface methodology. Chem. Eng. Commun. 2021, 208, 1594–1606. [Google Scholar] [CrossRef]
- Box, G.E.P.; Hunter, W.H.; Hunter, S. Statistics for Experimenters; John Wiley and sons: New York, NY, USA, 1978. [Google Scholar]
- Dean, A.; Voss, D. Design and Analysis of Experiments; Springer: New York, NY, USA, 1999. [Google Scholar]
- JG/T 199-2007; Testing Methods for Physical and Mechanicalproperties of Bamboo Used in Building. Ministry of Construction Engineering: Beijing, China, 2007.
- Santoso, A.; Pari, R. Quality of rattan board with lamination process using tannin-based adhesives. In IOP Conference Series: Materials Science and Engineering; IOP Publishing: Bristol, UK, 2020; Volume 935, p. 012029. [Google Scholar]
- Sluiter, A.; Hames, B.; Ruiz, R.; Scarlata, C.; Sluiter, J.; Templeton, D.; Crocker, D.L.A.P. Determination of structural carbohydrates and lignin in biomass. Lab. Anal. Proced. 2008, 1617, 1–16. [Google Scholar]
- GB/T 2677.6-1994; Fibrous Raw Material-Determination of Solvent Extractives. The State Bureau of Quality and Technical Supervision: Beijing, China, 1994.
- Biswas, B.; Pandey, N.; Bisht, Y.; Singh, R.; Kumar, J.; Bhaskar, T. Pyrolysis of agricultural biomass residues: Comparative study of corn cob, wheat straw, rice straw and rice husk. Bioresour. Technol. 2017, 237, 57–63. [Google Scholar] [CrossRef]
- Bao, G.-R.; Chen, S.-N.; Ling, X.; Bao, S.-D.; Ha, S.; Li, F.-Q. Optimization of Cellulose Extraction from Buckwheat Straw Using Box-Behnken Response Surface Methodology. Chem. Res. Appl. 2023, 35, 532–538. [Google Scholar]
- Jeradechachai, T. Application of Response Surface Methodology in the Development of Gluten-Free Bread with Yellow Pea Flour Addition. Ph.D. Thesis, North Dakota State University, Fargo, ND, USA, 2012. [Google Scholar]
- Wang, X.; Zhang, T. Optimization on tartary buckwheat enriched steamed bread: A response surface methodology study. J. Food Process. 2015, 2015, 785042. [Google Scholar] [CrossRef]
- Alben, K.T. Books and Software: Design, analyze, and optimize with Design-Expert. Anal. Chem. 2002, 74, 222A–223A. [Google Scholar] [CrossRef]
- Boonstra, M.J.; Tjeerdsma, B. Chemical analysis of heat treated softwoods. Eur. J. Wood Wood Prod. 2006, 64, 204–211. [Google Scholar] [CrossRef]
- Alén, R.; Kotilainen, R.; Zaman, A. Thermochemical behavior of Norway spruce (Picea abies) at 180–225 C. Wood Sci. Technol. 2002, 36, 163–171. [Google Scholar] [CrossRef]
- Sun, R.H.; Li, X.J.; Liu, Y.; Hou, R.G.; Qiao, J.Z. Effects of high temperature heat treatment on FTIR and XRD characteristics of bamboo bundles. J. Cent. South Univ. For. Technol. 2013, 33, 97–100. [Google Scholar]
- Meng, F.; Yu, Y.; Zhang, Y.; Yu, W.-J.; Gao, J.-M. Surface chemical composition analysis of heat-treated bamboo. Appl. Surf. Sci. 2016, 371, 383–390. [Google Scholar] [CrossRef]
- Părpăriţă, E.; Nistor, M.T.; Popescu, M.C.; Vasile, C. TG/FT–IR/MS study on thermal decomposition of polypropylene/biomass composites. Polym. Degrad. Stab. 2014, 109, 13–20. [Google Scholar] [CrossRef]
- Todorović, N.; Popović, Z.; Milić, G. Estimation of quality of thermally modified beech wood with red heartwood by FT-NIR spectroscopy. Wood Sci. Technol. 2015, 49, 527–549. [Google Scholar] [CrossRef]
- Kocaefe, D.; Poncsak, S.; Boluk, Y. Effect of thermal treatment on the chemical composition and mechanical properties of birch and aspen. BioResources 2008, 3, 517–537. [Google Scholar] [CrossRef]
- Kotilainen, R.A.; Toivanen, T.J.; Alén, R.J. FTIR monitoring of chemical changes in softwood during heating. J. Wood Chem. Technol. 2000, 20, 307–320. [Google Scholar] [CrossRef]
- Huang, X.; Kocaefe, D.; Kocaefe, Y.; Boluk, Y.; Pichette, A. Study of the degradation behavior of heat-treated jack pine (Pinus banksiana) under artificial sunlight irradiation. Polym. Degrad. Stab. 2012, 97, 1197–1214. [Google Scholar] [CrossRef]
- Salem, K.S.; Kasera, N.K.; Rahman, M.A.; Jameel, H.; Habibi, Y.; Eichhorn, S.J.; French, A.D.; Pal, L.; Lucia, L.A. Comparison and assessment of methods for cellulose crystallinity determination. Chem. Soc. Rev. 2023, 52, 6417–6446. [Google Scholar] [CrossRef] [PubMed]
- Kostryukov, S.G.; Matyakubov, H.B.; Masterova, Y.Y.; Kozlov, A.S.; Pryanichnikova, M.K.; Pynenkov, A.A.; Khluchina, N.A. Determination of lignin, cellulose, and hemicellulose in plant materials by FTIR spectroscopy. J. Anal. Chem. 2023, 78, 718–727. [Google Scholar] [CrossRef]
- Popescu, M.C.; Froidevaux, J.; Navi, P.; Popescu, C.-M. Structural modifications of Tilia cordata wood during heat treatment investigated by FT-IR and 2D IR correlation spectroscopy. J. Mol. Struct. 2013, 1033, 176–186. [Google Scholar] [CrossRef]
- Guo, F.; Zhang, X.; Yang, R.; Salmén, L.; Yu, Y. Hygroscopicity, degradation and thermal stability of isolated bamboo fibers and parenchyma cells upon moderate heat treatment. Cellulose 2021, 28, 8867–8876. [Google Scholar] [CrossRef]
- Wang, X.; Wang, X.; Qin, G.; Chen, M.; Wang, J. Kinetic Study of Pine Wood Pyrolysis Using Thermogravimetric Analysis. J. Biobased Mater. Bioenergy 2018, 12, 97–101. [Google Scholar] [CrossRef]
- Li, D.; Yang, S.; Liu, Z.; Wang, Z.; Ji, N.; Liu, J. Effects of heat treatment under different pressures on the properties of bamboo. Polymers 2023, 15, 3074. [Google Scholar] [CrossRef]
- Xiang, E.; Huang, R.; Yang, S. Change in micromechanical behavior of surface densified wood cell walls in response to superheated steam treatment. Forests 2021, 12, 693. [Google Scholar] [CrossRef]
- Li, Y.; Du, L.; Kai, C.; Huang, R.; Wu, Q. Bamboo and high density polyethylene composite with heat-treated bamboo fiber: Thermal decomposition properties. BioResources 2013, 8, 900–912. [Google Scholar] [CrossRef]
- Yang, H.; Yan, R.; Chen, H.; Lee, D.H.; Zheng, C. Characteristics of hemicellulose, cellulose and lignin pyrolysis. Fuel 2007, 86, 1781–1788. [Google Scholar] [CrossRef]
- Wu, J.; Zhong, T.; Zhang, W.; Shi, J.; Fei, B.; Chen, H. Comparison of colors, microstructure, chemical composition and thermal properties of bamboo fibers and parenchyma cells with heat treatment. J. Wood Sci. 2021, 67, 1–11. [Google Scholar] [CrossRef]
- Chen, R.; Lun, L.; Cong, K.; Li, Q.; Zhang, Y. Insights into pyrolysis and co-pyrolysis of tobacco stalk and scrap tire: Thermochemical behaviors, kinetics, and evolved gas analysis. Energy 2019, 183, 25–34. [Google Scholar] [CrossRef]
- Dong, Z.; Liu, Z.; Zhang, X.; Yang, H.; Li, J.; Xia, S.; Chen, Y.; Chen, H. Pyrolytic characteristics of hemicellulose, cellulose and lignin under CO2 atmosphere. Fuel 2019, 256, 115890. [Google Scholar] [CrossRef]






| Factor | Levels | ||
|---|---|---|---|
| −1 | 0 | 1 | |
| A: Time/h | 0.5 | 1 | 1.5 |
| B: Temperature/℃ | 140 | 160 | 180 |
| C: Pressure/MPa | 0.1 | 0.2 | 0.3 |
| Run Order | A | B | C | ak: kJ/m2 |
|---|---|---|---|---|
| 1 | 0 | 1 | −1 | 57.35 |
| 2 | 1 | 0 | −1 | 59.71 |
| 3 | 0 | −1 | −1 | 62.71 |
| 4 | −1 | 0 | −1 | 64.54 |
| 5 | −1 | 1 | 0 | 30.01 |
| 6 | 0 | 1 | 1 | 16.79 |
| 7 | 0 | 0 | 0 | 38.41 |
| 8 | 1 | 0 | 1 | 12.03 |
| 9 | −1 | −1 | 0 | 26.03 |
| 10 | 1 | −1 | 0 | 24.43 |
| 11 | 0 | 0 | 0 | 40.85 |
| 12 | 0 | 0 | 0 | 41.29 |
| 13 | −1 | 0 | 1 | 18.14 |
| 14 | 0 | 0 | 0 | 41.01 |
| 15 | 0 | 0 | 0 | 42.18 |
| 16 | 0 | −1 | 1 | 17.97 |
| 17 | 1 | 1 | 0 | 18.08 |
| Source | Sum of Squares | Degrees of Freedom | Mean Square | F-Value | p-Value | |
|---|---|---|---|---|---|---|
| Model | 4823.98 | 9 | 536.00 | 182.66 | <0.0001 | significant |
| A—Time | 74.87 | 1 | 74.87 | 25.51 | 0.0015 | |
| B—Temperature | 9.94 | 1 | 9.94 | 3.39 | 0.1083 | |
| C—Pressure | 4022.12 | 1 | 4022.12 | 1370.63 | <0.0001 | |
| AB | 26.75 | 1 | 26.75 | 9.12 | 0.0194 | |
| AC | 0.4128 | 1 | 0.4128 | 0.1407 | 0.7187 | |
| BC | 4.36 | 1 | 4.36 | 1.49 | 0.2621 | |
| A2 | 276.75 | 1 | 276.75 | 94.31 | <0.0001 | |
| B2 | 269.64 | 1 | 269.64 | 91.89 | <0.0001 | |
| C2 | 149.71 | 1 | 149.71 | 51.02 | 0.0002 | |
| Residual | 20.54 | 7 | 2.93 | |||
| Lack of Fit | 12.65 | 3 | 4.22 | 2.14 | 0.2382 | not significant |
| Pure Error | 7.89 | 4 | 1.97 | |||
| Cor Total | 4844.52 | 16 |
| Treatment | Alcohol-Benzene Extractives (%) | Glucose (%) | Xylose (%) | Lignin (%) | |
|---|---|---|---|---|---|
| Acid-Soluble | Acid-Insoluble | ||||
| RUN | 2.93 | 38.30 | 21.90 | 3.52 | 20.3 |
| R160 | 5.04 | 30.70 | 21.00 | 3.39 | 21.4 |
| R200 | 6.59 | 29.60 | 20.70 | 4.26 | 24.5 |
| Treatment | (002) Crystal Plane Angle (°) | I002 | Relative Crystallinity (%) |
|---|---|---|---|
| RUN | 22.05 | 3035 | 35.83 |
| R160 | 22.02 | 4065 | 36.75 |
| R200 | 22.07 | 4732 | 37.89 |
| Treatment | Stage I (%) | Stage II (%) | Stage III (%) |
|---|---|---|---|
| RUN | 96.58 | 33.40 | 21.64 |
| R160 | 98.21 | 33.84 | 22.25 |
| R200 | 98.13 | 36.57 | 23.48 |
Disclaimer/Publisher’s Note: The statements, opinions and data contained in all publications are solely those of the individual author(s) and contributor(s) and not of MDPI and/or the editor(s). MDPI and/or the editor(s) disclaim responsibility for any injury to people or property resulting from any ideas, methods, instructions or products referred to in the content. |
© 2024 by the authors. Licensee MDPI, Basel, Switzerland. This article is an open access article distributed under the terms and conditions of the Creative Commons Attribution (CC BY) license (https://creativecommons.org/licenses/by/4.0/).
Share and Cite
Xu, M.; Wang, Z.; Li, Z.; Sun, Z.; Shang, L.; Tian, G.; Ma, J.; Liu, X. The Optimization of the Steam-Heat-Treated Process of Rattan (Calamus simplicifolius) Based on the Response Surface Analysis and Its Chemical Changes. Forests 2024, 15, 615. https://doi.org/10.3390/f15040615
Xu M, Wang Z, Li Z, Sun Z, Shang L, Tian G, Ma J, Liu X. The Optimization of the Steam-Heat-Treated Process of Rattan (Calamus simplicifolius) Based on the Response Surface Analysis and Its Chemical Changes. Forests. 2024; 15(4):615. https://doi.org/10.3390/f15040615
Chicago/Turabian StyleXu, Minmin, Zhihui Wang, Zhenrui Li, Zhenbing Sun, Lili Shang, Genlin Tian, Jianfeng Ma, and Xing’e Liu. 2024. "The Optimization of the Steam-Heat-Treated Process of Rattan (Calamus simplicifolius) Based on the Response Surface Analysis and Its Chemical Changes" Forests 15, no. 4: 615. https://doi.org/10.3390/f15040615
APA StyleXu, M., Wang, Z., Li, Z., Sun, Z., Shang, L., Tian, G., Ma, J., & Liu, X. (2024). The Optimization of the Steam-Heat-Treated Process of Rattan (Calamus simplicifolius) Based on the Response Surface Analysis and Its Chemical Changes. Forests, 15(4), 615. https://doi.org/10.3390/f15040615

